You are currently on the new version of our website. Access the old version .
AgronomyAgronomy
  • Article
  • Open Access

29 September 2023

Evaluation of Soil Fertility Quality under Biochar Combined with Nitrogen in an Irrigated Wheat Field in Northern Xinjiang, China

,
,
,
,
,
,
and
1
College of Agronomy, Xinjiang Agricultural University, No. 311 East Nongda Road, Urumqi 830052, China
2
Xinjiang Germplasm Resource Center, No. 69 Hei Longjiang Road, Urumqi 830006, China
3
College of Resources and Environment, Xinjiang Agricultural University, No. 311 East Nongda Road, Urumqi 830052, China
4
Institute of Soil and Fertilizer and Agricultural Sparing Water, Xinjiang Academy of Agricultural Science, Urumqi 830091, China
This article belongs to the Special Issue Effects of Tillage, Cover Crop and Crop Rotation on Soil

Abstract

A randomized block field experiment was conducted in the irrigated area of northern Xinjiang, China, to clarify the effects of biochar (0, 30 × 103 kg·hm−2 (B)) combined with nitrogen (0, 150 (N1), and 300 kg·hm−2 (N2)) on soil fertility, which was represented by CK, B, N1, N2, BN1, and BN2, respectively. The performance of eleven indices related to soil chemical, physical, and biological properties was evaluated by factor analysis and cluster analysis to determine the most appropriate mode for soil fertilization and to identify the main soil environmental factors affecting wheat yield under biochar combined with nitrogen. The results indicated that the first factor was the activity factor, including the Shannon index, McIntosh index, and Simpson index. The second factor was the available nutrient factor, including organic matter, available phosphorus, and available potassium. Factor 3 can be taken as the nutrient-supplying and retaining factor containing total phosphorus, total potassium, and bacterial quantity. The highest score of soil quality was observed in the BN1 treatment, followed by the BN2 and B treatments, which were almost in line with the results of wheat yields. Cluster analysis classified six treatments into four main groups on the basis of the measured parameters, which was mostly consistent with the results of soil quality scores. Considering both economic and environmental benefits, 30 × 103 kg·hm−2 biochar combined with 150 kg·hm−2 nitrogen was the best combination to restore crop productivity and soil quality and to achieve nitrogen decrease and benefit increase. This study provided the scientific basis for the rational fertilization and scientific management of biochar combined with nitrogen fertilizer in the irrigated area of northern Xinjiang, China.

1. Introduction

Biochar, over the last two decades, has become the focal point of agro-environmental research given its unique functionality, cost-effectiveness, and recyclability potential [1,2,3]. The addition of biochar to agricultural systems has been shown to lead to 10–30% increases in crop biomass [4,5], with greater increases reported for pioneer herbaceous plant species (30–37%) [6] and woody plants (c. 41%) [7]. These impacts on productivity are likely due to the effects of biochar on soil and rhizosphere conditions, such as increases in available phosphorous (P) and microbial biomass of agricultural soils [8], greater cation exchange capacity, pH, the content of total and organic C and total nitrogen (N), and C/N ratios in agricultural soils on a global scale [9], and increases in annual plant root P concentrations and numbers of root-associated microbes and root nodules [10].
Fertilizers are the main factor for plants’ growth, and nitrogen (N), especially, is an essential element; it determines the crops’ yield, growth, and health. Long-term application of nitrogen fertilizer adversely degrades soil and decreases crop yield. Biochar amendment with N fertilizer can not only increase yield but also improve the soil.
As an important grain crop-producing area in Xinjiang, the North Xinjiang irrigated area is also facing the problem of excessive application of nitrogen fertilizer to pursue high yield, which leads to a decrease in nitrogen fertilizer utilization efficiency and increasingly serious environmental problems. Therefore, it is of great significance to increase the ability of soil fertility preservation and promote crop stability and high yields by adding exogenous substances. In prior reports, biochar application has been proposed as a major determinant of soil quality, such that it may be an effective means of enhancing soil quality and sustaining crop production, particularly in semi-arid and arid regions [11,12,13].
In an effort to better understand the effects of biochar application on soil quality and crop yields, a field experiment was conducted with the following goals: (i) to determine which soil environmental factors are the most important indexes affecting wheat yield under biochar combined with nitrogen reduction; (ii) to identify the soil fertilization effect of biochar combined with nitrogen reduction to explore their best-combined application amount. So far, there are few reports to comprehensively evaluate the effect of biochar combined with nitrogen reduction in semi-arid regions from the physical, chemical, and biological perspectives using statistical methods. The results of these analyses will provide new insight regarding the feasibility and value of biochar application in irrigated agricultural regions in Xinjiang, China.

2. Materials and Methods

2.1. Site Description

This study was performed at the Qitai Wheat Test Station in Xinjiang (longitude 89°13′ to 91°22′ east, latitude 42°25′ to 45°29′ N). Qitai has a temperate continental climate, with a mean annual temperature of 5.5 °C, a mean temperature in July of 22.6 °C, a maximum temperature of 39 °C, a mean temperature in January of −18.9 °C, and a minimum temperature of −37.3 °C during the study period. The average annual relative humidity is 60%, and the mean frost-free season is 153 days, spanning from late April to early October. The area revealed an average of 269.4 mm of precipitation annually. The soil at the test site was of a sandy loam variety, with a soil organic matter content (0–20 cm) of 15.15 g kg−1, a total nitrogen level of 0.93 g kg−1, an available phosphorus level of 7.10 mg kg−1, an available potassium level of 35.1 mg kg−1, and a pH of 8.25.

2.2. Study Design

The field experiment was conducted with the nitrogen fertilizer applied at rates of 0, 150, 300 kg·hm−2, which was applied a single time in the form of urea (46% pure nitrogen) as local farmers did. The biochar added at rates of 0, 30 × 103 kg·hm−2 as soil amendment was spread on the surface, thoroughly mixed with the soil, and then plowed to a depth of over 20 cm. No more biochar was amended in the subsequent year. Thus, there were six treatments, including CK (0 kg·hm−2 biochar with 0 nitrogen fertilizer), B (30 × 103 kg·hm−2 biochar), N1 (150 kg·hm−2 nitrogen fertilizer), N2 (300 kg·hm−2 nitrogen fertilizer), BN1 (30 × 103 kg·hm−2 biochar with 150 kg·hm−2 nitrogen fertilizer), and BN2 (30 × 103 kg·hm−2 biochar with 300 kg·hm−2 nitrogen fertilizer), which were 18 plots in total (3 nitrogen treatment × 2 biochar dosage × 3 replicate). Each plot was 3 m ×3 m in area, and the plots were arranged in a randomized complete block design. Strip sowing was performed for wheat sowing at a planting density of 4.5 million plant hm−2 with equal row spacing (20 cm). For wheat production, conventional farm management was consistently performed.
The cotton stalk biochar used for this study was obtained from the Xinjiang Academy of Agricultural Sciences. This biochar was prepared via carbonization for 4 h at 450 °C and had a particle size of 1.5–2.0 mm, a H/C of 0.52, a pH of 9.37, total nitrogen content of 21.76 g kg−1, total phosphorus of 10.58 g kg−1, total potassium of 21.45 g kg−1, available nitrogen of 5.38 mg kg−1, and available phosphorus of 200.94 mg kg−1 (data unpublished). The spring wheat variety used for this study was “Xindong 22”, a main winter wheat species in northern Xinjiang. It was sown on 27 September 2020, and harvested on 15 July 2021.

2.3. Sampling and Analysis of Soil and Crop

Crop yield: Wheat was hand-harvested. Seed yield was calculated using 6% as the standard seed moisture content.
Soil indices: After the wheat harvest, soil samples were collected from all plots. Five sampling points were randomly selected within each plot from a 20.0 cm depth of soil layer. All soil cores from each point were put in a plastic bag and thoroughly bulked, crumbled, and mixed for physical, chemical, and biological analyses. By dividing each soil sample into two subsamples, one subsample was ground, passed through a 2 mm sieve, and air-dried for the determination of organic carbon components and soil nutrient content, and another one was ground, passed through a 2 mm sieve, and stored in a refrigerator at −20 °C for the analysis of the structural and functional characteristics of the soil microbial community.
For the determination of soil basic physicochemical properties, the soil organic matter was measured using the potassium dichromate (Xilong Scientific Co., Ltd.Guangdong, China)wet combustion procedure in an externally heated oil bath (180 °C, boiling for 5 min) [14]. Total nitrogen was determined using the semi-micro-Kjeldahl method (digestion with 5 mL concentrated H2SO4 (Xilong Scientific Co., Ltd.Sichuan, China)), and available nitrogen was determined using the alkaline hydrolysis diffusion method (1.00 g of a dried soil sample was treated in a diffusion dish with 10 mL of 1.8 mol L−1 NaOH solution) (Tianjin Zhiyuan Chemical Reagent Co., LTD, Tianjin, China). After diffusion, the sample was absorbed using 3 mL of boric acid(Windship Chemical reagent Technology Co., LTD, Tianjin, China) and titrated with 0.01 mol L−1 of hydrochloric acid(Xilong Scientific Co., Ltd.Guangdong, China) solution [15]. Total phosphorus was measured using the HClO4-H2SO4 digestion–molybdenum antimony colorimetric method, and available phosphorus was measured using the 0.5 mol L−1 NaHCO3 (Tianjin Shengao Chemical Reagent Co., LTD, Tianjin, China) extraction–molybdenum antimony colorimetric method [14]. Total potassium was determined using the sodium hydroxide fusion flame photometric method, and available potassium was determined using the ammonium acetate (Fuchen Chemical reagent factory, Tianjin, China) extraction flame photometric method [15]. The phenol–sodium colorimetric method was adopted to measure urease. Bacterial colony-forming units were determined by the drop plate method [16]. The functional diversity of the soil microbial community was determined using BIOLOG ECO-plates (Hayward, CA, USA) [17].
The Shannon index (H), Simpson index (D), and evenness index (U) were calculated using the following equations:
A W C D =   ( C i R i )   n
D = 1 p i 2
H = P i ( l n p i )
U = ( n i 2 )
where n is the 31 carbon sources on the ECO board; Ci and Ri are the optical density values of the microwell and the control well, respectively. Pi is the ratio of the absorbance of a particular well i to the sum of the absorbance of all 31 wells at 120 h. Average well color development (AWCD) represents the overall carbon substrate utilization potential of cultural microbial communities across all wells per plate.

2.4. Evolution of Soil Fertility

Factor analysis: Factor analysis evaluates latent variables through explicit variables, finds out a few representative comprehensive factors among multiple variables, and decreases the number of variables, thus reducing dimension. The factor analysis method is characterized by high naming clarity and comprehensive evaluation of lateral cause clarity in applications, and the extracted common factors are more explanatory than the principal components extracted by principal component analysis [18].
Cluster analysis: Cluster analysis comprises a range of methods for classifying multivariate data into subgroups. Using the Euclidean distance as a measure of the difference in the fertility of each treatment, the shortest distance method was used to systematically cluster according to the degree of intimacy and similarity of soil fertility levels. By organizing multivariate data into such subgroups, clustering can help reveal the characteristics of any structure or pattern present [19].

2.5. Statistical Analysis

All the statistical analyses were performed using Excel 2018 (Office Software, Inc., Beijing, China) and SPSS 22.0 (SPSS Inc., Chicago, IL, USA). The comparisons of treatment means were based on the LSD test at the p < 0.05 probability level.

3. Results

3.1. Effects of Biochar Application on Basic Soil Fertility and Microbial Activity

Fertilization treatments affect soil nutrients in various ways (Table 1). Among them, soil organic matter, total nitrogen, and available potassium improved in varying degrees at different growth stages. The overall performance is that the combined application of biochar and nitrogen fertilizer (BN1, BN2) is better than the single application of biochar (B) and better than the single application of nitrogen fertilizer (N1, N2); the available phosphorus significantly increases during the flowering period compared to the single application of nitrogen fertilizer, with an increase of 35–52%; during the mature period, compared to CK, treatments of B, BN1, and BN2 raise soil available potassium by 22%, 26%, and 17%, respectively.
Table 1. Physiochemical parameters of soil (mean ± SD) for different treatments with wheat growth stage.
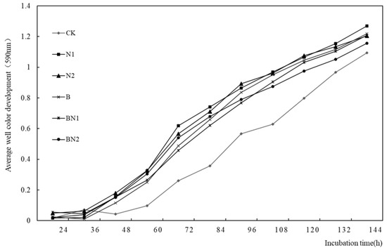
Fertilization treatments have different effects on soil bacteria quantity in wheat fields. With the progression of the growth period, the overall number of bacteria tends to increase. The bacterial quantities of all fertilization treatments are the highest in the mature stage. However, compared to CK, there is no significant difference (Figure 1). The effects of fertilization treatments on urease activity during the mature stage are negligible (Figure 2), and the difference between treatments is not significant. The AWCD value reflects the functional metabolic activity of soil microbial communities. The higher the value, the higher the metabolic activity. In contrast with CK, the metabolic activity of soil microorganisms towards a single carbon source is significantly enhanced under different fertilization treatments, and the difference is particularly significant during the logarithmic growth period of microbial cultivation (24–120 h) (Figure 3). When the cultivation of soil microorganisms enters a stable period (120 h), the overall metabolic activity of soil microorganisms when applying nitrogen fertilizer alone is higher than that when applying nitrogen fertilizer combined with biochar. AWCD values for different fertilization treatments from high to low: N1 > N2 > B > BN1 > BN2 > CK.
Figure 1. Bacterial population heat map for different treatments.
Figure 2. Urease activity for different treatments.
Figure 3. Overall average well color development (AWCD) curve of different treatments.
To further clarify the differences in carbon source functional groups in soil microbial communities under different treatments and the influencing factors, 31 types of carbon sources were divided into six categories: eight acids, seven sugars, six amino acids, four esters, three alcohols, and three amines. The results of 96 h of cultivation were used to analyze the quantitative characteristics of soil microorganisms utilizing different carbon sources, reflecting the composition and distribution of soil microbial community species. Compared with CK, the metabolic abilities of soil microbial communities for different carbon sources are enhanced under different fertilization treatments (Figure 4), similar to the changing trend of AWCD values of microorganisms. Generally, soil microorganisms under different treatments show high utilization abilities for carbohydrate and ester carbon sources, and CK also has the same trend. It indicates that the functional groups of soil microorganisms under different treatments have parallelism [20]. However, fertilization treatments may change the metabolic activity of microorganisms. Further analysis discovers that when applying nitrogen fertilizer alone or combined with biochar, soil microorganisms have different carbon source utilization abilities. Among them, the rank of the utilization abilities of CK, N1, and N2 for the six carbon sources of the ECO plates is as follows: amines > esters > alcohols > sugars > amino acids > acids. The rank of B, BN1, and BN2 is as follows: esters > amines > sugars > alcohols > amino acids > acids.
Figure 4. Thirty-one carbon substrates of all treatments for BIOLOG ECO-plates. Note: The unit in the figure is absorbance.
Metabolic diversity analysis of soil microbial communities was conducted on the average of 96 h absorbance values of soil incubation under different treatments (Table 2). The Shannon index (H) was used to assess species richness, the McIntosh index (U) was used to evaluate community species evenness, and the Simpson index (D) was used to estimate the dominance of some of the most common species. The results show that, compared with CK, the richness and evenness of soil microbial species also show an upward trend under different fertilization treatments. The overall performance displays that when applying nitrogen fertilizer alone, soil microbial metabolic activities are the strongest, followed by applying biochar alone, and when nitrogen fertilizer is applied combined with biochar, the soil microbial activity is the lowest. Due to the difference in soil environments under different fertilization treatments, the difference in soil microbial dominance under different treatments is not significant. It indicates that the pore structure of biochar may affect the release of nitrogen fertilizer and inhibit the microbial absorption of nitrogen fertilizer, thus reducing microbial activity. Furthermore, combined with the analysis of soil microbial carbon source utilization results, it demonstrates that fertilization treatments chiefly change the metabolic activities of soil microorganisms.
Table 2. AWCD and diversity indexes of soil microbial community in different treatments.

3.2. Selection of Soil Fertility Evaluation Indicators during Biochar Application

Soil fertility indicators need to be sifted through to evaluate the effects of soil fertility more comprehensively and objectively. Based on the principles of typical, stable, and comparable, this study selected 11 indicators that could represent the basic fertility status of irrigated areas in northern Xinjiang for soil quality evaluation, which are soil physical-chemical indicators (organic matter, total nitrogen, total phosphorus, total potassium, available phosphorus, and available potassium (X1–X6)) and soil biochemical indicators (bacteria quantity, urease activity, and the richness, evenness, and dominance indexes of microbial communities (X7–X11)). Their specific values are shown in Table 3.
Table 3. Mean values of fertility indexes.

3.3. Factor Analysis of Soil Fertility Quality

The first step of factor analysis is common factor extraction, of which the principles are that the cumulative contribution rate of eigenvalues is ≥ 85% and the first main factors in the factor loading matrix that do not lose variables after rotation are combined. The results show that the contribution rate of the three common factors to the sample variance is around 90%; that is, the three common factors contain nearly 90% of the total information in the original data. These three common factors can represent the 11 evaluation indicators. Therefore, the three common factors were selected for analysis. The eigenvalues, contribution rates, cumulative contribution rates, and factor loading matrix after variance rotation of these factors are shown in Table 4.
Table 4. Rotated component matrix.
The rotation factor matrix in Table 5 shows that on the first main factor, the indexes with high loading factors include the Shannon index, McIntosh index, and Simpson index. It can be seen that the first main factor (F1) essentially reflects soil microbial activity, so F1 can be named as the activity factor. The high loading factors on factor 2 (F2) include organic matter, available phosphorus, and available potassium, which reflect the soil’s capacity to provide crops with available nutrients. Organic matter is an important indicator of soil quality, which significantly affects the physical, chemical, and biological properties of soil. Therefore, the second factor can be seen as the available nutrient factor. On factor 3 (F3), high-loading factors contain total phosphorus, total potassium, and bacterial quantity, which essentially reflect the total storage of soil nutrients. Factor 3 (F3) can be taken as the nutrient-supplying and retaining factor.
Table 5. Component score coefficient matrix.

3.4. Scores and Ranking of Soil Quality under Different Treatments

The linear regression method was adopted to calculate the score of each treatment factor. The results show that there are significant differences in the performance of fertilization treatments based on the three common factors. In terms of the biodiversity factor (F1), the top three with the highest scores are N1, B, and N2, indicating that applying nitrogen fertilizer or biochar alone can both improve the diversity index of soil microorganisms. The addition of biochar can promote the soil’s ability to reserve and supply nutrients; that is, BN1, B, and BN2 score the highest on the available nutrient factor (F2), and BN2, BN1, and N2 score the highest on the total nutrient factor (F3).
The contribution rate of the eigenvalue of each common factor is weighted and summed to obtain the comprehensive evaluation index (Table 6). The results show that the top three with the highest comprehensive soil quality scores are BN1, BN2, and B. The highest score of the combined application of low nitrogen fertilizer and biochar (BN1) is due largely to the higher content of organic matter, available potassium, available phosphorus, total phosphorus, and total potassium.
Table 6. Scores of principal components and general scores of soil quality in different treatments.

3.5. Yield Data

Crop yield is an external, indirect, and comprehensive expression of the internal properties of cultivated soil, which can intuitively reflect soil quality to some extent. Therefore, crop yield is generally regarded as a basis for verifying the objectivity and accuracy of evaluation results. The wheat yield results indicate that the combination of biochar and nitrogen fertilizer leads to a higher yield (Table 7). The order of the comprehensive score of each treatment in the table from high to low is BN1 > BN2 > B > N1 > N2 > CK, indicating that the comprehensive scores of soil quality under different treatments basically coincide with the changing trend of yield, signifying that the application of factor analysis for soil quality evaluation is in line with objective practice. The evaluation results of soil quality based on factor analysis can be the basis for objectively and accurately studying soil quality.
Table 7. Yield and components under different fertilization patterns.

3.6. Cluster Analysis

The original data was standardized and then systematically clustered to clarify the evaluation results. As shown in Figure 5, the approximate classification of soil quality for each treatment shows that treatments in the same category have similar characteristics. To reflect the characteristic differences between categories, the distance threshold is set at 10 to make the categories have relatively large intervals. The six treatments can be divided into four categories. The overall characteristic of the four categories is classifying treatments according to similar fertilization patterns, indicating that under the experimental conditions of this study, the fertilization pattern is the key factor affecting soil quality.
Figure 5. Cluster analysis of soil fertilization in each treatment.
The cluster analysis results show that the single application of nitrogen fertilizer (N1 and N2) is the first category. The single application of biochar (B) is the second category. The combined application of biochar–nitrogen (BN1, BN2) is the third category. The CK is the fourth category. Based on the comprehensive score results of the factor analysis, these four categories of six treatments can be divided into four grades: Grade 1 = [BN1, BN2]; Grade 2 = [B]; Grade 3 = [N1, N2]; and Grade 4 = [CK].

4. Discussion

The application of biochar mainly changes soil physical-chemical properties, improves soil nutrient metabolism, and indirectly affects soil microbial community structure [21,22]. Research has found that, in contrast to no fertilization, applying biochar can increase microbe quantity. Bacteria quantity reaches its peak when the usage of biochar is 0.30% [23]. This study shows that the application of biochar and nitrogen fertilizer can both increase bacterial quantity. However, the effects are influenced by the amount of nitrogen fertilizer applied and whether it is applied in combination with biochar. Due to the porous structure and large surface area of biochar, adding biochar can directly provide a suitable habitat environment for the bacterial community and a possibility for an increase in bacterial quantity [24,25,26]. Meanwhile, this study also finds that adding biochar alone will inhibit urease activity, while the combined application of biochar and nitrogen fertilizer can promote urease activity. Analysis shows that carbonaceous materials in biochar are hard to decompose and thus cannot be hydrolyzed by urease quickly [27]. It can be deduced that the regulatory effects of biochar on soil fertility are not fully exerted, and its long-term effects should be further studied.
Biochar, nitrogen fertilizer, and their combined application can enhance the metabolic activity of soil microorganisms and the metabolic capacity of soil microbial communities [28]. The soil microbial activity is the lowest when nitrogen fertilizer is applied combined with biochar, indicating that biochar application increases the enrichment of soil organic carbon, enhances soil microbial biomass carbon, and enlarges soil C/N; thus, few parts can be directly absorbed and utilized by microorganisms, for which the processes of decomposition and mineralization of microorganisms are slow [29,30]. The diversity of soil microorganisms is closely related to changes in soil nutrients, which will inevitably affect microbial metabolic activity. The carbon sources, which are sugars, amino acids, and esters, play a differentiation role [31]. As shown in this study, the richness and species evenness of soil microorganisms show an upward trend under different fertilization treatments, and the utilization of different carbon sources by soil microorganisms varies under fertilization treatments. The single application of nitrogen fertilizer significantly increases the activity of saccharide metabolism. The combined application of biochar with low nitrogen (BN1) can significantly increase the ability of ester metabolism. Nitrogen fertilizer applied to the soil can quickly increase the soil nitrogen pool, promote the growth and development of most heterotrophic microorganisms, and boost saccharide metabolism [32,33,34]. When nitrogen fertilizer is applied together with biochar, it can reduce the loss of nitrogen fertilizer transportation, regulate soil nitrification and denitrification, generate slow-release carriers, maintain fertility, temporarily reserve soil nutrients, increase the content of soil organic matter, and provide organic carbon sources for the absorption and utilization of microorganisms [35,36,37,38,39,40]. With sufficient nutrients, microorganisms have vigorous activities; therefore, they expand microbial species and promote the stability of microbial functions. Moreover, the porous structure of biochar adsorbs free nutrients, changes soil nutrient cycling, and induces the development of microbial communities with specific physiological characteristics, thus altering the metabolic pathway of soil microorganisms [27,41,42].
Soil microorganisms are a critical component in soil nutrient cycling, which can promote soil nutrient cycling, improve the ability of plant organs to collect nutrients, and accelerate crop growth [38,43,44,45,46]. When biochar is applied to the soil, it changes microbial habitat and regulates the structure of microbial communities. The structures and metabolic functions of different communities and corresponding utilization methods of carbon sources coordinate the balanced utilization of plant-root soil nutrients by soil microorganisms, promote nutrient absorption of aboveground plants, and ultimately affect yield [47,48,49]. Many studies have proved that adding biochar can improve soil nutrient content [40,49,50]. This study indicated that the combination of biochar and nitrogen fertilizer can increase soil organic matter content. After biochar is applied to the soil, it can replenish the organic matter that was taken away by the harvest of mature crops. It can also supplement some mineral elements, which can increase the organic matter content [51]. As for nitrogen fertilizer, it is a kind of quick-acting nitrogen that is beneficial to the improvement of soil nutrients after being applied to the soil [52]. Generally speaking, there is a positive correlation between soil total nitrogen content and organic matter content. The content and supply of soil nitrogen depend on the accumulation and decomposition rates of organic matter. The results of this study show that the changing trends of soil total nitrogen content and soil organic matter content are basically consistent, which is manifested by the combined application of biochar and nitrogen fertilizer (BN1 and BN2) being better than biochar treatment (B) and nitrogen fertilizer treatment (N1 and N2). The yield data of this study shows that, compared to the single application of biochar, the combined application of low nitrogen and biochar can promote dry matter accumulation after blooming and grain dry matter accumulation in winter wheat and increase yield.
Soil quality comprehensively reflects the physical, chemical, and biological characteristics of soil, and its evaluation results can directly reflect the overall soil condition. Evaluating soil quality usually requires physical, chemical, and biological indicators of soil. This study selected soil physical, chemical, and biological properties that could represent soil quality as evaluation indicators. Factor analysis was adopted to comprehensively analyze the effects of the application of biochar and nitrogen fertilizer on wheat field soil quality. Eleven original indicators were reduced in dimension, and three common factors were extracted, with a cumulative contribution rate of 90%. Cluster analysis showed that biochar combined with nitrogen reduction brought about high soil fertility levels. This indicated that an appropriate amount of biochar and nitrogen fertilizer was beneficial to the improvement of soil fertility, being similar to reports by Nasim et al. [53] and Veysel et al. [54]. Generally, the yield can reflect the soil fertility to a certain extent. In this study, grain yields of BN2 were the highest, followed by other treatments at the BN1 and B levels, while the yields at the N1, N2, and CK levels were the lowest, being basically consistent with the results of cluster analysis. It was feasible to use cluster analysis to classify the soil fertility level, which was in line with objective reality and could be used as a basis for evaluating the effect of biochar combined with nitrogen reduction on soil fertility.

5. Conclusions

Available phosphorus, geometric mean diameter of water stability, fungi number, and utilization of microorganisms on sugars, amino acids, polymers, and carboxylic acids were the main soil factors affecting soil fertilization and wheat yield under biochar combined with nitrogen reduction based on factor analysis. Moreover, based on factor analysis and cluster analysis, the combined application of 30 × 103 kg·hm−2 of biochar and 150 kg hm−2 of nitrogen fertilizer had a better fertilization effect. From the perspective of comprehensive economic and environmental benefits, 30 × 103 kg·hm−2 biochar combined with 150 kg hm−2 nitrogen fertilizer was the optimal fertilization model in irrigated areas in northern Xinjiang, China, which is more advantageous for improving the soil structure of wheat fields and increasing crop yield.

Author Contributions

Conceptualization, W.Y., Z.W., H.Z., H.J. and W.X.; methodology, W.Y., S.G., M.Y., L.Z. and W.X.; software, W.Y., Z.W., S.G., M.Y., L.Z. and H.Z.; validation, H.Z.; formal analysis, W.Y., Z.W., S.G., L.Z. and H.Z.; investigation, Z.W.; resources, W.Y., H.J. and W.X.; data curation, W.Y., Z.W., S.G., M.Y., L.Z. and H.Z.; writing—original draft preparation, W.Y., Z.W., S.G., M.Y. and L.Z.; writing—review and editing, W.Y., Z.W., H.Z., H.J. and W.X.; visualization, H.Z.; supervision, H.J. and W.X.; project administration, W.Y.; funding acquisition, W.Y. All authors have read and agreed to the published version of the manuscript.

Funding

This work was supported by the National Natural Science Foundation of China (No. 32260326).

Data Availability Statement

The data used to support the findings of this study are available from the corresponding author upon request.

Conflicts of Interest

The authors declare no conflict of interest.

References

  1. Bezerra, J.; Turnhout, E.; Vasquez, I.M.; Rittl, T.F.; Arts, B.; Kuyper, T.W. The promises of the Amazonian soil: Shifts in discourses of Terra Preta and biochar. J. Environ. Policy Plan. 2019, 21, 623–635. [Google Scholar] [CrossRef]
  2. Hossain, M.Z.; Bahar, M.M.; Sarkar, B.; Donne, S.W.; Ok, Y.S.; Palansooriya, K.N.; Kirkham, M.B.; Chowdhury, S.; Bolan, N. Biochar and its importance on nutrient dynamics in soil and plant. Biochar 2020, 2, 379–420. [Google Scholar] [CrossRef]
  3. Spokas, K.A.; Novak, J.M.; Venterea, R.T. Biochar’s role as an alternative N-fertilizer: Ammonia capture. Plant Soil. 2012, 350, 35–42. [Google Scholar] [CrossRef]
  4. Biederman, L.A.; Harpole, W.S. Biochar and its effects on plant productivity and nutrient cycling: A meta-analysis. GCB Bioenergy 2013, 5, 202–214. [Google Scholar] [CrossRef]
  5. Liu, X.; Zhang, A.; Ji, C.; Joseph, S.; Bian, R.; Li, L.; Pan, G.; Paz-Ferreiro, J. Biochar’s effect on crop productivity and the dependence on experimental conditions—A meta-analysis of literature data. Plant Soil 2013, 373, 583–594. [Google Scholar] [CrossRef]
  6. Gale, N.V.; Halim, M.A.; Horsburgh, M.; Thomas, S.C. Comparative responses of early-successional plants to charcoal soil amendments. Ecosphere 2017, 8, e01933. [Google Scholar] [CrossRef]
  7. Thomas, S.C.; Gale, N. Biochar and forest restoration: A review and meta-analysis of tree growth responses. N. For. 2015, 46, 931–946. [Google Scholar] [CrossRef]
  8. Gao, S.; DeLuca, T.H.; Cleveland, C.C. Biochar additions alter phosphorus and nitrogen availability in agricultural ecosystems: A meta-analysis. Sci. Total Environ. 2019, 654, 463–472. [Google Scholar] [CrossRef]
  9. Dai, Y.; Zheng, H.; Jiang, Z.; Xing, B. Combined effects of biochar properties and soil conditions on plant growth: A meta-analysis. Sci. Total Environ. 2020, 713, 136635. [Google Scholar] [CrossRef]
  10. Xiang, Y.; Deng, Q.; Duan, H.; Guo, Y. Effects of biochar application on root traits: A meta-analysis. GCB Bioenergy 2017, 9, 1563–1572. [Google Scholar] [CrossRef]
  11. Xiao, Q.; Zhu, L.X.; Zhang, H.P.; Li, X.Y.; Shen, Y.F.; Li, S.Q. Soil amendment with biochar increase maize yields in a semi-arid region by improving soil quality and root growth. Crop Pasture Sci. 2016, 67, 495–507. [Google Scholar] [CrossRef]
  12. Li, Y.F.; Hu, S.D.; Chen, J.H.; Müller, K.; Li, Y.C.; Fu, W.J.; Lin, Z.W.; Wang, H.L. Effects of biochar application in forest ecosystems on soil properties and greenhouse gas emissions—A review. J. Soils Sediments 2018, 18, 546–563. [Google Scholar] [CrossRef]
  13. Zhao, W.; Zhou, Q.; Tian, Z.Z.; Cui, Y.T.; Liang, Y.; Wang, H.Y. Apply biochar to ameliorate soda saline-alkali land, improve soil function and increase corn nutrient availability in the Songnen Plain. Sci. Total Environ. 2020, 722, 137428. [Google Scholar] [CrossRef]
  14. Bao, S.D. Soil Agrochemical Analysis, 3rd ed.; China Agriculture Press: Beijing, China, 2000; pp. 14–21. [Google Scholar]
  15. Faithfull, N.T. Methods in Agricultural Chemical Analysis: A Practical Handbook, 1st ed.; CABI Publishing: Wallingford, UK, 2002; Volume 140, pp. 245–249. [Google Scholar] [CrossRef]
  16. Herigstad, B.; Hamilton, M.; Heersink, J. How to optimize the drop plate method for enumerating bacteria. J. Microbiol. Methods 2001, 44, 121–129. [Google Scholar] [CrossRef] [PubMed]
  17. Garland, J.L.; Mills, A.L. Classification and characterization of heterotrophic microbial communities on the basis of patterns of community-level sole-carbon-source utilization. Appl. Environ. Microbiol. 1991, 57, 2351–2359. [Google Scholar] [CrossRef]
  18. Lever, J.; Krzywinski, M.; Altman, N. Points of significance: Principal component analysis. Nat. Methods 2017, 14, 641–642. [Google Scholar] [CrossRef]
  19. Gianluca Alaimo, G.; Auricchio, F.; Marfia, S.; Sacco, E. Optimization clustering technique for PieceWise Uniform Transformation Field Analysis homogenization of viscoplastic composites. Comput. Mech. 2019, 64, 1495–1516. [Google Scholar] [CrossRef]
  20. Wagg, C.; Schlaeppi, K.; Banerjee, S.; Kuramae, E.E.; Heijden, M.G.A. Fungal-bacterial diversity and microbiome complexity predict ecosystem functioning. Nat. Commun. 2019, 10, 4841. [Google Scholar] [CrossRef]
  21. Khan, Z.; Zhang, K.K.; Khan, M.N.; Fahad, S.; Xu, Z.H.; Hu, L.Y. Coupling of Biochar with Nitrogen Supplements Improve Soil Fertility, Nitrogen Utilization Efficiency and Rapeseed Growth. Agronomy 2020, 10, 1661. [Google Scholar] [CrossRef]
  22. Zhang, C.; Li, X.Y.; Yan, H.; Ullah, I.; Zuo, Z.Y.; Li, L.; Yu, J.J. Effects of irrigation quantity and biochar on soil physical proerties, growth characteristics, yield and quality of greenhouse tomato. Agric. Water Manag. 2022, 241, 106243. [Google Scholar] [CrossRef]
  23. Liu, Y.H.; Ma, Z.T.; Chen, R.; Jiang, W.T.; Yin, C.M.; Mao, Z.Q.; Wang, Y.F. Biochar promotes the growth of apple seedlings by adsorbing phloridzin. Sci. Hortic. 2022, 303, 111187. [Google Scholar] [CrossRef]
  24. Ali, I.; He, L.; Ullah, S.; Quan, Z.; Wei, S.Q.; Iqbal, A.; Munsif, F.; Shah, T.; Xuan, Y.; Luo, Y.Q.; et al. Biochar addition coupled with nitrogen fertilization impacts on soil quality, crop productivity, and nitrogen uptake under double-cropping system. Food Energy Secur. 2020, 9, e208. [Google Scholar] [CrossRef]
  25. Ali, I.; Ullah, S.; He, L.; Zhao, Q.; Iqbal, A.; Wei, S.Q.; Shah, T.; Ali, N.; Bo, Y.; Adnan, M.M.; et al. Combined application of biochar and nitrogen fertilizer improves rice yield, microbial activity and N-metabolism in a pot experiment. PeerJ 2020, 8, e10311. [Google Scholar] [CrossRef] [PubMed]
  26. Ali, I.; Zhao, Q.; Wu, K.; Ullah, S.; Iqbal, A.; Liang, H.; Zhang, J.; Muhammad, I.; Amanullah; Khan, A.; et al. Biochar in combination with nitrogen fertilizer is a technique: To enhance physiological and morphological traits of rice (Oryza sativa L.) by improving soil physiobiochemical properties. J. Plant Growth Regul. 2021, 41, 2406–2420. [Google Scholar] [CrossRef]
  27. Song, D.L.; Xi, X.Y.; Zheng, Q.; Liang, G.Q.; Zhou, W.; Wang, X.B. Soil nutrient and microbial activity responses to two years after maize straw biochar application in a calcareous soil. Ecotoxicol. Environ. Saf. 2019, 180, 348–356. [Google Scholar] [CrossRef]
  28. Głodowska, M.; Wozniak, M. Changes in Soil Microbial Activity and Community Composition as a Result of Selected Agricultural Practices. Agric. Sci. 2019, 10, 330–351. [Google Scholar] [CrossRef][Green Version]
  29. Lu, W.W.; Ding, W.X.; Zhang, J.H.; Li, Y.; Luo, J.F.; Balan, N.; Xie, Z.B. Biochar suppressed the decomposition of organic carbon in a cultivated sandy loam soil: A negative priming effect. Soil Biol. Biochem. 2014, 76, 12–21. [Google Scholar] [CrossRef]
  30. Yu, Z.Y.; Ling, L.; Singh, B.P.; Luo, Y.; Xu, J.M. Gain in carbon: Deciphering the abiotic and biotic mechanisms of biochar-induced negative priming effects in contrasting soils. Sci. Total Environ. 2020, 746, 141057. [Google Scholar] [CrossRef]
  31. Tian, X.; Li, Z.; Wang, Y.; Li, B.; Wang, L. Evaluation on soil fertility quality under biochar combined with nitrogen reduction. Sci. Rep. 2021, 11, 13792. [Google Scholar] [CrossRef]
  32. Hussain, M.; Farooq, M.; Nawaz, A.; Abdullah, M.A.; Solaiman, Z.M.; Alghamdi, S.S.; Ammara, U.; Sik, O.Y.; Siddique, K.H.M. Biochar for crop production: Potential benefits and risks. J. Soils Sediments 2017, 17, 685–716. [Google Scholar] [CrossRef]
  33. Li, M.; Liu, M.; Li, Z.P.; Jiang, C.Y.; Wu, M. Soil N transformation and microbial community structure as affected by adding biochar to a paddy soil of subtropical China. J. Integr. Agric. 2016, 15, 209–219. [Google Scholar] [CrossRef]
  34. Max, K.; Ellen, R.; Ludmila, T.; Yigal, E.; Eddie, C. Biochar-stimulated plant performance is strongly linked to microbial diversity and metabolic potential in the rhizosphere. New Phytol. 2017, 213, 1393–1404. [Google Scholar] [CrossRef]
  35. Liu, S.M.; Li, Y.W.; Xu, J.Z.; Ma, W.J.; Liu, B.Y.; Wang, H.Y.; Liu, X.Y.; Luan, Y.J. Biochar partially offset the increased ammonia volatilization from salt-affected soil. Arch. Agron. Soil Sci. 2021, 67, 1202–1216. [Google Scholar] [CrossRef]
  36. Lehmann, J.; Cowie, A.; Masiello, C.A.; Kammann, C.; Woolf, D.; Amonette, J.; Cayuela, M.; Camps, A.M.; Whitman, T. Biochar in climate change mitigation. Nat. Geosci. 2021, 14, 883–892. [Google Scholar] [CrossRef]
  37. Huang, K.; Zhang, J.; Tang, G.; Da, B.; Tangyu, W.; Deping, K. Impacts and mechanisms of biochar on soil microorganisms. Plant, Soil and Environment. 2023, 69, 45–54. [Google Scholar] [CrossRef]
  38. Zheng, H.; Wang, X.; Chen, L.; Wang, Z.Y.; Xia, Y.; Zhang, Y.P.; Wang, H.F.; Luo, X.X.; Xing, B.S. Enhanced growth of halophyte plants in biochar-amended coastal soil: Roles of nutrient availability and rhizosphere microbial modulation. Plant Cell Environ. 2018, 41, 517–532. [Google Scholar] [CrossRef]
  39. Luo, X.X.; Liu, G.C.; Xia, Y.; Lei, C.; Jiang, Z.X.; Zheng, H.; Wang, Z.Y. Use of biochar-compost to improve properties and productivity of the degraded coastal soil in the Yellow River Delta, China. J. Soils Sediments 2017, 17, 780–789. [Google Scholar] [CrossRef]
  40. Xu, X.Y.; Zhao, Y.H.; Sima, J.K.; Zhao, L.; Ondřej, M.; Cao, X.D. Indispensable role of biochar-inherent mineral constituents in its environmental applications: A review. Bioresour. Technol. 2017, 241, 887–899. [Google Scholar] [CrossRef]
  41. Zheng, S.; Wang, Y.W.; Lai, J.L.; Zhang, Y.; Luo, X.G. Effects of long-term herbaceous plant restoration on microbial communities and metabolic profiles in coal gangue-contaminated soil. Environ. Res. 2023, 234, 116491. [Google Scholar] [CrossRef]
  42. Zhu, X.M.; Chen, B.L.; Zhu, L.Z.; Xing, B.S. Effects and mechanisms of biochar-microbe interactions in soil improvement and pollution remediation: A review. Environ. Pollut. 2017, 227, 98–115. [Google Scholar] [CrossRef]
  43. Liao, H.K.; Zheng, C.L.; Long, J.; Ivette, G. Effects of biochar amendment on tomato rhizosphere bacterial communities and their utilization of plant-derived carbon in a calcareous soil. Geoderma 2021, 396, 115082. [Google Scholar] [CrossRef]
  44. Li, Y.F.; Li, G.H. Mechanisms of straw biochar’s improvement of phosphorus bioavailability in soda saline-alkali soil. Environ. Sci. Pollut. Res. 2022, 29, 47867–47872. [Google Scholar] [CrossRef]
  45. Liang, J.F.; Li, Q.W.; Gao, J.Q.; Feng, J.G.; Zhang, X.Y.; Wu, Y.Q.; Yu, F.H. Biochar rhizosphere addition promoted phragmites australis growth and changed soil properties in the yellow river delta. Sci. Total Environ. 2021, 761, 143291. [Google Scholar] [CrossRef] [PubMed]
  46. Wu, L.P.; Zheng, H.N.; Wang, X.J. Effects of soil amendments on fractions and stability of soil organic matter in saline-alkaline paddy. J. Environ. Manag. 2021, 294, 112993. [Google Scholar] [CrossRef] [PubMed]
  47. Masiello, C.A.; Chen, Y.; Gao, X.D.; Liu, S.; Cheng, H.-Y.; Bennett, M.R.; Rudgers, J.A.; Wagner, D.S.; Zygourakis, K.; Silberg, J.J. Biochar and microbial signaling: Production conditions determine effects on microbial communication. Environ. Sci. Technol. 2013, 47, 11496–11503. [Google Scholar] [CrossRef] [PubMed]
  48. Liu, S.N.; Meng, J.; Jiang, L.L.; Yang, X.; Lan, Y.; Cheng, X.; Chen, W. Rice husk biochar impacts soil phosphorous availability, phosphatase activities and bacterial community characteristic s in three different soil types. Appl. Soil Ecol. 2017, 116, 12–22. [Google Scholar] [CrossRef]
  49. El-naggar, A.; Lee, S.S.; Rinklebe, J.; Muhammad, F.; Song, H.; Ajit, K.S.; Andrew, R.Z.; Mahtab, A.; Sabry, M.S.; Yong, S.O. Biochar application to low fertility soils: A review of current status, and future prospects. Geoderma 2019, 337, 536–554. [Google Scholar] [CrossRef]
  50. Zheng, H.; Wang, Z.Y.; Deng, X.; Zhao, J.; Luo, Y.; Novak, J.; Herbert, S.; Xing, B.S. Characteristics and nutrient values of biochars produced from giant reed at different temperatures. Bioresour. Technol. 2013, 130, 463–471. [Google Scholar] [CrossRef]
  51. Xu, W.; Wang, G.; Deng, F.; Zou, X.; Ruan, H.; Chen, H.Y.H. Responses of soil microbial biomass, diversity and metabolic activity to biochar applications in managed poplar plantations on reclaimed coastal saline soil. Soil Use Manag. 2018, 34, 597–605. [Google Scholar] [CrossRef]
  52. Rehab, H.; Hegab, A. Evaluation of nitrogen sources and polymer coated fertilizers on wheat yield in sandy soil. J. Soil Sci. Plant Nutr. 2018, 3, 1–12. [Google Scholar] [CrossRef]
  53. Nasim, W.; Ahmad, A.; Amin, A.; Tariq, M.; Awais, M.; Saqib, M.; Jabran, K.; Shah, G.M.; Sultana, S.R.; Hammad, H.M.; et al. Radiation efficiency and nitrogen fertilizer impacts on sunflower crop in contrasting environments of Punjab, Pakistan. Environ. Sci. Pollut. Res. 2018, 25, 1822–1836. [Google Scholar] [CrossRef] [PubMed]
  54. Veysel, T.; Shahbaz, A.K.; Mahmood, R.M.; Muhammad, I.; Pia, M.A.R.; Maryam, F. Promoting the productivity and quality of brinjal aligned with heavy metals immobilization in a wastewater irrigated heavy metal polluted soil with biochar and chitosan. Ecotox. Environ. Saf. 2018, 161, 409–419. [Google Scholar] [CrossRef]
Disclaimer/Publisher’s Note: The statements, opinions and data contained in all publications are solely those of the individual author(s) and contributor(s) and not of MDPI and/or the editor(s). MDPI and/or the editor(s) disclaim responsibility for any injury to people or property resulting from any ideas, methods, instructions or products referred to in the content.

Article Metrics

Citations

Article Access Statistics

Multiple requests from the same IP address are counted as one view.