Allelopathic Effect of Black Cherry (Prunus serotina Ehrh.) on Early Growth of White Mustard (Sinapis alba L.) and Common Buckwheat (Fagopyrum esculentum Moench): Is the Invader a Threat to Restoration of Fallow Lands?
Abstract
1. Introduction
2. Materials and Methods
2.1. Seed Selection
2.2. Preparation of Decayed Leaf Litter Extracts
2.3. Preparation of Pot Experiment
2.4. Germination and Growth Assay
2.5. Statistical Analyses
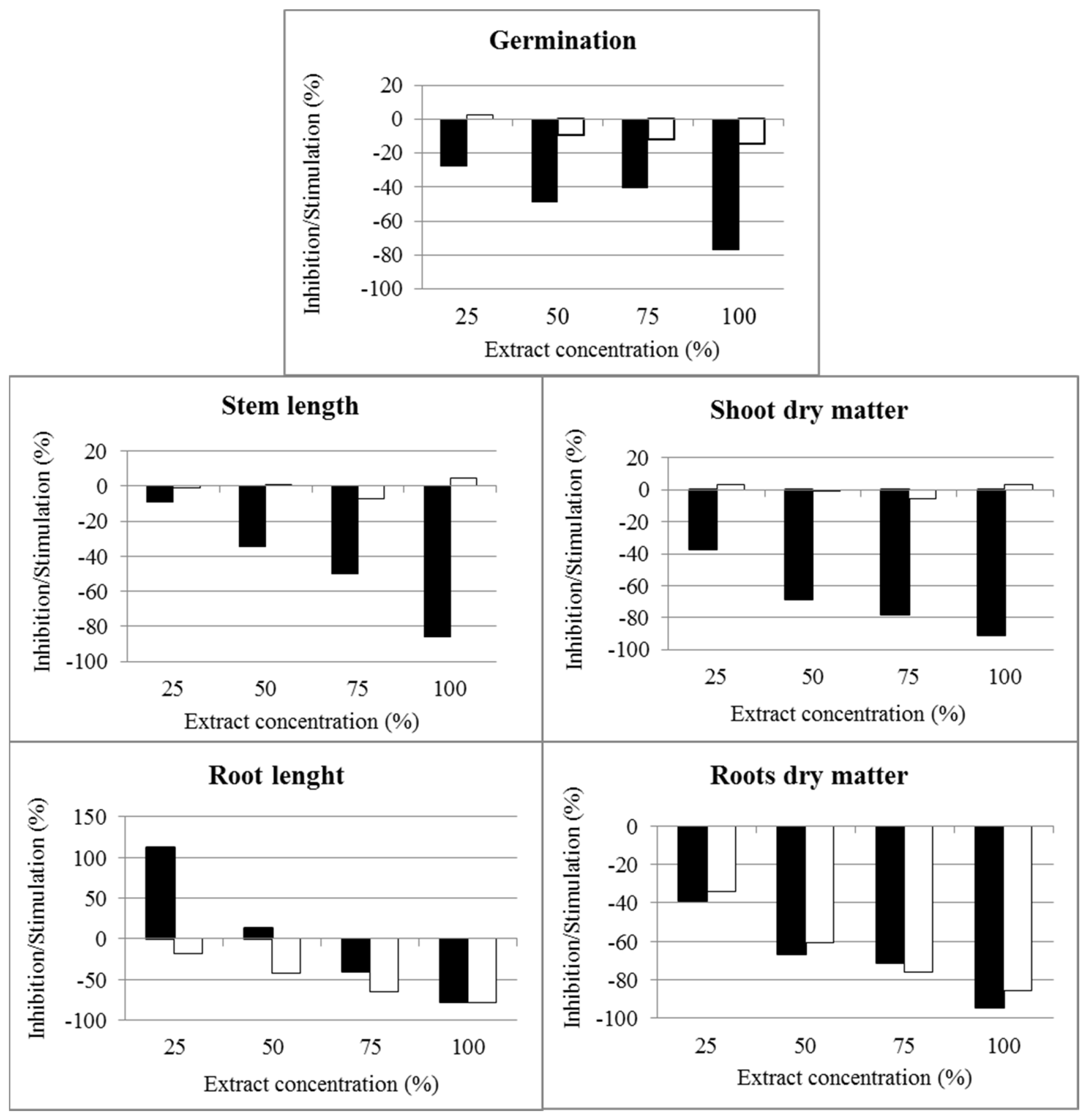
3. Results
3.1. Influence of P. serotina Litter Extracts on Germination and Growth of Tested Species
3.2. Evaluation of the Suitability of the Soil Inhabited by P. serotina for Cultivation of the Tested Plants
4. Discussion
5. Conclusions
Author Contributions
Funding
Institutional Review Board Statement
Informed Consent Statement
Data Availability Statement
Conflicts of Interest
References
- Ustaoglu, E.; Collier, M.J. Farmland Abandonment in Europe: An Overview of Drivers, Consequences and Assessment of the Sustainability Implications. Environ. Rev. 2018, 26, 396–416. [Google Scholar] [CrossRef]
- Lasanta, T.; Nadal-Romero, E.; Arnáez, J. Managing abandoned farmland to control the impact of re-vegetation on the environment. The state of the art in Europe. Environ. Sci. Policy 2015, 52, 99–109. [Google Scholar] [CrossRef]
- Kazlauskaite-Jadzevice, A.; Tripolskaja, L.; Volungevicius, J.; Baksiene, E. Impact of Land Use Change on Organic Carbon Sequestration in Arenosol. Agric. Food Sci. 2019, 28, 9–17. [Google Scholar] [CrossRef]
- Kozak, M.; Pudełko, R. Impact Assessment of the Long-Term Fallowed Land on Agricultural Soils and the Possibility of Their Return to Agriculture. Agriculture 2021, 11, 148. [Google Scholar] [CrossRef]
- Meiners, S.J.; Pickett, S.T.A.; Cadenasso, M.L. Effects of plant invasions on the species richness of abandoned agricultural land. Ecography 2001, 24, 633–644. [Google Scholar] [CrossRef]
- Yurkonis, K.A.; Meiners, S.J. Invasion impacts local species turnover in a successional system. Ecol. Lett. 2004, 7, 764–769. [Google Scholar] [CrossRef]
- Orczewska, A. Who is more dangerous: The alien or the native? The negative impact of Solidago gigantea, Urtica dioica and Galium aparine on the herbaceous woodland species in recent post-agricultural alder woods. Stud. Mater. CEPL 2012, 14, 217–225. (In Polish) [Google Scholar]
- Stefanowicz, A.M.; Stanek, M.; Nobis, M.; Zubek, S. Few effects of invasive plants Reynoutria japonica, Rudbeckia laciniata and Solidago gigantea on soil physical and chemical properties. Sci. Total Environ. 2017, 574, 938–946. [Google Scholar] [CrossRef]
- Węgrzynek, B.; Urbisz, A.; Nowak, T. Participation of Solidago canadensis L. and S. gigantea AITON in abandoned fields communities in the Silesian Upland (Poland). Thaiszia J. Bot. 2005, 15, 267–275. [Google Scholar]
- Sekutowski, T.; Włodek, S.; Biskupski, A.; Sienkiewicz-Cholewa, U. Comparison of the content of seeds and plants of the goldenrod (Solidago sp.) in the fallow and adjacent field. Zesz. Nauk. UP Wroc. 2012, 584, 99–111. (In Polish) [Google Scholar]
- Wołkowycki, D.; Próchnicki, P. Spatial expansion pattern of black cherry Padus serotina Ehrh. in suburban zone of Białystok (NE Poland). Biodivers. Res. Conserv. 2015, 40, 59–67. [Google Scholar] [CrossRef][Green Version]
- Bułaj, B.; Okpisz, K.; Rutkowski, P.; Tomczak, A. Occurrence of invasive black cherry (Prunus serotina Ehrh.) on abandoned farmland in west—Central Poland. For. Lett. 2017, 110, 26–31. [Google Scholar]
- Bączek, P. paulina.baczek@upwr.edu.pl, Wrocław, Poland. 2022; manuscript in preparation.
- Starfinger, U.; Kowarik, I.; Rode, M.; Schepker, H. From desirable ornamental plant to pest to accepted addition to the flora? The perception of alien tree species through the centuries. Biol. Invasions 2003, 5, 323–335. [Google Scholar] [CrossRef]
- Lorenz, K.; Preston, C.M.; Krumrei, S.; Feger, K.H. Decomposition of needle/leaf litter from Scots pine, black cherry, common oak and European beech at a conurbation forest site. Eur. J. For. Res. 2004, 123, 177–188. [Google Scholar] [CrossRef]
- Starfinger, U. Introduction and naturalization of Prunus serotina in Central Europe. In Plant Invasions: Studies from North America and Europe; Brock, J.H., Wade, M., Pysek, P., Green, D., Eds.; Backhuys Publishers: Leiden, The Netherlands, 1997; pp. 161–171. [Google Scholar]
- Chabrerie, O.; Loinard, J.; Perrin, S.; Saguez, R.; Decocq, G. Impact of Prunus serotina invasion on understory functional diversity in a European temperate forest. Biol. Invasions 2010, 12, 1891–1907. [Google Scholar] [CrossRef]
- Halarewicz, A.; Pruchniewicz, D. Vegetation and environmental changes in a Scots pine forest invaded by Prunus serotina: What is the threat to terricolous bryophytes? Eur. J. For. Res. 2015, 134, 793–801. [Google Scholar] [CrossRef]
- Verheyen, K.; Vanhellemont, M.; Stock, T.; Hermy, M. Predicting patterns of invasion by black cherry (Prunus serotina Ehrh.) in Flanders (Belgium) and its impact on the forest understorey community. Divers. Distrib. 2007, 13, 487–497. [Google Scholar] [CrossRef]
- Halarewicz, A.; Żołnierz, L. Changes in the understorey of Mied coniferous forest plant communities dominated by the American black cherry (Prunus serotina Ehrh.). For. Ecol. Manag. 2014, 313, 91–97. [Google Scholar] [CrossRef]
- Pairon, M.; Chabrerie, O.; Mainer Casado, C.; Jacquemart, A.L. Sexual regeneration traits linked to black cherry (Prunus serotina Ehrh.) invasiveness. Acta Oecologica 2006, 30, 238–247. [Google Scholar] [CrossRef]
- Closset-Kopp, D.; Chabrerie, O.; Valentin, B.; Delachapelle, H.; Decocq, G. When Oskar meets Alice: Does a lack of trade-off in r/k-strategies make Prunus serotina a seccessful invader of European forest? For. Ecol. Manag. 2007, 247, 120–130. [Google Scholar] [CrossRef]
- Whittaker, R.H.; Feeny, P.P. Allelochemics: Chemical Interactions between Species. Science 1971, 171, 757–770. [Google Scholar] [CrossRef] [PubMed]
- Rice, E.L. Allelopathy, 2nd ed.; Academic Press: Orlando, FL, USA, 1984. [Google Scholar]
- Callaway, R.M.; Aschehoug, E.T. Invasive plants versus their new and old neighbors: A mechanism for exotic invasion. Science 2000, 290, 521–523. [Google Scholar] [CrossRef] [PubMed]
- Hierro, J.L.; Callaway, R.M. Allelopathy and exotic plant invasion. Plant Soil 2003, 256, 29–39. [Google Scholar] [CrossRef]
- Belz, R.G. Allelopathy in crop/weed interactions—An update. Pest Manag. Sci. 2007, 63, 308–326. [Google Scholar] [CrossRef] [PubMed]
- Zhang, Z.; Liu, Y.; Yuan, L.; Weber, E.; van Kleunen, M. Effect of allelopathy on plant performance: A meta-analysis. Ecol. Lett. 2020, 24, 348–362. [Google Scholar] [CrossRef] [PubMed]
- Drogoszewski, B.; Barzdajn, W. Wpływ ekstraktów wodnych z tkanek Prunus serotina Ehrh. na kiełkowanie nasion Pinus silvestris L. Pr. Kom. Nauk. Rol. I Kom. Nauk. Leśnych Poznańskiego Tow. Przyj. Nauk. Wydziału Nauk. Rol. I Leśnych 1984, 58, 33–38. [Google Scholar]
- Bączek, P.; Halarewicz, A. Effect of black cherry (Prunus serotina) litter extracts on germination and growth of Scots pine (Pinus sylvestris) seedlings. Pol. J. Ecol. 2019, 67, 137–147. [Google Scholar] [CrossRef]
- Halarewicz, A.; Szumny, A.; Bączek, P. Effect of Prunus serotina Ehrh. volatile compounds on germination and seedling growth of Pinus sylvestris L. Forests 2021, 12, 846. [Google Scholar] [CrossRef]
- Alsharekh, A.; El-Sheikh, M.A.; Alatar, A.A.; Abdel-Salam, E.M. Natural Control of Weed Invasions in Hyper-Arid Arable Farms: Allelopathic Potential Effect of Conocarpus erectus against Common Weeds and Vegetables. Agronomy 2022, 12, 703. [Google Scholar] [CrossRef]
- Błażewicz-Woźniak, M.; Patkowska, E.; Konopiński, M.; Wach, D. The effect of cover crops and ploughless tillage on weed infestation of field after winter before pre-sowing tillage. Rom. Agric. Res. 2016, 33, 185. [Google Scholar]
- Szwed, M.; Wiczkowski, W.; Dorota Szawara-Nowak, D.; Ralph, L.; Obendorf, R.L.; Horbowicz, M. Allelopathic infuence of common buckwheat root residues on selected weed species. Acta Physiol. Plant. 2019, 41, 92. [Google Scholar] [CrossRef]
- Jankowski, K.J.; Załuski, D.; Sokólski, M. Canola-quality white mustard: Agronomic management and seed yield. Ind. Crops Prod. 2020, 145, 112138–112146. [Google Scholar] [CrossRef]
- Ciarka, D.; Gawrońska, H.; Malecka, M.; Gawronski, S. Allelopathic potential of sunflower. II. Allelopathic activity of plants compounds released in environment. Allelopath. J. 2009, 23, 243–254. [Google Scholar]
- Csiszár, Á.; Korda, M.; Schmidt, D.; Šporčić, D.; Süle, P.; Teleki, B.; Tiborcz, V.; Zagyvai, G.; Bartha, D. Allelopathic potential of some invasive plant species occurring in Hungary. Allelopath. J. 2013, 31, 309–318. [Google Scholar]
- Callaway, R.M. Experimental designs for the study of allelopathy. Plant Soil 2003, 256, 1–11. [Google Scholar] [CrossRef]
- Kulmatiski, A.; Beard, K.H. Activated carbon as a restoration tool: Potential for control of invasive plants in abandoned agricultural fields. Restor. Ecol. 2006, 14, 251–257. [Google Scholar] [CrossRef]
- Weir, T.L.; Park, S.W.; Vivanco, J.M. Biochemical and physiological mechanisms mediated by allelochemicals. Curr. Opin. Plant Biol. 2004, 7, 472–479. [Google Scholar] [CrossRef]
- Qu, T.; Du, X.; Peng, Y.; Guo, W.; Zhao, C.; Losapio, G. Invasive species allelopathy decreases plant growth and soil microbial activity. PLoS ONE 2021, 16, e0246685. [Google Scholar] [CrossRef]
- Haugland, E.; Brandsaeter, L.O. Experiments on bioassay sensitivity in the study of allelopathy. J. Chem. Ecol. 1996, 22, 1845–1859. [Google Scholar] [CrossRef]
- Yarnia, M.; Benam, M.K.; Tabrizi, E.F.M. Allelopathic effects of sorghum extracts on Amaranthus retroflexus seed germination and growth. J. Food Agric. Environ. 2009, 7, 770–774. [Google Scholar]
- Sarkar, E.; Chatterjee, S.N.; Chakraborty, P. Allelopathic effect of Cassia tora on seed germination and growth of mustard. Turk. J. Bot. 2012, 36, 488–494. [Google Scholar] [CrossRef]
- Del Fabbro, C.; Prati, D. The relative importance of immediate allelopathy and allelopathic legacy in invasive plant species. Basic Appl. Ecol. 2015, 16, 28–35. [Google Scholar] [CrossRef]
- Abhilasha, D.; Quintana, N.; Vivanco, J.; Joshi, J. Do allelopathic compounds in invasive Solidago canadensis s.l. restrain the native European flora? J. Ecol. 2008, 96, 993–1001. [Google Scholar] [CrossRef]
- Parepa, M.; Bossdorf, O. Testing for allelopathy in invasive plants: It all depends on the substrate! Biol. Invasions 2016, 18, 2975–2982. [Google Scholar] [CrossRef]
- Lau, J.A.; Puliafico, K.P.; Kopshever, J.A.; Steltzer, H.; Jarvis, E.P.; Schwarzländer, M.; Strauss, S.Y.; Hufbauer, R.A. Inference of allelopathy is complicated by effects of activated carbon on plant growth. New Phytol. 2008, 178, 412–423. [Google Scholar] [CrossRef] [PubMed]
- Kobayashi, K.; Koyama, H.; Shim, I.S. Relationship between behavior of dehydromatricaria ester in soil and the allelopathic activity of Solidago altissima L. in the laboratory. Plant Soil 2004, 259, 97–102. [Google Scholar] [CrossRef]
- Blair, A.C.; Nissen, S.J.; Brunk, G.R.; Hufbauer, R.A. A lack of evidence for an ecological role of the putative allelochemical (±)-catechin in spotted knapweed invasion success. J. Chem. Ecol. 2006, 32, 2327–2331. [Google Scholar] [CrossRef]
- Fischer, R.F.; Woods, R.A.; Glavicic, M.R. Allelopathic effects of goldenrod and aster on young sugar maple. Can. J. For. Res. 1978, 8, 1–9. [Google Scholar] [CrossRef]
- Weidenhamer, J.D.; Romeo, J.T. Allelochemicals of Polygonella myriophylla: Chemistry and soil degradation. J. Chem. Ecol. 2004, 30, 1067–1082. [Google Scholar] [CrossRef]
- Trowbridge, A.M.; Stoy, P.C.; Phillips, R.P. Soil biogenic volatile organic compound flux in a mixed hardwood forest: Net uptake at warmer temperatures and the importance of mycorrhizal associations. J. Geophys. Res. Biogeosci. 2020, 124, e2019JG005479. [Google Scholar] [CrossRef]
- Reinhart, K.O.; Royo, A.A.; Van der Putten, W.H.; Clay, K. Soilfeedback and pathogen activity in Prunus serotina throughout its nativerange. J. Ecol. 2005, 93, 890–898. [Google Scholar] [CrossRef]
- Levine, J.M.; Pachepsky, E.; Kendall, B.E.; Yelenik, S.G.; Lambers, J.H.R. Plant-soil feedbacks and invasive spread. Ecol. Lett. 2006, 9, 1005–1014. [Google Scholar] [CrossRef] [PubMed]
- Silva, E.R.; Overbeck, G.E.; Soares, G.L.G. Phytotoxicity of volatiles from fresh and dry leaves of two Asteraceae shrubs: Evaluation of seasonal effects. S. Afr. J. Bot. 2014, 93, 14–18. [Google Scholar] [CrossRef]
- Wardle, D.A.; Karban, R.; Callaway, R.M. The ecosystem and evolutionary contexts of allelopathy. Trends Ecol. Evol. 2011, 26, 655–662. [Google Scholar]
- Scavo, A.; Abbate, C.; Mauromicale, G. Plant allelochemicals: Agronomic, nutritional and ecological relevance in the soil system. Plant Soil 2019, 442, 23–48. [Google Scholar] [CrossRef]

| Parameter | Concentration of P. serotina Litter Extract | ||||
|---|---|---|---|---|---|
| Control (0%) | 25% | 50% | 75% | 100% | |
| Germination capacity (%) | 94 ± 0.24 a | 68 ± 0.58 ab | 48 ± 0.58 b | 56 ± 0.75 ab | 22 ± 1.1 b |
| Stem height (mm) | 33 ± 8.53 a | 30 ± 2.47 a | 22 ± 4.51 ab | 17 ± 2.5 b | 5 ± 3.49 b |
| Shoot dry matter (mg) | 106 ± 5.72 a | 66 ± 10.77 ab | 33 ± 6.65 ab | 23 ± 6.95 b | 10 ± 8.3 b |
| Root length (mm) | 41 ± 9.81 ab | 87 ± 12.59 a | 46 ± 14.35 ab | 25 ± 7.54 ab | 9 ± 7.97 b |
| Root dry matter (mg) | 26 ± 3.42 a | 16 ± 3.08 a | 9 ± 2.04 ab | 8 ± 2.94 ab | 1 ± 1.42 b |
| Parameter | Concentration of P. serotina Litter Extract | ||||
|---|---|---|---|---|---|
| Control (0%) | 25% | 50% | 75% | 100% | |
| Germination capacity (%) | 84 ± 0.5 a | 86 ± 0.24 a | 76 ± 0.51 a | 74 ± 0.51 a | 72 ± 0.58 a |
| Stem height (mm) | 33 ± 1.77 a | 33 ± 2.01 a | 33 ± 2.18 a | 31 ± 1.24 a | 35 ± 1.86 a |
| Shoot dry matter (mg) | 46 ± 3.1 a | 48 ± 3.78 a | 46 ± 2.77 a | 43 ± 3.2 a | 47 ± 3.08 a |
| Root length (mm) | 45 ± 3.4 a | 37 ± 0.93 ab | 26 ± 2.57 abc | 16 ± 2.35 bc | 10 ± 1.39 c |
| Root dry matter (mg) | 20 ± 2.06 a | 13 ± 0.71 b | 8 ± 0.86 c | 5 ± 0.97 cd | 3 ± 0.37 d |
| Parameter | Variant of Soil Substrate | |||
|---|---|---|---|---|
| without P. serotina Exudates | without P. serotina Exudates + AC | with P. serotina Exudates | with P. serotina Exudates + AC | |
| Germination capacity (%) | 68 ± 6.80 | 64 ± 10.7 | 44 ± 5.80 | 70 ± 9.10 |
| Stem height (mm) | 109.71 ± 4.75 | 51.25 ± 6.6 | 102.2 ± 10.30 | 46.77 ± 5.17 |
| Shoot dry matter (mg) | 130.1 ± 0.01 | 38.4 ± 0.01 | 59.2 ± 0.01 | 31.9 ± 0.01 |
| Root dry matter (mg) | 98.1 ± 0.02 | 11.3 ± 0.00 | 5.9 ± 0.001 | 9.6 ± 0.00 |
| Parameter | Variant of Soil Substrate | |||
|---|---|---|---|---|
| Without P. serotina Exudates | without P. serotina Exudates + AC | without P. serotina Exudates | with P. serotina Exudates + AC | |
| Germination capacity (%) | 60 ± 11.16 | 80 ± 4.22 | 76 ± 9.78 | 62 ± 9.16 |
| Stem height (mm) | 83.33 ± 13.27 | 97.08 ± 6.09 | 112.8 ± 7.82 | 114.84 ± 6.52 |
| Shoot dry matter (mg) | 130 ± 0.01 | 66 ± 0.00 | 94 ± 0.02 | 84 ± 0.01 |
| Root dry matter (mg) | 98 ± 0.02 | 22.7 ± 0.00 | 32.3 ± 0.01 | 23.1 ± 0.01 |
Publisher’s Note: MDPI stays neutral with regard to jurisdictional claims in published maps and institutional affiliations. |
© 2022 by the authors. Licensee MDPI, Basel, Switzerland. This article is an open access article distributed under the terms and conditions of the Creative Commons Attribution (CC BY) license (https://creativecommons.org/licenses/by/4.0/).
Share and Cite
Bączek, P.; Halarewicz, A. Allelopathic Effect of Black Cherry (Prunus serotina Ehrh.) on Early Growth of White Mustard (Sinapis alba L.) and Common Buckwheat (Fagopyrum esculentum Moench): Is the Invader a Threat to Restoration of Fallow Lands? Agronomy 2022, 12, 2103. https://doi.org/10.3390/agronomy12092103
Bączek P, Halarewicz A. Allelopathic Effect of Black Cherry (Prunus serotina Ehrh.) on Early Growth of White Mustard (Sinapis alba L.) and Common Buckwheat (Fagopyrum esculentum Moench): Is the Invader a Threat to Restoration of Fallow Lands? Agronomy. 2022; 12(9):2103. https://doi.org/10.3390/agronomy12092103
Chicago/Turabian StyleBączek, Paulina, and Aleksandra Halarewicz. 2022. "Allelopathic Effect of Black Cherry (Prunus serotina Ehrh.) on Early Growth of White Mustard (Sinapis alba L.) and Common Buckwheat (Fagopyrum esculentum Moench): Is the Invader a Threat to Restoration of Fallow Lands?" Agronomy 12, no. 9: 2103. https://doi.org/10.3390/agronomy12092103
APA StyleBączek, P., & Halarewicz, A. (2022). Allelopathic Effect of Black Cherry (Prunus serotina Ehrh.) on Early Growth of White Mustard (Sinapis alba L.) and Common Buckwheat (Fagopyrum esculentum Moench): Is the Invader a Threat to Restoration of Fallow Lands? Agronomy, 12(9), 2103. https://doi.org/10.3390/agronomy12092103

