Interactive Effects of Nitrogen Application and Irrigation on Water Use, Growth and Tuber Yield of Potato under Subsurface Drip Irrigation
Abstract
1. Introduction
2. Materials and Methods
2.1. Climate Conditions
2.2. Experimental Site Description
2.3. Statistical Analysis
3. Results and Discussion
3.1. Soil Matric Potential and Soil Moisture Distribution at Different Depths
3.2. Water Balance Components
3.2.1. Total Water Input
3.2.2. Evapotranspiration (ET) and Its Partitioning
3.2.3. Change in Seasonal Soil Moisture Storage
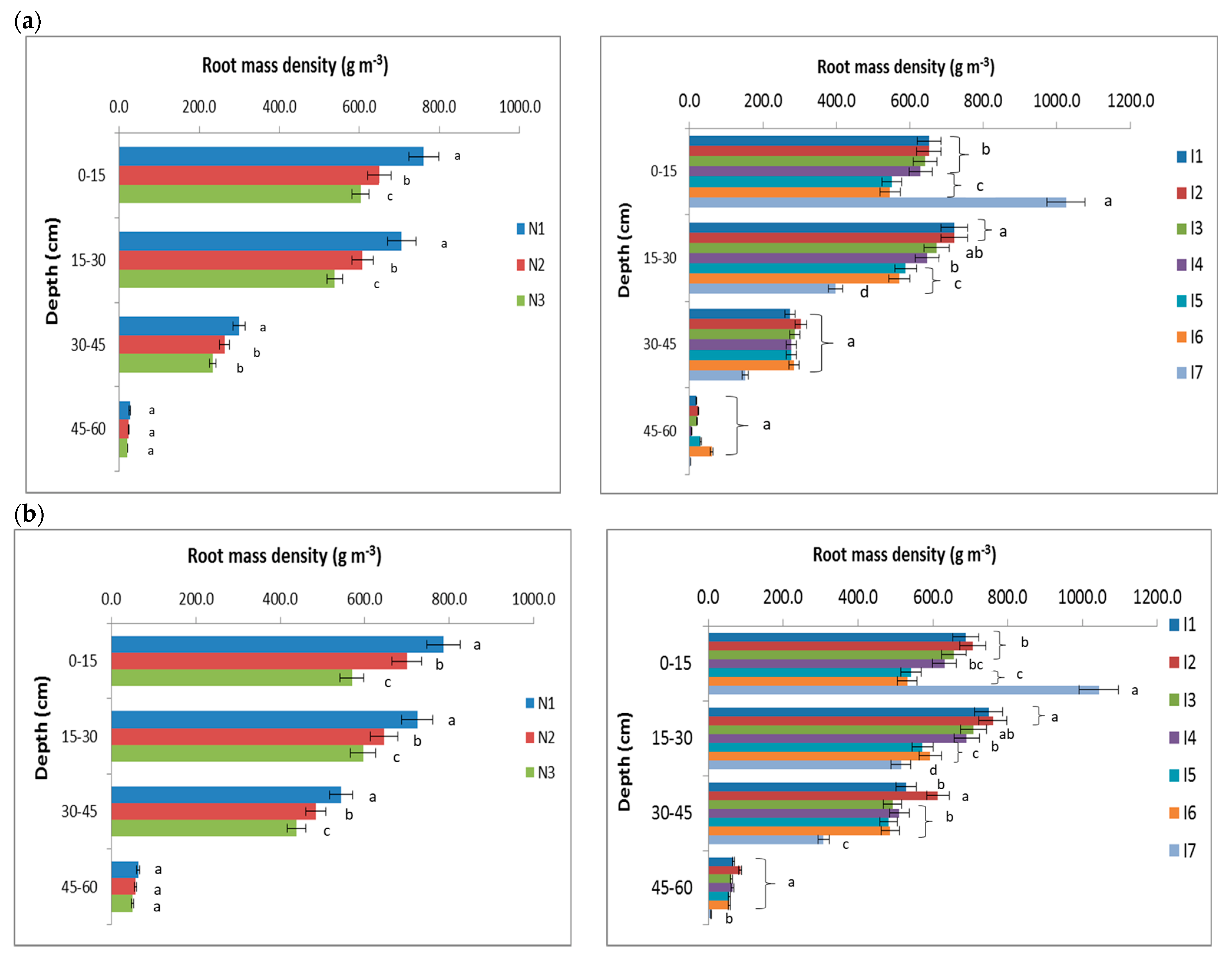
3.3. Plant Growth Parameters
Periodic Leaf Area Index (LAI), Total Dry Matter Accumulation and Root Growth
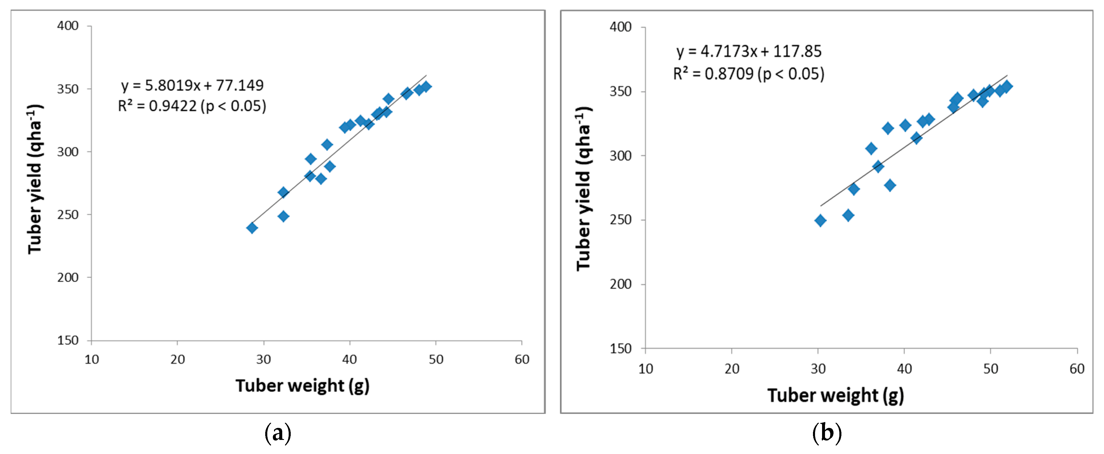
3.4. Tuber Yield
3.5. N Uptake by Aboveground Parts and Tubers
3.6. Real Water Productivity
4. Conclusions
Supplementary Materials
Author Contributions
Funding
Institutional Review Board Statement
Informed Consent Statement
Data Availability Statement
Acknowledgments
Conflicts of Interest
References
- FAOSTAT (2021) FAO Statistical Database. Available online: http://faostat3.fao.org/home/index.htm (accessed on 8 October 2021).
- Rana, R.K. Status of Punjab state in Indian potato processing industry. Indian J. Agric. Mktg 2011, 25, 1–17. [Google Scholar]
- Levy, D.; Coleman, W.K.; Veilleux, R.E. Adaptation of Potato to Water Shortage: Irrigation Management and Enhancement of Tolerance to Drought and Salinity. Am. J. Potato Res. 2013, 90, 186–206. [Google Scholar] [CrossRef]
- Kumar, R.; Vaid, U.; Mittal, S. Water Crisis: Issues and Challenges in Punjab. In Water Resources Management; Singh, V., Yadav, S., Yadava, R., Eds.; Springer: Singapore, 2018; Volume 78. [Google Scholar] [CrossRef]
- Brar, S.K.; Mahal, S.S.; Brar, A.S.; Vashisht, K.K.; Sharma, N.; Butter, G.S. Transplanting time and seedling age affect water productivity, rice yield and quality in north-west India. Agric. Water Manag. 2012, 115, 217–222. [Google Scholar] [CrossRef]
- Rolbiecki, R.; Rolbiecki, S.; Figas, A.; Jagosz, B.; Stachowski, P.; Sadan, H.A.; Prus, P.; Pal-Fam, F. Requirements and Effects of Surface Drip Irrigation of Mid-Early Potato Cultivar Courage on a Very Light Soil in Central Poland. Agronomy 2021, 11, 33. [Google Scholar] [CrossRef]
- Mokh, E.F.; Nagas, K.; Masmoudi, M.M.; Mechlia, N.B. Yield and Water Productivity of Drip-Irrigated Potato under Different Nitrogen Levels and Irrigation Regime with Saline Water in Arid Tunisia. Am. J. Plant Sci. 2015, 6, 501–510. [Google Scholar] [CrossRef]
- Feng, Z.; Kang, Y.; Wan, S.; Liu, S. Effect of Drip Fertigation on Potato Productivity with Basal Application of Loss Control Fertilizer in Sandy Soil. Irrig. Drain. 2018, 67, 210–221. [Google Scholar] [CrossRef]
- Fabio, C.; Olalla, F.M.S.; Juan, J.A. Yield size of deficit irrigated potatoes. Agric. Water Manag. 2001, 48, 255–266. [Google Scholar]
- Sharma, V.; Sharma, I.P.; Spehia, R.S.; Kumar, P. Influence of irrigation methods and fertilizer levels on the productivity of Potato (Solanum tuberosum). Indian J. Agric. Sci. 2012, 82, 117–121. [Google Scholar]
- Peerzada, S.H.; Najar, A.G.; Ahmad, M.; Dar, G.H.; Bhat, K.A. Effect of Irrigation Frequency on Potato Late Blight (Phytophthora Infestans). Int. J. Curr. Microbiol. Appl. Sci. 2013, 2, 125–132. [Google Scholar]
- Davenport, J.R.; Milburn, P.H.; Rosen, C.J.; Thornton, R.E. Environmental impacts of potato nutrient management. Am. J. Potato Res. 2005, 82, 321–328. [Google Scholar] [CrossRef]
- Ierna, A.; Pandino, G.; Lombardo, S.; Mauromicale, G. Tuber yield, water and fertilizer productivity in early Potato as affected by a combination of irrigation and fertilization. Agri. Water Manag. 2011, 101, 35–41. [Google Scholar] [CrossRef]
- Jiang, Y.; Nyiraneza, J.; Khakbazan, M.; Geng, X.; Murray, B.J. Nitrate Leaching and Potato Yield under Varying Plow Timing and Nitrogen Rate. Agrosyst. Geosci. Environ. 2019, 2, 1–14. [Google Scholar] [CrossRef]
- Ojala, J.C.; Stark, J.C.; Kleinkopf, G.E. Influence of irrigation and nitrogen management on potato yield and quality. Am. Potato J. 1990, 67, 29–43. [Google Scholar] [CrossRef]
- Stark, J.C.; McCann, I.R.; Westermann, D.T.; Izadi, B.; Tindall, T.A. Potato response to split nitrogen timing with varying amount of excessive irrigation. Am. Potato J. 1993, 70, 765–777. [Google Scholar] [CrossRef]
- Kaur, A.; Brar, A.S. Influence of mulching and irrigation scheduling on productivity and water use of turmeric (Curcuma longa L.) in north-western India. Irrig. Sci. 2016, 34, 261–269. [Google Scholar] [CrossRef]
- Enciso-Mdina, J.M.; Colaizzi, P.D.; Multer, W.L.; Stichler, C.R. Cotton response to phosphorus fertigation using subsurface drip irrigation. Appl. Eng. Agric. 2007, 23, 299–307. [Google Scholar] [CrossRef]
- Laman, F.R.; Camp, C.R. Subsurface drip irrigation. In Micro-Irrigation for Crop Production: Design, Operation and Management; Developments in Agriculture Engineering; Elsevier: Amsterdam, The Netherlands, 2007; Chapter 13; pp. 473–551. [Google Scholar]
- Badr, M.A.; El-Tohamy, W.A.; Zaghloul, A.M. Yield and water use efficiency of Potato grown under different irrigation and nitrogen levels in an arid region. Agric. Water Manag. 2012, 110, 9–15. [Google Scholar] [CrossRef]
- Patel, N.; Rajput, T.B.S. Effect of drip tape placement depth and irrigation level on yield of Potato. Agric. Water Manag. 2007, 88, 209–223. [Google Scholar] [CrossRef]
- Sahoo, P.; Brar, A.S.; Sharma, S. Effect of methods of irrigation and sulphur nutrition on seed yield, economic and bio-physical water productivity of two sunflower (Helianthus annuus L.) hybrids. Agric. Water Manag. 2018, 206, 158–164. [Google Scholar] [CrossRef]
- Brar, A.S.; Buttar, G.S.; Thind, H.S.; Singh, K.B. Improvement of water Water Productivity, Economics and Energetics of Potato through Straw Mulching and Irrigation Scheduling in Indian Punjab. Potato Res. 2019, 62, 465–484. [Google Scholar] [CrossRef]
- Singh, K.B.; Jalota, S.K.; Gupta, R.K. Soil water balance and response of spring maize (Zea mays) to mulching and differential irrigation in Punjab. Indian J. Agron. 2015, 60, 279–284. [Google Scholar]
- Ali, M.H.; Talukdar, M.S.U. Increasing water productivity in crop production. A synthesis. Agric. Water Manag. 2008, 95, 1201–1213. [Google Scholar] [CrossRef]
- Lerna, A.; Mauromicale, G. Tuber yield and irrigation water productivity in early potatoes as affected by irrigation regime. Agric. Water Manag. 2012, 115, 276–284. [Google Scholar]
- Wang, F.X.; Kang, Y.H.; Liu, S.P. Effects of drip irrigation frequency on soil wetting pattern and potato growth in North China Plain. Agric. Water Manag. 2006, 79, 248–264. [Google Scholar] [CrossRef]
- Yin, X.E.A.; Lantinga, C.M.; Schapendonk, X.; Zhong, X. Some relationships between leaf area index and canopy nitrogen content and distribution. Ann. Bot. 2003, 91, 893–903. [Google Scholar] [CrossRef]
- Sadras, V.O.; Lemaire, G. Quantifying crop nitrogen status for comparisons of agronomic practices and genotypes. Field Crops Res. 2014, 164, 54–64. [Google Scholar] [CrossRef]
- Zhao, H.; Wang, R.Y.; Ma, B.L.; Xiong, Y.C.; Qiang, S.C.; Wang, C.L.; Liu, C.A.; Li, F.M. Ridge-furrow with full plastic film mulching improves water use efficiency and tuber yields of Potato in a semiarid rainfed ecosystem. Field Crops Res. 2014, 161, 137–148. [Google Scholar] [CrossRef]
- Nowacki, W. Water in potato production, problems and challenges. Inzynieria Ekol. 2018, 19, 14–25. [Google Scholar] [CrossRef]
- Wang, F.X.; Wu, X.X.; Shock, C.C.; Chu, L.Y.; Gu, X.X.; Xue, X. Effects of drip irrigation regimes on potato tuber yield and quality under plastic mulch in arid Northwestern China. Field Crops Res. 2011, 122, 78–84. [Google Scholar] [CrossRef]
- Kang, Y.; Wang, F.X.; Liu, H.J.; Yuan, B.Z. Potato evapotranspiration and yield under different drip irrigation regimes. Irrig. Sci. 2004, 23, 133–143. [Google Scholar] [CrossRef]
- Ahuja, S.; Khurana, D.S.; Singh, K. Soil Matric Potential-Based Irrigation Scheduling to Potato in the Northwestern Indian Plains. Agric. Res. 2018, 8, 320–330. [Google Scholar] [CrossRef]
- Lahlou, Q.; Ledent, J.F. Root mass and depth, stolons and roots formed on stolons in four cultivars of Potato under water stress. Eur. J. Agron. 2005, 22, 159–173. [Google Scholar] [CrossRef]
- Wu, L.; Li, L.; Ma, Z.; Fan, M. Improving Potato Yield, Water Productivity and Nitrogen Use Efficiency by Managing Irrigation Based on Potato Root Distribution. Int. J. Plant Prod. 2022, 16, 547–555. [Google Scholar] [CrossRef]
- Wang, F.X.; Kang, Y.H.; Liu, S.P. Effects of soil matric potential on potato growth under drip irrigation in North China Plain. Agric. Water Manag. 2007, 88, 34–42. [Google Scholar] [CrossRef]
- Ferreira, T.C.; Carr, M.K.V. Responses of potatoes (Solanum tuberosum L.) to irrigation and nitrogen in a hot dry climate:. I. water use. Field Crops Res. 2002, 78, 51–64. [Google Scholar] [CrossRef]
- Rolbiecki, S.; Rolbiecki, R.; Ku’smierek-Tomaszewska, R.; Dudek, S.; Zarski, J.; Rzekanowski, C. Requirements and effects of drip irrigation of mid-early potato on a very light soil in moderate climate. Fresenius Environ. Bull. 2015, 24, 3895–3902. [Google Scholar]
- Eid, M.A.M.; Abdel-Salam, A.A.; Salem, H.M.; Mahrous, S.E.; Seleiman, M.F.; Alsadon, A.A.; Solieman, T.H.I.; Ibrahim, A.A. Interaction Effects of Nitrogen Source and Irrigation Regime on Tuber Quality, Yield, and Water Use Efficiency of Solanum tuberosum L. Plants 2020, 9, 110. [Google Scholar] [CrossRef]
- Zhou, S.; Li, F.; Zhang, H. Effect of Regulated Deficit Irrigation on Potato under-Mulched Drip Irrigation. IOP Conf. Ser. Earth Environ. Sci. 2020, 615, 012104. [Google Scholar] [CrossRef]
- Kashyap, P.; Panda, R. Effect of irrigation scheduling on potato crop parameters under water stressed conditions. Agric. Water Manag. 2003, 59, 49–66. [Google Scholar] [CrossRef]
- Ierna, A.; Mauromicale, G. Potato growth, yield and water productivity response to different irrigation and fertilization regimes. Agric. Water Manag. 2018, 201, 21–26. [Google Scholar] [CrossRef]
- Ghorbani, M.; Neugschwandtner, R.W.; Konvalina, P.; Asadi, H.; Kopecký, M.; Amirahmadi, E. Comparative effects of biochar and compost applications on water holding capacity and crop yield of rice under evaporation stress: A two years field study. Paddy Water Environ. 2022, 20, 1–12. [Google Scholar] [CrossRef]
- Singh, C.B.; Singh, S.; Arora, V.K.; Sekhon, N.K. Residue Mulch Effects on Potato Productivity and Irrigation and Nitrogen Economy in a Subtropical Environment. Potato Res. 2015, 58, 245–260. [Google Scholar] [CrossRef]
- Yuan, B.Z.; Nishiyama, S.; Kang, Y. Effects of different irrigation regimes on the growth and yield of drip-irrigated Potato. Agric. Water Manag. 2003, 63, 153–167. [Google Scholar] [CrossRef]
- Arora, V.K.; Nath, J.C.; Singh, C.B. Analyzing potato response to irrigation and nitrogen regimes in a subtropical environment using SUBSTOR-Potato model. Agric. Water Manag. 2013, 124, 69–76. [Google Scholar] [CrossRef]
- Liang, S.; Abd El Baki, H.M.; An, P.; Fujimaki, H. Determining Irrigation Volumes for Enhancing Profit and N Uptake Efficiency of Potato Using WASH_2D Model. Agronomy 2022, 12, 2372. [Google Scholar] [CrossRef]
- Aujla, M.S.; Thind, H.S.; Buttar, G.S. Fruit yield and water use efficiency of eggplant (Solanum melongema L.) as influenced by different quantities of nitrogen and water applied through drip and furrow irrigation. Sci. Hortic. 2007, 112, 142–148. [Google Scholar] [CrossRef]
- Unlu, M.; Kanber, R.; Senyigit, U.; Onaran, H.; Diker, K. Trickle and sprinkler irrigation of Potato (Solanum tuberosum L.) in Middle Anatolian Region in Turkey. Agric. Water Manag. 2006, 79, 43–71. [Google Scholar] [CrossRef]






| 2018–2019 Growing Season | 2019–2020 Growing Season | |||||||||||
|---|---|---|---|---|---|---|---|---|---|---|---|---|
| Tmax | Tmin | RF (mm) | Epan (mm) | RH (%) | ET0 (mm) | Tmax | Tmin | RF (mm) | Epan (mm) | RH (%) | ET0 (mm) | |
| October | 31.0 | 16.2 | 0 | 96.6 | 64 | 97.0 | 30.6 | 18.4 | 0 | 76.7 | 68.2 | 87.8 |
| November | 26.8 | 11.8 | 2.6 | 64.0 | 63 | 59.3 | 28.0 | 22.0 | 35.2 | 56.8 | 68.2 | 57.1 |
| December | 20.6 | 5.5 | 0 | 40.6 | 68 | 40.9 | 15.9 | 7.5 | 46.8 | 30.5 | 79.0 | 33.5 |
| January | 18.5 | 6.2 | 66.0 | 43.1 | 71 | 41.31 | 16.6 | 6.7 | 39.8 | 27.7 | 78.4 | 42.1 |
| Soil Depth (cm) | Sand (%) | Silt (%) | Clay (%) | Soil Texture | Bulk Density (g cm−3) | Saturated Hydraulic Conductivity (cm h−1) | Soil Moisture Retention (% v/v) | |
|---|---|---|---|---|---|---|---|---|
| 10 kPa | 1500 kPa | |||||||
| 0–15 | 70.8 | 20.4 | 10.8 | Sandy loam | 1.52 | 1.08 | 27.0 | 9.0 |
| 15–30 | 70.2 | 21.3 | 11.2 | Sandy loam | 1.61 | 0.64 | 27.2 | 9.2 |
| 30–60 | 69.7 | 22.2 | 11.7 | Sandy loam | 1.67 | 1.61 | 27.3 | 7.3 |
| 60–90 | 68.4 | 22.3 | 11.9 | Sandy loam | 1.64 | 1.27 | 23.0 | 6.0 |
| Depth (cm) | Hours after Irrigation | I1 | I2 | I3 | I4 | I5 | I6 | I7 |
|---|---|---|---|---|---|---|---|---|
| 0–10 | 24 | 11.1 a | 12. a | 10.9 a | 10.7 a | 9.6 a | 9.3 a | 18.7 b |
| 48 | 9.2 a | 10.1 a | 8.8 a | 9.1 a | 8.8 a | 8.5 a | 15.8 b | |
| 72 | 8.9 a | 8.1 a | 8.3 a | |||||
| 10–20 | 24 | 17.2 a | 18.1 a | 15.7 ab | 14.7 ab | 13.3 b | 12.3 b | 15.1 ab |
| 48 | 12.5 a | 12.5 a | 12.1 a | 11.3 a | 10.1 a | 10.2 a | 11.5 a | |
| 72 | 11.2 a | 10.4 a | 9.1 ab | 8.5 b | ||||
| 20–30 | 24 | 21.5 a | 19.3 a | 17.9 a | 17.2 ab | 14.2 b | 14.1b | 13.5 b |
| 48 | 17.5 a | 16.5 a | 15.5 a | 15.1 a | 13.1 b | 12.3 b | 10.2 b | |
| 72 | 14.4 a | 13.1 a | 10.1 b | |||||
| 30–40 cm | 24 | 17.1 a | 16.9 a | 15.4 a | 14.9 ab | 12.8 b | 12.0 b | 11.1 b |
| 48 | 16.4 a | 15.1 a | 14.2 ab | 13.1 b | 11.8 b | 11.1 b | 10.1 b | |
| 72 | 14.8 a | 12.5 b | 10.8 c | |||||
| 40–60 cm | 24 | 14.8 a | 15.1 a | 13.7 a | 13.3 a | 12.4 ab | 12.2 ab | 10.1 b |
| 48 | 14.1 a | 13.8 a | 13.2 a | 12.5 a | 12.1 a | 12.1 a | 9.9 b |
| Depth (cm) | Hours after Irrigation | I1 | I2 | I3 | I4 | I5 | I6 | I7 |
|---|---|---|---|---|---|---|---|---|
| 0–10 | 24 | 12 b | 11.8 b | 11.1 b | 10.8 b | 10 b | 9.9 b | 20.2 a |
| 48 | 11.3 b | 10.8 b | 10.5 b | 9.9 b | 8.5 b | 8.1 b | 16.9 a | |
| 72 | 8.7 a | 8.3 a | 8.5 a | 7.8 a | ||||
| 10–20 | 24 | 18.2 a | 17.8 a | 16.7 ab | 15.6 ab | 13.3 b | 12.8 b | 16.1 ab |
| 48 | 15.5 a | 14.7 ab | 13.4 ab | 13.3 ab | 11.1 b | 10.8 b | 13.1 ab | |
| 72 | 12.2 a | 11.4 a | 10.1 a | |||||
| 20–30 | 24 | 22.4 a | 21.5 a | 18.9 ab | 18.1 ab | 16.5 b | 16.3 b | 12.8 c |
| 48 | 19.5 a | 19.3 a | 16.3 b | 16.1 b | 15.2 b | 15.1 b | 10.9 c | |
| 72 | 15.1 a | 14.1 a | 12.9 b | |||||
| 30–40 | 24 | 17.7 a | 16.8 a | 14.8 ab | 13.7 ab | 12.5 b | 11.6 b | 10.8 b |
| 48 | 16.8 a | 15.3 a | 13.6 ab | 12.5 b | 10.8 b | 10.9 b | 10.1 b | |
| 72 | 14.1 a | 11.4 b | 10.1 b | |||||
| 40–60 | 24 | 15.3 a | 14.8 a | 13.5 a | 12.5 a | 11.8 ab | 11.2 ab | 10.2 b |
| 48 | 15.1 a | 14.1 a | 13.2 ab | 12.3 ab | 11.5 ab | 11.1 b | 10.0 b | |
| 72 | 13.2 a | 11.1 a | 9.8 a |
| Treatments | Irrigation (mm) | Rain (mm) | ET (mm) | Drainage (mm) | ΔS |
|---|---|---|---|---|---|
| N1I1 | 160.8 a | 68.6 | 223.2 a | 0 | 6.4 a |
| N1I2 | 158.6 a | 68.6 | 215.2 a | 0 | 10.0 a |
| N1I3 | 126.0 b | 68.6 | 208.4 a | 0 | −11.3 b |
| N1I4 | 125.8 b | 68.6 | 201.3 a | 0 | −11.6 b |
| N1I5 | 83.7 c | 68.6 | 186.3 b | 0 | −34.7 c |
| N1I6 | 83.7 c | 68.6 | 185.5 b | 0 | −36.2 c |
| N1I7 | 126.0 b | 68.6 | 230.2 a | 0 | −40.0 c |
| N2I1 | 160.8 a | 68.6 | 220.3 a | 0 | 6.2 a |
| N2I2 | 158.6 a | 68.6 | 214.4 a | 0 | 10.7 a |
| N2I3 | 126.0 b | 68.6 | 205.5 a | 0 | −10.3 b |
| N2I4 | 121.0 b | 68.6 | 199.9 a | 0 | −9.6 b |
| N2I5 | 83.7 c | 68.6 | 185.5 b | 0 | −33.2 c |
| N2I6 | 80.7 c | 68.6 | 183.3 b | 0 | −34.0 c |
| N2I7 | 126.0 b | 68.6 | 229.4 a | 0 | −39.1 c |
| N3I1 | 160.8 a | 68.6 | 219.9 a | 0 | 9.5 a |
| N3I2 | 158.6 a | 68.6 | 211.5 a | 0 | 23.1 b |
| N3I3 | 126.0 b | 68.6 | 201.2 a | 0 | −8.4 c |
| N3I4 | 121.0 b | 68.6 | 190.4 a | 0 | −0.8 c |
| N3I5 | 83.7 c | 68.6 | 174.4 b | 0 | −22.1 d |
| N3I6 | 83.7 c | 68.6 | 173.3 b | 0 | −23.9 d |
| N3I7 | 126.0 b | 68.6 | 225.4 a | 0 | −42.0 d |
| Treatments | Irrigation (mm) | Rain (mm) | ET (mm) | Drainage (mm) | ΔS |
|---|---|---|---|---|---|
| N1I1 | 105.8 a | 123 | 232.4 a | 0 | −3.6 a |
| N1I2 | 104.3 a | 123 | 230.1 a | 0 | −2.8 a |
| N1I3 | 85.9 b | 123 | 222.2 a | 0 | −13.3 b |
| N1I4 | 84.8 b | 123 | 220.4 a | 0 | −12.6 b |
| N1I5 | 61.5 c | 123 | 203.4 b | 0 | −18.9 b |
| N1I6 | 60.7 c | 123 | 201.3 b | 0 | −17.6 b |
| N1I7 | 85.9 b | 123 | 238.8 a | 0 | −29.9 c |
| N2I1 | 105.8 a | 123 | 232.4 a | 0 | −3.6 a |
| N2I2 | 104.3 a | 123 | 230.1 a | 0 | −2.8 a |
| N2I3 | 85.9 b | 123 | 221.1 a | 0 | −12.2 b |
| N2I4 | 84.8 b | 123 | 220.4 a | 0 | −12.6 b |
| N2I5 | 61.5 c | 123 | 203.4 b | 0 | −18.9 b |
| N2I6 | 60.7 c | 123 | 201.3 b | 0 | −17.6 a |
| N2I7 | 85.9 b | 123 | 236.2 a | 0 | −27.3 c |
| N3I1 | 105.8 a | 123 | 227.4 a | 0 | 1.4 a |
| N3I2 | 104.3 a | 123 | 224.4 a | 0 | 2.9 a |
| N3I3 | 85.9 b | 123 | 218.8 a | 0 | −9.9 a |
| N3I4 | 84.8 b | 123 | 220.4 a | 0 | −12.6 b |
| N3I5 | 61.5 c | 123 | 200.4 b | 0 | −15.9 b |
| N3I6 | 60.7 c | 123 | 198.8 b | 0 | −15.1 b |
| N3I7 | 85.9 b | 123 | 234.4 a | 0 | −25.5 c |
| Treatments | 2018–19 | 2019–20 | ||||
|---|---|---|---|---|---|---|
| ET (mm) | Tp (mm) | E (mm) | ET (mm) | Tp (mm) | E (mm) | |
| N1 | 207.2 a | 160.2 a | 46.9 a | 221.8 a | 169.5 a | 52.3 a |
| N2 | 205.5 a | 157.9 a | 47.5 b | 220.7 a | 168.8 a | 52.9 a |
| N3 | 199.4 b | 149.5 b | 52.0 b | 217.2 a | 157.2 b | 60.5 b |
| Mean | 204.0 | 155.9 | 48.8 | 219.9 | 165.2 | 55.3 |
| I1 | 221.1 a | 180.9 a | 40.1 a | 230.7 a | 183.2 a | 47.5 a |
| I2 | 213.7 a | 169.3 ab | 44.2 a | 228.2 a | 177.0 a | 51.2 a |
| I3 | 205.0 a | 169.9 ab | 42.0 a | 220.7 a | 177.5 a | 48.5 a |
| I4 | 197.2 ab | 152.8 b | 44.4 a | 220.4 a | 167.8 a | 52.6 a |
| I5 | 182.1 b | 132.4 c | 49.7 b | 202.4 b | 143.6 b | 58.8 ab |
| I6 | 180.7 b | 128.0 c | 57.7 bc | 200.5 b | 138.1 b | 62.3 ab |
| I7 | 228.3 a | 164.7 ab | 63.6 c | 236.5 a | 168.9 a | 67.6 b |
| Mean | 204.0 | 155.9 | 48.8 | 219.9 | 165.2 | 55.3 |
| Treatments | 2018–2019 | 2019–2020 | ||||||
|---|---|---|---|---|---|---|---|---|
| 45 DAS | 60 DAS | 75 DAS | 90 DAS | 45 DAS | 60 DAS | 75 DAS | 90 DAS | |
| N1 | 3.45 (0.11) | 4.97 (0.10) | 4.98 (0.12) | 4.31 (0.12) | 2.96 (0.03) | 4.87 (0.11) | 4.89 (0.10) | 4.33 (0.20) |
| N2 | 3.06 (0.13) | 4.76 (0.11) | 4.78 (0.11) | 3.99 (0.11) | 2.90 (0.02) | 4.55 (0.11) | 4.61 (0.11) | 3.38 (0.18) |
| N3 | 2.65 (0.13) | 4.40 (0.12) | 4.38 (0.11) | 3.45 (0.10) | 2.78 (0.03) | 4.16 (0.12) | 4.19 (0.11) | 2.62 (0.22) |
| Mean | 3.05 | 4.71 | 4.71 | 3.86 | 2.88 | 4.54 | 4.56 | 3.34 |
| LSD (p = 0.05) | 0.39 | 0.29 | 0.31 | 0.32 | 0.06 | 0.31 | 0.29 | 0.66 |
| I1 | 3.43 (0.13) | 5.17 (0.05) | 5.18 (0.04) | 4.36 (0.05) | 3.15 (0.02) | 5.19 (0.03) | 5.2 (0.02) | 3.87 (0.01) |
| I2 | 3.22 (0.11) | 5.11 (0.04) | 5.13 (0.03) | 4.24 (0.05) | 2.90 (0.03) | 5.08 (0.02) | 5.11 (0.02) | 3.81 (0.02) |
| I3 | 3.29 (0.14) | 5.12 (0.05) | 5.14 (0.05) | 4.28 (0.06) | 3.08 (0.02) | 5.12 (0.04) | 5.13 (0.03) | 3.85 (0.01) |
| I4 | 2.99 (0.13) | 4.72 (0.06) | 4.78 (0.04) | 3.92 (0.06) | 2.80 (0.03) | 4.35 (0.05) | 4.38 (0.02) | 3.22 (0.01) |
| I5 | 2.69 (0.11) | 4.13 (0.05) | 4.10 (0.03) | 3.15 (0.05) | 2.60 (0.02) | 3.78 (0.02) | 3.79 (0.03) | 2.60 (0.02) |
| I6 | 2.58 (0.12) | 3.71 (0.06) | 3.60 (0.04) | 2.92 (0.05) | 2.54 (0.03) | 3.45 (0.04) | 3.44 (0.04) | 2.47 (0.02) |
| I7 | 3.18 (0.13) | 5.02 (0.06) | 5.04 (0.05) | 4.14 (0.04) | 3.06 (0.04) | 4.82 (0.03) | 4.84 (0.03) | 3.53 (0.01) |
| Mean | 3.10 | 4.71 | 4.72 | 3.86 | 2.88 | 4.54 | 4.56 | 3.34 |
| LSD (p = 0.05) | 0.52 | 0.15 | 0.14 | 0.18 | 0.08 | 0.11 | 0.11 | 0.0 |
| Interactions | NS | NS | NS | NS | NS | NS | NS | NS |
| Treatments | 2018–2019 | 2019–2020 | ||||
|---|---|---|---|---|---|---|
| 60 DAS | 75 DAS | 90 DAS | 60 DAS | 75 DAS | 90 DAS | |
| N1 | 4.43 (0.11) | 5.64 (0.13) | 8.28 (0.15) | 3.96 (0.01) | 6.72 (0.03) | 10.5 (0.13) |
| N2 | 4.17 (0.13) | 5.27 (0.11) | 8.04 (0.09) | 3.72 (0.02 | 6.66 (0.04 | 10.1 (0.15) |
| N3 | 3.66 (0.15) | 4.54 (0.16) | 7.11 (0.11) | 3.34 (0.04) | 5.62 (0.06) | 95.2 (0.19) |
| Mean | 4.09 | 5.15 | 7.81 | 3.67 | 6.33 | 10.0 |
| LSD (p = 0.05) | 0.45 | 0.44 | 0.35 | 0.14 | 0.21 | 0.64 |
| I1 | 4.55 (0.05) | 5.77 (0.07) | 8.53 (0.11) | 4.19 (0.04) | 7.04 (0.09) | 10.7 (0.15) |
| I2 | 4.49 (0.03) | 5.66 (0.06) | 8.37 (0.10) | 4 (0.05) | 6.75 (0.10) | 10.4 (0.16) |
| I3 | 4.32 (0.04) | 5.6 (0.07) | 8.27 (0.09) | 4.06 (0.04) | 6.8 (0.11) | 10.1 (0.17) |
| I4 | 3.87 (0.04) | 4.92 (0.08) | 7.85 (0.11) | 3.65 (0.03) | 5.98 (0.08) | 9.54 (0.14) |
| I5 | 3.7 (0.07) | 4.52 (0.09) | 7.04 (0.08) | 3.15 (0.05) | 5.7 (0.11) | 8.92 (0.18) |
| I6 | 3.5 (0.07) | 4.13 (0.08) | 6.53 (0.11) | 2.94 (0.06) | 5.51 (0.10) | 8.58 (0.17) |
| I7 | 4.2 (0.05) | 5.46 (0.06) | 8.09 (0.08) | 3.94 (0.05) | 6.560.09) | 10.0 (0.19) |
| Mean | 4.06 | 5.15 | 7.81 | 3.7 | 6.33 | 9.75 |
| LSD (p = 0.05) | 0.23 | 0.26 | 0.29 | 0.18 | 0.31 | 0.54 |
| Interactions | NS | NS | NS | NS | NS | NS |
| Treatments | 2018–2019 | 2019–2020 | Pooled Analysis | |||||||||
|---|---|---|---|---|---|---|---|---|---|---|---|---|
| N1 | N2 | N3 | Mean | N1 | N2 | N3 | Mean | N1 | N2 | N3 | Mean | |
| I1 | 35.2 | 34.7 | 32.4 | 34.1 (0.27) | 35.4 | 35.0 | 33.1 | 34.5 (0.22) | 35.3 | 34.6 | 32.6 | 34.2 |
| I2 | 34.9 | 34.2 | 32.1 | 33.7 (0.26) | 35.3 | 34.7 | 32.7 | 34.2 (0.21) | 35.1 | 33.9 | 32.4 | 33.8 |
| I3 | 34.5 | 33.9 | 31.7 | 33.4 (0.25) | 35.1 | 34.3 | 32.4 | 33.9 (0.19) | 34.8 | 33.6 | 32.1 | 33.5 |
| I4 | 33.1 | 32.2 | 29.4 | 31.6 (0.23) | 34.2 | 33.8 | 30.6 | 32.9 (0.23) | 33.7 | 33.0 | 30.0 | 32.2 |
| I5 | 28.8 | 27.8 | 25.5 | 27.4 (0.22) | 31.4 | 29.2 | 25.4 | 28.6 (0.20) | 30.1 | 28.5 | 25.1 | 27.9 |
| I6 | 28.0 | 26.7 | 25.0 | 26.6 (0.25) | 27.7 | 27.4 | 24.9 | 26.7 (0.23) | 27.9 | 27.1 | 24.4 | 26.5 |
| I7 | 33.9 | 33.0 | 31.5 | 32.8 (0.26) | 34.6 | 33.8 | 32.1 | 33.5 (0.22) | 34.7 | 33.7 | 31.3 | 33.3 |
| Mean | 32.4 | 31.8 | 29.7 | 31.3 | 33.4 | 32.6 | 30.2 | 32.0 | 33.1 | 32.1 | 29.6 | 31.6 |
| SE± | 0.29 | 0.30 | 0.31 | 0.22 | 0.19 | 0.21 | ||||||
| LSD (p = 0.05) | N = 0.95 I = 0.83, I × N = 1.43 | N = 0.57, I = 0.66, I × N = 1.15 | Y = 0.21 N = 0.26, Y × N = ns, I = 0.44, I × N = 0.74, Y × N × I = ns | |||||||||
| Treatments | 2018–2019 | 2019–2020 | ||
|---|---|---|---|---|
| Tuber Weight (g) | No. of Tubers/10 Plants | Tuber Weight (g) | No. of Tubers/10 Plants | |
| N1 | 44.16 (1.58) | 88.9 (1.22) | 47.37 (2.12) | 96.2 (1.93) |
| N2 | 41.54 (1.60) | 86.0 (1.24) | 44.01 (2.10) | 90.5 (1.90) |
| N3 | 36.40 (1.63) | 75.6 (1.26) | 37.61 (2.28) | 80.3 (1.96) |
| Mean | 40.7 | 83.5 | 42.99 | 89.6 |
| LSD (p = 0.05) | 4.7 | 3.5 | 6.0 | 5.5 |
| I1 | 44.9 (1.74) | 96.8 (2.78) | 48.61 (1.64) | 104.7 (2.74) |
| I2 | 44.2 (1.73) | 93.1 (2.81 | 47.33 (1.61) | 99.9 (2.75) |
| I3 | 43.5 (1.68) | 90.7 (2.81) | 45.31 (1.65) | 97.0 (2.76) |
| I4 | 41.0 (1.71) | 83.3 (2.88) | 43.62 (1.64) | 90.0 (2.73) |
| I5 | 35.6 (1.76) | 70.5 (2.91) | 37.29 (1.66) | 74.8 (2.75) |
| I6 | 32.1 (1.77) | 62.1 (2.93) | 34.28 (1.65) | 63.0 (2.76) |
| I7 | 43.5 (1.71) | 88.1 (2.94) | 44.50 (1.63) | 93.7 (2.75) |
| Mean | 40.7 | 83.5 | 42.99 | 89.6 |
| LSD (p = 0.05) | 5.0 | 8.4 | 4.9 | 8.3 |
| Interactions | NS | NS | NS | NS |
| Treatments | N Uptake by Biomass | Tuber N Uptake | ||||||
|---|---|---|---|---|---|---|---|---|
| N1 | N2 | N3 | Mean | N1 | N2 | N3 | Mean | |
| I1 | 119.8 | 116.6 | 87.4 | 107.9 (2.31) | 358.8 | 353.5 | 314.7 | 342.3 (2.80) |
| I2 | 113.6 | 109.5 | 84.4 | 102.5 (2.24) | 355.6 | 349.0 | 308.3 | 337.6 (2.91) |
| I3 | 112.6 | 109.1 | 83.5 | 101.7 (2.45) | 348.5 | 344.1 | 303.1 | 331.9 (2.51) |
| I4 | 103.6 | 95.4 | 73.6 | 90.9 (2.13) | 331.4 | 318.3 | 276.4 | 308.7 (2.61) |
| I5 | 92.8 | 84.4 | 64.1 | 80.4 (2.34) | 285.4 | 272.5 | 235.0 | 264.3 (2.55) |
| I6 | 86.6 | 77.8 | 55.3 | 73.2 (2.40) | 274.8 | 256.7 | 230.1 | 253.9 (2.64) |
| I7 | 109.3 | 101.3 | 81.1 | 97.2 (2.23) | 346.2 | 336.3 | 290.2 | 324.2 (2.60) |
| Mean | 105.5 | 99.2 | 75.6 | 328.7 | 318.6 | 279.7 | 309.0 | |
| SE± | 2.51 | 2.55 | 2.68 | 1.81 | 0.83 | 0.85 | ||
| LSD (p = 0.05) | N = 8.1 I = 6.5, Ix × N = 13.1 | N = 5.5, I = 10.6, Ix × N = NS | ||||||
| Treatments | N Uptake by Biomass | Tuber N Uptake | ||||||
|---|---|---|---|---|---|---|---|---|
| N1 | N2 | N3 | Mean | N1 | N2 | N3 | Mean | |
| I1 | 129.4 | 128.1 | 110.2 | 122.6 (1.29) | 368.2 | 364.4 | 338.0 | 356.9 (1.51) |
| I2 | 127.4 | 125.6 | 109.1 | 120.7 (1.31) | 367.4 | 360.6 | 329.8 | 352.6 (1.50) |
| I3 | 124.3 | 121.8 | 108.4 | 118.8 (1.34) | 364.6 | 356.3 | 326.7 | 349.2 (1.52) |
| I4 | 107.7 | 102.3 | 85.1 | 98.4 (1.30) | 349.1 | 344.4 | 302.5 | 332.0 (1.53) |
| I5 | 94.3 | 90.5 | 71.1 | 85.3 (1.28) | 316.8 | 288.8 | 243.4 | 283.0 (1.50) |
| I6 | 86.1 | 76.5 | 65.2 | 75.9 (1.31) | 274.2 | 263.1 | 236.7 | 258.0 (1.53) |
| I7 | 115.5 | 110.6 | 98.7 | 108.3 (1.32) | 359.3 | 344.9 | 324.3 | 342.8 (1.52) |
| Mean | 112.1 | 107.9 | 92.5 | 342.8 | 331.8 | 300.2 | 324.9 | |
| SE± | 1.34 | 1.32 | 1.34 | 1.55 | 1.52 | 1.58 | ||
| LSD (p = 0.05) | N = 4.0, I = 4.1, I × N = 7.0 | N = 4.7, I = 4.5, I × N = 7.2 | ||||||
| Treatments | 2018–2019 | 2019–2020 | ||||||
|---|---|---|---|---|---|---|---|---|
| N1 | N2 | N3 | Mean | N1 | N2 | N3 | Mean | |
| I1 | 15.8 | 15.7 | 14.8 | 15.4 | 15.2 | 15.1 | 14.4 | 14.9 |
| I2 | 16.2 | 16.0 | 15.2 | 15.8 | 15.4 | 15.1 | 14.5 | 15.0 |
| I3 | 16.6 | 16.4 | 15.9 | 16.2 | 15.8 | 15.5 | 14.8 | 15.3 |
| I4 | 16.4 | 16.1 | 15.4 | 16.0 | 15.5 | 15.3 | 13.9 | 14.9 |
| I5 | 15.5 | 15.0 | 14.6 | 15.0 | 15.4 | 14.3 | 12.6 | 14.1 |
| I6 | 15.1 | 14.6 | 14.4 | 14.7 | 13.8 | 13.6 | 12.5 | 13.3 |
| I7 | 14.7 | 14.4 | 14.0 | 14.4 | 14.6 | 14.6 | 13.7 | 14.3 |
| Mean | 15.7 | 15.4 | 14.9 | 115.4 | 15.1 | 14.8 | 13.8 | 14.5 |
| LSD (p = 0.05) | N = 0.43, I = 0.26, I × N= 0.48 | N = 0.42, I = 0.21, I × N = 0.40 | ||||||
Disclaimer/Publisher’s Note: The statements, opinions and data contained in all publications are solely those of the individual author(s) and contributor(s) and not of MDPI and/or the editor(s). MDPI and/or the editor(s) disclaim responsibility for any injury to people or property resulting from any ideas, methods, instructions or products referred to in the content. |
© 2022 by the authors. Licensee MDPI, Basel, Switzerland. This article is an open access article distributed under the terms and conditions of the Creative Commons Attribution (CC BY) license (https://creativecommons.org/licenses/by/4.0/).
Share and Cite
Kaur, A.; Singh, K.B.; Gupta, R.K.; Alataway, A.; Dewidar, A.Z.; Mattar, M.A. Interactive Effects of Nitrogen Application and Irrigation on Water Use, Growth and Tuber Yield of Potato under Subsurface Drip Irrigation. Agronomy 2023, 13, 11. https://doi.org/10.3390/agronomy13010011
Kaur A, Singh KB, Gupta RK, Alataway A, Dewidar AZ, Mattar MA. Interactive Effects of Nitrogen Application and Irrigation on Water Use, Growth and Tuber Yield of Potato under Subsurface Drip Irrigation. Agronomy. 2023; 13(1):11. https://doi.org/10.3390/agronomy13010011
Chicago/Turabian StyleKaur, Amanpreet, Kanwar Barjinder Singh, Rajeev Kumar Gupta, Abed Alataway, Ahmed Z. Dewidar, and Mohamed A. Mattar. 2023. "Interactive Effects of Nitrogen Application and Irrigation on Water Use, Growth and Tuber Yield of Potato under Subsurface Drip Irrigation" Agronomy 13, no. 1: 11. https://doi.org/10.3390/agronomy13010011
APA StyleKaur, A., Singh, K. B., Gupta, R. K., Alataway, A., Dewidar, A. Z., & Mattar, M. A. (2023). Interactive Effects of Nitrogen Application and Irrigation on Water Use, Growth and Tuber Yield of Potato under Subsurface Drip Irrigation. Agronomy, 13(1), 11. https://doi.org/10.3390/agronomy13010011

