Influence of Brown Seaweed (Ecklonia maxima) Extract on the Morpho-Physiological Parameters of Melon, Cucumber, and Tomato Plants
Abstract
:1. Introduction
2. Materials and Methods
2.1. Plant Material and Culture Conditions
2.2. Parameters Measured
2.2.1. Morpho-Physiological Parameters
2.2.2. Photosynthetic Parameters
2.2.3. Total Chlorophyll Content
2.3. Statistical Analyses
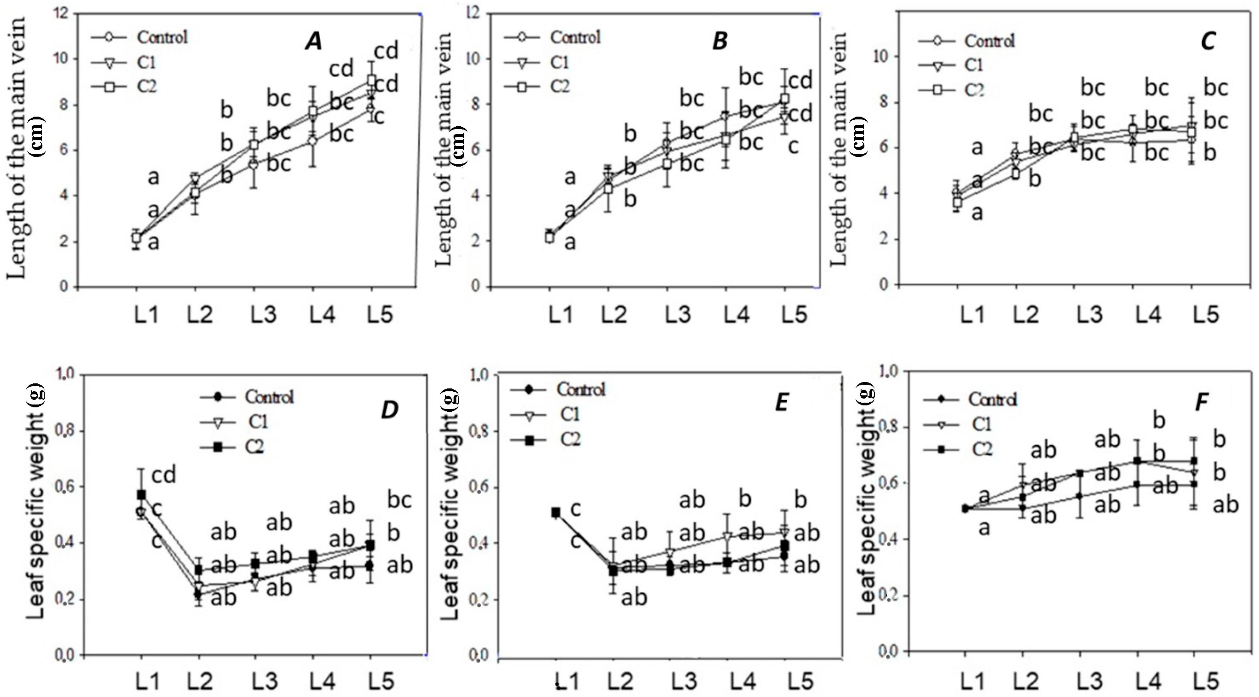
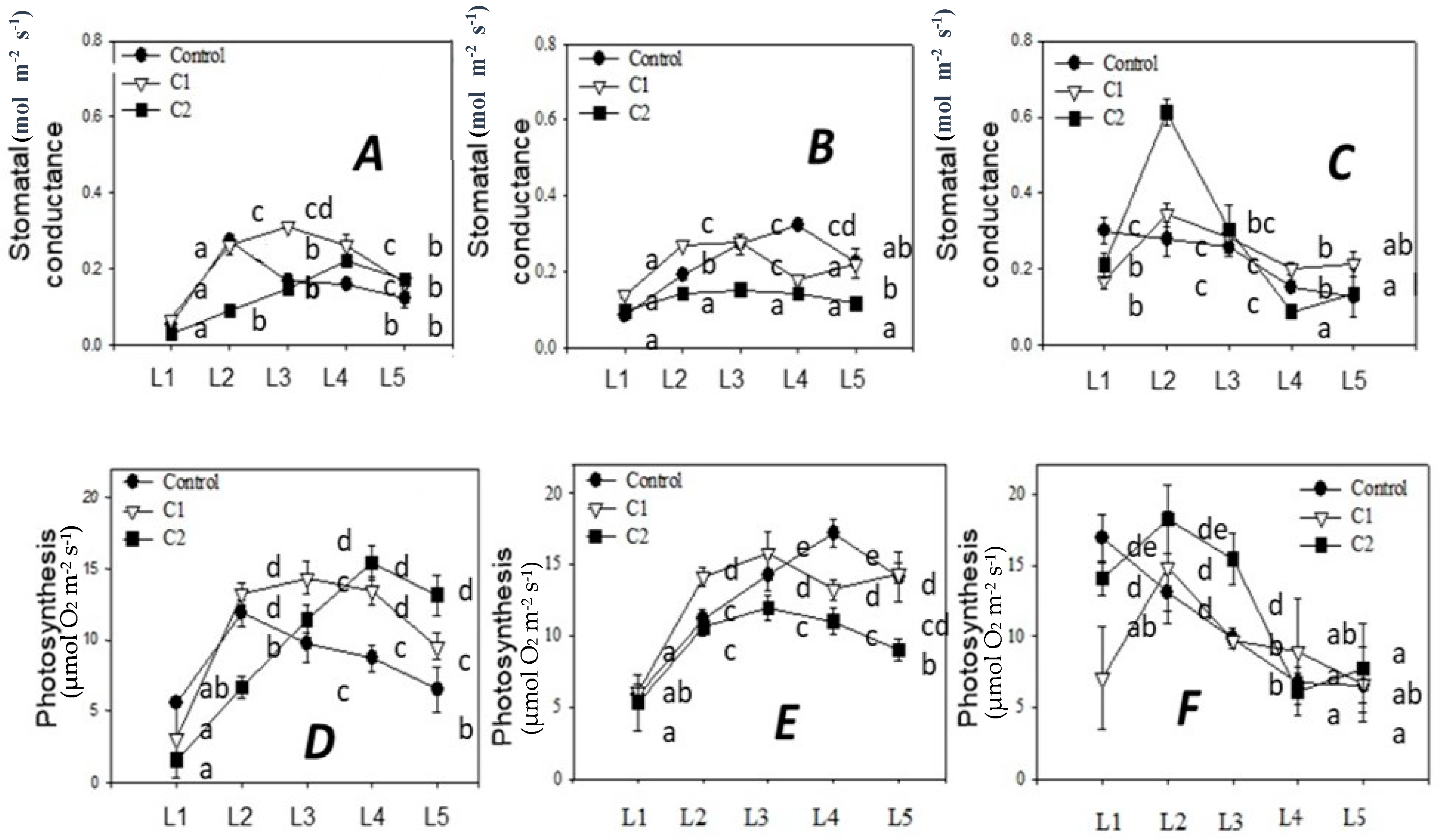
3. Results
3.1. Variation in Morpho-Physiological Characteristics
3.2. Variation in Photosynthetic Characterization
3.3. Variation in the Total Chlorophyll Content
4. Discussion
4.1. Effects of Seaweed Extract on Plant Physiology
4.2. Effects of Seaweed Extract on the Three Studied Plant Species
4.2.1. Melon
4.2.2. Cucumber
4.2.3. Tomato
4.3. Comparative Effects of Algal Extract on Three Plant Species
5. Conclusions
Author Contributions
Funding
Data Availability Statement
Acknowledgments
Conflicts of Interest
References
- Papenfus, H.B.; Kulkarni, M.G.; Stirk, W.A.; Finnie, J.F.; Van Staden, J. Effect of a commercial seaweed extract (Kelpak®) and polyamines on nutrient-deprived (N, P and K) okra seedlings. Sci. Hortic. 2013, 151, 142–146. [Google Scholar] [CrossRef]
- Rouphael, Y.; De Micco, V.; Arena, C.; Raimondi, G.; Colla, G.; De Pascale, S. Effect of Ecklonia maxima seaweed extract on yield, mineral composition, gas exchange, and leaf anatomy of zucchini squash grown under saline conditions. J. Appl. Phycol. 2017, 29, 459–470. [Google Scholar] [CrossRef]
- Miceli, A.; Vetrano, F.; Moncada, A. Influence of Ecklonia maxima extracts on growth, yield, and postharvest quality of hydroponic leaf lettuce. Horticulturae 2021, 7, 440. [Google Scholar] [CrossRef]
- Lee, R.E. Phycology, 5th ed.; Cambridge University Press: Cambridge, UK, 2018. [Google Scholar] [CrossRef]
- Van Oosten, J.M.; Pepe, O.; De Pascale, S.; Silletti, S.; Maggio, A. The role of biostimulants and bioeffectors as alleviators of abiotic stress in crop plants. Chem. Biol. Technol. Agric. 2017, 4, 5. [Google Scholar] [CrossRef]
- El Khattabi, O.; El Hasnaoui, S.; Toura, M.; Henkrar, F.; Collin, B.; Levard, C.; Colin, F.; Merghoub, N.; Smouni, A.; Fahr, M. Seaweed extracts as promising biostimulants for enhancing lead tolerance and accumulation in tomato (Solanum lycopersicum). J. Appl. Phycol. 2023, 35, 459–469. [Google Scholar] [CrossRef]
- Battacharyya, D.; Babgohari, M.Z.; Rathor, P.; Prithiviraj, B. Seaweed extracts as biostimulants in horticulture. Sci. Hortic. 2015, 196, 39–48. [Google Scholar] [CrossRef]
- Ali, O.; Ramsubhag, A.; Jayaraman, J. Biostimulant Properties of Seaweed Extracts in Plants: Implications towards Sustainable Crop Production. Plants 2021, 10, 531. [Google Scholar] [CrossRef]
- Rouphael, Y.; Giordano, M.; Cardarelli, M.; Cozzolino, E.; Mori, M.; Kyriacou, M.C.; Bonini, P.; Colla, G. Plant-and seaweed-based extracts increase yield but differentially modulate nutritional quality of greenhouse spinach through biostimulants action. Agronomy 2018, 8, 126. [Google Scholar] [CrossRef]
- Canellas, L.P.; Olivares, F.L.; Aguiar, N.O.; Jones, D.L.; Nebbioso, A.; Mazzei, P.; Piccolo, A. Humic and fulvic acids as biostimulants in horticulture. Sci. Hortic. 2015, 30, 15–27. [Google Scholar] [CrossRef]
- Colla, G.; Nardi, S.; Cardarelli, M.; Ertani, A.; Lucini, L.; Canaguier, R.; Ertani, A.; Lucini, L.; Canaguier, R.; Rouphael, Y. Protein hydrolysates as biostimulants in horticulture. Sci. Hortic. 2015, 30, 28–38. [Google Scholar] [CrossRef]
- Zhao, K.; Yang, Y.; Zhang, L.; Zhang, J.; Zhou, Y.; Huang, H.; Luo, S.; Luo, L. Silicon-based additive on heavy metal remediation in soils: Toxicological effects, remediation techniques, and perspectives. Environ. Res. 2022, 205, 112244. [Google Scholar] [CrossRef]
- Verkleij, F.N. Seaweed extracts in agriculture and horticulture: A review. Biol. Agric. Hortic. 1992, 8, 309–324. [Google Scholar] [CrossRef]
- Rouphael, Y.; Colla, G. Editorial: Biostimulants in Agriculture. Front. Plant Sci. 2020, 11, 40. [Google Scholar] [CrossRef]
- Bashir, S.; Gulshan, A.B.; Iqbal, J.; Husain, A.; Alwahibi, M.S.; Alkahtani, J.; Dwiningsih, Y.; Bakhsh, A.; Ahmed, N.; Khan, M.J.; et al. Comparative role of animal manure and vegetable waste induced compost for polluted soil restoration and maize growth. Saudi J. Biol. Sci. 2021, 28, 2534–2539. [Google Scholar] [CrossRef]
- Ghouili, E.; Hidri, Y.; M’Hamed, H.C.; Somenahally, A.; Xue, Q.; Znaïdi, I.E.A.; Jebara, M.; Ouertani, R.N.; Muhovski, Y.; Riahi, J.; et al. Date palm waste compost promotes plant growth and nutrient transporter genes expression in barley (Hordeum vulgare L.). S. Afr. J. Bot. 2022, 149, 247–257. [Google Scholar] [CrossRef]
- Benítez García, I.; Dueñas Ledezma, A.K.; Martínez Montaño, E.; Salazar Leyva, J.A.; Carrera, E.; Osuna Ruiz, I. Identification and Quantification of Plant Growth Regulators and Antioxidant Compounds in Aqueous Extracts of Padina durvillaei and Ulva lactuca. Agronomy 2020, 10, 866. [Google Scholar] [CrossRef]
- Zhou, W.; Ma, Q.; Wu, L.; Hu, R.; Jones, D.L.; Chadwick, D.R.; Jiang, Y.; Wu, Y.; Xia, X.; Yang, L.; et al. The effect of organic manure or green manure incorporation with reductions in chemical fertilizer on yield-scaled N2O emissions in a citrus orchard. Agric. Ecosyst. Environ. 2022, 326, 107806. [Google Scholar] [CrossRef]
- Giampieri, F.; Mazzoni, L.; Cianciosi, D.; Alvarez-Suarez, J.M.; Regolo, L.; Sánchez-González, C.; Capocasa, F.; Siao, J.; Mezzetti, B.; Battino, M. Organic vs conventional plant-based foods: A review. Food Chem. 2022, 383, 132352. [Google Scholar] [CrossRef]
- Jiang, Y.; Li, K.; Chen, S.; Fu, X.; Feng, S.; Zhuang, Z.A. Sustainable agricultural supply chain considering substituting organic manure for chemical fertilizer. Sustain. Prod. Consum. 2022, 29, 432–446. [Google Scholar] [CrossRef]
- Rupawalla, Z.; Robinson, N.; Schmidt, S.; Li, S.; Carruthers, S.; Buisset, E.; Roles, J.; Hankamer, B.; Wolf, J. Algae biofertilisers promote sustainable food production and a circular nutrient economy—An integrated empirical-modelling study. Sci. Total Environ. 2021, 796, 148913. [Google Scholar] [CrossRef]
- Abbas, S.M. The influence of biostimulants on the growth and on the biochemical composition of Vicia faba CV. Giza 3 beans. Rom. Biotechnol. Lett. 2013, 18, 8061–8068. [Google Scholar]
- Di Stasio, E.; Rouphael, Y.; Colla, G.; Raimondi, G.; Giordano, M.; Pannico, A.; El-Nakhel, C.; De Pascale, S. The influence of Ecklonia maxima seaweed extract on growth, photosynthetic activity and mineral composition of Brassica rapa L. subsp. Sylvestris under nutrient stress conditions. Eur. J. Hortic. Sci. 2018, 82, 286–293. [Google Scholar] [CrossRef]
- Kulkarni, M.G.; Rengasamy, K.R.R.; Pendota, S.; Gruz, J.; Plačková, L.; Novák, O.; Doležal, K.; Van Staden, J. Bioactive molecules derived from smoke and seaweed Ecklonia maxima showing phytohormone-like activity in Spinacia oleracea L. New Biotechnol. 2019, 48, 83–89. [Google Scholar] [CrossRef] [PubMed]
- Ammar, E.E.; Aioub, A.A.A.; Elesawy, A.E.; Karkour, A.M.; Mouhamed, M.S.; Amer, A.A.; EL-Shershaby, N.A. Algae as Bio-fertilizers: Between current situation and future prospective. Saudi J. Biol. Sci. 2022, 29, 3083–3096. [Google Scholar] [CrossRef] [PubMed]
- Drobek, M.; Frąc, M.; Cybulska, J. Plant Biostimulants: Importance of the Quality and Yield of Horticultural Crops and the Improvement of Plant Tolerance to Abiotic Stress—A Review. Agronomy 2019, 9, 335. [Google Scholar] [CrossRef]
- Kaur, M.; Sharma, P. Recent advances in cucumber (Cucumis sativus L.). J. Hortic. Sci. Biotechnol. 2021, 97, 3–23. [Google Scholar] [CrossRef]
- Egea, I.; Estrada, Y.; Flores, F.B.; Bolarín, M.C. Improving production and fruit quality of tomato under abiotic stress: Genes for the future of tomato breeding for a sustainable agriculture. Environ. Exp. Bot. 2022, 204, 105086. [Google Scholar] [CrossRef]
- Abdalhi, M.A.M.; Cheng, J.; Feng, S.; Yi, G. Performance of drip irrigation and nitrogen fertilizer in irrigation water saving and nitrogen use efficiency for waxy maize (Zea mays L.) and cucumber (Cucumis sativus L.) under solar greenhouse. Grassl. Sci. 2016, 62, 174–187. [Google Scholar] [CrossRef]
- Dmytryk, A.; Chojnacka, K. Algae as fertilizers, biostimulants, and regulators of plant growth. In Algae Biomass: Characteristics and Applications; Chojnacka, K., Wieczorek, P.P., Schroeder, G., Michalak, I., Eds.; Springer: Cham, Switzerland, 2018; Volume 8. [Google Scholar] [CrossRef]
- Haroun, S.A.; Hussein, M.H. The promotive effect of algal biofertilizers on growth. Protein pattern and some metabolic activities of Lupinus termis plants grown in Siliceous Soil. Asian J. Plant Sci. 2003, 2, 944–951. [Google Scholar] [CrossRef]
- Gupta, S.; Gupta, S.; Sharma, M.S. Management of barren land soil using waste algal residue. J. Algal Biomass Utln. 2012, 3, 1–6. [Google Scholar]
- Pablo, M.-P. Effects of an agricultural extract of the brown alga Ascophyllum nodosum (Phaeophyceae) on mango Mangifera indica (Anacardiaceae) grown for transplants in the nursery. Life Excit. Biol. 2013, 1, 111–117. [Google Scholar] [CrossRef]
- Pourakbar, L.; Moghaddam, S.S.; El Enshasy, H.; Sayyed, R.Z. Antifungal activity of the extract of a macroalgae, gracilariopsis persica, against four plant pathogenic fungi in vitro. Plants 2021, 10, 1781. [Google Scholar] [CrossRef] [PubMed]
- Kim, J.; Kim, J.-D. Inhibitory effect of algal extracts on mycelial growth of the tomato-wilt pathogen Fusarium oxysporum f. sp. Lycopersici. Mycobiology 2008, 36, 242–248. [Google Scholar] [CrossRef] [PubMed]
- Bileva, T. Influence of green algae Chlorella vulgaris on infested with Xiphinemaindex grape seedlings. J. Earth Sci. Clim. Chang. 2013, 4, 136. [Google Scholar] [CrossRef]
- Cuartero, J.; Bolarín, M.C.; Asíns, M.J.; Moreno, V. Increasing salt tolerance in the tomato. J. Exp. Bot. 2006, 57, 1045–1058. [Google Scholar] [CrossRef] [PubMed]





Disclaimer/Publisher’s Note: The statements, opinions and data contained in all publications are solely those of the individual author(s) and contributor(s) and not of MDPI and/or the editor(s). MDPI and/or the editor(s) disclaim responsibility for any injury to people or property resulting from any ideas, methods, instructions or products referred to in the content. |
© 2023 by the authors. Licensee MDPI, Basel, Switzerland. This article is an open access article distributed under the terms and conditions of the Creative Commons Attribution (CC BY) license (https://creativecommons.org/licenses/by/4.0/).
Share and Cite
Lefi, E.; Badri, M.; Hamed, S.B.; Talbi, S.; Mnafgui, W.; Ludidi, N.; Chaieb, M. Influence of Brown Seaweed (Ecklonia maxima) Extract on the Morpho-Physiological Parameters of Melon, Cucumber, and Tomato Plants. Agronomy 2023, 13, 2745. https://doi.org/10.3390/agronomy13112745
Lefi E, Badri M, Hamed SB, Talbi S, Mnafgui W, Ludidi N, Chaieb M. Influence of Brown Seaweed (Ecklonia maxima) Extract on the Morpho-Physiological Parameters of Melon, Cucumber, and Tomato Plants. Agronomy. 2023; 13(11):2745. https://doi.org/10.3390/agronomy13112745
Chicago/Turabian StyleLefi, Elkadri, Mounawer Badri, Samouna Ben Hamed, Sihem Talbi, Wiem Mnafgui, Ndiko Ludidi, and Mohamed Chaieb. 2023. "Influence of Brown Seaweed (Ecklonia maxima) Extract on the Morpho-Physiological Parameters of Melon, Cucumber, and Tomato Plants" Agronomy 13, no. 11: 2745. https://doi.org/10.3390/agronomy13112745
APA StyleLefi, E., Badri, M., Hamed, S. B., Talbi, S., Mnafgui, W., Ludidi, N., & Chaieb, M. (2023). Influence of Brown Seaweed (Ecklonia maxima) Extract on the Morpho-Physiological Parameters of Melon, Cucumber, and Tomato Plants. Agronomy, 13(11), 2745. https://doi.org/10.3390/agronomy13112745

