A Combination of Shade Trees and Soil Characteristics May Determine Robusta Coffee (Coffea canephora) Yield in a Tropical Monsoon Environment
Abstract
1. Introduction
2. Materials and Methods
2.1. The Study Area
2.2. Coffee Farms and Experimental Factors and Setup
2.3. Measurements
2.4. Chemical Analysis
2.5. Statistical Analyses
3. Results
3.1. Coffee Yield
3.2. Soil Properties
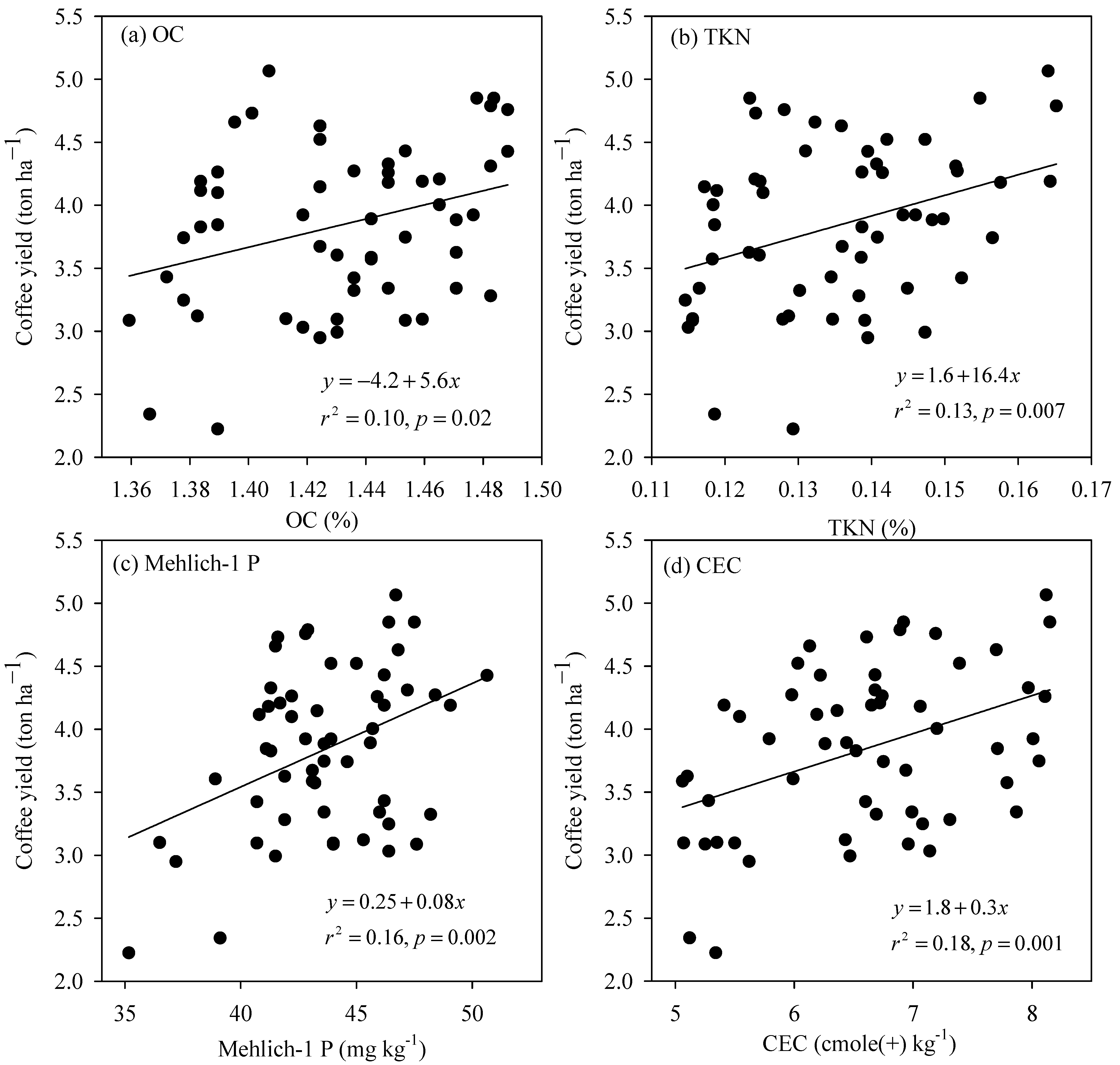
3.3. Relationships between Coffee Yield and Soil Variables
4. Discussion
4.1. The Coffee Yield as Affected by the Three Experimental Factors
4.1.1. Overall Coffee Yield
4.1.2. The Impacts of Shade Trees on Coffee Yield
4.1.3. Soil Properties
4.2. Key Factors Influencing the Coffee Yield
5. Conclusions
Supplementary Materials
Author Contributions
Funding
Institutional Review Board Statement
Informed Consent Statement
Data Availability Statement
Acknowledgments
Conflicts of Interest
References
- Davis, A.P.; Gole, T.W.; Baena, S.; Moat, J. The Impact of Climate Change on Indigenous Arabica Coffee (Coffea arabica): Predicting Future Trends and Identifying Priorities. PLoS ONE 2012, 7, e47981. [Google Scholar] [CrossRef] [PubMed]
- Byrareddy, V.; Kouadio, L.; Mushtaq, S.; Stone, R. Sustainable production of robusta coffee under a changing climate: A 10-year monitoring of fertilizer management in coffee farms in Vietnam and Indonesia. Agronomy 2019, 9, 499. [Google Scholar] [CrossRef]
- Volsi, B.; Telles, T.S.; Caldarelli, C.E.; Camara, M.R.G.d. The dynamics of coffee production in Brazil. PLoS ONE 2019, 14, e0219742. [Google Scholar] [CrossRef]
- Pham, Y.; Reardon-Smith, K.; Mushtaq, S.; Cockfield, G. The impact of climate change and variability on coffee production: A systematic review. Clim. Change 2019, 156, 609–630. [Google Scholar] [CrossRef]
- Hoang, T.M.; Doan, T.N.T.; Jiancheng, C. Input factors to sustainable development of coffee production in the Dak Lak province. Open Access Libr. J. 2016, 3, 1–10. [Google Scholar]
- Tadesse, T.; Tesfaye, B.; Abera, G. Coffee production constraints and opportunities at major growing districts of southern Ethiopia. Cogent Food Agric. 2020, 6, 1741982. [Google Scholar] [CrossRef]
- Chemura, A. The growth response of coffee (Coffea arabica L.) plants to organic manure, inorganic fertilizers and integrated soil fertility management under different irrigation water supply levels. Int. J. Recycl. Org. Waste Agric. 2014, 3, 59. [Google Scholar] [CrossRef]
- Tully, K.; Lawrence, D.; Wood, S. Organically managed coffee agroforests have larger soil phosphorus but smaller soil nitrogen pools than conventionally managed agroforests. Biogeochemistry 2013, 115, 385–397. [Google Scholar] [CrossRef][Green Version]
- Kouadio, L.; Tixier, P.; Mittahalli Byrareddy, V.; Marcussen, T.; Mushtaq, S.; Rapidel, B.; Stone, R. Performance of a process-based model for predicting robusta coffee yield at the regional scale in Vietnam. Ecol. Model. 2021, 443, 109469. [Google Scholar] [CrossRef]
- Kath, J.; Mittahalli Byrareddy, V.; Mushtaq, S.; Craparo, A.; Porcel, M. Temperature and rainfall impacts on robusta coffee bean characteristics. Clim. Risk Manag. 2021, 32, 100281. [Google Scholar] [CrossRef]
- Kouadio, L.; Deo, R.C.; Byrareddy, V.; Adamowski, J.F.; Mushtaq, S.; Nguyen, V.P. Artificial intelligence approach for the prediction of Robusta coffee yield using soil fertility properties. Comput. Electron. Agric. 2018, 155, 324–338. [Google Scholar] [CrossRef]
- Wang, N.; Jassogne, L.; van Asten, P.J.A.; Mukasa, D.; Wanyama, I.; Kagezi, G.; Giller, K.E. Evaluating coffee yield gaps and important biotic, abiotic, and management factors limiting coffee production in Uganda. Eur. J. Agron. 2015, 63, 1–11. [Google Scholar] [CrossRef]
- Piato, K.; Subía, C.; Pico, J.; Calderón, D.; Norgrove, L.; Lefort, F. Organic farming practices and shade trees reduce pest infestations in robusta coffee systems in Amazonia. Life 2021, 11, 413. [Google Scholar] [CrossRef] [PubMed]
- Salamanca-Jimenez, A.; Doane, T.A.; Horwath, W.R. Nitrogen use efficiency of coffee at the vegetative stage as influenced by fertilizer application method. Front. Plant Sci. 2017, 8, 223. [Google Scholar] [CrossRef] [PubMed]
- Mekonnen, M. Effect of tree shade on coffee crop production. J. Sustain. Dev. 2015, 8, 66. [Google Scholar] [CrossRef]
- Waktola, T.U.; Fekadu, K. Adoption of coffee shade agroforestry technology and shade tree management in Gobu Seyo district, East Wollega, Oromia. Adv. Agric. 2021, 2021, 13. [Google Scholar]
- DaMatta, F.M.; Ronchi, C.P.; Maestri, M.; Barros, R.S. Ecophysiology of coffee growth and production. Braz. J. Plant Physiol. 2007, 19, 485–510. [Google Scholar] [CrossRef]
- Nigussie, A.; Taye, E.; Bukero, G. Survey on potentials and constraints of shade tree species for arabica coffee production in south ethiopia. Int. J. Recent Res. Life Sci. 2014, 1, 1–11. [Google Scholar]
- Piato, K.; Lefort, F.; Subía, C.; Caicedo, C.; Calderón, D.; Pico, J.; Norgrove, L. Effects of shade trees on robusta coffee growth, yield and quality. A meta-analysis. Agron. Sustain. Dev. 2020, 40, 38. [Google Scholar] [CrossRef]
- Long, V.; Ngoc, N.; Dung, N.; Kristiansen, P.; Yunusa, I.; Fyfe, C. The effects of shade tree types on light variation and robusta coffee production in Vietnam. Engineering 2015, 7, 742–753. [Google Scholar] [CrossRef]
- Debela, A.; Struik, P. Effects of shade on growth, production and quality of coffee (Coffea arabica) in Ethiopia. J. Hortic. For. 2011, 3, 336–341. [Google Scholar]
- Nzeyimana, I.; Hartemink, A.E.; Ritsema, C.; Mbonigaba, J.J.M.; Geissen, V. Mulching effects on soil nutrient levels and yield in coffee farming systems in Rwanda. Soil Use Manag. 2020, 36, 58–70. [Google Scholar] [CrossRef]
- Cyamweshi, R.A.; Nabahungu, N.L.; Mukashema, A.; Ruganzu, V.; Gatarayiha, M.C.; Nduwumuremyi, A.; Mbonigaba, J.J. Enhancing nutrient availability and coffee yield on acid soils of the central plateau of Southern Rwanda. Glob. J. Agric. Res. 2014, 2, 44–55. [Google Scholar]
- Zhao, Q.; Xiong, W.; Xing, Y.; Sun, Y.; Lin, X.; Dong, Y. Long-term coffee monoculture alters soil chemical properties and microbial communities. Sci. Rep. 2018, 8, 6116. [Google Scholar] [CrossRef]
- Tiemann, T.; Aye, M.; Dung, N.; Minh, T.; Fisher, M.; Paulo, E.; Oberthur, T. Crop nutrition for Vietnamese robusta coffee. Better Crops Plant Food 2018, 102, 20–23. [Google Scholar] [CrossRef]
- Byrareddy, V.; Kouadio, L.; Mushtaq, S.; Kath, J.; Stone, R. Coping with drought: Lessons learned from robusta coffee growers in Vietnam. Clim. Serv. 2021, 22, 100229. [Google Scholar] [CrossRef]
- Climate-Data. Climate Kontum (Vietnam). Available online: https://en.climate-data.org/asia/vietnam/kon-tum-province/kon-tum-4238/ (accessed on 15 October 2021).
- WRB. World Reference Base for Soil Resources 2014, Update 2015 International Soil Classification System for Naming Soils and Creating Legends for Soil Maps; World Soil Resources Reports No. 106; FAO: Rome, Italy, 2015. [Google Scholar]
- Salamanca-Jimenez, A. Coffee crop fertilization in Colombia: A mini-review. Electron. Int. Fertil. Corresp. 2017, 50, 22–30. [Google Scholar]
- Ramos, P.; Pimentel, A.; Almonte, I.; Sotomayor, D.; Martínez, N.; Pérez, A.; Cespedes, C. Soil fertility evaluation of coffee (coffea spp.) production systems and management recommendations for the Barahona Province, Dominican Republic. J. Soil Sci. Plant Nutr. 2010, 11, 127–140. [Google Scholar] [CrossRef]
- Mohammed, K.; Taye, K.; Bayu, D. Assessment of soil chemical properties and coffee leaf analysis in Goma Woreda of Oromia region. Agric. For. Fish. 2021, 10, 93–101. [Google Scholar] [CrossRef]
- Bittelli, M.; Campbell, G.S.; Flury, M. Characterization of particle-size distribution in soils with a fragmentation model. Soil Sci. Soc. Am. J. 1999, 63, 782–788. [Google Scholar] [CrossRef]
- Miller, B.A.; Schaetzl, R.J. Precision of soil particle size analysis using laser diffractometry. Soil Sci. Soc. Am. J. 2012, 76, 1719–1727. [Google Scholar] [CrossRef]
- Covre, A.M.; Partelli, F.L.; Bonomo, R.; Gontijo, I. Micronutrients in the fruits and leaves of irrigated and non-irrigated coffee plants. J. Plant Nutr. 2018, 41, 1119–1129. [Google Scholar] [CrossRef]
- Singh, A.; Jat, R.S.; Chaudhari, V.; Bariya, H.; Sharma, S. Toxicities and tolerance of mineral elements boron, cobalt, molybdenum and nickel in crop plants. Plant Stress 2010, 4, 31–56. [Google Scholar]
- Carter, M.R.; Gregorich, E.G. Soil Sampling and Methods of Analysis, 2nd ed.; CRC Press, Taylor & Francis Group: Boca Raton, FL, USA, 2008. [Google Scholar]
- Phares, C.A.; Atiah, K.; Frimpong, K.A.; Danquah, A.; Asare, A.T.; Aggor-Woananu, S. Application of biochar and inorganic phosphorus fertilizer influenced rhizosphere soil characteristics, nodule formation and phytoconstituents of cowpea grown on tropical soil. Heliyon 2020, 6, e05255. [Google Scholar] [CrossRef] [PubMed]
- Murphy, J.; Riley, J.P. A modified single solution method for the determination of phosphate in natural waters. Anal. Chim. Acta 1962, 27, 31–36. [Google Scholar] [CrossRef]
- Novak, J.; Johnson, M.; Spokas, K. Concentration and release of phosphorus and potassium from lignocellulosic- and manure-based biochars for fertilizer reuse. Front. Sustain. Food Syst. 2018, 2, 54. [Google Scholar] [CrossRef]
- TCVN 8660: 2011. Soil Quality—Method for Determination of Total Potasium. 2011. Available online: https://vanbanphapluat.co/tcvn-8660-2011-chat-luong-dat-phuong-phap-xac-dinh-kali-tong-so (accessed on 20 May 2022).
- TCVN 8662: 2011. Soil Quality—Method for Determination of Bio-Available Potassium. 2011. Available online: https://vanbanphapluat.co/tcvn-8662-2011-chat-luong-dat-phuong-phap-xac-dinh-kali-de-tieu (accessed on 20 May 2022).
- Nguyen, B.T.; Lehmann, J. Black carbon decomposition under varying water regimes. Org. Geochem. 2009, 40, 846–853. [Google Scholar] [CrossRef]
- EPA Method 7000B. Method 7000b: Flame Atomic Absorption Spectrophotometry. 2007. Available online: https://www.epa.gov/sites/default/files/2015-12/documents/7000b.pdf (accessed on 27 March 2022).
- Akhtar, M.S.; Memon, M. Biomass and nutrient uptake by rice and wheat: A three-way interaction of potassium, ammonium and soil type. Pak. J. Bot. 2009, 41, 2965–2974. [Google Scholar]
- Putri, M.; Lou, C.-H.; Syai’in, M.; Ou, S.-H.; Wang, Y.-C. Long-term river water quality trends and pollution source apportionment in Taiwan. Water 2018, 10, 1394. [Google Scholar] [CrossRef]
- Anhar, A.; Abubakar, Y.; Widayat, H.P.; Muslih, A.M.; Romano; Baihaqi, A. Altitude, shading, and management intensity effect on Arabica coffee yields in Aceh, Indonesia. Open Agric. 2021, 6, 254–262. [Google Scholar] [CrossRef]
- Moghimi, A.; Jol, H.; Shamshuddin, J.; Samsuri, A.W.; Abtahi, A. Physicochemical properties and surface charge characteristics of arid soils in southeastern Iran. Appl. Environ. Soil Sci. 2013, 2013, 252861. [Google Scholar] [CrossRef]
- Tahir, S.; Marschner, P. Clay addition to sandy soil reduces nutrient leaching—Effect of clay concentration and ped Size. Commun. Soil Sci. Plant Anal. 2017, 48, 1813–1821. [Google Scholar] [CrossRef]
- Qaswar, M.; Dongchu, L.; Jing, H.; Tianfu, H.; Ahmed, W.; Abbas, M.; Lu, Z.; Jiangxue, D.; Khan, Z.H.; Ullah, S.; et al. Interaction of liming and long-term fertilization increased crop yield and phosphorus use efficiency (PUE) through mediating exchangeable cations in acidic soil under wheat–maize cropping system. Sci. Rep. 2020, 10, 19828. [Google Scholar] [CrossRef] [PubMed]
- Van De, N.; Douglas, I.; Mcmorrow, J.; Lindley, S.; Thuy Binh, D.K.N.; Van, T.T.; Thanh, L.H.; Tho, N. Erosion and nutrient loss on sloping land under intense cultivation in southern Vietnam. Geogr. Res. 2008, 46, 4–16. [Google Scholar] [CrossRef]
- Ding, H.; Zheng, X.; Zhang, Y.; Zhang, J.; Chen, D. Gaseous losses of fertilizer nitrogen from a citrus orchard in the red soil hilly region of Southeast China. Soil Sci. Plant Nutr. 2017, 63, 419–425. [Google Scholar] [CrossRef]
- Tully, K.; Lawrence; Scanlon, T. More trees less loss: Nitrogen leaching losses decrease with increasing biomass in coffee agroforests. Agric. Ecosyst. Environ. 2012, 161, 137–144. [Google Scholar] [CrossRef]
- Sauvadet, M.; den Meersche, K.V.; Allinne, C.; Gay, F.; de Melo Virginio Filho, E.; Chauvat, M.; Becquer, T.; Tixier, P.; Harmand, J.-M. Shade trees have higher impact on soil nutrient availability and food web in organic than conventional coffee agroforestry. Sci. Total Environ. 2019, 649, 1065–1074. [Google Scholar] [CrossRef]
- Villarreyna, R.; Avelino, J.; Cerda, R. Ecosystem-based adaptation: Effect of shade trees on ecosystem services in coffee plantations. Agron. Mesoam. 2020, 31, 499–516. [Google Scholar] [CrossRef]
- Deng, L.; Shangguan, Z.-P.; Sweeney, S. Changes in soil carbon and nitrogen following land abandonment of farmland on the loess plateau, China. PLoS ONE 2013, 8, e71923. [Google Scholar] [CrossRef]
- Bahar, I. Distribution of earthworms at different habitats in Tangail, Bangladesh and significantly impacts on soil pH, organic carbonand nitrogen. Am. J. Life Sci. 2015, 3, 238. [Google Scholar] [CrossRef]
- Silva, É.; Silva, S.; Oliveira, G.; Carducci, C. Root spatial distribution in coffee plants of different ages under conservation management system. Afr. J. Agric. Res. 2016, 11, 4970–4978. [Google Scholar] [CrossRef]




| Soil | Shade Trees | Reproductive Stage | No. of Farm | Sand (%) | Silt (%) | Clay (%) | pH | OC (%) | |||||
|---|---|---|---|---|---|---|---|---|---|---|---|---|---|
| Mean | SD | Mean | SD | Mean | SD | Mean | SD | Mean | SD | ||||
| SCL soil | Yes | Young stage | 12 | 54.17 a | 0.94 | 20.25 b | 0.79 | 25.58 b | 1.26 | 4.24 b | 0.04 | 1.44 b | 0.04 |
| Old stage | 19 | 54.40 a | 0.71 | 20.32 b | 0.50 | 25.28 b | 0.85 | 4.24 b | 0.05 | 1.44 b | 0.03 | ||
| No | Young stage | 12 | 54.37 a | 0.80 | 20.16 b | 0.66 | 25.48 b | 1.11 | 4.24 b | 0.04 | 1.42 b | 0.03 | |
| Old stage | 13 | 54.32 a | 0.94 | 20.46 b | 0.74 | 25.22 b | 1.36 | 4.24 b | 0.04 | 1.43 b | 0.03 | ||
| Clay soil | Yes | Young stage | 10 | 28.63 b | 1.45 | 31.40 a | 1.28 | 39.97 a | 1.06 | 4.51 a | 0.04 | 1.86 a | 0.06 |
| Old stage | 28 | 28.79 b | 1.16 | 31.05 a | 0.88 | 40.17 a | 1.01 | 4.53 a | 0.05 | 1.89 a | 0.07 | ||
| No | Young stage | 15 | 29.04 b | 0.93 | 30.82 a | 0.84 | 40.14 a | 0.98 | 4.54 a | 0.04 | 1.89 a | 0.07 | |
| Old stage | 24 | 28.08 b | 1.15 | 31.36 a | 1.18 | 40.56 a | 0.81 | 4.53 a | 0.04 | 1.89 a | 0.07 | ||
| Soil | Shade Trees | Reproductive Stage | TKN (%) | Total P (%) | Total K (%) | Mehlich-1 P (mg kg−1) | Available K (mg kg−1) | CEC (cmol(+) kg−1) | ||||||
|---|---|---|---|---|---|---|---|---|---|---|---|---|---|---|
| Mean | SD | Mean | SD | Mean | SD | Mean | SD | Mean | SD | Mean | SD | |||
| SCL soil | Yes | Young stage | 0.136 b | 0.01 | 0.131 b | 0.015 | 0.33 b | 0.03 | 44.4 b | 2.8 | 85.0 b | 3.18 | 6.99 b | 0.71 |
| Old stage | 0.139 b | 0.02 | 0.135 b | 0.011 | 0.32 b | 0.03 | 44.3 b | 2.4 | 87.9 b | 3.02 | 6.58 b | 0.97 | ||
| No | Young stage | 0.132 b | 0.01 | 0.127 b | 0.010 | 0.32 b | 0.04 | 42.9 b | 4.3 | 87.4 b | 3.02 | 6.28 b | 0.85 | |
| Old stage | 0.133 b | 0.01 | 0.134 b | 0.011 | 0.32 b | 0.03 | 42.8 b | 2.6 | 86.5 b | 3.22 | 6.53 b | 0.83 | ||
| Clay soil | Yes | Young stage | 0.179 a | 0.01 | 0.150 a | 0.006 | 0.52 a | 0.04 | 117.2 a | 14.5 | 88.8 a | 3.54 | 12.84 a | 0.55 |
| Old stage | 0.181 a | 0.01 | 0.152 a | 0.009 | 0.52 a | 0.03 | 115.5 a | 10.3 | 89.7 a | 4.41 | 13.22 a | 0.66 | ||
| No | Young stage | 0.177 a | 0.01 | 0.147 a | 0.008 | 0.52 a | 0.03 | 118.2 a | 13.4 | 88.7 a | 4.06 | 12.97 a | 0.66 | |
| Old stage | 0.185 a | 0.01 | 0.151 a | 0.009 | 0.51 a | 0.03 | 112.9 a | 12.9 | 88.9 a | 3.74 | 12.97 a | 0.76 | ||
| Soil | Shade Trees | Reproductive Stage | Cu | Zn | Bo | Mo | Co | |||||
|---|---|---|---|---|---|---|---|---|---|---|---|---|
| Mean | SD | Mean | SD | Mean | SD | Mean | SD | Mean | SD | |||
| SCL soil | Yes | Young stage | 19.35 b | 0.40 | 22.90 b | 0.87 | 2.58 b | 0.32 | 0.13 b | 0.01 | 4.05 b | 0.30 |
| Old stage | 19.04 b | 0.52 | 23.04 b | 0.69 | 2.44 b | 0.26 | 0.12 b | 0.01 | 3.82 b | 0.35 | ||
| No | Young stage | 18.79 b | 0.63 | 23.35 b | 0.80 | 2.62 b | 0.32 | 0.12 b | 0.01 | 3.86 b | 0.38 | |
| Old stage | 19.40 b | 0.55 | 22.66 b | 0.77 | 2.40 b | 0.21 | 0.13 b | 0.01 | 3.79 b | 0.42 | ||
| Clay soil | Yes | Young stage | 38.74 a | 0.77 | 29.10 a | 0.47 | 4.19 a | 0.10 | 0.33 a | 0.02 | 4.58 a | 0.14 |
| Old stage | 37.93 a | 0.97 | 29.08 a | 0.52 | 4.20 a | 0.14 | 0.34 a | 0.03 | 4.62 a | 0.13 | ||
| No | Young stage | 38.24 a | 1.16 | 29.25 a | 0.53 | 4.15 a | 0.11 | 0.33 a | 0.03 | 4.59 a | 0.19 | |
| Old stage | 38.05 a | 0.72 | 29.20 a | 0.46 | 4.23 a | 0.12 | 0.33 a | 0.03 | 4.63 a | 0.13 | ||
| Factors | Sandy Clay Loam Soil (SCL) | Clay Soil | ||||||
|---|---|---|---|---|---|---|---|---|
| Full Model | Reduced Model | Full Model | Reduced Model | |||||
| Sum of Squares | % | Sum of Squares | % | Sum of Squares | % | Sum of Squares | % | |
| Silt | 0.25 | 1.06 | 1.16 | 5.01 * | 3.93 | 12.84 | 4.45 | 14.53 * |
| Clay | 0.01 | 0.05 | 1.12 | 3.67 | ||||
| pH | 0.10 | 0.45 | 0.03 | 0.08 | ||||
| OC | 0.26 | 1.13 | 0.08 | 0.25 | ||||
| TKN | 1.03 | 4.46 | 1.52 | 6.57 * | 0.14 | 0.46 | ||
| Total P | 1.34 | 5.80 | 0.51 | 1.68 | ||||
| Total K | 0.19 | 0.82 | 0.31 | 1.02 | ||||
| Mehlich-1 P | 0.51 | 2.19 | 0.00 | 0.01 | ||||
| Available K | 0.01 | 0.02 | 0.12 | 0.38 | ||||
| CEC | 0.56 | 2.41 | 2.83 | 12.20 * | 0.02 | 0.06 | ||
| Cu | 0.00 | 0.01 | 0.14 | 0.45 | ||||
| Zn | 0.45 | 1.94 | 0.00 | 0.00 | ||||
| B | 1.28 | 5.51 | 0.17 | 0.56 | ||||
| Mo | 0.06 | 0.26 | 0.05 | 0.15 | ||||
| Co | 0.36 | 1.57 | 0.98 | 3.20 | ||||
| Reproductive stage | 1.47 | 6.37 | 0.00 | 0.01 | ||||
| Shade trees | 6.89 | 29.74 | 6.61 | 28.52 * | 2.58 | 8.44 | 2.55 | 8.33 * |
| Error | 8.39 | 36.20 | 11.05 | 20.41 | 66.73 | 23.60 | ||
| Total variance | 23.17 | 100.00 | 23.17 | 30.59 | 100.00 | 30.59 | ||
| r2 | 0.64 | 0.52 | 0.33 | 0.23 | ||||
| p < 0.05 | <0.001 | <0.001 | 0.05 | <0.001 | ||||
Disclaimer/Publisher’s Note: The statements, opinions and data contained in all publications are solely those of the individual author(s) and contributor(s) and not of MDPI and/or the editor(s). MDPI and/or the editor(s) disclaim responsibility for any injury to people or property resulting from any ideas, methods, instructions or products referred to in the content. |
© 2022 by the authors. Licensee MDPI, Basel, Switzerland. This article is an open access article distributed under the terms and conditions of the Creative Commons Attribution (CC BY) license (https://creativecommons.org/licenses/by/4.0/).
Share and Cite
Le, V.H.; Truong, C.T.; Le, A.H.; Nguyen, B.T. A Combination of Shade Trees and Soil Characteristics May Determine Robusta Coffee (Coffea canephora) Yield in a Tropical Monsoon Environment. Agronomy 2023, 13, 65. https://doi.org/10.3390/agronomy13010065
Le VH, Truong CT, Le AH, Nguyen BT. A Combination of Shade Trees and Soil Characteristics May Determine Robusta Coffee (Coffea canephora) Yield in a Tropical Monsoon Environment. Agronomy. 2023; 13(1):65. https://doi.org/10.3390/agronomy13010065
Chicago/Turabian StyleLe, Vinh Huu, Canh Thanh Truong, Anh Hung Le, and Binh Thanh Nguyen. 2023. "A Combination of Shade Trees and Soil Characteristics May Determine Robusta Coffee (Coffea canephora) Yield in a Tropical Monsoon Environment" Agronomy 13, no. 1: 65. https://doi.org/10.3390/agronomy13010065
APA StyleLe, V. H., Truong, C. T., Le, A. H., & Nguyen, B. T. (2023). A Combination of Shade Trees and Soil Characteristics May Determine Robusta Coffee (Coffea canephora) Yield in a Tropical Monsoon Environment. Agronomy, 13(1), 65. https://doi.org/10.3390/agronomy13010065
