Bioactivity of Ethanolic Extracts of Dipteryx punctata on Colletotrichum musae
Abstract
1. Introduction
2. Materials and Methods
2.1. Collection and Obtaining of Plant Extracts from Dipteryx punctata
2.2. Isolate Obtention of Colletotrichum musae
2.3. Antifungal Activity, In Vitro, of Dipteryx punctata and Coumarin Extracts
2.4. Antifungal Activity, In Vivo, of Dipteryx punctata and Coumarin Extracts
2.5. Statistical Analysis
3. Results
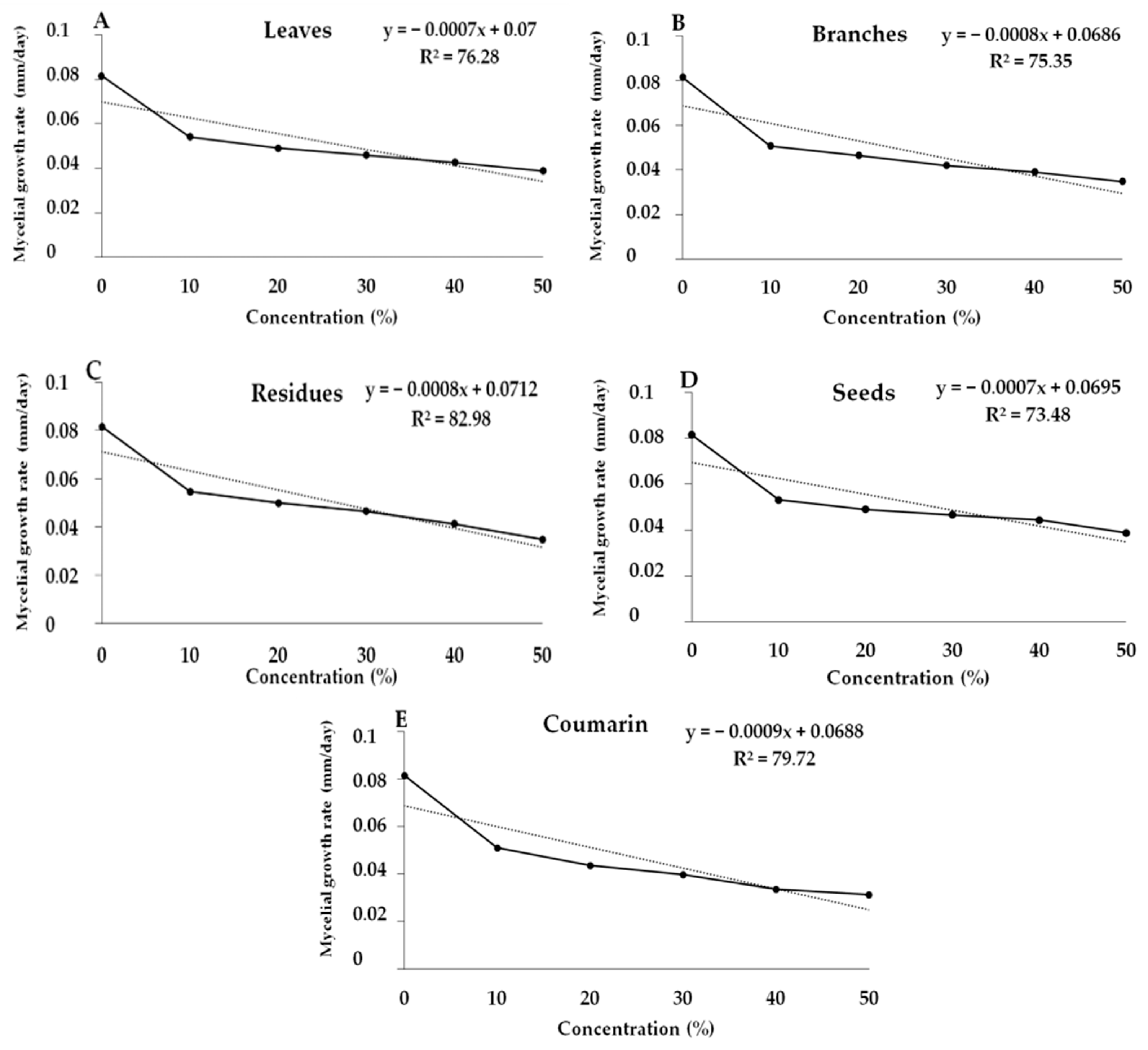
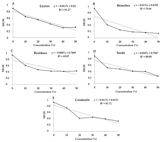
3.1. Antifungal Activity, In Vitro, of Dipteryx punctata and Coumarin Extracts
3.2. Antifungal Activity, In Vivo, of Dipteryx punctata and Coumarin Extracts
4. Discussion
5. Conclusions
Author Contributions
Funding
Institutional Review Board Statement
Informed Consent Statement
Data Availability Statement
Acknowledgments
Conflicts of Interest
References
- FAO—Food and Agriculture Organization of the United Nations. Banana: Market Review 2020. Rome, 2021. Available online: https://www.fao.org/3/cb6639en/cb6639en.pdf (accessed on 1 June 2022).
- Lima Filho, R.M.; Oliveira, S.M.A.; Menezes, M. Caracterização Enzimática e Patogenicidade Cruzada de Colletotrichum spp. Associados a Doenças de Pós-Colheita. Fitopatol. Bras. 2003, 28, 620–625. [Google Scholar] [CrossRef]
- Silva, K.S.; Rebouças, T.N.H.; Lemos, O.L.; Bomfim, M.P.; Bomfim, A.A.; Esquivel, G.L.; Barreto, A.P.P.; São José, A.R.; Dias, N.O.; Tavares, G.M. Patogenicidade causada pelo fungo Colletotrichum gloesporioides (Penz) em diferentes espécies frutíferas. Rev. Bras. Frutic. 2006, 28, 131–133. [Google Scholar] [CrossRef]
- Tavares, G.M.; Souza, P.E. Efeito de fungicidas no controle in vitro de Colletotrichum gloeosporioides, agente etiológico da antracnose do mamoeiro (Carica papaya L.). Cienc. e Agrotecnologia 2005, 29, 52–59. [Google Scholar] [CrossRef]
- Silva, A.C.; Sales, N.L.P.; Araújo, A.V.; Caldeira Júnior, C.F. Efeito in vitro de compostos de plantas sobre o fungo Colletotrichum gloeosporioides Penz. isolado do maracujazeiro. Cienc. e Agrotecnologia 2009, 33, 1853–1860. [Google Scholar] [CrossRef]
- Peruch, L.A.M.; Schroeder, A.-L.; Colariccio, A.; Guimarães, L.; Chagas, C.M. Doenças do Maracujazeiro Amarelo; Epagri: Florianópolis, Brasil, 2009; 99p. [Google Scholar]
- Soylu, E.M.; Kurt, S.; Soylu, S. In vitro and in vivo antifungal activities of the essential oils of various plants against tomato grey mould disease agent Botrytis cinerea. Int. J. Food Microbiol. 2010, 143, 183–189. [Google Scholar] [CrossRef]
- Lee, Y.; Kim, J.; Shin, S.; Lee, S.; Park, I. Antifungal activity of Myrtaceae essential oils and their components against three phytopathogenic fungi. Flavour Fragr. J. 2008, 23, 23–28. [Google Scholar] [CrossRef]
- Oulebsir, C.; Mefti-Korteby, H.; Djazouli, Z.-E.; Zebib, B.; Merah, O. Essential oil of Citrus aurantium L. leaves: Composition, antioxidant activity, elastase and collagenase inhibition. Agronomy 2022, 12, 1466. [Google Scholar] [CrossRef]
- Cunico, M.M.; Miguel, O.G.; Miguel, M.D.; Carvalho, J.L.S.; Peitz, C.; Auer, C.G.; Grigoletti Júnior, A. Estudo da atividade antifúngica de Ottonia martiana Miq., Piperaceae: Um teste in vivo. Visão Acadêmica 2003, 4, 77–82. [Google Scholar] [CrossRef]
- Lyon, G.D.; Reglinski, T.; Newton, A.C. Novel disease control compounds: The potential to “immunize” plants against infection. Plant Pathol. 1995, 44, 407–427. [Google Scholar] [CrossRef]
- Schwan-Estrada, K.R.F.; Stangarlin, J.R.; Cruz, M.E.S. Uso de extratos vegetais no controle de fungos fitopatogênicos. Rev. Floresta 2000, 30, 129–137. [Google Scholar] [CrossRef]
- Sullivan, G. Occurrence of umbelliferone in the seeds of Dipteryx odorata (Aubl.) Willd. J. Agric. Food Chem. 1982, 30, 609–610. [Google Scholar] [CrossRef] [PubMed]
- Corrêa, A.J.C. Análise Comparativa de Atividades Antimicrobiana e Citotóxica de Extratos Brutos e Frações do Rizoma de Alpinia zerumbet (PERS.) B.L. BURTT. & R.M. SM. Com três Cumarinas Sintéticas. Master’s Thesis, Universidade Federal de Pernambuco, Recife, Brazil, 2014. [Google Scholar]
- Taube, P.S., Jr.; Castro, K.C.F.; Barata, L.E.S. Experimentos de Química; UFOPA: Santarém, Brazil, 2014; 242p. [Google Scholar]
- Alfenas, A.C.; Mafia, R.G. Isolamento de Fungos Fitopatogênicos. In Métodos em fitopatologia; Alfenas, A.C., Mafia, R.G., Eds.; UFV: Lavras, Brasil, 2007; pp. 53–90. [Google Scholar]
- Couto, E.F.; Menezes, M. Caracterização fisiomorfológica de isolados de Colletotrichum musae. Fitopatol. Bras. 2004, 29, 406–412. [Google Scholar] [CrossRef]
- Pinto, T.J.A.; Kaneko, T.M.; Ohara, M.T. Controle Biológico de Qualidade de Produtos Farmacêuticos, Correlatos e Cosméticos, 2nd ed.; Atheneu Editora: São Paulo, Brasil, 2003; 325p. [Google Scholar]
- Bastos, C.N. Efeito do óleo de Piper aduncum sobre Crinipellis perniciosa e outros fungos fitopatogênicos. Fitopatol. Bras. 1997, 22, 441–443. [Google Scholar]
- Venturoso, L.R.; Bacchi, L.M.A.; Gavassoni, W.L.; Conus, L.A.; Pontim, B.C.A.; Bergamin, A.C. Atividade antifúngica de extratos vegetais sobre o desenvolvimento de fitopatógenos. Summa Phytopathol. 2011, 37, 18–23. [Google Scholar] [CrossRef]
- Oliveira, J.A. Efeito do Tratamento Fungicida em Sementes no Controle de Tombamento de Plântulas de Pepino (Cucumis sativas L.) e Pimentão (Capsicum annanum L.). Master’s Thesis, Escola Superior de Agricultura de Lavras, Lavras, Brazil, 1991. [Google Scholar]
- Olher, M.L.D.R.; Pereira, D.C.S.; Martins, M.L.; Martins, E.M.F.; Campos, A.N.R. Controle in vitro do crescimento micelial e da germinação de conídios de Botrytis cinerea por metabólitos e extratos de Pisolithus microcarpus. Braz. J. Dev. 2021, 7, 15008–15025. [Google Scholar] [CrossRef]
- Gomes, L.I.S. Métodos de Inoculação de Colletotrichum gloeosporioides e Efeito de Óleos Essenciais no Controle da Antracnose em Frutos de Mamoeiro. Master’s Thesis, Universidade Federal de Lavras, Lavras, Brazil, 2008. [Google Scholar]
- Ferreira, D.F. Software Estatístico SISVAR; versão 5.6. CNPQ.; UFLA: Minas Gerais, Brazil, 2010. [Google Scholar]
- Venturoso, L.R.; Bacchi, L.M.A.; Gavassoni, W.L.; Conus, L.A.; Pontim, B.C.A.; Souza, F.R. Inibição do crescimento in vitro de fitopatógenos sob diferentes concentrações de extratos de plantas medicinais. Arq. Inst. Biol. 2011, 78, 89–95. [Google Scholar] [CrossRef]
- Oliveira, H.M.B.F. Avaliação das atividades antifúngica, antioxidante e citotóxica dos monoterpenos (r)-(+)-citronelal, (s)-(−)-citronelal, 7-hidroxicitronelal. Ph.D. Thesis, Universidade Federal da Paraíba, João Pessoa, Paraíba, Brasil, 2016. [Google Scholar]
- Yao, J.; Fang, S.; Liu, L.; Oppong, M.B.; Liu, E.; Fan, G.; Zhang, H. A Review on the terpenes from genus Vitex. Molecules 2016, 21, 1179. [Google Scholar] [CrossRef]
- Santos, P.C.M.; Lima, W.G.; Bezerra, C.S.; Michereff, S.J.; Câmara, M.P.S. Diversidade genotípica e patogênica de Colletotrichum musae no estado de Pernambuco. Rev. Bras. Frutic. 2015, 37, 355–366. [Google Scholar] [CrossRef]
- Benkeblia, N. Antimicrobial activity of essential oil extracts of various onions (Allium cepa) and garlic (Allium sativum). Food Sci Technol. 2004, 37, 263–268. [Google Scholar] [CrossRef]
- Medice, R.; Alves, E.; Assis, R.T.; Magno Júnior, R.G.; Lopes, E.A.G.L. Óleos essenciais no controle da ferrugem asiática da soja (Phakopsora pachyrhizi Syd. & P. Syd.). Cienc. e Agrotecnologia 2007, 31, 83–90. [Google Scholar]
- Cruz, M.E.S.; Schwan-Estrada, K.R.F.; Clemente, E.; Itako, A.T.; Stangarlins, J.R.; Cruz, M.J.S. Plant extracts for controlling the post-harvest anthracnose of banana fruit. Rev. Bras. Pl. Med. 2013, 15, 727–733. [Google Scholar] [CrossRef]
- Macêdo, C.G.; Sousa, B.C.M.; Fraga, S.S.; Lourido, K.A.; Lustosa, D.C.; Silva, E.O.; Castro, K.C.F. Fitoquímica e atividade antifúngica do extrato de folhas de Piper marginatum no controle de fitopatógenos. Rev. Ibero-Americana de Cienc. Ambientais 2018, 9, 70–77. [Google Scholar] [CrossRef]
- Sousa, B.C.M.; Barata, L.E.S.; Macedo, C.G.; Fraga, S.S.; Kasper, A.A.M.; Lourido, K.A.; Paulino, G.S.; Almeida, E.C.; Sartoratto, A.; Lustosa, D.C. Avaliação do teor de Cumarina e atividade antifúngica de frações de Óleo de Cumaru. Rev. Ibero-Americana Cienc. Ambientais 2018, 9, 63–69. [Google Scholar] [CrossRef]
- Barbosa, M.S.; Vieira, G.H.C.; Teixeira, A.V. Atividade biológica in vitro de própolis e óleos essenciais sobre o fungo Colletotrichum musae isolado de bananeira (Musa spp.). Rev. Bras. Pl. Med. 2015, 17, 254–261. [Google Scholar] [CrossRef]
- Aurore, G.; Parfait, B.; Fahrasmane, L. Banana raw materials for making processed food products. Trends Food Sci. Technol. 2009, 20, 78–91. [Google Scholar] [CrossRef]
- Negreiros, R.J.Z.; Salomão, L.C.C.; Pereira, O.L.; Cecon, P.R.; Siqueira, D.L. Controle da antracnose na pós-colheita de bananas ‘prata’ com produtos alternativos aos agrotóxicos convencionais. Rev. Bras. Frutic. 2013, 35, 051–058. [Google Scholar] [CrossRef]
- Celoto, M.I.B.; Papa, M.F.S.; Sacramento, L.V.S.; Celoto, F.J. Atividade antifúngica de extratos de Momordica charantia l. sobre Colletotrichum musae. Rev. Bras. Pl. Med. 2011, 13, 337–341. [Google Scholar] [CrossRef]
- Soares, M.G.O.; Alves, E.; Freitas, A.S.; Almeida, C.A.; Costa, S.S. Control of anthracnose in banana with cassava starch film associated or not with essential oils. Rev. Bras. Cienc. Agrar. 2020, 15, e8258. [Google Scholar] [CrossRef]
- Rodrigues, M.L.M.; Mizobutsi, E.H.; Nacarath, I.R.F.F.; Fernandes, M.B.; Mizobutsi, G.P.; Ribeiro, R.C.F.; Reis, S.T.; Pinheiro, J.M.S.; Prates, P.J.L.; Lage, G.G.A. Essential oils in the control of anthracnose on ‘Prata Ana’ banana. J. Agric. Sci. 2018, 10, 116–124. [Google Scholar] [CrossRef]
- Sousa, B.C.M.d.; Castro, S.P.d.; Lourido, K.A.; Kasper, A.A.M.; Paulino, G.d.S.; Delarmelina, C.; Duarte, M.C.T.; Sartoratto, A.; Vieira, T.A.; Lustosa, D.C.; et al. Identification of coumarins and antimicrobial potential of ethanolic extracts of Dipteryx odorata and Dipteryx punctata. Molecules 2022, 27, 5837. [Google Scholar] [CrossRef]
- Oliveira, E.S.; Viana, F.M.P.; Martins, M.V.V.A. Alternativas a fungicidas sintéticos no controle da antracnose da banana. Summa Phytopathol. 2016, 42, 340–350. [Google Scholar] [CrossRef]









| Extracts | Concentrations (%) | Mean Diameter of the Pathogen Colonies (mm) | ||||
|---|---|---|---|---|---|---|
| Area 1 | Area 2 | Area 3 | Area 4 | Area 5 | ||
| Control | 0 | 65.2 aA | 65.2 aA | 65.2 aA | 65.2 aA | 65.2 aA |
| Leaves | 10 | 41.7 bB | 49.0 bA | 42.8 cB | 42.7 cB | 40.5 cB |
| 20 | 39.2 dB | 44.4 bA | 38.1 dB | 37.2 eB | 37.5 dB | |
| 30 | 37.4 eB | 40.4 cA | 35.4 eB | 34.8 eB | 35.7 eB | |
| 40 | 35.9 eB | 38.0 dA | 32.0 fC | 31.2 gC | 33.8 fB | |
| 50 | 33.5 fA | 34.8 fA | 29.0 hB | 28.5 hB | 29.4 hB | |
| Branches | 10 | 38.9 dB | 37.0 eC | 40.8 cB | 43.2 bA | 43.0 bA |
| 20 | 37.4 eB | 31.3 gD | 36.3 eC | 40.6 dA | 39.8 cA | |
| 30 | 33.1 fB | 29.6 gC | 32.2 fB | 37.0 eA | 36.1 eA | |
| 40 | 32.1 gB | 24.0 hD | 29.7 hC | 34.3 fA | 35.2 eA | |
| 50 | 27.9 hB | 22.2 iD | 26.4 hC | 32.8 fA | 29.7 hB | |
| Residues | 10 | 36.1 eC | 41.9 cB | 45.5 bA | 47.5 bA | 47.7 bA |
| 20 | 35.0 eB | 41.7 cA | 41.2 cA | 41.2 cA | 40.6 cA | |
| 30 | 30.7 gC | 38.3 dB | 41.1 cA | 38.4 dB | 37.7 dB | |
| 40 | 22.9 hC | 31.0 gB | 38.4 dA | 36.3 eA | 36.7 dA | |
| 50 | 18.6 iD | 24.0 hC | 32.2 fB | 34.5 fA | 30.1 gB | |
| Seeds | 10 | 39.0 dC | 43.0 bA | 44.9 bA | 44.2 bA | 41.5 cB |
| 20 | 36.8 eB | 39.6 cA | 40.9 cA | 38.7 dA | 39.8 cA | |
| 30 | 34.9 eB | 37.3 dA | 38.2 dA | 37.8 dA | 37.6 dA | |
| 40 | 34.4 fB | 35.8 eB | 37.8 dA | 33.0 fC | 36.3 eB | |
| 50 | 32.4 fA | 33.0 fA | 31.2 gA | 26.5 hB | 31.8 gA | |
| Coumarin | 10 | 41.0 cA | 41.0 cA | 41.0 cA | 41.0 cA | 41.0 cA |
| 20 | 34.9 eA | 34.9 eA | 34.9 eA | 34.9 eA | 34.9 eA | |
| 30 | 31.9 gA | 31.9 gA | 31.9 gA | 31.9 gA | 31.9 gA | |
| 40 | 26.8 hA | 26.8 hA | 26.8 hA | 26.8 hA | 26.8 hA | |
| 50 | 25.0 hA | 25.0 hA | 25.0 hA | 25.0 hA | 25.0 hA | |
| Coefficient of Variation% | 2.2 | |||||
| Extracts | Concentrations (%) | Percentage of Inhibition of Growth (PIG%) | ||||
|---|---|---|---|---|---|---|
| Area 1 | Area 2 | Area 3 | Area 4 | Area 5 | ||
| Control | 0,0 | 0 aA | 0 aA | 0 aA | 0 aA | 0 aA |
| Leaves | 10 | 36.0 bB | 24.8 bA | 34.3 cB | 34.5 cB | 37.9 cB |
| 20 | 39.8 dB | 31.9 bA | 41.6 dB | 42.9 eB | 42.4 dB | |
| 30 | 42.6 eB | 38.1 cA | 45.7 eB | 46.6 eB | 45.2 eB | |
| 40 | 45.0 eB | 41.8 dA | 50.9 fC | 52.2 gC | 48.2 fB | |
| 50 | 48.6 fA | 46.6 fA | 55.6 hB | 56.3 hB | 54.9 hB | |
| Branches | 10 | 40.3 dB | 43.2 eC | 37.3 cB | 33.8 bA | 34.1 bA |
| 20 | 42.6 eB | 51.9 gD | 44.3 eC | 37.7 A | 38.9 cA | |
| 30 | 49.3 fB | 54.6 gC | 50.7 fB | 43.2 eA | 44.6 eA | |
| 40 | 50.7 gB | 63.1 hD | 54.4 hC | 47.3 fA | 46.0 eA | |
| 50 | 57.3 hB | 66.0 iD | 59.5 hC | 49.7 fA | 54.5 hB | |
| Residues | 10 | 44.6 eC | 35.8 cB | 30.2 bA | 27.1 bA | 26.8 bA |
| 20 | 46.4 eB | 36.0 cA | 36.9 cA | 36.8 cA | 37.7 cA | |
| 30 | 52.9 gC | 41.2 dB | 37.0 cA | 41.2 dB | 42.2 dB | |
| 40 | 64.9 hC | 52.4 gB | 41.1 dA | 44.3 eA | 43.7 dA | |
| 50 | 71.4 iD | 63.3 hC | 50.7 fB | 47.0 fA | 53.8 gB | |
| Seeds | 10 | 40.2 dC | 34.1 bA | 31.2 bA | 32.3 bA | 36.4 cB |
| 20 | 43.6 eB | 39.2 cA | 37.3 cA | 40.6 dA | 39.0 cA | |
| 30 | 46.4 eB | 42.7 dA | 41.3 dA | 42.0 dA | 42.3 dA | |
| 40 | 47.3 fB | 45.1 eB | 42.0 dA | 49.4 fC | 44.4 eB | |
| 50 | 50.3 fA | 49.4 fA | 52.2 gA | 59.4 hB | 51.2 gA | |
| Coumarin | 10 | 37.1 cA | 37.1 cA | 37.1 cA | 37.1 cA | 37.1 cA |
| 20 | 46.5 eA | 46.5 eA | 46.5 eA | 46.5 eA | 46.5 eA | |
| 30 | 51.1 gA | 51.1 gA | 51.1 gA | 51.1 gA | 51.1 gA | |
| 40 | 58.8 hA | 58.8 hA | 58.8 hA | 58.8 hA | 58.8 hA | |
| 50 | 61.6 hA | 61.6 hA | 61.6 hA | 61.6 hA | 61.6 hA | |
| Coefficient of Variation % | 4.5 | |||||
| Treatments | Concentrations (%) | Mean Diameter of Lesions (mm) | ||||
|---|---|---|---|---|---|---|
| Leaves | Branches | Residues | Seeds | Coumarin | ||
| Control | 0 | 14.8 aA | 14.8 aA | 14.8 aA | 14.8 aA | 14.8 aA |
| Preventive | 40 | 9.2 bA | 9.7 bA | 9.5 bA | 7.7 bA | 8.0 bA |
| 50 | 8.6 bA | 8.7 bA | 8.2 bA | 7.0 bA | 6.6 bA | |
| Coefficient of Variation: 21.47% | ||||||
| Treatments | Concentrations (%) | Mean Diameter of Lesions (mm) | ||||
|---|---|---|---|---|---|---|
| Leaves | Branches | Residues | Seeds | Coumarin | ||
| Control | 0 | 31.5 aA | 31.5 aA | 31.5 aA | 31.5 aA | 31.5 aA |
| Curative | 40 | 25.9 bA | 26.3 bA | 26.3 bA | 25.2 bA | 19.3 bB |
| 50 | 23.5 cAB | 25.4 bA | 24.5 cAB | 23.1 cB | 15.7 cC | |
| Coefficient of Variation: 7.87% | ||||||
Publisher’s Note: MDPI stays neutral with regard to jurisdictional claims in published maps and institutional affiliations. |
© 2022 by the authors. Licensee MDPI, Basel, Switzerland. This article is an open access article distributed under the terms and conditions of the Creative Commons Attribution (CC BY) license (https://creativecommons.org/licenses/by/4.0/).
Share and Cite
Sousa, B.C.M.d.; Gomes, D.d.A.; Vieira, T.A.; Lustosa, D.C. Bioactivity of Ethanolic Extracts of Dipteryx punctata on Colletotrichum musae. Agronomy 2022, 12, 2215. https://doi.org/10.3390/agronomy12092215
Sousa BCMd, Gomes DdA, Vieira TA, Lustosa DC. Bioactivity of Ethanolic Extracts of Dipteryx punctata on Colletotrichum musae. Agronomy. 2022; 12(9):2215. https://doi.org/10.3390/agronomy12092215
Chicago/Turabian StyleSousa, Bruna Cristine Martins de, Daniel do Amaral Gomes, Thiago Almeida Vieira, and Denise Castro Lustosa. 2022. "Bioactivity of Ethanolic Extracts of Dipteryx punctata on Colletotrichum musae" Agronomy 12, no. 9: 2215. https://doi.org/10.3390/agronomy12092215
APA StyleSousa, B. C. M. d., Gomes, D. d. A., Vieira, T. A., & Lustosa, D. C. (2022). Bioactivity of Ethanolic Extracts of Dipteryx punctata on Colletotrichum musae. Agronomy, 12(9), 2215. https://doi.org/10.3390/agronomy12092215

