Characteristics and Mechanisms of Soil Co-Contamination Affecting the Transfer of Cadmium and Arsenic in Peanut (Arachis hypogaea L.)
Abstract
:1. Introduction
2. Materials and Methods
2.1. Materials Description
2.2. Experimental Design
2.3. Soil and Plant Analysis
2.3.1. Sample Collection and Pretreatment
2.3.2. Determination of Plant Cd and As
2.3.3. Subcellular Fractionation
2.3.4. Extraction of Cd and As in Different Chemical Forms
- (1)
- FE: 80% ethanol to extract inorganic form;
- (2)
- FW: de-ionized water (d-H2O) to extract water-soluble form;
- (3)
- FNaCl: 1 M NaCl to extract pectates and protein-integrated form;
- (4)
- FHAc: 2% acetic acid (HAc) to extract insoluble form;
- (5)
- FHCl: 0.6 M hydrochloric acid (HCl) to extract oxalate acid-bound form; and
- (6)
- FR: the last remaining residue form.
2.3.5. Determination of Soil Available Cd and As
2.3.6. Determination of Phytochelatins (PCs), Glutathione (GSH), Phytochelatins Synthetase (PCSase), and Metallothioneins (MTs)
2.4. Statistical Analysis
3. Results
3.1. Accumulation and Translocation of Cd in Peanuts
3.2. Accumulation and Translocation of As in Peanut
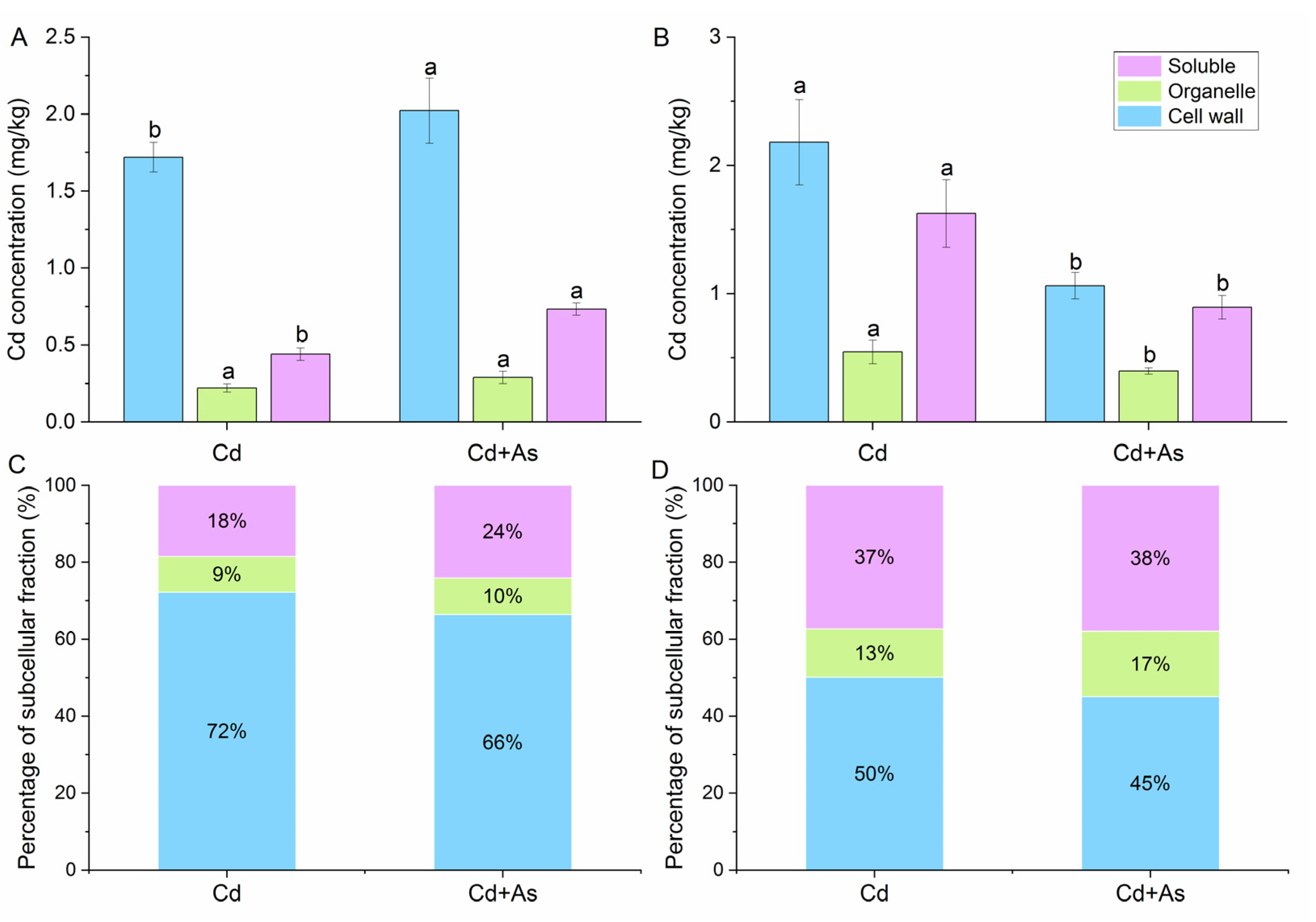
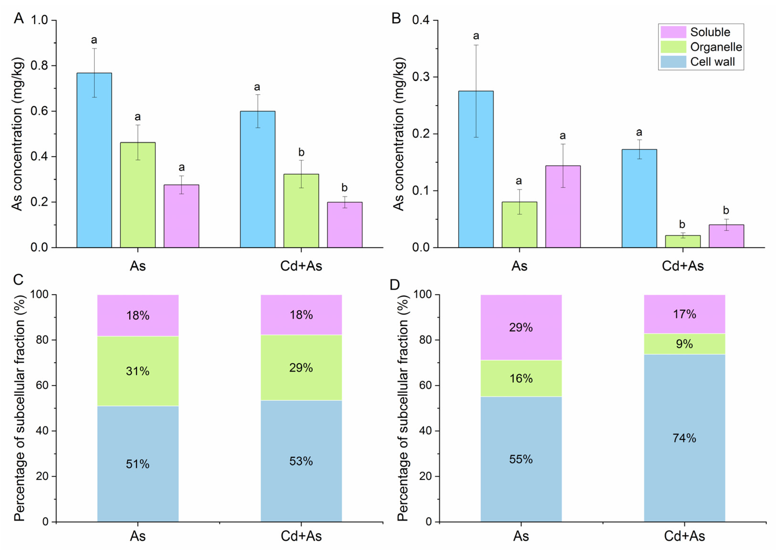
3.3. Subcellular Distribution of Cd and As in Peanut
3.4. Chemical Speciation of Cd and As in Peanut
3.5. Contents of PCs, GSH, PCSase, and MTs in Peanut
4. Discussion
4.1. Accumulation and Translocation of Cd in Peanut under Cd and Cd + As Treatments
4.2. Accumulation and Translocation of As in Peanut under As and Cd + As Treatments
5. Conclusions
Author Contributions
Funding
Data Availability Statement
Conflicts of Interest
References
- FAO. Global Assessment of Soil Pollution. 2021. Available online: https://www.fao.org/3/cb4894en/online/cb4894en.html (accessed on 25 October 2022).
- Sharma, P.; Parakh, S.K.; Singh, S.P.; Parra-Saldívar, R.; Kim, S.; Varjani, S.; Tong, Y.W. A critical review on microbes-based treatment strategies for mitigation of toxic pollutants. Sci. Total Environ. 2022, 834, 155444. [Google Scholar] [CrossRef] [PubMed]
- Guo, F.Y.; Ding, C.F.; Zhou, Z.G.; Han, F.X.; Tang, R.G.; Huang, G.X.; Wang, X.X. Assessment of the immobilization effectiveness of several amendments on a cadmium-contaminated soil using Eisenia fetida. Ecotoxicol. Environ. Saf. 2020, 189, 109948. [Google Scholar] [CrossRef] [PubMed]
- Hussain, S.; Habib-Ur-Rehman, M.; Khanam, T.; Sheer, A.; Kebin, Z.; Yang, J.J. Health risk assessment of different heavy metals dissolved in drinking water. Int. J. Environ. Res. Public Health 2019, 16, 1737. [Google Scholar] [CrossRef] [PubMed]
- Yao, B.M.; Wang, S.Q.; Xie, S.T.; Li, G.; Sun, G.X. Optimal soil Eh, pH for simultaneous decrease of bioavailable Cd, As in co-contaminated paddy soil under water management strategies. Sci. Total Environ. 2022, 806, 151342. [Google Scholar] [CrossRef] [PubMed]
- Zhao, F.J.; Ma, Y.; Zhu, Y.G.; Tang, Z.; McGrath, S.P. Soil contamination in China: Current status and mitigation strategies. Environ. Sci. Technol. 2015, 49, 750–759. [Google Scholar] [CrossRef]
- Zhao, F.J.; Tang, Z.; Song, J.J.; Huang, X.Y.; Wang, P. Toxic metals and metalloids: Uptake, transport, detoxification, phytoremediation, and crop improvement for safer food. Mol. Plant 2022, 15, 27–44. [Google Scholar] [CrossRef]
- Rao, N.; Shivashankara, K.S.; Laxman, R.H. Abiotic Stress Physiology of Horticultural Crops, 1st ed.; Springer: New Delhi, India, 2016. [Google Scholar]
- Sun, Y.H.; Li, Z.J.; Guo, B.; Chu, G.X.; Wei, C.Z.; Liang, Y.C. Arsenic mitigates cadmium toxicity in rice seedlings. Environ. Exp. Bot. 2008, 64, 264–270. [Google Scholar] [CrossRef]
- Li, X.X.; Cui, X.W.; Zhang, X.; Liu, W.; Cui, Z.J. Combined toxicity and detoxification of lead, cadmium and arsenic in Solanum nigrum L. J. Hazard. Mater. 2020, 389, 121874. [Google Scholar] [CrossRef]
- Zhao, H.; Yang, Q. Study on influence factors and sources of mineral elements in peanut kernels for authenticity. Food Chem. 2022, 382, 132385. [Google Scholar] [CrossRef]
- Mubeen, S.; Ni, W.J.; He, C.T.; Yang, Z.Y. Agricultural strategies to reduce cadmium accumulation in crops for food safety. Agriculture 2023, 13, 471. [Google Scholar] [CrossRef]
- GB 2762–2022; Limits of Contaminants in Food. Standards Press of China: Beijing, China, 2022.
- Bell, M.J.; McLaughlin, M.J.; Wright, G.C.; Cruickshank, A. Inter- and intra-specific variation in accumulation of cadmium by peanut, soybean, and navy bean. Aust. J. Agric. Res. 1997, 48, 1151–1160. [Google Scholar] [CrossRef]
- Yang, B.; Zhang, C.; Zhang, X.; Wang, G.; Li, L.; Geng, H.R.; Liu, Y.; Nie, C.R. Survey of aflatoxin B1 and heavy metal contamination in peanut and peanut soil in China during 2017–2018. Food Control 2020, 118, 107372. [Google Scholar] [CrossRef]
- GB 15618–2018; Soil Environment Quality–Risk Control Standard for Soil Contamination of Agricultural Land. Standards Press of China: Beijing, China, 2018.
- Huang, G.; Ding, C.; Guo, F.; Li, X.; Zhou, Z.; Zhang, T.; Wang, X. The role of node restriction on cadmium accumulation in the brown rice of 12 Chinese rice (Oryza sativa L.) cultivars. J. Agric. Food Chem. 2017, 65, 10157–10164. [Google Scholar] [CrossRef] [PubMed]
- Wu, F.B.; Dong, J.; Qian, Q.Q.; Zhang, G.P. Subcellular distribution and chemical form of Cd and Cd-Zn interaction in different barley genotypes. Chemosphere 2005, 60, 1437–1446. [Google Scholar] [CrossRef]
- Wang, X.; Liu, Y.O.; Zeng, G.M.; Chai, L.Y.; Song, X.C.; Min, Z.Y.; Xiao, X. Subcellular distribution and chemical forms of cadmium in Bechmeria nivea L. Gaud. Environ. Exp. Bot. 2008, 62, 389–395. [Google Scholar] [CrossRef]
- Gao, F.; Lin, Y.J.; Zhang, J.L.; Yang, C.T.; Zhang, F.; Yang, X.K.; Zhao, H.J.; Li, X.D. Effects of cadmium stress on physiological characteristics, pod yield, and kernel quality in peanut. Acta Agro. Sinica. 2012, 37, 2269–2277. [Google Scholar] [CrossRef]
- Oves, M.; Saghir, K.M.; Huda, Q.A.; Nadeen, F.M.; Almeelbi, T. Heavy metals: Biological importance and detoxification strategies. J. Bioremediat. Biodegr. 2016, 7, 1–15. [Google Scholar] [CrossRef]
- Marzec-Schmidt, K.; Ludwikow, A.; Wojciechowska, N.; Kasprowicz-Maluśki, A.; Mucha, J.; Bagniewska-Zadworna, A. Supplement xylem cell wall formation in pioneer roots and stems of Populus trichocarpa (Torr. & Gray). Front. Plant. Sci. 2019, 10, 1419. [Google Scholar] [CrossRef]
- Cobbett, C.S. Phytochelatins and their roles in heavy metal detoxification. Plant Physiol. 2000, 123, 825. [Google Scholar] [CrossRef]
- Su, Y.; Liu, J.L.; Lu, Z.W.; Wang, X.M.; Zhang, Z.; Shi, G.R. Effects of iron deficiency on subcellular distribution and chemical forms of cadmium in peanut roots about its translocation. Environ. Exp. Bot. 2014, 97, 40–48. [Google Scholar] [CrossRef]
- Shi, G.R.; Zhang, Z.; Liu, C.F. Silicon influences cadmium translocation by altering subcellular distribution and chemical forms of cadmium in peanut roots. Arch. Agron. Soil. Sci. 2017, 63, 117–123. [Google Scholar] [CrossRef]
- Bian, W.L.S.; Yan, J.P.; Cui, L.; Zhang, L. The effect of selenium on cadmium accumulation, chemical forms and the resistance of peanuts. J. Agro-Eviron. Sci. 2018, 37, 1094–1101, (Chinese with English abstract). [Google Scholar]
- Sun, Y.B.; Zhou, Q.X.; Ren, L.P. Growth responses of Rorippa globosa and its accumulation characteristics of Cd and As under the Cd-As combined pollution. Environ. Sci. 2007, 28, 1355–1360, (Chinese with English abstract). [Google Scholar]
- Tang, Z.; Wang, H.Q.; Chen, J.; Chang, J.D.; Zhao, F.J. Molecular mechanisms underlying the toxicity and detoxification of trace metals and metalloids in plants. J. Integr. Plant Biol. 2023, 65, 570–593. [Google Scholar] [CrossRef]
- Huang, J.W.; Cunningham, J. Lead phytoextraction: Species variation in lead uptake and translocation. New Phytol. 1996, 134, 75–84. [Google Scholar] [CrossRef]
- Wojcik, M.; Vangronsveld, J.; D’Haen, J.; Tukiendorf, A. Cadmium tolerance in Thlaspi caerulescens: II. localization of cadmium in Thlaspi caerulescens. Environ. Exp. Bot. 2005, 53, 163–171. [Google Scholar] [CrossRef]
- Schmoger, M.E.V.; Oven, M.; Grill, E. Detoxification of arsenic by phytochelatins in plants. Plant Physiol. 2000, 122, 793. [Google Scholar] [CrossRef]
- Zhang, F.S. Chilling Stress and Plant Rhizosphere Nutrition, 1st ed.; Chinese Agricultural Press: Beijing, China, 1998; (Chinese with English abstract). [Google Scholar]
- Mendoza-Cózatl, D.G.; Butko, E.; Spring, F.; Torpey, J.W.; Komives, E.A.; Kehr, J.; Schroeder, J.I. Identification of high levels of phytochelatins, glutathione, and cadmium in the phloem sap of Brassica napus. A role for thiol-peptides in the long-distance transport of cadmium and the effect of cadmium on iron translocation. Plant J. 2010, 54, 249–259. [Google Scholar] [CrossRef]
- Wang, X.H.; Dai, L. Immobilization effect and its physiology and biochemical mechanism of the cadmium in crop roots. Sci. Agric. Sinica. 2016, 49, 19, (Chinese with English abstract). [Google Scholar]
- Nakamura, S.; Suzui, N.; Nagasaka, T.; Komatsu, F.; Ishioka, N.S.; Itotanabata, S.; Kawachi, N.; Rai, H.; Hattori, H.; Chino, M.; et al. Application of glutathione to roots selectively inhibits cadmium transport from roots to shoots in oilseed rape. J. Exp. Bot. 2013, 64, 1073–1081. [Google Scholar] [CrossRef]
- Zhang, H.Y.; Xu, W.Z.; Dai, W.T.; He, Z.Y.; Ma, M. Functional characterization of cadmium-responsive garlic gene AsMT2b: A new member of metallothionein family. Chin. Sci. Bull. 2006, 51, 409–416, (Chinese with English abstract). [Google Scholar] [CrossRef]
- Liu, W.J.; Wood, B.A.; Raab, A.; Mcgrath, S.P.; Zhao, F.J.; Feldmannet, J. Complexation of arsenite with phytochelatins reduces arsenite efflux and translocation from roots to shoots in Arabidopsis. Plant Physiol. 2010, 152, 2211–2221. [Google Scholar] [CrossRef] [PubMed]
- Huang, W.X.; Chen, X.W.; Wu, L.; Yu, Z.S.; Gao, M.Y.; Zhao, H.M.; Mo, C.H.; Li, Y.W.; Cai, Q.Y.; Weng, M.H.; et al. Root cell wall chemistry remodeling enhanced arsenic fixation of a cabbage cultivar. J. Hazard Mater. 2021, 420, 126165. [Google Scholar] [CrossRef]
- Xu, B. Wheat Absorption and Bioavailability Prediction Model for Exogenous Heavy Metal Cadmium and Arsenic. Master’s Thesis, University of Chinese Academy of Sciences, Beijing, China, 2019. (Chinese with English abstract). [Google Scholar]
- Lei, M.; Wan, X.M.; Huang, Z.C.; Chen, T.B.; Li, X.W.; Liu, Y.R. First evidence on different transportation modes of arsenic and phosphorus in arsenic hyperaccumulator Pteris vittata. Environ. Pollut. 2012, 161, 1–7. [Google Scholar] [CrossRef] [PubMed]
- Du, X.; Zhu, Y.G.; Liu, W.J.; Zhao, X.S. Uptake of mercury (Hg) by seedlings of rice (Oryza sativa L.) grown in solution culture and interactions with arsenate uptake. Environ. Exp. Bot. 2005, 54, 1–7. [Google Scholar] [CrossRef]
- Duker, A.A.; Carranza, E.; Hale, M. Arsenic geochemistry and health. Environ. Int. 2005, 31, 631–641. [Google Scholar] [CrossRef]
- Li, X.L. Studies on the Cadmium Absorption and Physiological and Biochemical Characteristics of Different Ramie Varieties. Master’s Thesis, Hunan Agricultural University, Changsha, China, 2017. (Chinese with English abstract). [Google Scholar]
- Heiss, S.; Schafer, H.J.; Haag-Kerwer, A.; Rausch, T. Cloning sulfur assimilation genes of Brassica juncea L.: Cadmium differentially affects the expression of a putative low-affinity sulfate transporter and isoforms of ATP sulfurylase and APS reductase. Plant Mol. Biol. 1999, 39, 847–857. [Google Scholar] [CrossRef]
- Sun, X.; Sun, X.M.; Yang, Z.M.; Li, S.Q.; Wang, J.; Wang, S.H. Expression of brassica napus L. γ-Glutamylcysteine synthetase and low-and high-affinity sulfate transporters in response to excess cadmium. J. Integr. Plant Biol. 2005, 47, 8. [Google Scholar] [CrossRef]
- Wei, S.; Ma, L.Q.; Saha, U.; Mathews, S.; Sundaram, S.; Rathinasabapathi, B.; Zhou, Q.X. Sulfate and glutathione enhanced arsenic accumulation by arsenic hyperaccumulator Pteris vittata L. Environ. Pollut. 2010, 158, 1530–1535. [Google Scholar] [CrossRef]
- Zhang, J.; Zhao, Q.Z.; Duan, G.L.; Huang, Y.C. Influence of sulfur on arsenic accumulation and metabolism in rice seedlings. Environ. Exp. Bot. 2011, 72, 34–40. [Google Scholar] [CrossRef]
- Uraguchi, S.; Tanaka, N.; Hofmann, C.; Abiko, K.; Ohkama-Ohtsu, N.; Weber, M.; Kamiya, T.; Sone, Y.; Nakamura, R.; Takanezawa, Y.; et al. Phytochelatin synthase has contrasting effects on cadmium and arsenic accumulation in rice grains. Plant Cell Physiol. 2017, 58, 1730–1742. [Google Scholar] [CrossRef] [PubMed]
- Grispen, V.; Irtelli, B.; Hakvoort, H.; Vooijs, R.; Bliek, T.; Bookum, W.; Verkleij, J.; Schat, H. Expression of the Arabidopsis metallothionein 2b enhances arsenite sensitivity and root-to-shoot translocation in tobacco. Environ. Exp. Bot. 2009, 66, 69–73. [Google Scholar] [CrossRef]




| Treatments | Root | Shoot | Shell | Grain |
|---|---|---|---|---|
| CK | 3.93 ± 0.50 | 82.5 ± 5.92 | 10.4 ± 1.41 | 45.5 ± 4.98 |
| Cd | 3.53 ± 0.35 | 88.6 ± 6.54 | 11.5 ± 2.00 | 46.3 ± 8.36 |
| As | 4.26 ± 0.32 | 85.7 ± 6.50 | 12.6 ± 2.48 | 38.3 ± 3.24 |
| Cd + As | 4.41 ± 0.28 | 85.9 ± 3.98 | 14.8 ± 1.23 | 47.6 ± 4.22 |
| Treatments | Root | Shoot | Shell | Grain | Total Accumulation Amount (μg) |
|---|---|---|---|---|---|
| Cd Content (mg/kg) | Cd | ||||
| CK | 1.38 ± 0.30 c | 1.76 ± 0.25 c | 0.84 ± 0.09 c | 0.13 ± 0.04 c | 166 ± 25.0 c |
| Cd | 8.81 ± 0.71 b | 11.32 ± 1.81 b | 4.74 ± 0.42 b | 0.77 ± 0.14 b | 1126 ± 189 b |
| Cd + As | 11.72 ± 1.74 a | 16.18 ± 3.96 a | 6.06 ± 0.50 a | 1.26 ± 0.30 a | 1588 ± 334 a |
| As Content (mg/kg) | As | ||||
| CK | 0.63 ± 0.06 c | 0.48 ± 0.06 c | 0.11 ± 0.02 c | 0.13 ± 0.03 c | 49.6 ± 8.11 c |
| As | 4.06 ± 0.22 a | 1.27 ± 0.18 b | 0.79 ± 0.06 a | 0.44 ± 0.09 a | 153 ± 17.3 b |
| Cd + As | 3.15 ± 0.09 b | 2.05 ± 0.27 a | 0.61 ± 0.08 b | 0.34 ± 0.04 b | 215 ± 23.0 a |
| Treatments | Root-Shoot | Root-Shell | Root-Grain | Shoot-Shell | Shoot-Grain | Shell-Grain |
|---|---|---|---|---|---|---|
| Cd | ||||||
| CK | 1.30 ± 0.14 a | 0.62 ± 0.08 a | 0.10 ± 0.03 a | 0.48 ± 0.03 a | 0.08 ± 0.02 a | 0.16 ± 0.04 a |
| Cd | 1.37 ± 0.04 a | 0.54 ± 0.03 a | 0.08 ± 0.00 a | 0.39 ± 0.03 a | 0.06 ± 0.00 a | 0.15 ± 0.02 a |
| Cd + As | 1.37 ± 0.17 a | 0.53 ± 0.12 a | 0.11 ± 0.01 a | 0.40 ± 0.12 a | 0.08 ± 0.01 a | 0.21 ± 0.05 a |
| As | ||||||
| CK | 0.77 ± 0.06 a | 0.18 ± 0.03 a | 0.20 ± 0.03 a | 0.23 ± 0.04 c | 0.26 ± 0.03 b | 1.16 ± 0.26 a |
| As | 0.31 ± 0.05 c | 0.19 ± 0.02 a | 0.11 ± 0.02 b | 0.63 ± 0.11 a | 0.35 ± 0.07 a | 0.57 ± 0.15 b |
| Cd + As | 0.65 ± 0.07 b | 0.19 ± 0.02 a | 0.11 ± 0.01 b | 0.30 ± 0.05 b | 0.17 ± 0.03 c | 0.57 ± 0.08 b |
| Treatments | Roots | Shoots | ||||||
|---|---|---|---|---|---|---|---|---|
| PCs (ng/g) | GSH (ng/g) | PCSase (U/g) | MTs (ng/g) | PCs (ng/g) | GSH (ng/g) | PCSase (U/g) | MTs (ng/g) | |
| Cd | 3.46 ± 0.01 a | 1.24 ± 0.06 a | 6.15 ± 0.22 a | 0.16 ± 0.02 b | 3.77 ± 0.13 b | 1.26 ± 0.02 a | 6.39 ± 0.07 a | 0.28 ± 0.02 a |
| As | 3.30 ± 0.16 a | 1.24 ± 0.03 a | 6.04 ± 0.06 a | 0.17 ± 0.02 b | 3.75 ± 0.03 b | 1.28 ± 0.03 a | 6.36 ± 0.09 a | 0.25 ± 0.05 a |
| Cd + As | 3.52 ± 0.14 a | 1.30 ± 0.05 a | 6.20 ± 0.10 a | 0.24 ± 0.04 a | 4.01 ± 0.09 a | 1.17 ± 0.04 a | 6.46 ± 0.10 a | 0.26 ± 0.04 a |
Disclaimer/Publisher’s Note: The statements, opinions and data contained in all publications are solely those of the individual author(s) and contributor(s) and not of MDPI and/or the editor(s). MDPI and/or the editor(s) disclaim responsibility for any injury to people or property resulting from any ideas, methods, instructions or products referred to in the content. |
© 2023 by the authors. Licensee MDPI, Basel, Switzerland. This article is an open access article distributed under the terms and conditions of the Creative Commons Attribution (CC BY) license (https://creativecommons.org/licenses/by/4.0/).
Share and Cite
Ding, C.; Hussain, S.; Xie, X.; Zhou, Z.; Wang, X. Characteristics and Mechanisms of Soil Co-Contamination Affecting the Transfer of Cadmium and Arsenic in Peanut (Arachis hypogaea L.). Agronomy 2023, 13, 2778. https://doi.org/10.3390/agronomy13112778
Ding C, Hussain S, Xie X, Zhou Z, Wang X. Characteristics and Mechanisms of Soil Co-Contamination Affecting the Transfer of Cadmium and Arsenic in Peanut (Arachis hypogaea L.). Agronomy. 2023; 13(11):2778. https://doi.org/10.3390/agronomy13112778
Chicago/Turabian StyleDing, Changfeng, Sajjad Hussain, Xinxin Xie, Zhigao Zhou, and Xingxiang Wang. 2023. "Characteristics and Mechanisms of Soil Co-Contamination Affecting the Transfer of Cadmium and Arsenic in Peanut (Arachis hypogaea L.)" Agronomy 13, no. 11: 2778. https://doi.org/10.3390/agronomy13112778
APA StyleDing, C., Hussain, S., Xie, X., Zhou, Z., & Wang, X. (2023). Characteristics and Mechanisms of Soil Co-Contamination Affecting the Transfer of Cadmium and Arsenic in Peanut (Arachis hypogaea L.). Agronomy, 13(11), 2778. https://doi.org/10.3390/agronomy13112778

