Abstract
The problems of high nitrogen (N) fertilizer application rate and low N utilization efficiency are common worldwide in vegetable plantations. Application of brown coal (BC, also known as lignite) can increase crop yield and fertilizer N recovery efficiency (NRE). However, the effect of BC application on the utilization and distribution of exogenous N in the soil–plant system under different fertilization strategies is unclear. The pot experiment was set up in three factors of randomized design, including 15N-labeled urea fertilizer, BC, and organic manure, and pakchoi was used as the test crop. There were five rates of 15N-labeled urea, including 0, 100, 200, 300, and 400 kg N ha−1, two rates of BC with 5 and 0 t ha−1, and the organic manure with 0 t ha−1 which constitutes ten treatments. The other four treatments were the combination of one 15N-labeled urea rate of 100 kg N ha−1, two rates of BC with 5 and 0 t ha−1, and two rates of organic manure with 100 and 0 kg N ha−1. In conclusion, the interaction of all N fertilizer rates combined with BC improved soil 15N retention efficiency by 10.14% compared without BC amendment. Between 200 and 300 kg N ha−1, the average potential loss rate of 15N decreased by 10.41%. The application of BC could reduce N loss by enhancing plant N uptake and increasing soil retention. The combined use of 200 kg N ha−1 fertilizer and 5 t ha−1 of BC would maintain a high fertilizer NRE and ensure pakchoi yield.
1. Introduction
Two major challenges facing global agriculture include improving nitrogen recovery efficiency (NRE) and reducing the widespread loss of soil organic matter. The nitrogen (N) is one of the most important limiting nutrients in vegetable production. However, N utilization is very low and the recovery rate of N from soil–plant systems rarely exceeds 50% of the applied fertilizer [1]. N loss from excessive N application causes a huge waste of resources and environmental burden [2]. N loss in agricultural production is mainly influenced by climate and soil conditions [3]. Soil organic matter provides many beneficial functions for crop production. The application of natural organic matter (OM) with high humic content and N fertilizers to crops can improve soil fertility, increase the duration of fertilization, enable more efficient nutrient uptake by crops, and reduce to some extent the environmental N losses due to excessive fertilizer application [4]. Brown coal (BC), also known as lignite, is an OM-rich humic acid-like substance [5], and the humic acids isolated from BC have similar chemical characteristics to those isolated from soil samples [6]. Some commercial humates are obtained from BC [7]. BC is generally a low-rank coal, widely distributed around the world, with reserves of about 500 billion tons [8]. BC has been shown to reduce ammonia emissions from animal manure composts and improve the final compost quality [9,10]. However, a unified understanding of the effects of BC application in agricultural soils needs to be improved. Scientific research indicated that by inhibiting urease activity [11] BC could reduce N leaching and N2O emissions [12], increasing N effectiveness for plants. Moreover, BC is rich in complex microporous (0.4–1.2 nm) structure with a high specific surface area and many active sites [13]. The presence of carboxyl and phenolic functional groups makes BC easily complexed with metals or other cations (e.g., NH4+), which can significantly increase soil conductivity [14], stabilize heavy soil metals [15], reduce heavy metal uptake by crops [16], and enhance the absorption of phosphorous (P), iron (Fe), potassium (K), and other nutrient elements [17]. It will also improve soil water and moisture-holding capacity and permeability.
It has also been reported that low-order coal increases crop yield by improving soil biochemical properties, because the microbial activity of the soil affects the distribution and stability of N [18]; soil microbial activity also affects the stoichiometry, nutrient limitation, and N cycling [19,20]. Due to the acidic pH of BC, it may be an excellent organic additive or soil conditioner in alkaline soils [21]. However, soil health benefits of BC application strongly depend on the soil type, pasture species, and BC material and its application rate [22]. Tran et al. [23] reported that unprocessed BC had minor and temporary effects on soil microbial activity and community composition.
The effects of BC as a soil amendment to improve soil properties for plant yield and fertilizer efficiency have been well documented [5,24,25]. The effects of BC application with different N application rates and composts on exogenous N uptake in the plant–soil environment system have not been well studied, while this effect is crucial for increasing vegetable yields and developing environment-friendly fertilization programs. The 15N labelling method is considered the only direct measure of N uptake from applied fertilizers and the most reliable method for tracking the flow and fate of N in the plant–soil system [26]. Therefore, this method has been widely used by many researchers [27,28,29,30]. We hypothesized that BC/BC compost could improve N use of pakchoi by increasing plant N uptake and soil retention. The adsorption of BC could delay the release of mineral N, thus maintaining N and synchronizing plant N demand and soil N supply. The 15N tracing technique allows us to trace the whereabouts of N after its application to the soil and identify the source of N absorbed by the crop. The results of this experiment will provide theoretical support for further optimization of BC resources.
2. Materials and Methods
2.1. Experimental Site Overview and Experimental Design
The pot trial was conducted in a greenhouse shed from 12 October to 13 November 2018 (37°79′56″ S, 144°96′21″ E) at the Parkville campus of the University of Melbourne, Australia. The temperature in the greenhouse shed was maintained between 18 and 25 °C. The pakchoi variety Brassica rapa Var. Chinensis “Hei Xia F1” was used as the test crop. The greenhouse temperature and humidity dynamics during the growing period are shown in Figure 1a.
Figure 1.
Experimental layout: a. Dynamics of air temperature (AT) and relative humidity (RH) in the greenhouse shed; b. Pot arrangement at the greenhouse shed, on harvest (left) and after transplanting during 3–4 leaf age (right).
The BC was Yallourn brown coal excavated from an open pit mine in the Latrobe Valley, Victoria, Australia, which was used primarily in a local power plant. Soil samples used in the experiments were obtained from a vegetable farm in Clyde, Victoria, Australia. The soils were classified as sandy loam, and inorganic fertilizers were applied individually for over four years before collecting soil samples. Topsoil samples of 0−15 cm were collected from the field, sieved through a 2 mm screen, and mixed thoroughly into the pots. The physical and chemical properties of the BC and soils used in this study were given in Table 1.
Table 1.
Physical and chemical properties of brown coal (BC), organic manure and sandy loam soil.
The experimental pots were polyvinyl chloride (PVC) buckets filled with a uniform mix of 4.87 kg of soil. The small holes at the bottom of the bucket were made to improve soil aeration. The experiment consisted of five N rates, 0, 100, 200, 300, and 400 kg N ha−1 of urea (0, 0.5014, 1.0083, 1.5125, and 2.0164 g pot−1, respectively, estimated by dry mass of 0–15 cm topsoil at 2.10 million kg ha−1). The 15N-labeled urea was obtained from the Shanghai Research Institute of Chemical Industry, with an abundance value of 10.10%, containing 464 g kg−1 of N. BC levels of 0 and 5 t ha−1 (0 and 15.37 g dry BC pot−1, respectively). In addition, the organic manure combination treatment was set up combining 0 and 100 kg N ha−1 urea with 0 and 5 t ha−1 BC at the level of 100 kg N ha−1 organic manure. A total of 14 treatments with 5 replicates were adopted in the experiment, and 70 pots were placed in a randomized arrangement.
The P and K fertilizers were all identical while the N application rate varied among the treatments. Superphosphate was used at an application rate of 90 kg ha−1, and potassium chloride was used at an application rate of 180 kg ha−1. Both the P and K fertilizers were completely used as basal doses with one-third of the N fertilizers as the basis, and the rest were follow-up applications on the 7th and 17th days of planting in equal amounts, respectively. For treatments containing organic manure, chicken manure compost (70.68 g pot−1) was applied to the potted soil as base fertilizer. The experimental treatments are shown in Table 2.
Table 2.
Experimental treatment design.
The BC, urea and organic fertilizer were well mixed and applied to the potting soil as a base fertilizer. Afterward, two 3–4 leaf pakchoi seedlings were transplanted into each pot on 12 October 2018. The soil water content of the potted plants was measured by weighing method. The irrigation amount was applied every 2 to 3 days according to evaporation so that the soil water content was adjusted to 90% of the field capacity (236.7 g kg−1). Table 3 showed the natural abundance of 15N during the experiment, measured from the control treatment without additions of urea and BC. Figure 1b was the experimental arrangement.
Table 3.
The natural abundance of 15N during the pot experiment.
2.2. Sample Collection and Determination
2.2.1. Determination of Biomass of Different Parts of Pakchoi
Pakchoi was harvested on the 32nd day after transplanting and its biomass was determined, including the fresh mass of aboveground and belowground (root system). A small portion of the leaves was taken to determine nitrate-N, and most of the plant samples were dried in an oven at 105 °C for 20 min and then adjusted to 75 °C until the samples were dried to a constant mass and were used to determine the dry matter mass.
2.2.2. Soil Mineral N Determination
On the day of pakchoi harvesting potted soil samples were taken uniformly from the greenhouse with sealed bags and transported to the laboratory for cryopreservation via ice box storage. In the laboratory, 5 g of fresh soil was added to 50 mL of 2 mol L−1 KCL solution to extract mineral N (NH4+ and NO3−). After 1 h of shaking at constant room temperature of 20–25 °C, the samples were filtered through filter paper and collected, and the NH4+ and NO3− in the solution were determined using a continuous flow analyzer. (Skalar SAN++, Breda, The Netherlands)
2.2.3. Determination of 15N Atomic Percentage of Soil and Crops
Soil and crop samples were grounded and passed through a 0.15 mm sieve and analyzed by a stable isotope ratio mass spectrometer (Thermo Fisher Scientific Delta V Advantage, Waltham, Massachusetts, USA) and elemental analyzer (Thermo Fisher Scientific Flash 2000 HT, Waltham, Massachusetts, USA) to determine the percentage of 15N atoms in each part of the crop and soil samples.
2.2.4. Soil and Plant Carbon and N Determination
After harvesting the soil in each bucket was thoroughly mixed and then 100 g samples were collected and air-dried. Residual roots and small stones were carefully removed with forceps to take a partial soil subsample after removal. Soil and crop organic C contents were measured using the potassium dichromate oxidation method. Soil and crop total N (TN) were measured using the Dumas combustion method. An amount of 0.2 g of soil and crop samples were weighed in N-free tin foil, squeezed out of the air and placed in an autosampler. The sample was fully combusted in the oxidation tube, and the generated gas was detected by a thermal conductivity detector with the reaction conditions: combustion tube temperature of 990 °C and reduction tube temperature of 650 °C.
2.3. Data Analysis
To evaluate N utilization and conversion we followed Wang and calculated [31] apparent fertilizer N recovery efficiency (NRE), N derived from fertilizer (Ndff), plant 15N recovery (15Nrecovery), soil 15N retention (15Nretention), plant 15N recovery efficiency (15NRE), soil 15N retention efficiency (15NREsoil), and potential 15N loss efficiency (15NLE).
2.3.1. Apparent fertilizer NRE Was Shown in the Equation Below (Equation (1))
2.3.2. N Derived from Fertilizer (Equation (2))
2.3.3. The Amount of Labeled Urea Absorbed by the Plant 15N Recovery (g pot−1) Was Calculated Using the Following Equation (Equation (3))
2.3.4. The Amount of Labeled Urea Retained in the Soil 15N Retention (g pot−1) Was Calculated Using the Following Equation (Equation (4))
2.3.5. Plant 15N Recovery Efficiency (Equation (5))
2.3.6. Soil 15N Retention Efficiency (Equation (6))
2.3.7. Potential 15N Loss Efficiency (Equation (7))
2.4. Statistical Analysis
All data were analyzed by SPSS 25.0 software (SPSS Inc., Chicago, IL, USA). Analysis of variance (ANOVA) was used to examine differences between the BC amendment and 15N-labeled urea treatments and organic manure treatments, as well as their interactions. The differences between all the treatments were detected using Duncan’s multiple-range test at p < 0.05. Correlation analysis is used to measure the intensity and direction of the correlation between multiple indicators. The figures were generated by Origin 2021 and PowerPoint 2019 software (Origin Lab Corp., Microsoft Corp., Redmond, MA, USA).
3. Results and Discussions
3.1. Dry mass and N Uptake in Aboveground Parts of Pakchoi
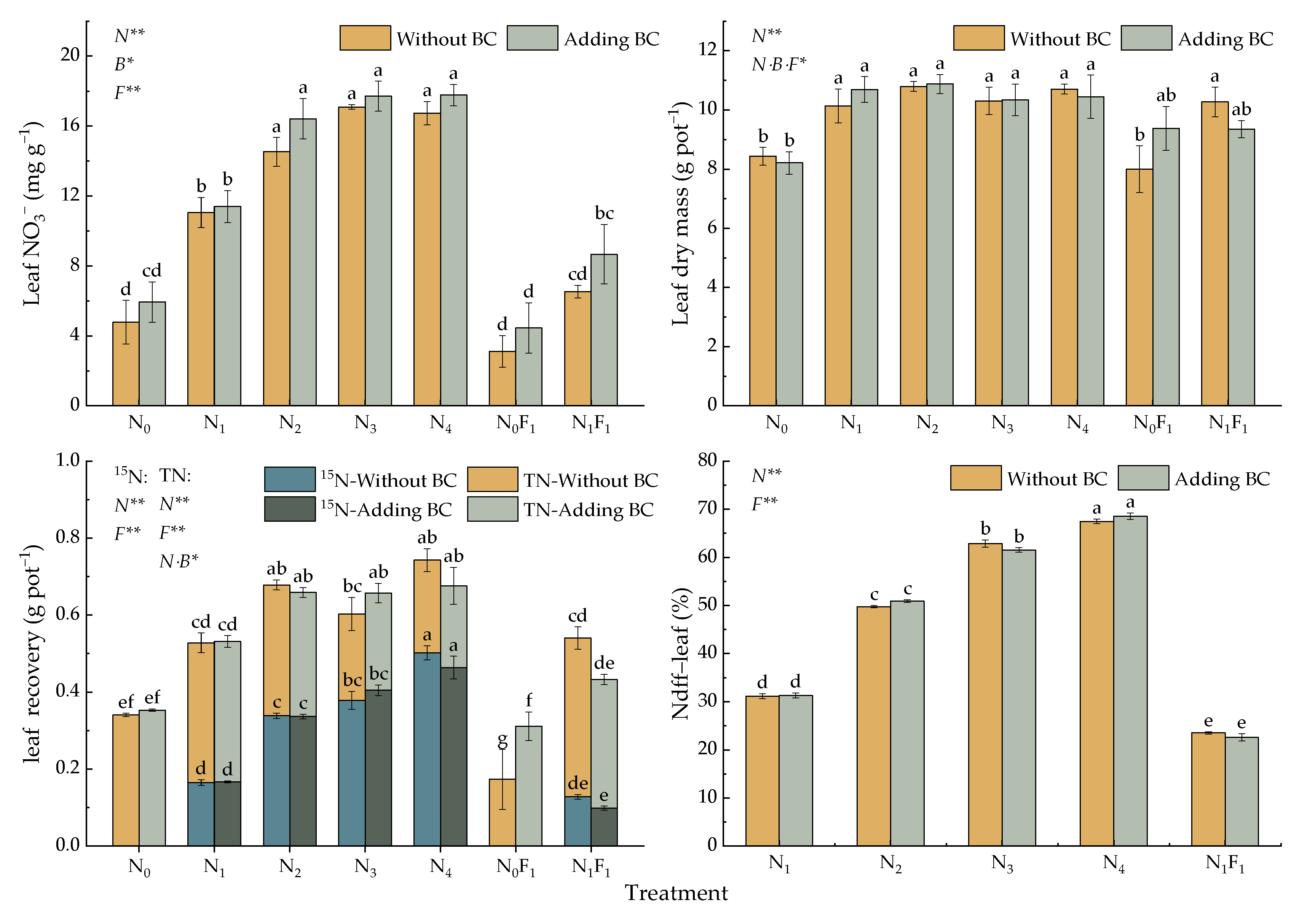
The results of leaf nitrate-N (NO3−), leaf dry mass, 15N, TN uptake, and Ndff in the leaf (Ndff–leaf) are shown in Figure 2. Leaf dry mass of pakchoi showed an overall trend of initial increasing and then decreasing with the increase in N application, with the highest aboveground biomass at the 200 kg N ha−1 level and combined with BC treatment at 5 t ha−1. The aboveground dry mass did not significantly increase at the 100 kg N ha−1, 200 kg N ha−1 and 300 kg N ha−1 levels due to the addition of BC, while in the non-BC application there was a small increase in aboveground dry mass at the 200 kg N ha−1 level. Aboveground urea N uptake, total N uptake, and inorganic fertilizer contribution of pakchoi were all highly correlated with N application, and all increased with the increase in urea N application rate. In particular, when the N application rate was 200 kg N ha−1, the Ndff–leaf value from urea N in non-BC and BC treatment reached 49.77% and 50.90%, respectively. When the N application rate was lower than 200 kg N ha−1, the source of N uptake by pakchoi was mainly from the soil N pool. With the increase in N application rate the Ndff–leaf value kept rising, and the N uptake gravity center from native soil pool shifted to exogenous urea N. It can be assumed that the dependence of pakchoi on the native soil N pool gradually decreased with the application of exogenous N. Although the leaf dry mass and urea contribution indexes were not significantly influenced by BC, they slightly increased compared with non-BC application (p > 0.05). The leaf NO3− was significantly correlated with all factors and increased with the increase on urea application rate. In comparison, BC application improved leaf NO3− enrichment in this process with an average increase of 9.97% (p < 0.05) at all urea levels. In contrast, organic manure application decreased leaf NO3− by 31.13% (p < 0.01).
Figure 2.
Leaf NO3−, Dry mass, 15Nrecovery and its proportion. Note: Vertical bars represent standard errors of the means (n = 5). Different letters represent statistical class among the treatments at p < 0.05, and the presence of means with the same letter is not significantly different. Source of variation, N = 15N-labeled urea; B = brown coal; F = organic manure. * and ** indicate significant differences at p < 0.05 and p < 0.01, respectively. N0, N1, N2, N3, and N4 represent the urea application rate, 0, 100, 200, 300, and 400 kg N ha−1, respectively. F1 represents organic manure of 100 kg N ha−1.
Previous studies have shown that humus BC pelletized urea (BCU) increased rape biomass and wheat protein content compared with urea applied in equal amounts of N [24], while BC-coated slow-release urea had a retarding effect on maize growth, but maize seed number and yield in humic acid-containing urea at the end of growth exceeded those of applied regular urea [32]. In contrast, there was no significant effect of BC combined with urea on the dry mass of pakchoi (p > 0.05). The effect of yield increase with BC application was not significant, which could be due to the nature of the selected BC itself, or likely because of the low content of water-soluble humic acid in its natural state, or the dried and crushed sieve processing of BC in this experiment without activation (oxidation) treatment which may not be easily utilized by humic acid. On the other hand, it maybe because the porous physical adsorption nature of the BC surface [24], which to some extent absorbs nutrients, resulting in an insignificant yield increase in pakchoi at this BC-dispensing level. It was also reported that the actual effects of the amendment would vary for different BCs, crop types, soils, and environmental conditions [33]. The results of this experiment also showed that there was a suitable range for the amount of urea and excessive application of N exerted adverse effects. The aboveground dry mass of pakchoi showed a trend of increasing and then decreasing trend with the increase in N application, and N application had a highly significant effect on biomass (p < 0.01), which is consistent with the results of earlier findings [34].
It is reasonable to speculate that although the increase in N application can increase crop yield, there is an upper limit for the crop N requirements. The proportion of N obtained by the plant from the soil decreases at high N application levels. Excessive fertilizer N that could not be absorbed and deposited in the soil except for N loss, resulted in soil acidification over time. Compared with N0B0F0 treatment without N application, the average dry yield increased by 1.7, 0.65, −0.49, and 0.4 g plant−1 in N1B0F0, N2B0F0, N3B0F0, N4B0F0, respectively, resulting in reduced marginal benefit and N waste. The N application rate for the higher-yielding treatment in this trial was 200 kg N ha−1. If the 200 kg N ha−1 was used as a guide for fertilizer application, the contribution of the original soil N pool and exogenous urea to plant growth would be more or less equal, and the N in the soil could be better utilized, thus reducing the dependence of plants on chemical fertilizers. The BC amendment with 200 kg N ha−1 also increased the uptake and utilization of N, resulting in a 2.28% increase in Ndff–leaf compared with 200 kg N ha−1 without BC treatment (p > 0.05).
3.2. Dry Mass and N Uptake of Pakchoi Roots
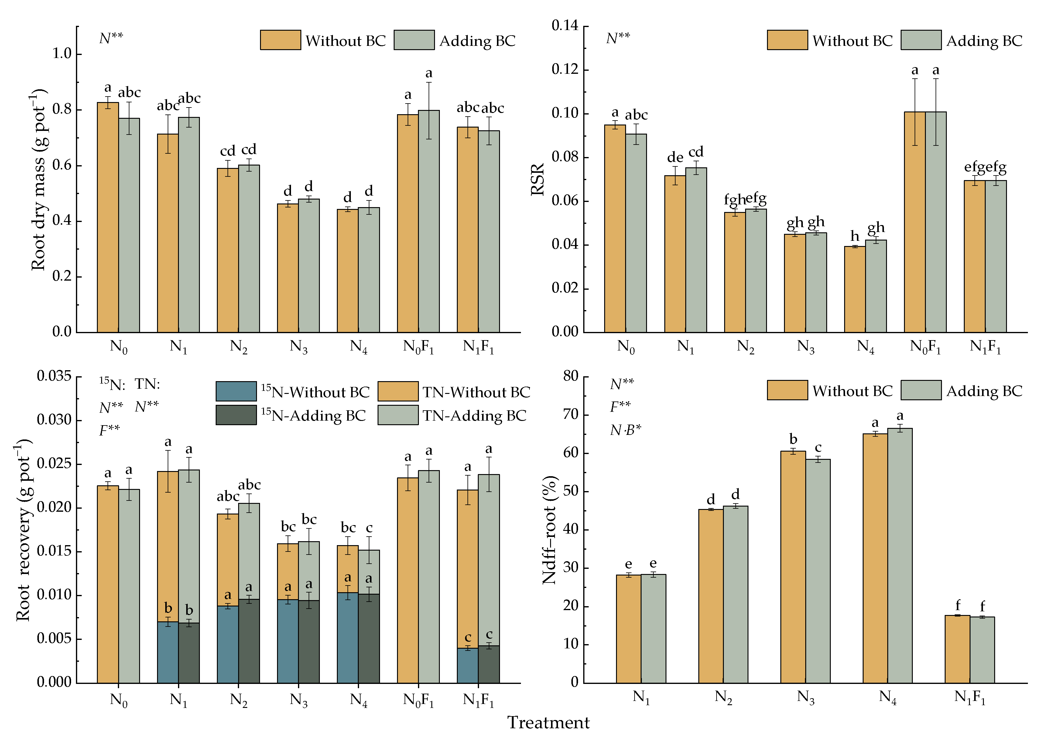
The results of root dry mass, root crown ratio (RSR), root 15Nrecovery, and Ndff in root (Ndff–root) were calculated. The results (Figure 3) showed that root dry mass and RSR were significantly influenced by the applied N level. The root dry mass gradually decreased with the increase in N application rate, averaging 33.17% (p < 0.01) at the four N application levels of urea, 25.15% (p < 0.01) at the four N application levels of BC addition, and 7.47% (p > 0.05) at the 100 kg N ha−1 level for the treatments with organic manure addition. RSR also decreased with the N application level, which indicated that a high dose of N application reduced the developmental potential of pakchoi roots and made a tendency to distribute dry matter to the aboveground part. It also showed by the decrease in total N uptake by the root system, but this decrease had a lower limit and the rate of decline gradually slowed down after 100 kg N ha−1 until the N uptake by the root system in a single pot was stabilized at about 0.016 g. Notably, although the root TN uptake decreased, the root 15Nrecovery system increased with the increase in N application rate, as verified by the increase in Ndff–root which increased by 60.53%, 33.56%, and 7.46% for additional 100 kg of urea applied from 100 kg ha−1 (p < 0.01). This gradually decreasing dependence on the original soil N pool was consistent with the aboveground performance. This effect was enhanced by the addition of BC. Multifactorial analysis showed that combined urea–BC had a significant effect on urea contribution. The addition of BC increased urea Ndff–root by 0.38%, 1.99%, and 2.28% at the urea rates of 100, 200 and 400 kg N ha−1, respectively (p > 0.05).
Figure 3.
Root dry mass, RSR, 15Nrecovery, and its proportion. Note: RSR means root crown ratio. Vertical bars represent standard errors of the means (n = 5). Different letters represent statistical class among the treatments at p < 0.05, and the presence of means with the same letter is not significantly different. Source of variation, N = 15N-labeled urea; B = brown coal; F = organic manure. * and ** indicate significant differences at p < 0.05 and p < 0.01, respectively. N0, N1, N2, N3, and N4 represent the urea application rate, 0, 100, 200, 300, and 400 kg N ha−1, respectively. F1 represents organic manure of 100 kg N ha−1.
3.3. Retention and Soil N Transformation
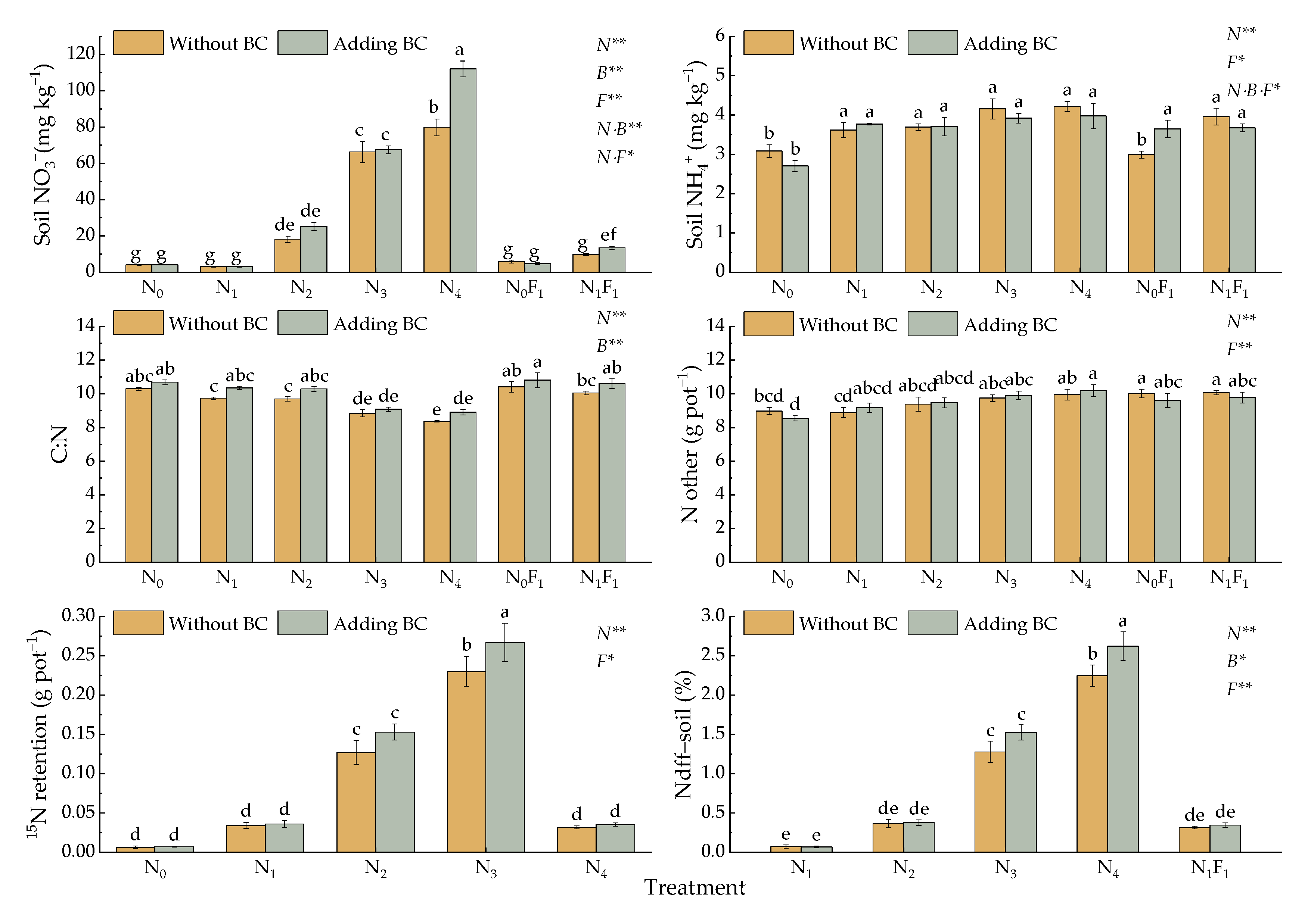
The results of soil mineral N, C:N ratio (C:N), 15Nretention, and Ndff–soil calculations are shown in Figure 4. The results indicate that soil nitrate (NO3−) content increased with the increase in N application levels. Applying BC or organic manure also significantly increased the soil NO3− level. The BC application increased soil NO3− content by 40.29%, 1.92%, 39.39%, and 0.77% at 400, 300, 200 and 0 kg N ha−1 rates, respectively (p < 0.01). In contrast, the BC application reduced the soil NH4+ content by an average of 3.86% at the same urea level, especially in the control treatment, with the maximum decrease of 12.41%, but this effect was not significant (p > 0.05). The soil NH4+ content was kept stable at about 4 mg kg−1 at all treatments.
Figure 4.
Soil mineral N, C:N, 15Nretention and its proportion. Note: C:N means the ratio of total carbon to total nitrogen in soil. Vertical bars represent standard errors of the means (n = 5). Different letters represent statistical class among the treatments at p < 0.05, and the presence of means with the same letter is not significantly different. Source of variation, N = 15N-labeled urea; B = brown coal; F = organic manure. * and ** indicate significant differences at p < 0.05 and p < 0.01, respectively. N0, N1, N2, N3, and N4 represent the urea application rate, 0, 100, 200, 300, and 400 kg N ha−1, respectively. F1 represents organic manure of 100 kg N ha−1.
With the increase in N application rate, compared to the control group the soil C:N gradually decreased by 5.51%, 5.92%, 14.14%, and 18.82% at the rates of 100, 200, 300, 400 kg N ha−1 with non–BC application, and decreased by 3.14%, 3.72%, 15.05%, and 16.63% with BC application, respectively. The application of BC or organic manure increased soil C:N at the same level of N application, with an average of 5.04% (p < 0.01) in the treatment of BC application, the effect of which was greater than that of 1.98% (p > 0.05) with organic manure application. The increase in N application and organic manure application significantly increased 15Nretention. Furthermore, BC application also increased 15Nretention by 10.72%, 5.95%, 20.35%, and 16.08% at the rates of 100, 200, 300 and 400 kg N ha−1, respectively. With the increase in urea application rate, the Ndff–soil increased (p < 0.01). Compared with the non–BC group, Ndff–soil in the treatments under BC application increased by 3.33%, 19.04%, and 16.65% (p < 0.05) at the rates of 200, 300, and 400 kg N ha−1, respectively. This indicated that BC application increased the proportion of exogenous urea in the soil.
The soil NO3− content increased with the increase in N application, which was in agreement with previous work [35], and the soil NH4+ also gradually increased to about 4 mg kg−1. The results of the univariate analysis showed that there was an extremely significant effect of BC application on soil NO3− content (p < 0.01). The two-way interaction between urea N and BC application had a highly significant effect on soil NO3− content (p < 0.01). This may be due to the absorption of BC to N, which provides energy and suitable habitat for microbial growth and reproduction. There is direct [36] and indirect [37] evidence that BC has a positive effect on the growth of soil microorganisms. Therefore, it is believed that soils with BC addition, ammonifying microorganisms, and nitrifying bacteria obtained a suitable environment and substrate for rapid reproduction. Additionally, microbial activity was enhanced [38], accelerating mineralization and nitrification, and soils with BC application produced and released more NO3−. BC reduced exogenous urea losses in the process, thus increasing the soil inorganic N pool. The rich oxygen-containing functional groups and lower pH of BC made it more suitable for neutral and alkaline soils because the rich functional groups posed a high cation-exchange capacity (CEC). The higher CEC led to higher NH4+ retention and lower leaching of NO3− [39]. Moreover, the high porosity of BC enhanced its ability to adsorb nutrient ions on porous surfaces [40]. It has been shown that the adsorption capacity of BC was more than twice that of activated-C prepared from coconut shells [41]. In this experiment, the Ndff–soil treated with BC was increased compared with that treated with urea alone (p < 0.05), probably due to the increased retention of N in soil by BC adsorption of exogenous urea. In addition, the results of this experiment showed that the dosed BC had a highly significant effect on increasing soil C:N. This effect was positive for plant growth because ammonia N may be abiotically immobilized on humic acid when the C:N was higher than 10 [42]. For these reasons, treatments with BC increased the ability of the soil to provide N compared with urea N alone, making more N available for crop uptake. When the C:N of soil matrix was between 1 and 15, mineralization and N release would occur rapidly, which was conducive to N uptake by crops. The lower the C:N was, the faster the N released and the greater proportion of N loss. The C:N was an equilibrium state with the ratio between 20 and 30. When the C:N was greater than 35 the mobilization of microorganisms was promoted [43]. Therefore, too high or too low C:N was not conducive to the distribution of N to crops. As the soil foundation C:N was generally lower than 10, application of organic materials with high C:N to the soil, such as straw, biochar and lignite, would be an effective practice to maintain good C:N in the soil. Moreover, in this single crop season, BC application increased soil C:N by 5.04% on average. According to the rate of BC application in this experiment, it is unlikely to exceed the appropriate range for a certain period and will have a positive impact on crop growth.
3.4. Effect of Combined Application of BC on Utilization and Distribution of Urea Nitrogen
The results of the one-way ANOVA showed that NRE was highly affected by the level of N supply (Figure 5). When urea application rate was 100 kg N ha−1, the maximum NRE was more than 90%. The NRE quickly decreased to about 40% and tended to be stable as the level of applied N increased. Compared with the urea application of 100 kg N ha−1, the NRE at the rates of 200, 300, and 400 kg N ha−1 decreased by 21.16%, 54.53%, and 56.86% (p < 0.01). Compared with the urea application of 100 kg N ha−1 + 5 t ha−1, the NRE under the treatments with BC reduced by 24.51%, 54.07%, and 60.80%, respectively (p < 0.01). The greatest loss of NRE occurred as urea N rate increased from 200 to 300 kg N ha−1. Compared with N1B0F1 treatment, the NRE under N1B1F1 reduced significantly by 53.70% (p < 0.01).
Figure 5.
Apparent fertilizer N recovery efficiency (NRE). Note: NRE in the graph represents means ± standard errors (n = 5). Different letters represent significant differences (p < 0.05) in NRE for each treatment between different BC allotment levels, urea application amounts, and organic manure amounts. N0, N1, N2, N3, and N4 represent the urea application rate, 0, 100, 200, 300, and 400 kg N ha−1, respectively. F1 represents organic manure of 100 kg N ha−1.
Generally, the fates of urea are usually included three ways including plant recovery, soil retention, and potential loss. The proportion of each component is expressed as 15NRE, 15NRE–soil, and 15NLE, respectively (Figure 6). The results of the univariate analysis showed that the amount of urea, BC, and organic manure content significantly affected 15NRE–soil. The higher of N application rate was, the higher the 15NRE–soil was. The lowest 15NRE–soil was 2.79% in N1B0F0 treatment and the highest 15NRE–soil was 24.79% in N4B0F0 treatment. The BC application promoted N enrichment into the soil, averagely increased by 10.76%, 5.95%, 14.49%, and 9.41% at the rates of 100, 200, 300, and 400 kg N ha−1, respectively (p < 0.05).
Figure 6.
Marking the fate of 15N fertilizer (%). Note: The figure shows the fate of each treatment mark 15N after application to the soil, including being lost, taken up by plants, and retained by the soil. Data are mean ± standard error (n = 5). N0, N1, N2, N3, and N4 represent the urea application rate, 0, 100, 200, 300, and 400 kg N ha−1, respectively. F1 represents organic manure of 100 kg N ha−1.
The 15NRE decreased with the increase in N application rate, and plant uptake increased by 77.01% at the 100 kg N ha−1 level. Further addition of 100 kg more urea ha−1 reduced plant uptake by 4.58% to 17.65% and 12.05% (p < 0.01). While the BC application was significant but marginally affected 15NRE. This effect was not singular at different N levels, decreasing by 1.81% and 0.41% at 100 kg N ha−1 level and 400 kg N ha−1 levels, respectively, while increasing by 1.21% and 0.53% at 200 kg N ha−1 and 300 kg N ha−1 levels, respectively (p < 0.01). In contrast, the mixed urea and organic manure treatments did not have an advantage in promoting plant N uptake, with an average decrease of 30.83% (p < 0.01) compared with the only urea treatment at the same total N level. This may be because organic manures are easily lost by decomposition.
The potential loss included N leaching and ammonia volatilization, etc. The analysis showed that 15NLE tended to increase gradually with the increase in urea level. However, the 15NLE of N1B1F0 treatment was higher than that of N2B1F0 treatment, which may be because the adsorption of N by BC reduced the distribution of fertilizer to plants at low N level. The potential loss rate for all treatments in this experiment was within 40%, which was attributed to the fine trial management and basically no super field holding leakage during the whole reproductive period. The potential loss rate of treatments with BC addition was reduced by 6.91%, 13.92%, and 9.61% at 200, 300, and 400 kg N ha−1 levels, respectively, compared with the conventional treatments (p > 0.05). In contrast, 15NLE was increased by an average of 85.00% (p < 0.01) for the treatments with organic manure and urea application with the same total N and was significantly increased by 33.40% in N1B1F1treatment compared with N1B1F0.
The results showed that 45.84% to 77.01% of the N was absorbed and utilized by the plants after urea was applied to the potting soil. The application of BC, on the one hand, probably enabled the urease inhibitor in BC humic acid [44] and inhibited the hydrolysis of urea in the early stage of pakchoi growth to reduce the loss of N, and as pakchoi growth entered the later stage the water-soluble humic acid in BC was gradually consumed and utilized. After that, the urease inhibition was weakened and gradually dissolved nutrient ions were released into the soils [21]. This process provided sufficient N for pakchoi growth in the vigorous period as a urea retarder. On the other hand, BC as a C source can provide a suitable environment and substrate for ammonifying microorganisms and nitrifying bacteria, which enhances microbial activity and correspondingly increases the inorganic N content of the soil N pool [45]. The absorbed N by BC provided an N source for pakchoi growth. In addition, the drying rate of BC dust was less than the drying rate of the soil, which was beneficial for retaining moisture for a longer period [21], and the dried BC increased soil aeration due to its internal pores. All these provided a good living environment for plant growth and promoted the transition of urea N from the soil to the plant. The experimental results showed that the dosed BC had an inhibitory effect on the uptake of exogenous urea N by the plant at the urea application rates of 100 kg N ha−1 and 400 kg N ha−1, while it showed a facilitating effect in the applied N levels of 200 kg N ha−1 and 300 kg N ha−1. The reason for this inconsistency may be because the adsorption of nutrients by BC at low N levels reduced the influx of N to the plant, which was similar to the study of using biochar to reduce the 15N recovery of cotton at low N application levels by Wang et al. [31]; after adequately meeting the N requirements of the crop, higher N levels also failed to increase its uptake by the plant but were lost or entered the soil instead. Only the medium N conditions provided a suitable and stable N source for plant growth and development. In addition, we found that although NRE and 15NRE were also used to indicate plant uptake of N they did not behave the same way. For example, the treatment with BC addition at the urea application rate of 200 kg N ha−1 exhibited lower NRE but higher 15NRE values compared to the treatment without the addition of BC. In fact, by splitting the calculation for Equations (1) and (3) NRE was determined by the total N uptake of both treatments only, while 15NRE will be influenced by the value of Ndff in addition to the total N. For the analysis of pakchoi leaves (Figure 2) and roots (Figure 3), the treatment with BC addition did show higher Ndff values at the urea application rate of 200 kg N ha−1 level, which suggested that the NRE values estimated by isotopic and non–isotopic methods may be different [31]. Regarding N retention, the soil retained after urea was applied to the potting soil, and the amount of N residue increased with the increase in N fertilizer dosage. After pakchoi harvesting the residual 15N content in the soil was higher in the organic–inorganic dosed treatments compared to the inorganic N treatments, and most of the residual fertilizer N was presented in the organic form, which was consistent with the findings of Kumar et al. [46,47]. The dosed application of BC increased soil retention for N (p < 0.05), which could be, on the one hand, that BC containing organic C stimulated microbial activity leading to an increase in partial N immobilization in inorganic soil [48], and it has been demonstrated that net N immobilization was mainly microbial to match the high C growth substrate [49]. On the other hand, it may be because the adsorption of NH4+ by BC substrates led to N immobilization. Furthermore, BC contains many carboxyl, hydroxyl, and phenolic hydroxyl groups, which can provide many cations exchange sites to retain NH4+ synthetic organic matter [44]; the elevated soil retention was a visual representation of the increased inorganic 15N fixation by the application of BC. In addition, the results of the two-factor analysis showed that the interaction between BC and organic manure also had an enhanced effect on soil N retention (p < 0.01) but this effect was not significant with organic manure only (p > 0.05), which was consistent with the conclusion that the addition of BC to compost increased N retention [50].
After urea was applied to the soil, 17.83–38.86% of the N was lost by leaching or volatilization. It showed a trend that the N loss rate increased with the urea application rate. After pakchoi was harvested, the N loss rate in treatment of N1B1F0 slightly increased by 5.45% more than that of N1B0F0; the cause maybe because of the N adsorption to BC at low N levels, which was considered the potential loss in the calculation. The rest of the N loss rate at the applied N levels were lower than the treatments without BC application, which can be attributed to the increased immobilization of inorganic N by the application of BC. This was consistent with the finding of Poudel et al. [51], who reported that the application of organic amendments increased the potential of soil to store N and thus reduce N losses.
3.5. Relationship between Indicators
The results of correlations among the indicators of pakchoi using Pearson correlation analysis are shown in Figure 7. Under the conditions of this experiment, pakchoi 15Nrecovery rate was significantly positively correlated with root 15Nrecovery, Ndff–root, Ndff–leaf, leaf TN uptake, leaf 15Nrecovery, leaf NO3−;, soil NO3−, 15Nretention and Ndff–soil were all significantly positively correlated (p < 0.01), and significantly positively correlated with 15NRE–soil (p < 0.05). This showed that crop uptake of inorganic N was closely related to the contribution of fertilizer to the crop and soil, and among the three destinations after fertilizer application the only increase in 15NRE–soil and 15N uptake of pakchoi were significantly and positively correlated; the increase in soil NO3− was a visual representation of the increase in soil N. BC could indirectly promote N uptake by increasing 15NRE–soil.
Figure 7.
Correlation between the measured indicators. Note: Ndff means N derived from fertilizer; RSR means root crown ratio; CN ratio means the ratio of total carbon to total nitrogen in soil; NRE means N recovery efficiency; 15NRE means plant 15N recovery efficiency; 15NREsoil means soil 15N retention efficiency; 15NLE means potential 15N loss efficiency. The figure shows the correlation between the measured indicators. * and ** indicate a significant correlation at p < 0.05 and p < 0.01, respectively. The colors and numbers indicate the degree of correlation between the corresponding row comment and column comment, red is a positive correlation, and blue is a negative correlation.
The absorption of N from the soil rather than 15N-labeled urea, on the other hand, showed the opposite of pakchoi 15Nrecovery: a significantly positive correlation (p < 0.01) with C:N, root TN uptake, RSR, and root dry mass. It was understood that in the case of consistent total N uptake by the crop, external N and the soil native N pool are two sources of supplying nutrients and the dominance of one part of them would lead to lower demand for the other part. These indicators were positively correlated with the absorption of soil native N and were closely related to root development. The higher the C:N was, the more significant the improvement in soil physicochemical properties was [52] and the greater the total N uptake by the root system, thus promoting root growth to improve root mass and the RSR.
Pakchoi TN uptake showed a correlation largely consistent with pakchoi 15Nrecovery. Combined with the Ndff values in Figure 2 and Figure 3, this could be that more than 50% of the N absorbed by the crop in this experiment after applying more than 200 kg N ha−1 came from exogenous urea, and both also showed a significant correlation (p < 0.01).
For N utilization and urea N fate, NRE values were significantly and positively correlated with, and only with, 15NRE (p < 0.01). They increased or decreased simultaneously. However, NRE was significantly negatively correlated with 15NRE–soil (p < 0.05). Combined with the results of the one-way ANOVA, these two indicators were only significantly affected by the level of N supply, while an increase in N application led to a decrease in NRE and the allocation of exogenous urea to the crop, thereby increasing the proportion of soil retention and N loss.
The 15NRE–soil was significantly positively correlated (p < 0.01) with Ndff–soil, soil other N, 15Nretention, soil NO3−, soil NH4+, and was significantly positively correlated (p < 0.05) with pakchoi 15Nrecovery, Ndff–root, Ndff–leaf. 15NLE was significantly negatively correlated with root 15Nrecovery and leaf dry mass (p < 0.01), and with 15NRE, pakchoi TN uptake, Ndff–root, Ndff–leaf, leaf TN uptake, and leaf NO3− (p < 0.05). Therefore, in order to reduce 15NLE, the values of leaf NO3−, pakchoi TN uptake, leaf TN uptake, and leaf dry mass need to be increased, and according to Figure 2 the addition of BC can increase leaf NO3−; or by increasing the percentage of soil retention of fertilizer thereby increasing pakchoi 15Nrecovery, etc. This has a direct and indirect positive effect on reducing 15NLE.
3.6. Application Prospect of BC
Overall, the results suggested that the combined application of BC with N fertilizer was beneficial for vegetable production. This was directly supported by the 15NRE–soil and 15NRE. The mechanism of increasing fertilization benefits maybe because that BC application increased soil organic matter, provided suitable environment and substrate for ammoniating microorganisms and nitrifying bacteria, enhancing microbial activity. However, since the single crop season BC application had no significant influence on soil C:N, the key reason was the unique physical and chemical properties of BC. The demand for nutrients in the early stage of crop growth was less, and urease inhibitors in BC humic acid reduced the hydrolysis of urea in the early stage. BC had many ions exchange groups capable of complexation or adsorption, and strong physical adsorption, which increased the ability of soil to store nutrients and reduced N leaching. In addition, the porous structure of BC results in higher water retention and soil permeability, providing a good rhizosphere environment for plant growth. The yield increase effect of BC was not significant in the single-season trial, which may be because the BC material in the experiment was only physically dried and pulverized, but not chemically activated and modified, so the potential of BC could not be better unleashed.
The BC is unsuitable for combustion, but its unique properties can immobilize pollutants and make nutrients and trace elements more accessible to plants. Due to stable structure BC can remain in the soil for 100–1000 years [53], increasing organic C for a long time [54]. Currently, the BC resources are abundant all over the world. Being in the early stages of coalification, the nature of BC can vary greatly depending on the origin and quality. However, Victoria has abundant and cheap BC resources, and BC’s ash and heavy metal content were low [55]. In this single-season trial, BC has a good effect on the distribution of exogenous N in the plant–soil system, increasing soil retention and reducing N losses. Since there was a lack of research on the application of BC in agricultural soils and mainly short-term trials, it was important to evaluate the changes in soil quality due to the long-term application of BC, and the focus of research on the use of BC should also be on activation and modification to make it a better nutrient carrier for long-term experiments [56]. Due to its low price, it has a clear advantage over traditional biochar. BC may have a promising application in agriculture as a fertilizer loss retarder or soil amendment if the optimal dosage combination is determined under the local conditions.
4. Conclusions
Application of BC significantly affects the fate of exogenous N in the soil–plant system. BC can reduce N loss in the environment by increasing the N retention in the soil and the distribution of fertilizer N in the plant, ensuring that plants can obtain N fertilizer for a longer period, and indirectly improve the utilization efficiency of fertilizer. Moreover, this effect became significant with the increase in N application rate, highlighting the important role of BC in N retention. This work provides a proof of concept for the use of BC. The results showed that 200 kg N ha−1 fertilizer combined with 5 t ha−1 BC could maintain a high NRE and pakchoi yield. However, further work is needed to verify the results of the BC application in field conditions.
Author Contributions
Conceptualization, H.L. and H.P.; software, Y.L.; writing—review and editing, Y.L.; data curation, P.E.E.K.; visualization, Z.X.; supervision, M.B. and S.J.L., project administration, D.C. All authors have read and agreed to the published version of the manuscript.
Funding
This research was funded by National Natural Science Foundation of China (No. 52079052), the Science and Technology Research Plan in Henan province (No. 212102110032), Major Science and Technology Innovation Project in Shandong, Key Research & Development Plan (No. 2019JZZY010710), China. Innovative Education Program for Graduate Students at North China University of Water Resources and Electric Power, China (No. YK-2021-59).
Institutional Review Board Statement
Not applicable.
Informed Consent Statement
Not applicable.
Data Availability Statement
Data are contained within the article.
Acknowledgments
We want to extend our recognition to the Melbourne TrACEES platform at The University of Melbourne, Australia. We would like to express our warm thanks for the English improvement to Chen, Y. from North China University of Water Resources and Electric Power. We fully appreciate the editors and all anonymous reviewers for their constructive comments on this manuscript.
Conflicts of Interest
The authors declare no conflict of interest. The funders had no role in the design of the study; in the collection, analyses, or interpretation of data; in the writing of the manuscript; or in the decision to publish the results.
References
- Raun, W.R.; Solie, J.B.; Johnson, G.V.; Al, E. Improving nitrogen use efficiency in cereal grain production with optical sensing and variable rate application. Agron. J. 2002, 94, 815–820. [Google Scholar] [CrossRef]
- Duhan, J.S.; Kumar, R.; Kumar, N.; Kaur, P.; Nehra, K.; Duhan, S. Nanotechnology: The new perspective in precision agriculture. Biotechnol. Rep. 2017, 15, 11–23. [Google Scholar] [CrossRef] [PubMed]
- Wu, Y.; Li, F.; Zheng, H.; Hong, M.; Hu, Y.; Zhao, B.; De, H. Effects of three types of soil amendments on yield and soil nitrogen balance of maize-wheat rotation system in the Hetao Irrigation Area, China. J. Arid Land 2019, 11, 904–915. [Google Scholar] [CrossRef]
- Finn, D.; Page, K.; Catton, K.; Kienzle, M.; Robertson, F.; Armstrong, R.; Dalal, R. Ecological stoichiometry controls the transformation and retention of plant-derived organic matter to humus in response to nitrogen fertilisation. Soil Boil. Biochem. 2016, 99, 117–127. [Google Scholar] [CrossRef]
- Akimbekov, N.; Qiao, X.; Digel, I.; Abdieva, G.; Ualieva, P.; Zhubanova, A. The effect of leonardite-derived amendments on soil microbiome structure and potato yield. Agriculture 2020, 10, 147. [Google Scholar] [CrossRef]
- Akimbekov, N.; Digel, I.; Qiao, X.; Tastambek, K.; Zhubanova, A. Lignite biosolubilization by Bacillus sp. RKB 2 and characterization of its products. Geomicrobiol. J. 2020, 37, 255–261. [Google Scholar] [CrossRef]
- Ozkan, S.; Ozkan, S.G. Investigation of humate extraction from lignites. Int. J. Coal Prep. Util. 2017, 37, 285–292. [Google Scholar] [CrossRef]
- Lee, S.; Kim, S.; Chun, D.; Choi, H.; Yoo, J. Chapter 4—Upgrading and advanced cleaning technologies for low-rank coals. In Fuel and Chemical Production; Luo, Z., Agranotis, M., Eds.; Woodhead Publishing Ltd.: Duxford, UK, 2017; pp. 73–92. [Google Scholar]
- Bai, M.; Impraim, R.; Coates, T.; Flesch, T.; Trouve, R.; van Grinsven, H.; Cao, Y.; Hill, J.; Chen, D. Lignite effects on NH3, N2O, CO2 and CH4 emissions during composting of manure. J. Environ. Manag. 2020, 271, 110960. [Google Scholar] [CrossRef]
- Impraim, R.; Weatherley, A.; Coates, T.; Chen, D.; Suter, H. Lignite improved the quality of composted manure and mitigated emissions of ammonia and greenhouse gases during forced aeration composting. Sustainability 2020, 12, 10528. [Google Scholar] [CrossRef]
- Sun, J.; Bai, M.; Shen, J.; Griffith, D.W.T.; Denmead, O.T.; Hill, J.; Lam, S.K.; Mosier, A.R.; Chen, D. Effects of lignite application on ammonia and nitrous oxide emissions from cattle pens. Sci. Total Environ. 2016, 565, 148–154. [Google Scholar] [CrossRef]
- Rose, M.T.; Perkins, E.L.; Saha, B.K.; Tang, E.C.W.; Cavagnaro, T.R.; Jackson, W.R.; Hapgood, K.P.; Hoadley, A.F.A.; Patti, A.F. A slow release nitrogen fertiliser produced by simultaneous granulation and superheated steam drying of urea with brown coal. Chem. Biol. Technol. Agric. 2016, 3, 10. [Google Scholar] [CrossRef]
- Jiang, W.D.; Lee, I.; Yang, Y.K. Microstructural variations of lignite, subbituminous and bituminous coals and their high temperature chars. Fuel Process. Technol. 1988, 18, 11–23. [Google Scholar] [CrossRef]
- Li, C.; Xiong, Y.; Zou, J.; Dong, L.; Ren, P.; Huang, G. Impact of biochar and lignite-based amendments on microbial communities and greenhouse gas emissions from agricultural soil. Vadose Zone J. 2021, 20, e20105. [Google Scholar] [CrossRef]
- Anemana, T.; Óvári, M.; Szegedi, Á.; Uzinger, N.; Rékási, M.; Tatár, E.; Yao, J.; Streli, C.; Záray, G.; Mihucz, V.G. Optimization of lignite particle size for stabilization of trivalent chromium in soils. Soil Sediment Contam. 2020, 29, 272–291. [Google Scholar] [CrossRef]
- Simmler, M.; Ciadamidaro, L.; Schulin, R.; Madejon, P.; Reiser, R.; Clucas, L.; Weber, P.; Robinson, B. Lignite reduces the solubility and plant uptake of cadmium in pasturelands. Environ. Sci. Technol. 2013, 47, 4497–4504. [Google Scholar] [CrossRef]
- Olaetxea, M.; Hita, D.D.; Garcia, C.A.; Fuentes, M.; Baigorri, R.; Mora, V.; Garnica, M.; Urrutia, O.; Erro, J.; Zamarreño, A.M.; et al. Hypothetical framework integrating the main mechanisms involved in the promoting action of rhizospheric humic substances on plant root- and shoot- growth. Appl. Soil Ecology 2018, 123, 521–537. [Google Scholar] [CrossRef]
- Sekhohola, L.M.; Cowan, A.K. Biological conversion of low-grade coal discard to a humic substance-enriched soil–like material. Int. J. Coal Sci. Technol. 2017, 4, 183–190. [Google Scholar] [CrossRef]
- Xu, H.W.; Liu, Q.; Wang, S.; Yang, G.S.; Xue, S. A global meta-analysis of the impacts of exotic plant species invasion on plant di-versity and soil properties. J. Sci. Total Environ. 2022, 810, 152286. [Google Scholar] [CrossRef]
- Xu, H.W.; Qu, Q.; Li, G.W.; Liu, G.B.; Geissen, V.; Ritsema, C.J.; Xue, S. Impact of nitrogen addition on plant-soil-enzyme C–N–P stoichiometry and microbial nutrient limitation. J. Soil. Biol. Biochem. 2022, 170, 108714. [Google Scholar] [CrossRef]
- Rashid, M.; Hussain, Q.; Khan, K.S.; Alwabel, M.I.; Hayat, R.; Akmal, M.; Ijaz, S.S.; Alvi, S.; Obaidur, R. Carbon-based slow-release fertilizers for efficient nutrient management: Synthesis, applications, and future research needs. J. Soil Sci. Plant Nutr. 2021, 21, 1144–1169. [Google Scholar] [CrossRef]
- Little, K.R.; Rose, M.T.; Jackson, W.R.; Cavagnaro, T.R.; Patti, A.F. Do lignite-derived organic amendments improve early-stage pasture growth and key soil biological and physicochemical properties? Crop Pasture Sci. 2014, 65, 899–910. [Google Scholar] [CrossRef]
- Kim Thi Tran, C.; Rose, M.T.; Cavagnaro, T.R.; Patti, A.F. Lignite amendment has limited impacts on soil microbial communities and mineral nitrogen availability. Appl. Soil Ecology 2015, 95, 140–150. [Google Scholar] [CrossRef]
- Saha, B.K.; Rose, M.T.; Wong, V.; Cavagnaro, T.R.; Patti, A.F. Hybrid brown coal-urea fertiliser reduces nitrogen loss compared to urea alone. Sci. Total Environ. 2017, 601–602, 1496–1504. [Google Scholar] [CrossRef] [PubMed]
- Schillem, S.; Schneider, B.U.; Zeihser, U.; Hüttl, R.F. Effect of N-modified lignite granulates and composted biochar on plant growth, nitrogen and water use efficiency of spring wheat. Arch. Agron. Soil Sci. 2019, 65, 1913–1925. [Google Scholar] [CrossRef]
- Bedard-Haughn, A.; van Groenigen, J.W.; van Kessel, C. Tracing 15N through landscapes: Potential uses and precautions. J. Hydrol. 2003, 272, 175–190. [Google Scholar] [CrossRef]
- Chalk, P.M.; Inácio, C.T.; Chen, D. Chapter Four—Tracing the dynamics of animal excreta N in the soil–plant–atmosphere continuum using 15N enrichment. Adv. Agron. 2020, 160, 187–247. [Google Scholar]
- Gao, N.; Liu, Y.; Wu, H.; Zhang, P.; Yu, N.; Zhang, Y.; Zou, H.; Fan, Q.; Zhang, Y. Interactive effects of irrigation and nitrogen fertilizer on yield, nitrogen uptake, and recovery of two successive Chinese cabbage crops as assessed using 15N isotope. Sci. Hortic. 2017, 215, 117–125. [Google Scholar] [CrossRef]
- Zhao, L.; Jia, Z.; Li, G.; Zhang, T.; Wei, M. N Utilization, Residual and loss characteristics of spring-topdressing (15N-urea) pear orchards in the old course of the Yellow River Area. Agronomy 2022, 12, 2682. [Google Scholar] [CrossRef]
- Zistl-Schlingmann, M.; Kwatcho Kengdo, S.; Kiese, R.; Dannenmann, M. Management intensity controls nitrogen-use-efficiency and flows in grasslands—A 15N tracing experiment. Agronomy 2020, 10, 606. [Google Scholar] [CrossRef]
- Wang, Z.; Wang, Z.; Luo, Y.; Zhan, Y.; Meng, Y.; Zhou, Z. Biochar increases 15N fertilizer retention and indigenous soil N uptake in a cotton-barley rotation system. Geoderma 2020, 357, 113944. [Google Scholar] [CrossRef]
- Zhang, S.Q.; Yuan, L.; Li, W.; Lin, Z.A.; Li, Y.T.; Hu, S.W.; Zhao, B.Q. Effects of urea enhanced with different weathered coal-derived humic acid components on maize yield and fate of fertilizer nitrogen. J. Integr. Agr. 2019, 18, 656–666. [Google Scholar] [CrossRef]
- Akimbekov, N.S.; Digel, I.; Tastambek, K.T.; Sherelkhan, D.K.; Jussupova, D.B.; Altynbay, N.P. Low-rank coal as a source of humic substances for soil amendment and fertility management. Agriculture 2021, 11, 1261. [Google Scholar] [CrossRef]
- Ameen, A.; Liu, J.; Han, L.; Xie, G.H. Effects of nitrogen rate and harvest time on biomass yield and nutrient cycling of switchgrass and soil nitrogen balance in a semiarid sandy wasteland. Ind. Crop Prod. 2019, 136, 1–10. [Google Scholar] [CrossRef]
- Xing, J.J.; Xing, Y.Y.; Wang, X.K.; Wang, Y.F.; Li, X.X.; Nie, J.B. Effects of Different Fertilizers Application on Soil Nitrate, Growth and Yield of Tomato Growing in Solar Greenhouse in Northern Shaanxi Province. J. Irrig. Drain. 2018, 37, 29–35. (In Chinese) [Google Scholar]
- Boldt-Burisch, K.; Schillem, S.; Schneider, B.U.; Hüttl, R.F. The effect of nitrogen-modified lignite granules on mycorrhization and root and shoot growth of Secale cereale (winter rye) in a nutrient-deficient, sandy soil. Arch. Agron. Soil Sci. 2021, 68, 1117–1130. [Google Scholar] [CrossRef]
- Qin, K.; Dong, X.; Jifon, J.; Leskovar, D.I. Rhizosphere microbial biomass is affected by soil type, organic and water inputs in a bell pepper system. Appl. Soil Ecol. 2019, 138, 80–87. [Google Scholar] [CrossRef]
- Heijboer, A.; Ten Berge, H.F.M.; de Ruiter, P.C.; Jørgensen, H.B.; Kowalchuk, G.A.; Bloem, J. Plant biomass, soil microbial community structure and nitrogen cycling under different organic amendment regimes; a 15N tracer-based approach. Appl. Soil Ecol. 2016, 107, 251–260. [Google Scholar] [CrossRef]
- Richards, D.; Lane, M.; Beardsell, D.V. The influence of particle-size distribution in pinebark:sand:brown coal potting mixes on water supply, aeration and plant growth. Sci. Hortic. 1986, 29, 1–14. [Google Scholar] [CrossRef]
- Karczewska, A.; Chodak, T.; Kaszubkiewicz, J. The suitability of brown coal as a sorbent for heavy metals in polluted soils. Appl. Geochem. 1996, 11, 343–346. [Google Scholar] [CrossRef]
- Qi, Y.; Hoadley, A.F.A.; Chaffee, A.L.; Garnier, G. Characterisation of lignite as an industrial adsorbent. Fuel 2011, 90, 1567–1574. [Google Scholar] [CrossRef]
- Knicker, H.; LÜdemann, H.D.; Haider, K. Incorporation studies of NH4+ during incubation of organic residues by 15N-CPMAS-NMR-spectroscopy. Eur. J. Soil Sci. 1997, 48, 431–441. [Google Scholar] [CrossRef]
- Brust, G.E. Chapter 9—Management Strategies for Organic Vegetable Fertility. In Safety and Practice for Organic Food, Biswas, D.; Micallef, S.A., Ed.; Academic Press: Cambridge, MA, USA, 2019; pp. 193–212. [Google Scholar]
- Shen, Y.W.; Lin, H.T.; Gao, W.S.; Li, M.L. The effects of humic acid urea and polyaspartic acid urea on reducing nitrogen loss compared with urea. J. Sci. Food Agric. 2020, 100, 4425–4432. [Google Scholar] [CrossRef] [PubMed]
- Berglund, L.M.; DeLuca, T.H.; Zackrisson, O. Activated carbon amendments to soil alters nitrification rates in Scots pine forests. Soil Biol. Biochem. 2004, 36, 2067–2073. [Google Scholar] [CrossRef]
- Glendining, M.J.; Poulton, P.R.; Powlson, D.S.; Macdonald, A.J.; Jenkinson, D.S. Availability of the residual nitrogen from a single application of ¹⁵N–labelled fertilizer to subsequent crops in a long-term continuous barley experiment. Plant Soil 2001, 233, 231–239. [Google Scholar] [CrossRef]
- Kumar, K.; Goh, K.M. Recovery of 15N–labelled fertilizer applied to winter wheat and perennial ryegrass crops and residual 15N recovery by succeeding wheat crops under different crop residue management practices. Nutr. Cycling Agroecosyst. 2002, 62, 123–130. [Google Scholar] [CrossRef]
- Hadas, A.; Kautsky, L.; Portnoy, R. Mineralization of com-posted manure and microbial dynamics in soil as affected by long-term nitrogen management. Soil Biol. Biochem. 1996, 6, 733–738. [Google Scholar] [CrossRef]
- Gentile, R.; Vanlauwe, B.; van Kessel, C.; Six, J. Managing N availability and losses by combining fertilizer-N with different quality residues in Kenya. Agric., Ecosyst. Environ. 2009, 131, 308–314. [Google Scholar] [CrossRef]
- Cao, Y.; Bai, M.; Han, B.; Impraim, R.; Butterly, C.; Hu, H.; He, J.; Chen, D. Enhanced nitrogen retention by lignite during poultry litter composting. J. Cleaner Prod. 2020, 277, 122422. [Google Scholar] [CrossRef]
- Poudel, D.D.; Horwath, W.R.; Mitchell, J.P.; Temple, S.R. Impacts of cropping systems on soil nitrogen storage and loss. Agr. Syst. 2001, 68, 253–268. [Google Scholar] [CrossRef]
- Li, J.; Ren, T.; Li, Y.; Chen, N.; Yin, Q.; Li, M.; Liu, H.; Liu, G. Organic materials with high C/N ratio: More beneficial to soil improvement and soil health. Biotechnol. Lett. 2022, 44, 1415–1429. [Google Scholar] [CrossRef]
- Al-Wabel, M.I.; Hussain, Q.; Usman, A.R.A.; Ahmad, M.; Abduljabbar, A.; Sallam, A.S.; Ok, Y.S. Impact of biochar properties on soil conditions and agricultural sustainability: A review. Land Degrad. Dev. 2018, 29, 2124–2161. [Google Scholar] [CrossRef]
- Guo, L.; Nie, Z.; Zhou, J.; Zhang, S.; An, F.; Zhang, L.; Tóth, T.; Yang, F.; Wang, Z. Effects of different organic amendments on soil improvement, bacterial composition, and functional diversity in saline–sodic soil. Agronomy 2022, 12, 2294. [Google Scholar] [CrossRef]
- Verheyen, T.V.; Perry, G.J. Chapter 6—Chemical structure of Victorian brown coal. In the Science of Victorian Brown Coal Strusture, Properties, and Consequences for Utilization; Durie, R.A., Ed.; Butterworth Heinemann: Oxford, UK, 1991; pp. 279–321. [Google Scholar]
- Amoah-Antwi, C.; Kwiatkowska-Malina, J.; Szara, E.; Fenton, O.; Thornton, S.F.; Malina, G. Assessing factors controlling structural changes of humic acids in soils amended with organic materials to improve soil functionality. Agronomy 2022, 12, 283. [Google Scholar] [CrossRef]
Disclaimer/Publisher’s Note: The statements, opinions and data contained in all publications are solely those of the individual author(s) and contributor(s) and not of MDPI and/or the editor(s). MDPI and/or the editor(s) disclaim responsibility for any injury to people or property resulting from any ideas, methods, instructions or products referred to in the content. |
© 2023 by the authors. Licensee MDPI, Basel, Switzerland. This article is an open access article distributed under the terms and conditions of the Creative Commons Attribution (CC BY) license (https://creativecommons.org/licenses/by/4.0/).






