Interpreting Variety–Location–Fertilizer Interactions to Enhance Foxtail Millet Productivity in Northern China
Abstract
1. Introduction
2. Materials and Methods
2.1. Foxtail Millet Genotypes
2.2. Study Sites
2.3. Experimental Design and Filed Management
2.4. Statistical Analysis
3. Results
3.1. Mean Performance of Subjects and Analysis of Variance
3.2. Mean Yield
3.3. Variety and Its Adaptability
3.4. Location and Year
3.5. Fertilization
3.6. RDA Analysis of Yield vs. Climate and Soil Factors
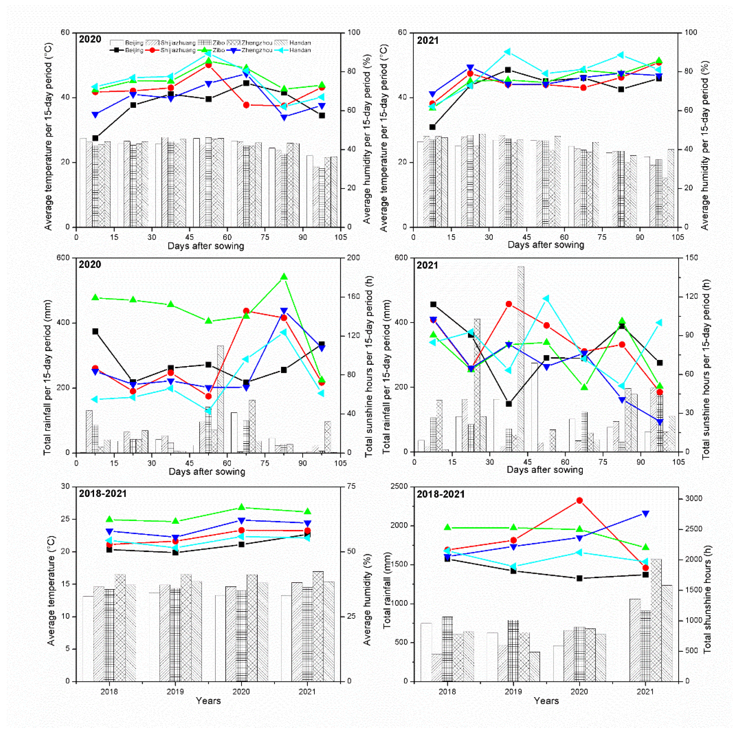
3.7. Time Sequence of Meteorological Factors Affecting Summer Millet Growth
4. Discussion
4.1. Location-Variety Interaction and Variety Selection
4.2. Key Environment Factors Affecting Yield
4.3. Fertilization in Foxtail Millet
5. Conclusions
Author Contributions
Funding
Data Availability Statement
Acknowledgments
Conflicts of Interest
References
- Sharma, N.; Niranjan, K. Foxtail millet: Properties, processing, health benefits, and uses. Food Rev. Int. 2018, 34, 329–363. [Google Scholar] [CrossRef]
- Patimah, S.; Arundhana, A.I.; Mursaha, A.; Syam, A. Development of foxtail millet and flying fish flour-based cookies as functional food. Curr. Res. Nutr. Food Sci. 2019, 7, 504–516. [Google Scholar] [CrossRef]
- Rodge, S.M.; Bobade, H.P. Convenience foods from foxtail millet and garden cress seed. Int. J. Agric. Eng. 2018, 11, 164–168. [Google Scholar] [CrossRef]
- Zhao, W.; Fan, Z. Glycemic response of foxtail millet food. J. Chin. Cereal Oils Assoc. 2021, 36, 180–186. [Google Scholar] [CrossRef]
- Marak, N.R.; Malemnganbi, C.C.; Marak, C.R.; Mishra, L.K. Functional and antioxidant properties of cookies incorporated with foxtail millet and ginger powder. J. Food Sci. Technol. 2019, 56, 5087–5096. [Google Scholar] [CrossRef]
- Sachdev, N.; Goomer, S.; Singh, L.R. Foxtail millet: A potential crop to meet future demand scenario for alternative sustainable protein. J. Sci. Food Agric. 2021, 101, 831–842. [Google Scholar] [CrossRef]
- Ataei, R.; Shiri, M.R. Multi-environment evaluation of foxtail millet advanced lines for forage yield stability. Genetika 2020, 52, 835–850. [Google Scholar] [CrossRef]
- Liu, Y.; Zhang, D.; Li, P.; Zong, Y.; Hao, X. Interactive effect of elevated CO2 concentration and drought on photosynthetic and physiological indexes of foxtail millet. Chin. J. Eco-Agric. 2021, 29, 500–508. [Google Scholar] [CrossRef]
- Kour, D.; Rana, K.L.; Yadav, A.N.; Sheikh, I.; Kumar, V.; Dhaliwal, H.S.; Saxena, A.K. Amelioration of drought stress in Foxtail millet (Setaria italica L.) by P-solubilizing drought-tolerant microbes with multifarious plant growth promoting attributes. Environ. Sustain. 2020, 3, 23–34. [Google Scholar] [CrossRef]
- Qingjie, F.; Yingying, Z.; Aili, S.; Zhanmin, X.; Liang, K. Damage symptoms and damage degree of main diseases and pests in foxtail millet in Chengde area. Plant Dis. Pests 2018 2018, 9, 12–16. [Google Scholar] [CrossRef]
- Sahoo, I.; Satish, P.; Hussain, S.A.; Sharma, S.H.K. Influence of integrated nutrient management practices on yield and economics of foxtail millet varieties. Int. J. Chem. Stud. 2020, 8, 1990–1992. [Google Scholar] [CrossRef]
- Zhang, X.; Kamran, M.; Li, F.; Xue, X.; Jia, Z.; Han, Q. Optimizing fertilization under ridge-furrow rainfall harvesting system to improve foxtail millet yield and water use in a semiarid region, China. Agric. Water Manag. 2020, 227, 105852. [Google Scholar] [CrossRef]
- Kandel, M.; Dhami, N.; Rijal, T.; Shrestha, J. Yield stability and test location representativeness in foxtail millet [Setaria italica (L.) Beauv.] genotypes. Genet. Biodivers. J. 2020, 4, 74–83. [Google Scholar] [CrossRef]
- Yang, Y.; Qin, L.; Wang, R.; Chen, E.; Yin, X.; Liu, Y.; Zhang, S.; Cong, X.; Li, G.; Wang, L.; et al. Effects of climatic factors under diverse ecological conditions on foxtail millet (Setaria italica) yield in Shandong. Sci. Agric. Sin. 2020, 53, 1348–1358. [Google Scholar] [CrossRef]
- Juhaeti, T. Foxtail millet (Setaria italica (L.) P. Beauv) cultivated on difference of nitrogen source fertilization and population. In Proceedings of the AIP Conference Proceedings, Malang, Indonesia, 13–14 March 2019. [Google Scholar]
- Shejawale, D.D.; Hymavathi, T.V.; Manorama, K.; Zabeen, F. Effect of processing on nutraceutical properties of foxtail millet (Setaria italica) varieties grown in India. J. Food Meas. Charact. 2016, 10, 16–23. [Google Scholar] [CrossRef]
- Reddy, M.U.M.; Roja, M.; Reddy, M.D.; Barman, S. Effect of nitrogen and phosphorus management on growth and yield of foxtail millet [Setaria Italica L.] during summer season in odisha, India. Indian J. Agric. Res. 2020, 54, 242–246. [Google Scholar] [CrossRef]
- Owusu, G.A.; Nyadanu, D.; Owusu-Mensah, P.; Adu Amoah, R.; Amissah, S.; Danso, F.C. Determining the effect of genotype × environment interactions on grain yield and stability of hybrid maize cultivars under multiple environments in Ghana. Ecol. Genet. Genomics 2018, 9, 7–15. [Google Scholar] [CrossRef]
- Chairi, F.; Aparicio, N.; Serret, M.D.; Araus, J.L. Breeding effects on the genotype × environment interaction for yield of durum wheat grown after the Green Revolution: The case of Spain. Crop J. 2020, 8, 623–634. [Google Scholar] [CrossRef]
- Singamsetti, A.; Shahi, J.P.; Zaidi, P.H.; Seetharam, K.; Vinayan, M.T.; Kumar, M.; Singla, S.; Shikha, K.; Madankar, K. Genotype × environment interaction and selection of maize (Zea mays L.) hybrids across moisture regimes. F. Crop. Res. 2021, 270, 108224. [Google Scholar] [CrossRef]
- Mohamed, M. Genotype by environment interactions for grain yield in bread wheat (Triticum aestivum L.). J. Plant Breed. Crop Sci. 2013, 7, 150–157. [Google Scholar] [CrossRef]
- Seyoum, S.; Rachaputi, R.; Fekybelu, S.; Chauhan, Y.; Prasanna, B. Exploiting genotype x environment x management interactions to enhance maize productivity in Ethiopia. Eur. J. Agron. 2019, 103, 165–174. [Google Scholar] [CrossRef]
- Zhang, S.; Huang, G.; Zhang, J.; Huang, L.; Cheng, M.; Wang, Z.; Zhang, Y.; Wang, C.; Zhu, P.; Yu, X.; et al. Genotype by environment interactions for performance of perennial rice genotypes (Oryza sativa L./Oryza longistaminata) relative to annual rice genotypes over regrowth cycles and locations in southern China. F. Crop. Res. 2019, 241, 107556. [Google Scholar] [CrossRef]
- Madias, A.; Di Mauro, G.; Vitantonio-Mazzini, L.N.; Gambin, B.L.; Borrás, L. Environment quality, sowing date, and genotype determine soybean yields in the Argentinean Gran Chaco. Eur. J. Agron. 2021, 123, 126217. [Google Scholar] [CrossRef]
- Tang, Q.-Y.; Zhang, C.-X. Data processing system (DPS) software with experimental design, statistical analysis and data mining developed for use in entomological research. Insect Sci. 2013, 20, 254–260. [Google Scholar] [CrossRef] [PubMed]
- Sawan, Z.M. Climatic variables: Evaporation, sunshine, relative humidity, soil and air temperature and its adverse effects on cotton production. Inf. Process. Agric. 2018, 5, 134–148. [Google Scholar] [CrossRef]
- Zhang, Q.; Wang, S.; Sun, Y.; Zhang, Y.; Li, H.; Liu, P.; Wang, X.; Wang, R.; Li, J. Conservation tillage improves soil water storage, spring maize (Zea mays L.) yield and WUE in two types of seasonal rainfall distributions. Soil Tillage Res. 2022, 215, 105237. [Google Scholar] [CrossRef]
- Ni, S.; Zhao, H.; Zhang, G. Effects of post-heading high temperature on some quality traits of malt barley. J. Integr. Agric. 2020, 19, 2674–2679. [Google Scholar] [CrossRef]
- Lyman, N.B.; Jagadish, K.S.V.; Nalley, L.L.; Dixon, B.L.; Siebenmorgen, T. Neglecting rice milling yield and quality underestimates economic losses from high-temperature stress. PLoS ONE 2013, 8, e72157. [Google Scholar] [CrossRef]
- Yu, J.; Lu, Y.; Shuzhi, J.; Wei, Z.; Zhongwei, R.; Ying, T.; Lei., D. Study on suitable temperature and precipitation index of coarse grain millet during growth period in Northwest Liaoning. Anhui Agron. Bull. 2016, 22, 25–27. [Google Scholar] [CrossRef]
- Chen, J.; Chen, C.; Tian, Y.; Zhang, X.; Dong, W.; Zhang, B.; Zhang, J.; Zheng, C.; Deng, A.; Song, Z.; et al. Differences in the impacts of nighttime warming on crop growth of rice-based cropping systems under field conditions. Eur. J. Agron. 2017, 82, 80–92. [Google Scholar] [CrossRef]
- Cammarano, D.; Hawes, C.; Squire, G.; Holland, J.; Rivington, M.; Murgia, T.; Roggero, P.P.; Fontana, F.; Casa, R.; Ronga, D. Rainfall and temperature impacts on barley (Hordeum vulgare L.) yield and malting quality in Scotland. F. Crop. Res. 2019, 241, 107559. [Google Scholar] [CrossRef]
- Samarasinghe, C.R.K.; Meegahakumbura, M.K.; Dissanayaka, H.D.M.A.C.; Kumarathunge, D.; Perera, L. Variation in yield and yield components of different coconut cultivars in response to within year rainfall and temperature variation. Sci. Hortic. 2018, 238, 51–57. [Google Scholar] [CrossRef]
- Li, Y.; Guan, K.; Schnitkey, G.D.; DeLucia, E.; Peng, B. Excessive rainfall leads to maize yield loss of a comparable magnitude to extreme drought in the United States. Glob. Chang. Biol. 2019, 25, 2325–2337. [Google Scholar] [CrossRef] [PubMed]
- Gao, Z.; Feng, H.-Y.; Liang, X.-G.; Zhang, L.; Lin, S.; Zhao, X.; Shen, S.; Zhou, L.-L.; Zhou, S.-L. Limits to maize productivity in the North China Plain: A comparison analysis for spring and summer maize. F. Crop. Res. 2018, 228, 39–47. [Google Scholar] [CrossRef]
- Liang, X.-G.; Gao, Z.; Shen, S.; Paul, M.J.; Zhang, L.; Zhao, X.; Lin, S.; Wu, G.; Chen, X.-M.; Zhou, S.-L. Differential ear growth of two maize varieties to shading in the field environment: Effects on whole plant carbon allocation and sugar starvation response. J. Plant Physiol. 2020, 251, 153194. [Google Scholar] [CrossRef]








| Variety | Breeding Institutions | Maturity | DTM 1 (Days) | DTB 2 (Days) | DTA 3 (Days) | Height (cm) |
|---|---|---|---|---|---|---|
| JG25 | Crop Research Institute of Shandong Academy of Agricultural Sciences | Late | 90 | 44 | 50 | 137 |
| JG39 | Millet Research Institute of Hebei Academy of Agricultural and Forestry Sciences | Medium | 86 | 41 | 47 | 134 |
| JIN21 | Institute of Cash Crops, Shanxi Academy of Agricultural Sciences | Late | 91 | 44 | 49 | 164 |
| JM1 | Chifeng Academy of Agriculture and Animal Husbandry | Early | 83 | 39 | 46 | 132 |
| YG35 | Henan Anyang Academy of Agricultural Sciences | Early | 83 | 39 | 46 | 135 |
| ZG2 | Institute of crop science, Chinese Academy of Agricultural Sciences | Medium | 88 | 43 | 49 | 130 |
| Location Name | Region | Soil Parameters (0~30 cm) | Sowing and Harvesting Date | ||||||
|---|---|---|---|---|---|---|---|---|---|
| Type | pH | P * | K * | AN * | NN * | 2020 | 2021 | ||
| Zhengzhou (ZZ) | Henan Province, China | Loamy clay | 8.11 | 29.14 | 126.67 | 17.88 | 39.74 | 18 June, 16 September | 11 June, 9 September |
| Zibo (ZB) | Shandong Province, China | Sandy clay | 7.97 | 6.39 | 138.00 | 9.39 | 10.66 | 19 June, 21 September | 19 June, 17 September |
| Beijing (BJ) | Beijing, China | Silty clay | 8.26 | 25.22 | 97.11 | 9.25 | 24.66 | 6 June, 20 September | 10 June, 21 September |
| Shijiazhuang (SJZ) | Hebei Province, China | Loamy clay | 7.81 | 22.21 | 98.00 | 7.89 | 4.17 | 22 June, 20 September | 23 June, 21 September |
| Handan (HD) | Hebei Province, China | Silty clay | 8.05 | 17.49 | 308.00 | 8.32 | 23.08 | 12 June, 10 September | 2 July, 30 September |
| Treatment | SL (cm) | SW (cm) | SWE (g·plant−1) | GWE (g·plant−1) | Height (cm) | Yield (kg·ha−1) |
|---|---|---|---|---|---|---|
| Year | ||||||
| 2020 | 19.4 b | 2.4 a | 16.6 a | 13.2 a | 140.1 a | 3720.5 b |
| 2021 | 19.8 a | 2.3 b | 16.8 a | 13.2 a | 137.7 b | 4973.5 a |
| Location | ||||||
| Beijing | 20.7 a | 2.8 a | 18.4 a | 15.2 a | 148.2 a | 3862.6 d |
| Shijiazhuang | 19.7 b | 2.0 e | 15.1 c | 11.0 d | 138.0 b | 4442.3 b |
| Handan | 19.6 b | 2.3 c | 17.3 b | 12.6 c | 131.2 c | 4865.1 a |
| Zibo | 19.9 b | 2.5 b | 17.1 b | 14.5 b | 139.0 b | 4187.2 c |
| Zhengzhou | 18.1 c | 2.2 d | 15.5 c | 12.9 c | 137.9 b | 4378.8 b |
| Variety | ||||||
| ZG2 | 19.6 c | 2.3 d | 16.5 bc | 13.1 c | 130.1 e | 4281.7 d |
| YG35 | 20.0 b | 2.4 bc | 16.7 bc | 13.6 bc | 135.2 bc | 4552.3 c |
| JIN21 | 20.4 a | 2.2 e | 16.2 c | 11.9 d | 164.1 a | 4652.8 b |
| JI39 | 18.9 d | 2.3 cd | 16.8 b | 13.9 b | 134.5 c | 4882.2 a |
| JI25 | 20.6 a | 2.4 b | 18.5 a | 14.4 a | 136.9 b | 3755.1 f |
| JM1 | 18.2 e | 2.5 a | 15.4 d | 12.4 d | 132.4 d | 3959.9 e |
| Fertilizer | ||||||
| F0 | 19.3 b | 2.3 b | 16.0 c | 12.7 c | 137.5 b | 4644.7 b |
| F1 | 19.5 b | 2.4 a | 17.0 ab | 13.6 a | 138.7 ab | 3896.1 d |
| F2 | 19.8 a | 2.4 a | 16.6 b | 13.1 bc | 139.2 ab | 4805.2 a |
| F3 | 19.9 a | 2.4 a | 17.1 a | 13.5 ab | 139.7 a | 4042.9 c |
| F-value and significance | ||||||
| Year (Y) | 10.3 ** | 114.1 *** | 1.0 NS | 0.1 NS | 22.4 *** | 678.0 *** |
| Location (L) | 54.4 *** | 289.3 *** | 53.9 *** | 105.6 *** | 114.9 *** | 779.6 *** |
| Variety (V) | 42.2 *** | 21.7 *** | 26 *** | 27.1 *** | 412.8 *** | 142.6 *** |
| Fertilizer (F) | 5.6 *** | 8.4 *** | 8.5 *** | 7.4 *** | 2.5 NS | 64.4 *** |
| Y × L | 16.6 *** | 20.4 *** | 84.7 *** | 67.6 *** | 40.8 *** | 293.2 *** |
| Y × V | 12.2 *** | 9.5 *** | 7.6 *** | 5.0 *** | 2.8 * | 2.0 NS |
| Y × F | 2.2 NS | 3.2 * | 1.5 NS | 2.1 NS | 1.7 NS | 2.7 * |
| L × V | 5.1 *** | 4.0 *** | 7.5 *** | 7.7 *** | 5.7 *** | 20.4 *** |
| L × F | 8.8 *** | 13.6 *** | 17.2 *** | 14.4 *** | 7.5 *** | 11.0 *** |
| V × F | 1.4 NS | 2.3 ** | 2.6 *** | 3.0 *** | 1.3 NS | 1.6 NS |
| Y × L × V | 6.1 *** | 5.1 *** | 2.5 *** | 3.1 *** | 3.0 *** | 12.6 *** |
| Y × L × F | 2.3 ** | 5.6 *** | 6.4 *** | 6.2 *** | 5.4 *** | 2.0 * |
| Y × V × F | 1.1 NS | 0.8 NS | 1.5 NS | 1.4 NS | 0.7 NS | 2.3 ** |
| L × V × F | 1.8 *** | 1.6 ** | 0.9 NS | 1.1 NS | 0.8 NS | 1.6 ** |
| Y × L × V × F | 2.0 *** | 1.3 NS | 1.2 NS | 1.2 NS | 0.7 NS | 1.5 * |
| Treatment | MSP (g·plant−1) | MST (g·plant−1) | FSP (g·plant−1) | FST (g·plant−1) | MDM (g·plant−1) | FDM (g·plant−1) | DMAA (g·plant−1) | DMHI (g·g−1) |
|---|---|---|---|---|---|---|---|---|
| Year | ||||||||
| 2020 | 15.0 a | 12.8 a | 2.0 a | 11.3 a | 27.8 a | 13.3 a | 14.6 a | 5.4 × 10−1 b |
| 2021 | 14.0 b | 11.2 b | 2.0 a | 10.5 b | 25.2 b | 12.5 b | 12.7 b | 5.5 × 10−1 a |
| Location | ||||||||
| Beijing | 13.3 c | 13.9 a | 2.1 b | 11.9 a | 27.1 b | 14.0 a | 13.3 c | 4.9 × 10−1 e |
| Shijiazhuang | 12.3 d | 11.5 c | 2.0 b | 10.5 c | 23.8 d | 12.5 cd | 11.3 d | 5.2 × 10−1 d |
| Handan | 16.3 a | 12.1 b | 1.8 c | 10.2 c | 28.4 a | 12.0 d | 16.3 a | 5.8 × 10−1 b |
| Zibo | 15.1 b | 10.3 d | 2.3 a | 10.6 c | 25.4 c | 12.9 bc | 12.6 c | 5.9 × 10−1 a |
| Zhengzhou | 15.6 b | 12.2 b | 1.8 c | 11.3 b | 27.8 ab | 13.1 b | 14.7 b | 5.6 × 10−1 c |
| Variety | ||||||||
| ZG2 | 14.6 b | 11.3 c | 2.1 a | 11.0 b | 25.9 c | 13.2 b | 12.8 d | 5.6 × 10−1 b |
| YG35 | 14.8 b | 11.1 c | 2.0 b | 9.7 c | 25.9 c | 11.7 c | 14.2 ab | 5.7 × 10−1 b |
| JIN21 | 13.5 c | 14.4 a | 2.0 b | 13.1 a | 28.0 ab | 15.1 a | 12.9 cd | 4.8 × 10−1 e |
| JI39 | 14.6 b | 12.4 b | 1.9 b | 11.0 b | 27.0 b | 13.0 b | 14.1 bc | 5.4 × 10−1 d |
| JI25 | 15.8 a | 12.7 b | 1.9 b | 11.4 b | 28.6 a | 13.2 b | 15.3 a | 5.5 × 10−1 c |
| JM1 | 13.8 c | 9.9 d | 2.1 a | 9.1 d | 23.7 d | 11.19 c | 12.5 d | 5.8 × 10−1 a |
| Fertilizer | ||||||||
| F0 | 13.9 b | 11.5 c | 1.8 c | 10.3 b | 25.4 c | 12.1 c | 13.2 b | 5.5 × 10−1 ab |
| F1 | 14.5 a | 11.8 bc | 2.0 b | 10.9 a | 26.3 b | 12.8 b | 13.5 ab | 5.5 × 10−1 a |
| F2 | 14.7 a | 12.1 b | 2.1 ab | 11.2 a | 26.8 ab | 13.2 ab | 13.5 ab | 5.5 × 10−1 ab |
| F3 | 14.2 c | 12.6 a | 2.1 a | 11.2 a | 27.6 a | 13.3 a | 14.3 a | 5.4 × 10−1 b |
| F-value and significance | ||||||||
| Year(Y) | 29.2 *** | 114.5 *** | 0.1 NS | 17.2 *** | 72.7 *** | 18.4 *** | 30.4 *** | 28.3 *** |
| Location(L) | 62.0 *** | 60.7 *** | 35.7 *** | 13 *** | 30.0 *** | 15.5 *** | 27.1 *** | 224.2 *** |
| Variety(V) | 12.6 *** | 73.4 *** | 5.5 *** | 45.1 *** | 21.5 *** | 45.4 *** | 6.8 *** | 115.1 *** |
| Fertilizer(F) | 6.5 *** | 9.7 *** | 23.6 *** | 5.4 ** | 9.2 *** | 10.5 *** | 1.8 NS | 1.8 NS |
| Y × L | 49.3 *** | 67.2 *** | 23.3 *** | 17.9 *** | 62.0 *** | 19.0 *** | 31.2 *** | 23.2 *** |
| Y × V | 6.3 NS | 1.8 NS | 4.9 *** | 1.4 NS | 4.7 *** | 2.4 * | 3.4 ** | 6.1 *** |
| Y × F | 0.5 NS | 0.3 NS | 0.4 NS | 0.9 NS | 0.1 NS | 1.3 NS | 0.5 NS | 2.9 * |
| L × V | 3.3 *** | 4.2 *** | 10.4 *** | 3.5 *** | 3.6 *** | 5.9 *** | 1.9 ** | 4.3 *** |
| L × F | 11.3 *** | 7.2 *** | 9.5 *** | 2.4 ** | 11.2 *** | 4.1 *** | 7.0 *** | 3.1 *** |
| V × F | 0.5 NS | 0.7 NS | 1.5 NS | 1.0 NS | 0.4 NS | 1.3 NS | 0.9 NS | 1.3 NS |
| Y × L × V | 4.2 *** | 5.9 *** | 3.6 *** | 1.2 NS | 5.4 *** | 1.7 * | 4.9 *** | 5.2 *** |
| Y × L × F | 2.5 ** | 2.5 *** | 2.6 *** | 2.0 * | 2.7 ** | 2.9 *** | 1.3 NS | 1.9 * |
| Y × V × F | 1.0 NS | 1.2 NS | 0.6 NS | 0.3 NS | 1.1 NS | 0.4 NS | 0.9 NS | 1.0 NS |
| L × V × F | 1.0 NS | 0.7 NS | 2.1 *** | 1.0 NS | 0.8 NS | 1.4 NS | 1.1 NS | 1.1 NS |
| Y × L × V × F | 1.0 NS | 1.0 NS | 0.7 NS | 0.4 NS | 1.0 NS | 0.6 NS | 0.9 NS | 0.7 NS |
| Factor | Sum of Squares | Degrees of Freedom | Mean Square | F-Value | Variation Contribution |
|---|---|---|---|---|---|
| Year (Y) | 1.0 × 108 | 1 | 1.03 × 108 | 678.01 *** | 33.62% |
| Location (L) | 4.7 × 108 | 4 | 1.18 × 108 | 779.60 *** | 38.66% |
| Variety (V) | 1.1 × 108 | 5 | 2.16 × 107 | 142.61 *** | 7.07% |
| Fertilizer (F) | 2.9 × 107 | 3 | 9.76 × 106 | 64.42 *** | 3.19% |
| Y × L | 1.8 × 108 | 4 | 4.44 × 107 | 293.22 *** | 14.54% |
| Y × V | 1.5 × 106 | 5 | 2.99 × 105 | 1.97 NS | 0.10% |
| Y × F | 1.2 × 106 | 3 | 4.02 × 105 | 2.65 * | 0.13% |
| L × V | 6.2 × 107 | 20 | 3.09 × 106 | 20.38 *** | 1.01% |
| L × F | 2.0 × 107 | 12 | 1.67 × 106 | 11.04 *** | 0.55% |
| V × F | 3.6 × 106 | 15 | 2.39 × 105 | 1.57 NS | 0.08% |
| Y × L × V | 3.8 × 107 | 20 | 1.92 × 106 | 12.64 *** | 0.63% |
| Y × L × F | 3.6 × 106 | 12 | 2.98 × 105 | 1.96 * | 0.10% |
| Y × V × F | 5.2 × 106 | 15 | 3.50 × 105 | 2.31 ** | 0.11% |
| L × V × F | 1.5 × 107 | 60 | 2.46 × 105 | 1.63 ** | 0.08% |
| Y × L × V × F | 1.4 × 107 | 60 | 2.30 × 105 | 1.52 * | 0.08% |
| Residual | 7.3 × 107 | 480 | 1.52 × 105 | 0.05% | |
| Total | 1.1 × 107 | 719 |
| Factor | df | Beijing | Shijiazhuang | Handan | Zibo | Zhengzhou | |||||
|---|---|---|---|---|---|---|---|---|---|---|---|
| MS | F-Value | MS | F-Value | MS | F-Value | MS | F-Value | MS | F-Value | ||
| Year (Y) | 1 | 5.0 × 107 | 294.71 *** | 3.9 × 107 | 392.7 *** | 1.0 × 108 | 1049.87 *** | 7.4 × 106 | 35.38 *** | 8.2 × 107 | 445.96 *** |
| Variety (V) | 5 | 1.5 × 107 | 90.40 *** | 8.1 × 105 | 8.07 *** | 4.5 × 106 | 46.57 *** | 9.6 × 106 | 46.11 *** | 3.8 × 106 | 20.73 *** |
| Fertilizer (F) | 3 | 4.7 × 106 | 28.25 *** | 4.0 × 106 | 40.48 *** | 5.8 × 105 | 5.94 *** | 1.3 × 106 | 6.35 *** | 5.8 × 106 | 31.36 *** |
| Y × V | 5 | 7.0 × 105 | 4.19 ** | 1.6 × 106 | 15.59 *** | 2.3 × 106 | 23.44 *** | 2.2 × 106 | 10.34 *** | 1.3 × 106 | 6.85 *** |
| Y × F | 3 | 4.6 × 105 | 2.76 * | 3.7 × 104 | 0.37 NS | 7.1 × 104 | 0.73 NS | 2.6 × 105 | 1.26 NS | 7.6 × 105 | 4.11 ** |
| V × F | 15 | 3.6 × 105 | 2.17 * | 2.1 × 105 | 2.12 * | 2.4 × 105 | 2.46 ** | 1.7 × 105 | 0.81 NS | 2.4 × 105 | 1.31 NS |
| Y × V × F | 15 | 3.6 × 105 | 2.12 * | 5.3 × 104 | 0.53 NS | 2.9 × 105 | 2.96 *** | 2.9 × 105 | 1.39 NS | 2.8 × 105 | 1.53 NS |
| Residual | 96 | 1.7 × 105 | 1.0 × 105 | 9.8 × 104 | 2.1 × 105 | 1.8 × 105 | |||||
| Total | 143 | ||||||||||
| Varieties | High Yield Parameters | Shukla’s Stability Parameters | Adaptation Area | Comprehensive Evaluation | ||
|---|---|---|---|---|---|---|
| Yield (kg·ha−1) | Effect Size | Variance | Degree of Variation | |||
| JI25 | 4813.9 | 466.6 | 38,885.6 | 4.1 | All five places | Very good |
| YG35 | 4721.2 | 373.8 | 58,238.5 | 5.1 | All five places | Very good |
| ZG2 | 4467.4 | 120.0 | 21,094.9 | 3.3 | All five places | Good |
| JI39 | 4366.5 | 19.1 | 188,664.7 | 9.9 | All five places | Fairly good |
| JM1 | 4013.2 | −334.2 | 209,438.8 | 11.4 | All five places | General |
| JIN21 | 3701.9 | −645.4 | 126,973.9 | 9.6 | All five places | Poor |
| Year and Location | JM1 | JI25 | JG39 | JIN21 | YG35 | ZG2 |
|---|---|---|---|---|---|---|
| 2020BJ | 2877 Cc | 4690 Aa | 3897 Bb | 3021 Cc | 4426 Aa | 4458 Aa |
| 2020HD | 4762 Bc | 5785 Aa | 5305 Ab | 3995 Cd | 5787 Aa | 5363 Ab |
| 2020SJZ | 3062 Bc | 3505 ABab | 3263 ABbc | 3718 Aa | 3457 ABabc | 3079 Bc |
| 2020ZZ | 5468 Bbc | 6011 Aa | 4646 CDd | 4513 Dd | 5672 ABab | 5168 BCc |
| 2020ZB | 5675 BCbc | 6239 Aa | 6291 Aa | 5391 Cc | 6289 Aa | 5940 ABab |
| 2021BJ | 1779 Cc | 3547 Aa | 2945 Bb | 1683 Cc | 3668 Aa | 2709 Bb |
| 2021HD | 3767 Aa | 3686 ABab | 3085 Cc | 3189 BCc | 3798 Aa | 3353 ABCbc |
| 2021SJZ | 4270 BCb | 4845 Aa | 4460 ABab | 3761 Cc | 4492 ABab | 4518 ABab |
| 2021ZZ | 3860 Aab | 3807 Aab | 3256 Bc | 3572 ABbc | 3890 Aab | 4038 Aa |
| 2021ZB | 4612 Cc | 6025 ABb | 6518 Aa | 4176 Cd | 5732 Bb | 6047 ABb |
| ANOVA | df | Mean square | F-value | p | Variation contribution% | |
| Year and location (CE) | 9 | 20,919,435.5 | 342.6 | <0.001 | 77.63% | |
| Variety | 5 | 5,403,222.0 | 88.5 | <0.001 | 20.05% | |
| (CE) × Variety | 45 | 564,220.5 | 9.2 | <0.001 | 2.09% | |
Publisher’s Note: MDPI stays neutral with regard to jurisdictional claims in published maps and institutional affiliations. |
© 2022 by the authors. Licensee MDPI, Basel, Switzerland. This article is an open access article distributed under the terms and conditions of the Creative Commons Attribution (CC BY) license (https://creativecommons.org/licenses/by/4.0/).
Share and Cite
Cui, J.; Xia, X.; Zhao, Y.; Liu, M.; Xiao, N.; Guo, S.; Lu, Y.; Li, J.; Wei, Z.; Gao, F.; et al. Interpreting Variety–Location–Fertilizer Interactions to Enhance Foxtail Millet Productivity in Northern China. Agronomy 2022, 12, 2216. https://doi.org/10.3390/agronomy12092216
Cui J, Xia X, Zhao Y, Liu M, Xiao N, Guo S, Lu Y, Li J, Wei Z, Gao F, et al. Interpreting Variety–Location–Fertilizer Interactions to Enhance Foxtail Millet Productivity in Northern China. Agronomy. 2022; 12(9):2216. https://doi.org/10.3390/agronomy12092216
Chicago/Turabian StyleCui, Jihan, Xueyan Xia, Yu Zhao, Meng Liu, Nuoya Xiao, Shuai Guo, Yiwei Lu, Junxia Li, Zhimin Wei, Fangchao Gao, and et al. 2022. "Interpreting Variety–Location–Fertilizer Interactions to Enhance Foxtail Millet Productivity in Northern China" Agronomy 12, no. 9: 2216. https://doi.org/10.3390/agronomy12092216
APA StyleCui, J., Xia, X., Zhao, Y., Liu, M., Xiao, N., Guo, S., Lu, Y., Li, J., Wei, Z., Gao, F., Yang, P., & Li, S. (2022). Interpreting Variety–Location–Fertilizer Interactions to Enhance Foxtail Millet Productivity in Northern China. Agronomy, 12(9), 2216. https://doi.org/10.3390/agronomy12092216
