Early and Late Season Nutrient Stress Conditions: Impact on Cotton Productivity and Quality
Abstract
1. Introduction
2. Materials and Methods
2.1. Experimental Site
2.2. Field Experiment
2.3. Plot Management
2.4. Data Collection
2.5. Statistical Analyses
3. Results
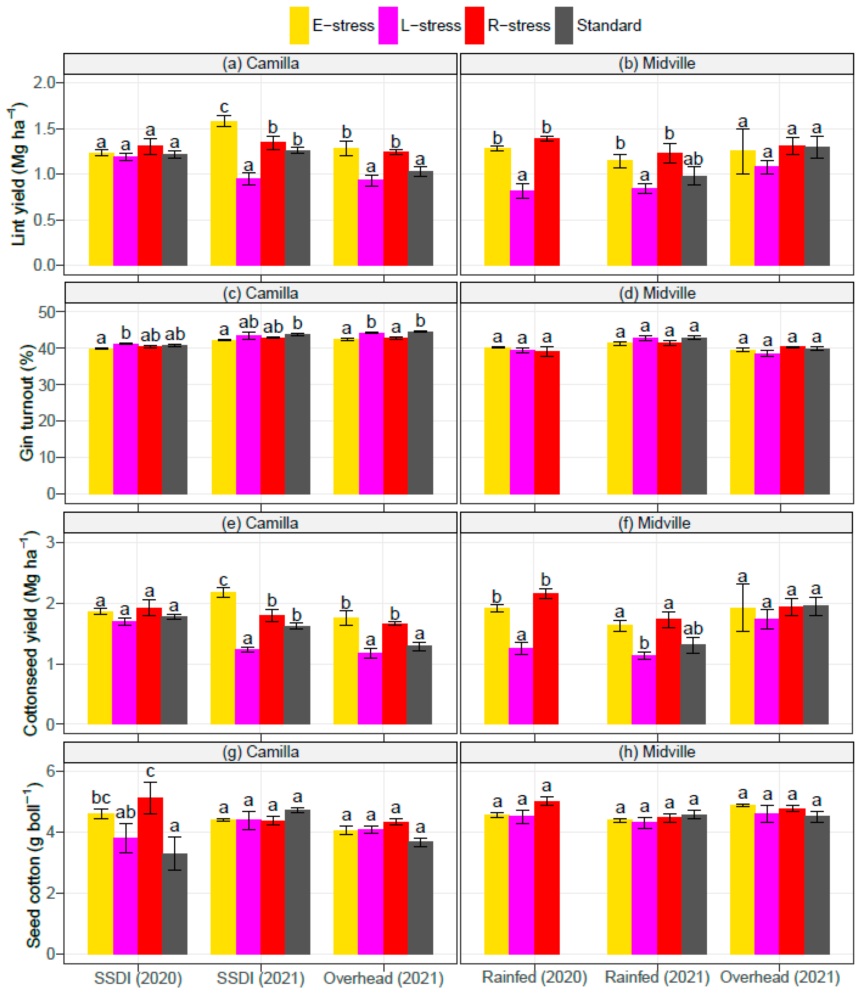
3.1. Lint Yield, Gin Turnout, and Seed Cotton
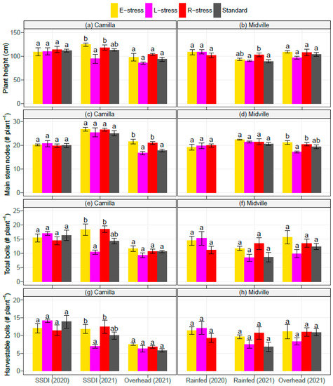
3.2. Plant Height, Nodes, and Boll Development
3.3. Biomass Accumulation
3.4. Fiber Quality
4. Discussion
5. Conclusions
Supplementary Materials
Author Contributions
Funding
Data Availability Statement
Acknowledgments
Conflicts of Interest
Abbreviations
References
- FAOSTAT. Food and Agriculture Data; Statistics Division, Food and Agriculture Organization, United Nations: Rome, Italy, 2022. [Google Scholar]
- USDA-NASS. Quick Stats; USDA National Agricultural Statistics Service: Washington, DC, USA, 2022.
- Daystar, J.S.; Barnes, E.; Hake, K.; Kurtz, R. Sustainability Trends and Natural Resource Use in U.S. Cotton Production. BioResources 2017, 12, 362–392. [Google Scholar] [CrossRef][Green Version]
- Shaheen, M.; Ali, M.Y.; Muhammad, T.; Qayyum, M.A.; Atta, S.; Bashir, S.; Amjad Bashir, M.; Hashim, S.; Hashem, M.; Alamri, S. New Promising High Yielding Cotton Bt-Variety RH-647 Adapted for Specific Agro-Climatic Zone. Saudi J. Biol. Sci. 2021, 28, 4329–4333. [Google Scholar] [CrossRef] [PubMed]
- Constable, G.A.; Bange, M.P. The Yield Potential of Cotton (Gossypium Hirsutum L.). F. Crop. Res. 2015, 182, 98–106. [Google Scholar] [CrossRef]
- Rochester, I.J.; Constable, G.A. Improvements in Nutrient Uptake and Nutrient Use-Efficiency in Cotton Cultivars Released between 1973 and 2006. F. Crop. Res. 2015, 173, 14–21. [Google Scholar] [CrossRef]
- Pabuayon, I.L.B.; Lewis, K.L.; Ritchie, G.L. Dry Matter and Nutrient Partitioning Changes for the Past 30 Years of Cotton Production. Agron. J. 2020, 112, 4373–4385. [Google Scholar] [CrossRef]
- Singh, S.; Tan, H.H. High Natural Gas Prices Could Lead to Spike in Food Costs through Fertilizer Link; S&P Global Platts: London, UK, 2022. [Google Scholar]
- Townsend, A.R.; Howarth, R.W.; Bazzaz, F.A.; Booth, M.S.; Cleveland, C.C.; Collinge, S.K.; Dobson, A.P.; Epstein, P.R.; Holland, E.A.; Keeney, D.R.; et al. Human Health Effects of a Changing Global Nitrogen Cycle. Front. Ecol. Environ. 2003, 1, 240–246. [Google Scholar] [CrossRef]
- Shahzad, K.; Abid, M.; Sintim, H.Y. Wheat Productivity and Economic Implications of Biochar and Inorganic Nitrogen Application. Agron. J. 2018, 110, 2259–2267. [Google Scholar] [CrossRef]
- Rochester, I.J.; Constable, G.A.; Oosterhuis, D.M.; Errington, M. Nutritional Requirements of Cotton during Flowering and Fruiting. In Flowering and Fruiting in Cotton; Oosterhuis, D.M., Cothren, J.T., Eds.; The Cotton Foundation: Cordova, TN, USA, 2012; Volume 8, pp. 35–50. [Google Scholar]
- Bassett, D.M.; Anderson, W.D.; Werkhoven, C.H.E. Dry Matter Production and Nutrient Uptake in Irrigated Cotton (Gossypium Hirsutum). Agron. J. 1970, 62, 299–303. [Google Scholar] [CrossRef]
- Esfandbod, M.; Phillips, I.R.; Miller, B.; Rashti, M.R.; Lan, Z.M.; Srivastava, P.; Singh, B.; Chen, C.R. Aged Acidic Biochar Increases Nitrogen Retention and Decreases Ammonia Volatilization in Alkaline Bauxite Residue Sand. Ecol. Eng. 2017, 98, 157–165. [Google Scholar] [CrossRef]
- Shahzad, K.; Abid, M.; Sintim, H.Y.; Hussain, S.; Nasim, W. Tillage and Biochar Effects on Wheat Productivity under Arid Conditions. Crop Sci. 2019, 59, 1191–1199. [Google Scholar] [CrossRef]
- Mandal, S.; Thangarajan, R.; Bolan, N.S.; Sarkar, B.; Khan, N.; Ok, Y.S.; Naidu, R. Biochar-Induced Concomitant Decrease in Ammonia Volatilization and Increase in Nitrogen Use Efficiency by Wheat. Chemosphere 2016, 142, 120–127. [Google Scholar] [CrossRef] [PubMed]
- Russell, J.S. Evaluation of Residual Nutrient Effects in Soils. Aust. J. Agric. Res 1977, 28, 461–475. [Google Scholar] [CrossRef]
- Torma, S.; Vilček, J.; Lošák, T.; Kužel, S.; Martensson, A. Residual Plant Nutrients in Crop Residues–an Important Resource. Acta Agric. Scand. Sect. B Soil Plant Sci. 2018, 68, 358–366. [Google Scholar] [CrossRef]
- Sintim, H.Y.; Adjesiwor, A.T.; Zheljazkov, V.D.; Islam, M.A.; Obour, A.K. Nitrogen Application in Sainfoin under Rain-Fed Conditions in Wyoming: Productivity and Cost Implications. Agron. J. 2016, 108, 294–300. [Google Scholar] [CrossRef]
- Georgia AEMN. Georgia Automated Environmental Monitoring Network; University of Georgia: Griffin, GA, USA, 2022; Available online: www.georgiaweather.net (accessed on 15 January 2022).
- Soil Survey Staff. Keys to Soil Taxonomy, 12th ed.; USDA-Natural Resources Conservation Service: Washington, DC, USA, 2014; ISBN 016085427X.
- UGA-AESL. UGFertex: Prescription Lime and Nutrient Guidelines for Agronomic Crops; UGFertex Version 3.1; University of Georgia Agricultural and Environmental Services Laboratories, University of Georgia: Athens, GA, USA, 2022. [Google Scholar]
- Campbell, C.R. Reference Sufficiency Ranges for Plant Analysis in the Southern Region of the United States; Southern Cooperative Series Bulletin #394: Raleigh, NC, USA, 2000. [Google Scholar]
- Hand, C.; Culpepper, S.; Harris, G.; Kemerait, B.; Liu, Y.; Perry, C.; Porter, W.; Roberts, P.; Smith, A.; Virk, S.; et al. 2021 Georgia Cotton Production Guide; University of Georgia Extension: Athens, GA, USA, 2021. [Google Scholar]
- Whitaker, J.; Culpepper, S.; Freeman, S.; Harris, G.; Kemerait, B.; Perry, C.; Porter, W.; Roberts, P.; Liu, Y.; Smith, A.; et al. 2020 Georgia Cotton Production Guide; University of Georgia Extension: Athens, GA, USA, 2020. [Google Scholar]
- CI. The Classification of Cotton; Cotton Incorporated, Agricultural Handbook 566: Cary, NC, USA, 2018. [Google Scholar]
- Bates, D.; Maechler, M.; Bolker, B.; Walker, S. Fitting Linear Mixed-Effects Models Using Lme4. J. Stat. Softw. 2015, 67, 1–48. [Google Scholar] [CrossRef]
- Lenth, R.; Love, J.; Herve, M. Estimated Marginal Means, Aka Least-Squares Means; Package “Emmeans”, Version 1.1.2; The R Foundation: Vienna, Austria, 2018. [Google Scholar]
- Atkin, O.K.; Loveys, B.R.; Atkinson, L.J.; Pons, T.L. Phenotypic Plasticity and Growth Temperature: Understanding Interspecific Variability. J. Exp. Bot. 2006, 57, 267–281. [Google Scholar] [CrossRef]
- Li, B.; Tian, Q.; Wang, X.; Han, B.; Liu, L.; Kong, X.; Si, A.; Wang, J.; Lin, Z.; Zhang, X.; et al. Phenotypic Plasticity and Genetic Variation of Cotton Yield and Its Related Traits under Water-Limited Conditions. Crop J. 2020, 8, 966–976. [Google Scholar] [CrossRef]
- De Neve, S. Organic Matter Mineralization as a Source of Nitrogen. In Advances in Research on Fertilization Management of Vegetable Crops; Tei, F., Nicola, S., Benincasa, P., Eds.; Springer: Cham, Switzerland, 2017; pp. 65–83. [Google Scholar]
- Myers, R.J.K.; Palm, C.A.; Cuevas, E.; Gunatilleke, I.U.N.; Brossard, M. The Synchronisation of Nutrient Mineralisation and Plant Nutrient Demand. In The Biological Management of Tropical Soil Fertility; Woomer, P.L., Swift, M.J., Eds.; Wiley: Hoboken, NJ, USA, 1994. [Google Scholar]
- Sintim, H.Y.; Zheljazkov, V.D.; Obour, A.K.; Garcia y Garcia, A.; Foulke, T.K. Influence of Nitrogen and Sulfur Application on Camelina Performance under Dryland Conditions. Ind. Crops Prod. 2015, 70, 253–259. [Google Scholar] [CrossRef]
- Whalen, J.K. Managing Soil Biota-Mediated Decomposition and Nutrient Mineralization in Sustainable Agroecosystems. Adv. Agric. 2014, 2014, 1–13. [Google Scholar] [CrossRef]
- Grzyb, A.; Wolna-Maruwka, A.; Niewiadomska, A. Environmental Factors Affecting the Mineralization of Crop Residues. Agronomy 2020, 10, 1951. [Google Scholar] [CrossRef]
- Shahzad, K.; Sintim, H.Y.; Ahmad, F.; Abid, M.; Nasim, W. Importance of Carbon Sequestration in the Context of Climate Change. In Building Climate Resilience in Agriculture; Jatoi, W.N., Mubeen, M., Ahmad, A., Cheema, M.A., Lin, Z., Hashmi, M.Z., Eds.; Springer: Cham, Switzerland, 2022; pp. 385–401. ISBN 978-3-030-79407-1. [Google Scholar]
- Sintim, H.Y.; Shahzad, K.; Bary, A.I.; Collins, D.P.; Myhre, E.A.; Flury, M. Differential Gas Exchange and Soil Microclimate Dynamics under Biodegradable Plastic, Polyethylene, and Paper Mulches. Ital. J. Agron. 2022, 17, 1979. [Google Scholar] [CrossRef]
- Luo, H.; Wang, Q.; Zhang, J.; Wang, L.; Li, Y.; Yang, G. Minimum Fertilization at the Appearance of the First Flower Benefits Cotton Nutrient Utilization of Nitrogen, Phosphorus and Potassium. Sci. Rep. 2020, 10, 6815. [Google Scholar] [CrossRef] [PubMed]
- Yang, G.; Tang, H.; Tong, J.; Nie, Y.; Zhang, X. Effect of Fertilization Frequency on Cotton Yield and Biomass Accumulation. F. Crop. Res. 2012, 125, 161–166. [Google Scholar] [CrossRef]
- Sui, R.; Byler, R.K.; Delhom, C.D.; Sui, R. Effect of Nitrogen Application Rates on Yield and Quality in Irrigated and Rainfed Cotton. J. Cotton Sci. 2017, 21, 113–121. [Google Scholar] [CrossRef]
- Kusi, N.Y.O.; Lewis, K.L.; Morgan, G.D.; Ritchie, G.L.; Deb, S.K.; Stevens, R.D.; Sintim, H.Y. Cotton Cultivar Response to Potassium Fertilizer Application in Texas’ Southern High Plains. Agron. J. 2021, 113, 5436–5453. [Google Scholar] [CrossRef]
- van der Sluijs, M.H.J. Effect of Nitrogen Application Level on Cotton Fibre Quality. J. Cott. Res. 2022, 5, 9. [Google Scholar] [CrossRef]
- Snider, J.L.; Collins, G.D.; Whitaker, J.; Davis, J.W. Quantifying Genotypic and Environmental Contributions to Yield and Fiber Quality in Georgia: Data from Seven Commercial Cultivars and 33 Yield Environments. J. Cotton Sci. 2013, 17, 285–292. [Google Scholar]
- Chakraborty, K.; Ethridge, D.; Misra, S. How Different Quality Attributes Contribute to the Price of Cotton in Texas and Oklahoma? In Proceedings of the Beltwide Cotton Conference, San Antonio, TX, USA, 4–8 January 2000. [Google Scholar]
- Mcveigh, M. The Impact of Colour Discounts to the Australian Cotton Industry; Project No 1517; Nuffield Australia: North Sydney, Australia, 2017. [Google Scholar]
- USDA-AMS. Cotton Price Statistic 2021–2022; USDA Agricultural Marketing Service, Cotton and Tobacco Program: Memphis, TN, USA, 2022; Volume 103, p. 13.




| Nutrient Elements | Camilla | Midville | |||||||||
|---|---|---|---|---|---|---|---|---|---|---|---|
| SSDI (2020) | SSDI (2021) | Overhead (2021) | Rainfed (2020) | Rainfed (2021) | Overhead (2021) | ||||||
| Standard | R-Stress | Standard | R-Stress | Standard | R-Stress | R-Stress | Standard | R-Stress | Standard | R-Stress | |
| N | 84.1 | 118 | 106 | 84.1 | 118 | 106 | 67.3 | 50.4 | 78.5 | 84.1 | 118 |
| P2O5 | 0.00 | 101 | 44.8 | 0.00 | 101 | 44.8 | 56.0 | 33.6 | 67.3 | 78.5 | 101 |
| K2O | 112 | 168 | 101 | 112 | 168 | 101 | 112 | 33.6 | 84.1 | 135 | 140 |
| Mg | 0.00 | 33.6 | 0.00 | 0.00 | 33.6 | 0.00 | 28.0 | 0.00 | 5.60 | 0.00 | 5.60 |
| Ca | 0.00 | 5.60 | 0.00 | 0.00 | 5.60 | 0.00 | 5.60 | 0.00 | 11.2 | 0.00 | 22.4 |
| S | 11.2 | 22.4 | 11.2 | 11.2 | 22.4 | 11.2 | 11.2 | 11.2 | 11.2 | 11.2 | 11.2 |
| B | 0.56 | 2.24 | 0.56 | 0.56 | 2.24 | 0.56 | 2.24 | 0.56 | 0.56 | 0.56 | 1.12 |
| Zn | 0.00 | 2.24 | 0.00 | 0.00 | 2.24 | 0.00 | 2.24 | 0.00 | 1.12 | 0.00 | 2.24 |
| Mn | 0.00 | 1.12 | 0.00 | 0.00 | 1.12 | 0.00 | 1.12 | 0.00 | 2.24 | 11.2 | 5.60 |
| Fe | 0.00 | 1.12 | 0.00 | 0.00 | 1.12 | 0.00 | 0.56 | 0.00 | 2.24 | 0.00 | 2.24 |
| Cu | 0.00 | 0.56 | 0.00 | 0.00 | 0.56 | 0.00 | 0.56 | 0.00 | 0.56 | 0.00 | 0.56 |
| Soil Depth | N | P | K | Mg | Ca | S | B | Zn | Mn | Fe | Cu |
|---|---|---|---|---|---|---|---|---|---|---|---|
| kg ha−1 | |||||||||||
| Camilla | |||||||||||
| SSDI (2020) | 8.47 | 82.3 | 92.0 | 62.2 | 955 | 5.04 | 0.22 | 4.6 | 28.2 | 36 | 0.9 |
| SSDI (2021) | 2.69 | 81.6 | 107 | 127 | 907 | 28 | 0.45 | 6.05 | 13.5 | 10.1 | 1.01 |
| Overhead (2021) | 0.90 | 49.3 | 58.8 | 95.0 | 762 | 28.1 | 0.45 | 6.15 | 15.1 | 12.3 | 2.13 |
| Midville | |||||||||||
| Rainfed (2020) | 3.49 | 75.7 | 81.6 | 67.7 | 971 | 32.4 | 0.22 | 5.62 | 20.2 | 37.1 | 0.67 |
| Rainfed (2021) | 2.73 | 68.4 | 184 | 166 | 864 | 37.9 | 0.67 | 7.64 | 15.6 | 17.2 | 0.45 |
| Overhead (2021) | 6.97 | 51.6 | 71.2 | 91 | 716 | 31.2 | 0.45 | 5.9 | 6.39 | 19.3 | 1.01 |
| Nutrient Stress | Fiber Length | Fiber Strength | Uniformity | Micronaire | RD | +b |
|---|---|---|---|---|---|---|
| cm | g tex−1 | % | % | |||
| Camilla (SSDI 2020) | ||||||
| E-stress | 3.20 ± 0.01 a | 30.5 ± 0.3 a | 81.9 ± 0.8 a | 4.08 ± 0.07 a | 74.9 ± 0.2 a | 7.80 ± 0.07 a |
| L-stress | 3.21 ± 0.01 a | 30.5 ± 0.3 a | 81.1 ± 0.1 a | 4.32 ± 0.07 b | 75.8 ± 0.2 a | 7.42 ± 0.15 b |
| R-stress | 3.19 ± 0.03 a | 30.6 ± 0.1 a | 81.5 ± 0.3 a | 4.22 ± 0.07 ab | 73.5 ± 0.4 a | 7.58 ± 0.09 b |
| Standard | 3.17 ± 0.04 a | 30.1 ± 0.2 a | 81.6 ± 0.8 a | 4.20 ± 0.09 ab | 74.3 ± 0.9 a | 7.47 ± 0.12 b |
| Camilla (SSDI 2021) | ||||||
| E-stress | 3.10 ± 0.01 b | 30.5 ± 0.6 a | 82.3 ± 0.3 a | 4.55 ± 0.03 a | 74.0 ± 0.4 a | 6.92 ± 0.07 a |
| L-stress | 2.95 ± 0.02 a | 29.7 ± 0.3 ab | 81.6 ± 0.4 a | 4.67 ± 0.03 a | 75.9 ± 0.9 a | 6.83 ± 0.23 a |
| R-stress | 3.08 ± 0.02 b | 30.3 ± 0.1 a | 81.7 ± 0.2 a | 4.65 ± 0.03 a | 74.2 ± 0.3 a | 6.85 ± 0.06 a |
| Standard | 2.96 ± 0.02 a | 29.3 ± 0.3 b | 81.6 ± 0.2 a | 4.60 ± 0.00 a | 73.6 ± 0.2 a | 7.03 ± 0.15 a |
| Camilla (Overhead 2021) | ||||||
| E-stress | 3.04 ± 0.01 c | 27.8 ± 0.2 a | 82.1 ± 0.2 a | 4.60 ± 0.04 ab | 74.7 ± 0.7 a | 6.92 ± 0.14 a |
| L-stress | 2.93 ± 0.02 ab | 27.0 ± 0.4 a | 81.7 ± 0.2 ab | 4.58 ± 0.05 ab | 74.3 ± 0.6 a | 6.78 ± 0.05 a |
| R-stress | 2.99 ± 0.02 bc | 27.8 ± 0.3 a | 81.4 ± 0.2 b | 4.68 ± 0.03 b | 73.6 ± 0.9 a | 6.97 ± 0.12 a |
| Standard | 2.90 ± 0.03 a | 27.3 ± 0.3 a | 81.3 ± 0.4 b | 4.47 ± 0.06 a | 74.7 ± 0.6 a | 6.95 ± 0.06 a |
| Midville (Rainfed 2020) | ||||||
| E-stress | 2.90 ± 0.03 a | 32.2 ± 0.4 a | 83.3 ± 0.3 a | 4.55 ± 0.12 a | 77.8 ± 0.2 a | 7.88 ± 0.22 a |
| L-stress | 2.93 ± 0.04 a | 32.5 ± 0.4 a | 83.2 ± 0.4 a | 4.65 ± 0.03 a | 77.5 ± 0.1 a | 7.85 ± 0.13 a |
| R-stress | 2.98 ± 0.02 a | 33.0 ± 0.8 a | 83.5 ± 0.3 a | 4.47 ± 0.07 a | 77.7 ± 0.2 a | 8.18 ± 0.12 a |
| Standard | na | na | na | na | na | na |
| Midville (Rainfed 2021) | ||||||
| E-stress | 2.94 ± 0.03 b | 32.6 ± 0.6 a | 83.3 ± 0.2 a | 4.62 ± 0.13 a | 76.7 ± 0.3 a | 8.10 ± 0.09 b |
| L-stress | 2.81 ± 0.04 a | 30.9 ± 0.5 a | 82.4 ± 0.2 b | 4.70 ± 0.00 a | 76.0 ± 0.2 a | 7.55 ± 0.06 a |
| R-stress | 2.89 ± 0.02 ab | 31.9 ± 0.2 a | 82.5 ± 0.3 b | 4.70 ± 0.07 a | 75.7 ± 0.1 a | 7.90 ± 0.08 ab |
| Standard | 2.88 ± 0.03 ab | 31.9 ± 0.5 a | 83.0 ± 0.4 ab | 4.72 ± 0.05 a | 76.2 ± 0.2 a | 7.75 ± 0.18 ab |
| Midville (Overhead 2021) | ||||||
| E-stress | 2.94 ± 0.03 a | 32.8 ± 0.2 a | 83.0 ± 0.4 a | 4.42 ± 0.09 a | 77.4 ± 0.2 a | 7.97 ± 0.23 a |
| L-stress | 2.95 ± 0.03 a | 33.2 ± 0.8 a | 83.4 ± 0.2 a | 4.53 ± 0.09 ab | 77.8 ± 0.0 a | 7.92 ± 0.25 a |
| R-stress | 2.91 ± 0.02 a | 32.0 ± 0.1 a | 83.2 ± 0.3 a | 4.70 ± 0.04 ab | 78.1 ± 0.2 a | 7.85 ± 0.09 a |
| Standard | 2.92 ± 0.03 a | 32.3 ± 0.4 a | 83.5 ± 0.5 a | 4.80 ± 0.17 b | 77.6 ± 0.2 a | 7.82 ± 0.03 a |
Disclaimer/Publisher’s Note: The statements, opinions and data contained in all publications are solely those of the individual author(s) and contributor(s) and not of MDPI and/or the editor(s). MDPI and/or the editor(s) disclaim responsibility for any injury to people or property resulting from any ideas, methods, instructions or products referred to in the content. |
© 2022 by the authors. Licensee MDPI, Basel, Switzerland. This article is an open access article distributed under the terms and conditions of the Creative Commons Attribution (CC BY) license (https://creativecommons.org/licenses/by/4.0/).
Share and Cite
Amissah, S.; Baidoo, M.; Agyei, B.K.; Ankomah, G.; Black, R.A.; Perry, C.D.; Hollifield, S.; Kusi, N.Y.; Harris, G.H.; Sintim, H.Y. Early and Late Season Nutrient Stress Conditions: Impact on Cotton Productivity and Quality. Agronomy 2023, 13, 64. https://doi.org/10.3390/agronomy13010064
Amissah S, Baidoo M, Agyei BK, Ankomah G, Black RA, Perry CD, Hollifield S, Kusi NY, Harris GH, Sintim HY. Early and Late Season Nutrient Stress Conditions: Impact on Cotton Productivity and Quality. Agronomy. 2023; 13(1):64. https://doi.org/10.3390/agronomy13010064
Chicago/Turabian StyleAmissah, Solomon, Michael Baidoo, Benjamin K. Agyei, Godfred Ankomah, Roger A. Black, Calvin D. Perry, Stephanie Hollifield, Nana Yaw Kusi, Glendon H. Harris, and Henry Y. Sintim. 2023. "Early and Late Season Nutrient Stress Conditions: Impact on Cotton Productivity and Quality" Agronomy 13, no. 1: 64. https://doi.org/10.3390/agronomy13010064
APA StyleAmissah, S., Baidoo, M., Agyei, B. K., Ankomah, G., Black, R. A., Perry, C. D., Hollifield, S., Kusi, N. Y., Harris, G. H., & Sintim, H. Y. (2023). Early and Late Season Nutrient Stress Conditions: Impact on Cotton Productivity and Quality. Agronomy, 13(1), 64. https://doi.org/10.3390/agronomy13010064

