Rice (Oryza sativa L.)–Baby Corn (Zea mays L.) Cropping System Response to Different Summer Green Manuring and Nutrient Management
Abstract
:1. Introduction
2. Material and Method
2.1. Field Experiments
2.2. Sampling and Measurement
2.3. Climatic Condition of the Experimental Site
2.4. Statistical Analysis
3. Results
3.1. Effect of GM and NM on Yield Attributes and Yield of Hybrid Rice
3.2. Residual Effect of GM and NM with 50% RDN on Yield Attributes (YA) and Yield (Y) of Baby Corn
3.3. Effect of GM and NM on the Economics of the CS
3.4. System Observation
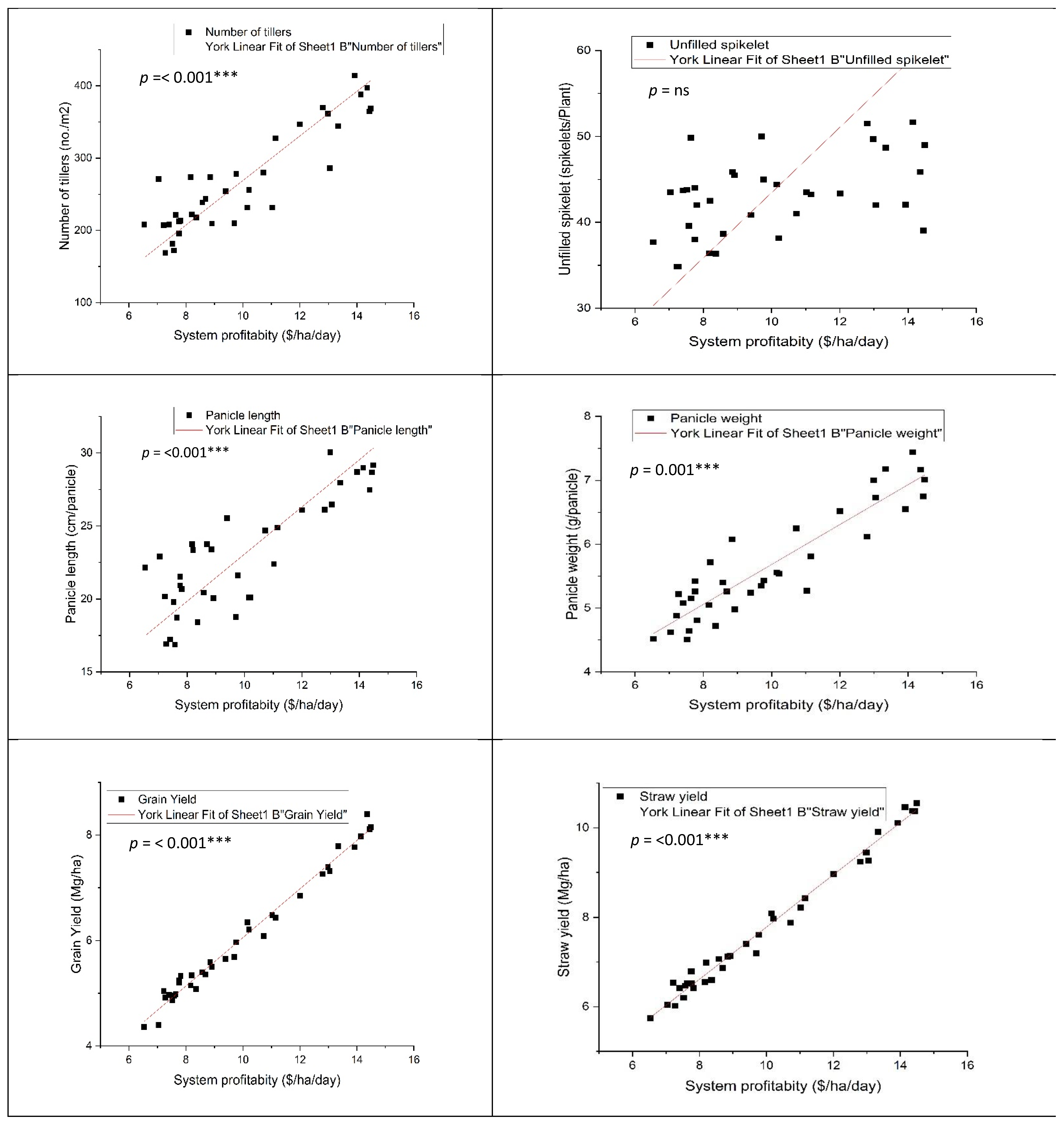
3.5. Relationship of Yield Component and Yield of Rice–Baby Corn System
4. Discussion
5. Conclusions
Author Contributions
Funding
Acknowledgments
Conflicts of Interest
References
- Bhardwaj, A. Vermiremediation—A revolution for sustaining soil fertility. Int. J. Psychosoc. Rehabil. 2020, 24, 7086–7096. [Google Scholar]
- Zhou, G.; Cao, W.; Bai, J.; Xu, C.; Zeng, N.; Gao, S. Co-incorporation of rice straw and leguminous green manure can increase soil available nitrogen (N) and reduce carbon and N losses Incubation Study. Pedosphere 2020, 30, 661–670. [Google Scholar] [CrossRef]
- Manoj, K.N.; Shekara, B.G.; Sridhara, S.; Mudalagiriyappa; Chikkarugi, N.M.; Gopakkali, P.; Jha, P.K.; Vara Prasad, P.V. Carbon Footprint Assessment and Energy Budgeting of Different Annual and Perennial Forage Cropping Systems: A Study from the Semi-Arid Region of Karnataka, India. Agronomy 2022, 12, 1783. [Google Scholar] [CrossRef]
- Yang, L.; Bai, J.; Liu, J.; Zeng, N.; Cao, W. Green Manuring Effect on Changes of Soil Nitrogen. Agronomy 2018, 8, 261. [Google Scholar] [CrossRef]
- Singh, Y.; Khind, C.S.; Singh, B. Efficient management of leguminous green manures in wetland rice. Adv. Agron. 1991, 45, 135–189. [Google Scholar] [CrossRef]
- Rautaray, S.K.; Pradhan, S.; Mohanty, R.; Dubey, S.; Raychaudhuri, R.K.; Mohanty, A.; Mishra, A.; Ambast, S.K. Energy efficiency, productivity and profitability of rice farming using Sesbania as green manure-cum-cover crop. Nutr. Cycl. Agroecosystems 2020, 116, 83–101. [Google Scholar] [CrossRef]
- Sanni, K.O.; Adesina, J.M. Response of water hyacinth manure on growth attributes and yield of Celosia argentea L. (Lagos Spinach). J. Agric. Technol. 2012, 8, 1109–1118. [Google Scholar]
- Banerjee, K.; Amin, G.; Parkhi, U.S.; Debnath, S.; Pramanick, P.; Zaman, S.; Pal, N.; Nobita, A.M. Best from the waste: A case study of water hyacinth. Int. J. Pharma Bio Sci. 2013, 3, 174–180. [Google Scholar]
- Li, F.; Wang, Z.; Dai, J.; Li, Q.; Wang, X. Fate of nitrogen from green manure, straw, and fertilizer applied to wheat under different summer fallow management strategies in dryland. Biol. Fertil. Soils 2015, 51, 769–780. [Google Scholar] [CrossRef]
- Shirani, H.; Hajabbasi, M.A.; Afyuni, M.; Hemmat, A. Effects of farmyard manure and tillage systems on soil physical properties and corn yield in central Iran. Soil Tillage Res. 2002, 68, 101–108. [Google Scholar] [CrossRef]
- Mohanty, S.; Nayak, A.K.; Swain, C.K.; Dhal, B.R.; Kumar, A.; Kumar, U.; Tripathi, R.; Shahid, M.; Behera, K.K. Impact of integrated nutrient management options on GHG emission, N loss and N use efficiency of low land rice. Soil Tillage Res. 2020, 200, 104616. [Google Scholar] [CrossRef]
- Jian-bing, Z.; Jing-song, Y.; Rong-jiang, Y.A.O.; Shi-peng, Y.U.; Fu-rong, L.I. The Effects of Farmyard Manure and Mulch on Soil Physical Properties in a Reclaimed Coastal Tidal Flat Salt-Affected Soil. J. Integr. Agric. 2014, 13, 1782–1790. [Google Scholar] [CrossRef]
- Khan, A.R.; Chandra, D.; Nanda, P.; Singh, S.S.; Ghorai, A.K.; Singh, S.R. Integrated Nutrient Management for Sustainable Rice Production. Arch. Agron. Soil Sci. 2004, 50, 161–165. [Google Scholar] [CrossRef]
- Fontaine, D.; Eriksen, J.; Sørensen, P. Cover crop and cereal straw management influence the residual nitrogen effect. Eur. J. Agron. 2020, 118, 126100. [Google Scholar] [CrossRef]
- Mahajan, A.; Gupta, R.D. Integrated nutrient management (INM) in a sustainable rice-wheat cropping system. Springer Dordr. 2009, 1, 127–138. [Google Scholar] [CrossRef]
- R Core Team. R: A Language and Environment for Statistical Computing; R Foundation for Statistical Computing: Vienna, Austria, 2013. [Google Scholar]
- Gomez, K.A.; Gomez, A.A. Statistical Procedures for Agricultural Research; John Wiley & Sons Inc.: New York, NY, USA, 1984. [Google Scholar]
- Herrera, W.T.; Garrity, D.P.; Vejpas, C. Management of Sesbania rostrata green manure crops grown prior to rainfed lowland rice on sandy soils. Field Crop Res. 1997, 49, 259–268. [Google Scholar] [CrossRef]
- Dickmann, K.H.; Ottow, J.C.G.; Diekmann, K.; Datta, S.K.D. Yield and nitrogen response of lowland rice (Oryza sativa L.) to Sesbania rostrata and Aeschynomene afraspera green manure in different marginally productive soils in the Philippines. Biol. Fertil. Soils 2004, 21, 103–108. [Google Scholar] [CrossRef]
- Ghosh, A. Sustainable impact of in situ leguminous green manuring on grain yield and N utilization patterns of rainfed lowland rice (Oryza sativa) grown under different cropping geometries. J. Sustain. Agric. 2007, 30, 71–86. [Google Scholar] [CrossRef]
- Li, T.; Gao, J.; Bai, L.; Wang, Y.; Huang, J.; Kumar, M. Influence of green manure and rice straw management on soil organic carbon, enzyme activities, and rice yield in red paddy soil. Soil Tillage Res. 2019, 195, 104428. [Google Scholar] [CrossRef]
- Salahin, N.; Alam, M.K.; Shil, N.C.; Mondol, A.T.M.A.I.; Alam, M.J.; Kobeasy, M.I.; Gaber, A.; Ahmed, S. Interactive Effects of Tillage Systems and Nitrogen Fertilizer Rates on the Performance of Mustard-Boro-aman Rice Cropping Systems under Conservation Agriculture Practices. Agronomy 2022, 12, 1671. [Google Scholar] [CrossRef]
- Hou, P.; Xue, L.; Wang, J.; Petropoulos, E.; Xue, L.; Yang, L. Green Manure Amendment in Paddies Improves Soil Carbon Sequestration but Cannot Substitute the Critical Role of N Fertilizer in Rice Production. Agronomy 2022, 12, 1548. [Google Scholar] [CrossRef]
- Abdou, N.M.; Abdel-Razek, M.A.; Abd El-Mageed, S.A.; Semida, W.M.; Leilah, A.A.A.; Abd El-Mageed, T.A.; Ali, E.F.; Majrashi, A.; Rady, M.O.A. High Nitrogen Fertilization Modulates Morpho-Physiological Responses, Yield, and Water Productivity of Lowland Rice under Deficit Irrigation. Agronomy 2021, 11, 1291. [Google Scholar] [CrossRef]
- Zhu, H.; Zhang, T.; Zhang, C.; He, X.; Shi, A.; Tan, W.; Yi, Z.; Wang, X. Optimizing Irrigation and Nitrogen Management to Increase Yield and Nitrogen Recovery Efficiency in Double-Cropping Rice. Agronomy 2022, 12, 1190. [Google Scholar] [CrossRef]
- Qiu, H.; Yang, S.; Jiang, Z.; Xu, Y.; Jiao, X. Effect of Irrigation and Fertilizer Management on Rice Yield and Nitrogen Loss: A Meta-Analysis. Plants 2022, 11, 1690. [Google Scholar] [CrossRef]
- Li, Z.; Zhang, X.; Xu, J.; Cao, K.; Wang, J.; Xu, C.; Cao, W. Green manure incorporation with reductions in chemical fertilizer inputs improves rice yield and soil organic matter accumulation. J. Soils Sediments 2020, 20, 2784–2793. [Google Scholar] [CrossRef]
- Odhiambo, J.J.O.; Ogola, J.B.O.; Madzivhandila, T. Effect of green manure legume—maize rotation on maize grain yield and weed infestation levels. Afr. J. Agric. Res. 2010, 5, 618–625. [Google Scholar]
- Hong, X.; Ma, C.; Gao, J.; Su, S.; Li, T.; Luo, Z.; Duan, R.; Wang, Y.; Lingyu, B.; Zeng, X. Effects of different green manure treatments on soil apparent N and P balance under a 34-year double-rice cropping system. J. Soils Sediments 2018, 19, 73–80. [Google Scholar] [CrossRef]
- Boparai, B.S.; Singh, Y.; Sharma, B.D. Effect of green manuring with Sesbania aculeata on physical properties of soil and on growth of wheat in rice—wheat and maize—wheat cropping systems in a semiarid region of India. Arid. Soil Res. Rehabil. 1992, 6, 135–143. [Google Scholar] [CrossRef]
- Askegaard, M.; Eriksen, J. Residual effect and leaching of N and K in cropping systems with clover and ryegrass catch crops on a coarse sand. Agric. Ecosyst. Environ. 2008, 123, 99–108. [Google Scholar] [CrossRef]
- Sonter, S.; Pattar, P.V.; Bellibatlu, R. Effect of Eichhornia crassipes (Mart.) Solms. compost on morpho-physiological parameters of black-gram (Vigna mungo (L.) Hepper). Int. J. Health Sci. Res. 2018, 3, 20–26. [Google Scholar]
- Lata, N.; Veenapani, D. The impact of water hyacinth manure on growth attributes and yields in Coriandrum. J. Environ. Sci. Toxicol. Food Technol. 2013, 5, 4–7. [Google Scholar] [CrossRef]
- Islam, M.; Akter, T.; Sohel, U.; Mohammad, R.; Alam, S. Green manuring effects on crop morpho-physiological characters, rice yield and soil properties. Physiol. Mol. Biol. Plants 2019, 25, 303–312. [Google Scholar] [CrossRef] [PubMed]
- Kumar, B.L.; Mina, N.; Chandra, N.; Srivastva, A.K. In-situ green manuring for enhancing productivity, profitability and sustainability of upland rice. Nutr. Cycl. Agroecosyst. 2011, 90, 369–377. [Google Scholar] [CrossRef]
- Meena, B.P.; Biswas, A.K.; Singh, M.; Chaudhary, R.S.; Singh, A.B.; Das, H.; Patra, A.K. Long-term sustaining crop productivity and soil health in maize–chickpea system through integrated nutrient management practices in Vertisols of central India. Field Crop Res. 2019, 232, 62–76. [Google Scholar] [CrossRef]
- Kumar, K.A.; Swain, D.K.; Bhadoria, P.B.S. Split application of organic nutrient improved productivity, nutritional quality and economics of rice-chickpea cropping system in lateritic soil. Field Crop Res. 2018, 223, 125–136. [Google Scholar] [CrossRef]
- Sharma, A.R.; Mittra, B.N. Effect of green manuring and mineral fertilizer on growth and yield of crops in rice-based cropping on acid lateritic soil. J. Agric. Sci. 1988, 110, 605–608. [Google Scholar] [CrossRef]
- Bisarya, D.; Singh, D.K.; Nautiyal, M.K.; Shankhdhar, D.; Shankhdhar, S.C. Effect of Organic, Inorganic and Integrated Nutrient Sources on the Yield and Its Attributes of Two Basmati Rice Varieties viz Type-3 and Taraori Grown in Tarai Regions of Uttarakhand India. Int. J. Curr. Microbiol. Appl. Sci. 2018, 7, 3711–3726. [Google Scholar] [CrossRef]
- Kundu, S.R.; Bhattacharyya, V.; Prakash, H.S.; Gupta, H.; Pathak, J.K. Ladha Long-term yield trend and sustainability of rainfed soybean—wheat system through farmyard manure application in a sandy loam soil of the Indian Himalayas. Biol. Fertil. Soils 2007, 43, 271–280. [Google Scholar] [CrossRef]
- Davari, M.; Sharma, S.N.; Mirzakhani, M. Residual influence of organic materials, crop residues, and biofertilizers on performance of succeeding mung bean in an organic rice-based cropping system. Int. J. Recycl. Org. Waste Agric. 2012, 1, 14. [Google Scholar] [CrossRef] [Green Version]
- Bharadwaj, A. Comparative analysis of farm yard manure and compost on physico-chemical and microbiological parameters of problem soil. Int. J. Agric. Biol. Res. 2020, 36, 67–71. [Google Scholar]



| Particular | Sesbania aculeata (45 DAS) | Water Hyacinth (5 t/ha DWB) | Sudan Grass (45 DAS) | FYM | ||||
|---|---|---|---|---|---|---|---|---|
| Nitrogen content (%) | 2.3 | 2.5 | 2.4 | 2.3 | 0.36 | 0.38 | 0.48 | 0.50 |
| Phosphorous content (%) | 0.70 | 0.76 | 0.56 | 0.72 | 0.26 | 0.27 | 0.25 | 0.26 |
| Potassium content (%) | 1.21 | 1.32 | 0.32 | 0.38 | 0.84 | 0.92 | 0.52 | 0.48 |
| Dry Biomass (kg/ha) | 4000 | 4240 | 5000 | 5000 | 7222.2 | 6052.6 | - | - |
| Nitrogen amount (kg/ha) | 92 | 106 | 120 | 115 | 26 | 23 | 45, 60, and 75 | 45, 60, and 75 |
| Moisture content | 86.7 | 88.9 | 93.2 | 92.2 | 83.7 | 85.2 | - | - |
| Treatments | No. of Tillers | Panicle Length (cm) | Unfilled Spikelet/Spike | Number of Grain/Spikes | Test Weight (g/1000 Seed) | Panicle Weight (g) | Grain Yield (Mg/ha) | Straw Yield (Mg/ha) | HI |
|---|---|---|---|---|---|---|---|---|---|
| Green manuring | |||||||||
| F | 220.80± 13.2 c | 20.26 ± 0.80 b | 38.87 ± 1.42 b | 64.58 ± 4.02 b | 24.02 ± 0.015 ab | 5.03 ± 0.25 b | 5.21 ± 0.38 b | 6.65 ± 0.49 b | 43.82 ± 0.56 a |
| WA | 306.68 ± 9.23 b | 25.68 ± 1.08 a | 43.59 ± 0.89 ab | 91.75 ± 5.02 a | 24.16 ± 0.19 a | 6.06 ± 0.22 a | 6.53 ± 0.26 a | 8.42 ± 0.35 a | 43.69 ± 0.20 a |
| SA | 339.02 ± 8.35 a | 26.30 ± 0.63 a | 46.22 ± 2.87 a | 97.52 ± 2.56 a | 24.29 ± 0.18 a | 6.48 ± 0.23 a | 7.09 ± 0.25 a | 9.08 ± 0.25 a | 43.85 ± 0.24 a |
| SU | 205.81 ± 6.26 c | 19.85 ±1.05 b | 44.71 ± 183 a | 61.70 ± 3.66 b | 23.76 ± 0.11 b | 5.10 ± 0.15 b | 5.33 ± 0.21 b | 6.88 ± 0.29 b | 43.64 ± 0.23 a |
| p-value | <0.001 *** | 0.003 ** | 0.0559 | <0.001 *** | 0.097 ns | 0.002 ** | <0.001 ** | <0.001 ** | 0.935 ns |
| CD | 30.35 | 3.09 | ns | 8.98 | ns | 0.606 | 0.736 | 0.926 | ns |
| CV | 9.82 | 11.63 | 10.37 | 9.87 | 1.39 | 9.26 | 10.55 | 10.34 | 1.89 |
| Nitrogen management | |||||||||
| RDN60 | 226.48 ± 11.70 c | 20.66 ± 1.01 c | 41.20 ± 1.55 b | 66.29 ± 2.91 c | 23.90 ± 0.21 b | 5.12 ± 0.17 b | 5.24 ± 0.18 b | 6.73 ± 0.24 c | 43.78 ± 0.23 a |
| RDN80 | 268.20 ± 8.27 b | 23.51 ± 0.69 b | 43.41 ± 1.80 ab | 80.80 ± 4.39 b | 24.11 ± 0.017 ab | 5.80 ± 0.22 a | 6.25 ± 0.36 a | 8.01 ± 0.41 b | 43.80 ± 0.31 a |
| RDN100 | 309.55 ± 7.80 a | 24.91± 0.98 a | 45.44 ± 1.91 a | 89.57 ± 3.50 a | 24.16 ± 0.10 a | 6.08 ± 0.25 a | 6.63 ± 0.36 a | 8.53 ± 0.40 a | 43.67 ± 0.38 a |
| p-value | <0.001 *** | <0.001 *** | 0.004 ** | <0.001 *** | 0.066 ns | <0.001 *** | <0.001 *** | <0.001 *** | 0.772 ns |
| CD | 11.70 | 0.99 | 2.28 | 4.60 | ns | 0.296 | 0.454 | 0.520 | ns |
| CV | 5.04 | 4.97 | 6.08 | 6.74 | 0.975 | 6.08 | 8.67 | 7.74 | 1.07 |
| Interaction | <0.001 *** | ns | 0.003 ** | 0.006 ** | ns | 0.038 * | 0.022 * | 0.010 * | ns |
| Year | ns | ns | ns | ns | ns | ns | ns | ns | ns |
| Treatments | No. of Cobs/Plant | Bareness (%) | Cob Length (cm) | Corn Length (cm) | Cob Girth (cm) | Corn Girth (cm) | Cob Weight (g) | Corn Weight (g) |
|---|---|---|---|---|---|---|---|---|
| Green manuring | ||||||||
| F | 1.83 ± 0.18 b | 14.62 ± 1.36 a | 23.00 ± 2.35 b | 6.30 ± 0.44 c | 7.79 ± 0.48 c | 3.80 ± 0.14 c | 27.76 ± 0.99 b | 6.91 ± 0.30 b |
| WA | 2.44 ± 0.20 a | 10.98 ± 0.96 b | 33.39 ± 2.06 a | 7.90 ± 0.69 ab | 9.50 ± 0.50 ab | 4.59 ± 0.28 ab | 36.18 ± 1.54 a | 8.82 ± 0.39 a |
| SA | 2.54 ± 0.24 a | 8.10 ± 1.05 c | 35.61 ± 0.97 a | 8.34 ± 0.47 a | 10.59 ± 0.43 a | 4.90 ± 0.22 a | 38.00 ± 0.74 a | 9.49 ± 0.0.49 a |
| SU | 1.90 ± 0.16 b | 14.52 ± 2.42 a | 26.33 ± 1.95 b | 6.51 ± 0.29 bc | 8.73 ± 0.39 bc | 4.01 ± 0.20 bc | 29.57 ± 0.77 b | 7.10 ± 0.37 b |
| p-value | 0.003 ** | 0.003 ** | 0.005 ** | 0.034 * | 0.024 * | 0.011 * | 0.000 *** | 0.002 ** |
| CD | 0.27 | 2.77 | 5.79 | 1.46 | 1.58 | 0.581 | 3.38 | 1.08 |
| CV | 10.75 | 19.89 | 16.96 | 17.44 | 14.99 | 11.64 | 8.92 | 11.67 |
| Nitrogen management | ||||||||
| RDN60 | 1.98 ± 0.20 b | 14.23 ± 1.93 a | 26.70 ± 2.08 c | 6.66 ± 0.48 b | 8.29 ± 0.48 c | 4.00 ± 0.24 b | 27.96 ± 0.67 | 6.78 ± 0.40 c |
| RDN80 | 2.18 ± 0.19 a | 12.08 ± 1.38 ab | 29.78 ± 1.74 b | 7.23 ± 0.49 b | 9.18 ± 0.49 b | 4.33 ± 0.20 ab | 33.83 ± 1.59 | 8.39 ± 0.35 b |
| RDN100 | 2.36 ± 0.19 a | 9.85 ± 1.04 b | 32.29 ± 1.70 a | 7.90 ± 0.44 a | 9.98 ± 0.37 a | 4.61 ± 0.20 a | 36.84 ± 0.78 | 9.07 ± 0.42 a |
| p-value | <0.001 ** | 0.009 ** | <0.001 *** | 0.002 ** | <0.001 *** | 0.003 ** | <0.001 *** | <0.001 *** |
| CD | 0.18 | 2.61 | 2.25 | 0.615 | 0.558 | 0.29 | 1.29 | 0.49 |
| CV | 9.34 | 25.06 | 8.79 | 9.79 | 7.04 | 7.91 | 4.53 | 7.08 |
| Interaction | 0.001 ** | ns | ns | ns | ns | ns | 0.004 ** | ns |
| Year | ns | ns | ns | ns | ns | ns | ns | ns |
| Treatments | Cob Yield (Mg/ha) | Corn Yield (Mg/ha) | Fodder Yield (Mg/ha) | HI | REY (Mg/ha) | SP (kg/ha/day) | SPE ($/ha/day) | LUE (%) |
|---|---|---|---|---|---|---|---|---|
| Green manuring | ||||||||
| F | 3.17 ± 2.35 b | 0.890 ± 0.096 c | 18.21 ± 1.25 b | 4.68 ± 0.31 a | 7.007 ± 0.75 c | 83.03 ± 8.10 b | 12.458 ± 1.59 b | 0.594 ± 0.005 c |
| WA | 41.56 ± 2.22 a | 1.224 ± 0.090 ab | 23.57 ± 0.58 a | 4.94 ± 0.20 a | 9.624 ± 0.70 ab | 112.14 ± 7.78 a | 17.517 ± 1.32 a | 0.592 ± 0.003 c |
| SA | 42.98 ± 2.20 a | 1.297 ± 0.028 a | 24.54 ± 0.54 a | 5.03 ± 0.05 a | 10.189 ± 0.22 a | 116.02 ± 2.36 a | 16.120 ± 0.46 a | 0.712 ± 0.004 b |
| SU | 33.72 ± 2.34 b | 1.009 ± 0.051 bc | 19.96 ± 0.88 b | 4.85 ± 0.17 a | 7.867 ± 0.40 bc | 89.39 ± 4.41 b | 10.812 ± 0.70 b | 0.725 ± 0.002 a |
| p-value | 0.002 ** | 0.014 * | 0.002 ** | ns | 0.0132 * | 0.013 * | 0.008 ** | <0.001 *** |
| CD | 4.79 | 0.225 | 2.42 | ns | 1.763 | 19.21 | 3.473 | 0.006 |
| CV | 11.08 | 17.74 | 9.74 | 11.49 | 17.62 | 16.62 | 21.013 | 0.780 |
| Nitrogen management | ||||||||
| RDN60 | 32.92 ± 1.87 b | 0.967 ± 0.045 b | 19.05 ± 0.42 c | 4.87 ± 0.17 a | 7.605 ± 0.35 b | 87.58 ± 3.81 b | 11.809 ± 0.56 c | 0.659 ± 0.004 a |
| RDN80 | 38.84 ± 2.28 a | 1.332 ± 0.080 a | 22.21 ± 0.92 b | 4.84 ± 0.19 a | 8.900 ± 0.63 a | 102.93 ± 6.80 a | 14.891 ± 1.25 b | 0.655 ± 0.003 a |
| RDN100 | 40.77 ± 2.83 a | 1.209 ± 0.074 a | 23.44 ± 1.12 a | 4.92 ± 0.19 a | 9.510 ± 0.58 a | 109.93 ± 6.37 a | 16.286 ± 1.24 a | 0.654 ± 0.003 a |
| p-value | <0.001 *** | <0.001 *** | <0.001 *** | ns | <0.001 *** | <0.001 *** | <0.001 *** | ns |
| CD | 2.24 | 0.085 | 1.14 | ns | 0.667 | 7.31 | 1.375 | ns |
| CV | 6.91 | 8.95 | 6.13 | 5.41 | 8.894 | 8.43 | 11.093 | 1.129 |
| Interaction | 0.009 ** | ns | 0.005 ** | ns | ns | ns | 0.019 * | ns |
| Year | ns | ns | ns | ns | ns | 0.012 * | 0.013 * | |
| Treatments | Cost of Cultivation (USD/ha) | Gross Returns (USD/ha) | Net Returns (USD/ha) | B:C Ratio |
|---|---|---|---|---|
| Green manuring | ||||
| F | 1428.39 d | 4130.04 ± 350.4 b | 2701.65 ± 350.4 b | 1.890 ± 0.24 b |
| WA | 1563.52 c | 5434.80 ± 268.7 a | 3871.27 ± 268.7 a | 2.471 ± 0.17 a |
| SA | 1591.90 b | 5781.30 ± 133.7 a | 4189.40 ± 133.7 a | 2.626 ± 0.08 a |
| SU | 1600.04 a | 4464.51 ± 190.9 b | 2864.49 ± 190.3 b | 1.788 ± 0.11 b |
| p-value | <0.001 *** | <0.001 ** | 0.006 ** | 0.016 * |
| CD | - | 750.29 | 750.29 | 0.509 |
| CV | - | 13.133 | 19.09 | 20.12 |
| Nitrogen management | ||||
| RDN60 | 1522.51 c | 4337.52 ± 131.4 c | 2815.00 ± 131.4 b | 1.849 ± 0.08 b |
| RDN80 | 1545.97 b | 5098.43 ± 294.1 b | 3552.46 ± 294.1 a | 2.288 ± 0.19 a |
| RDN100 | 1569.39 a | 5422.04 ± 282.2 a | 3852.65 ± 282.2 a | 2.444 ± 0.1 a |
| p-value | <0.001 *** | <0.001 *** | <0.001 *** | <0.001 *** |
| CD | - | 319.29 | 638.38 | 0.202 |
| CV | - | 7.447 | 10.82 | 10.65 |
| Interaction | 0.000 *** | 0.018 * | 0.018 * | 0.021 * |
| Year | ns | 0.012 * | 0.012 * | 0.012 * |
| Components | Straw Yield (Mg/ha) | Grain Yield (Mg/ha) | Panicle Weight (g) | Test Weight (g) | Number of Grains/Panicles | Unfilled Spikelet/Plant | Panicle Length (cm) |
|---|---|---|---|---|---|---|---|
| Grain yield (Mg/ha) | 0.994 *** | ||||||
| Panicle weight (g) | 0.926 *** | 0.926 *** | |||||
| Test weight (g) | 0.414 * | 0.415 * | 0.380 * | ||||
| Number of grains/panicles | 0.925 *** | 0.917 *** | 0.873 *** | 0.541 ** | |||
| Unfilled spikelet/Plant | 0.407 ** | 0.398 ** | 0.420 * | 0.266 ns | 0.417 * | ||
| Panicle length (cm) | 0.838 *** | 0.817 *** | 0.837 *** | 0.462 ** | 0.916 *** | 0.382 * | |
| Number of tillers/m2 | 0.901 *** | 0.882 *** | 0.860 *** | 0.601 *** | 0.966 *** | 0.395 * | 0.902 * |
| Components | Yield of Corn (Mg/ha) | Weight of Corn | Weight of Cob | Corn Girth | Cob Girth | Length of Corn | Length of Cob | Bareness (%) |
|---|---|---|---|---|---|---|---|---|
| Weight of Corn (g) | 0.800 *** | |||||||
| Weight of Cob (g) | 0.829 *** | 0.923 *** | ||||||
| Corn Girth (cm) | 0.713 *** | 0.721 *** | 0.743 *** | |||||
| Cob Girth (cm) | 0.726 *** | 0.710 *** | 0.735 *** | 0.919 *** | ||||
| Length of Corn (cm) | 0.670 *** | 0.626 *** | 0.597 *** | 0.718 *** | 0.677 *** | |||
| Length of Cob (cm) | 0.675 *** | 0.772 *** | 0.754 *** | 0.811 *** | 0.844 *** | 0.702 *** | ||
| Bareness (%) | −0.575 *** | −0.686 *** | −0.749 *** | −0.616 *** | −0.685 *** | −0.486 * | −0.730 *** | |
| Number of cobs/plants | 0.703 *** | 0.648 *** | 0.739 *** | 0.769 *** | 0.736 *** | 0.526 * | 0.650 *** | −0.617 *** |
Publisher’s Note: MDPI stays neutral with regard to jurisdictional claims in published maps and institutional affiliations. |
© 2022 by the authors. Licensee MDPI, Basel, Switzerland. This article is an open access article distributed under the terms and conditions of the Creative Commons Attribution (CC BY) license (https://creativecommons.org/licenses/by/4.0/).
Share and Cite
Kumar, V.; Singh, M.K.; Raghuvanshi, N.; Sahoo, M. Rice (Oryza sativa L.)–Baby Corn (Zea mays L.) Cropping System Response to Different Summer Green Manuring and Nutrient Management. Agronomy 2022, 12, 2105. https://doi.org/10.3390/agronomy12092105
Kumar V, Singh MK, Raghuvanshi N, Sahoo M. Rice (Oryza sativa L.)–Baby Corn (Zea mays L.) Cropping System Response to Different Summer Green Manuring and Nutrient Management. Agronomy. 2022; 12(9):2105. https://doi.org/10.3390/agronomy12092105
Chicago/Turabian StyleKumar, Vikash, Manoj Kumar Singh, Nikhil Raghuvanshi, and Monalisa Sahoo. 2022. "Rice (Oryza sativa L.)–Baby Corn (Zea mays L.) Cropping System Response to Different Summer Green Manuring and Nutrient Management" Agronomy 12, no. 9: 2105. https://doi.org/10.3390/agronomy12092105
APA StyleKumar, V., Singh, M. K., Raghuvanshi, N., & Sahoo, M. (2022). Rice (Oryza sativa L.)–Baby Corn (Zea mays L.) Cropping System Response to Different Summer Green Manuring and Nutrient Management. Agronomy, 12(9), 2105. https://doi.org/10.3390/agronomy12092105

