Efficacy of Nitrogen and Zinc Application at Different Growth Stages on Yield, Grain Zinc, and Nitrogen Concentration in Rice
Abstract
1. Introduction
2. Materials and Methods
2.1. Plant Culture
2.2. N and Zn Fertilizer Applications
2.3. Data Collection
2.3.1. Yield and Yield Components
2.3.2. Zn Concentration and Content
2.3.3. N Concentration and Content
2.4. Statistical Analysis
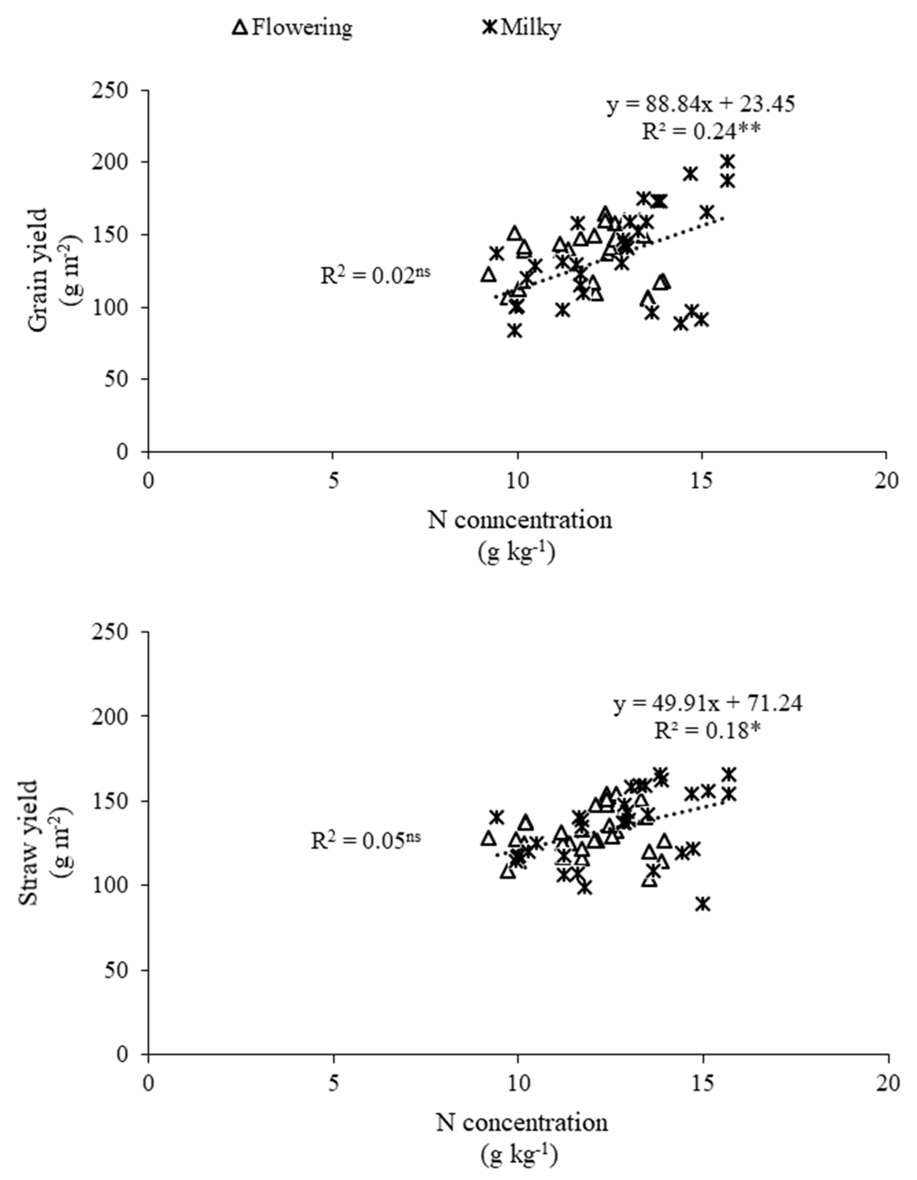
3. Results
4. Discussion
5. Conclusions
Author Contributions
Funding
Institutional Review Board Statement
Informed Consent Statement
Data Availability Statement
Conflicts of Interest
References
- Prasad, A.S. Lessons Learned from Experimental Human Model of Zinc Deficiency. J. Immunol. Res. 2020, 2020, 9207279. [Google Scholar] [CrossRef]
- Chasapis, C.T.; Ntoupa, P.-S.A.; Spiliopoulou, C.A.; Stefanidou, M.E. Recent aspects of the effects of zinc on human health. Arch. Toxicol. 2020, 94, 1443–1460. [Google Scholar] [CrossRef]
- Rerksuppaphol, L.; Rerksuppaphol, S. Efficacy of Adjunctive Zinc in Improving the Treatment Outcomes in Hospitalized Children with Pneumonia: A Randomized Controlled Trial. J. Trop. Pediatr. 2020, 66, 419–427. [Google Scholar] [CrossRef]
- Jothimani, D.; Kailasam, E.; Danielraj, S.; Nallathambi, B.; Ramachandran, H.; Sekar, P.; Manoharan, S.; Ramani, V.; Narasimhan, G.; Kaliamoorthy, I.; et al. COVID-19: Poor outcomes in patients with zinc deficiency. Int. J. Infect. Dis. 2020, 100, 343–349. [Google Scholar] [CrossRef] [PubMed]
- Brown, K.H.; Rivera, J.A.; Bhutta, Z.; Gibson, R.S.; King, J.C.; Lönnerdal, B.; Ruel, M.T.; Sandtröm, B.; Wasantwisut, E.; Hotz, C. International Zinc Nutrition Consultative Group (IZiNCG) Technical Document# 1. Assessment of the Risk of Zinc Defi-ciency in Populations and Options for Its Control. Food Nutr. Bull. 2004, 25, S99–S203. [Google Scholar] [PubMed]
- Beloucif, A.; Kechrid, Z.; Bekada, A.M.A. Effect of Zinc Deficiency on Blood Glucose, Lipid Profile, and Antioxidant Status in Streptozotocin Diabetic Rats and the Potential Role of Sesame Oil. Biol. Trace Element Res. 2021, 200, 3236–3247. [Google Scholar] [CrossRef] [PubMed]
- Nawaz, A.; Rehman, A.U.; Rehman, A.; Ahmad, S.; Siddique, K.H.; Farooq, M. Increasing sustainability for rice production systems. J. Cereal Sci. 2021, 103, 103400. [Google Scholar] [CrossRef]
- Pradhan, S.K.; Pandit, E.; Pawar, S.; Naveenkumar, R.; Barik, S.R.; Mohanty, S.P.; Nayak, D.K.; Ghritlahre, S.K.; Rao, D.S.; Reddy, J.N.; et al. Linkage disequilibrium mapping for grain Fe and Zn enhancing QTLs useful for nutrient dense rice breeding. BMC Plant Biol. 2020, 20, 57. [Google Scholar] [CrossRef]
- Ghoneim, A.M. Effect of Different Methods of Zn Application on Rice Growth, Yield and Nutrients Dynamics in Plant and Soil. J. Agric. Ecol. Res. Int. 2016, 6, 1–9. [Google Scholar] [CrossRef]
- Guo, J.X.; Feng, X.M.; Hu, X.Y.; Tian, G.L.; Ling, N.; Wang, J.H.; Shen, Q.R.; Guo, S.W. Effects of soil zinc availability, nitrogen fertilizer rate and zinc fertilizer application method on zinc biofortification of rice. J. Agric. Sci. 2015, 154, 584–597. [Google Scholar] [CrossRef]
- Alloway, B.J. Soil factors associated with zinc deficiency in crops and humans. Environ. Geochem. Health 2009, 31, 537–548. [Google Scholar] [CrossRef]
- Chhabra, V.; Kumar, R. Role of Zinc Application on Rice Growth and Yield. Plant Arch. 2018, 18, 1382–1384. [Google Scholar]
- Kachinski, W.D.; Ávila, F.W.; Dos Reis, A.R.; Muller, M.M.L.; Mendes, M.C.; Petranski, P.H. Agronomic Biofortification In-creases Concentrations of Zinc and Storage Proteins in Common Bean (Phaseolus vulgaris L.) Grains. Food Res. Int. 2022, 155, 111105. [Google Scholar] [CrossRef]
- Zou, C.; Du, Y.; Rashid, A.; Ram, H.; Savasli, E.; Pieterse, P.J.; Ortiz-Monasterio, I.; Yazici, A.; Kaur, C.; Mahmood, K.; et al. Simultaneous Biofortification of Wheat with Zinc, Iodine, Selenium, and Iron through Foliar Treatment of a Micronutrient Cocktail in Six Countries. J. Agric. Food Chem. 2019, 67, 8096–8106. [Google Scholar] [CrossRef]
- Zhang, C.-M.; Zhao, W.-Y.; Gao, A.-X.; Su, T.-T.; Wang, Y.-K.; Zhang, Y.-Q.; Zhou, X.-B.; He, X.-H. How Could Agronomic Biofortification of Rice Be an Alternative Strategy with Higher Cost-Effectiveness for Human Iron and Zinc Deficiency in China? Food Nutr. Bull. 2018, 39, 246–259. [Google Scholar] [CrossRef]
- Wang, S.; Li, M.; Tian, X.; Li, J.; Li, H.; Ni, Y.; Zhao, J.; Chen, Y.; Guo, C.; Zhao, A. Foliar Zinc, Nitrogen, and Phosphorus Application Effects on Micronutrient Concentrations in Winter Wheat. Agron. J. 2015, 107, 61–70. [Google Scholar] [CrossRef]
- Suganya, A.; Saravanan, A.; Manivannan, N. Role of Zinc Nutrition for Increasing Zinc Availability, Uptake, Yield, and Quality of Maize (Zea Mays L.) Grains: An Overview. Commun. Soil Sci. Plant Anal. 2020, 51, 2001–2021. [Google Scholar]
- Cakmak, I.; Kutman, U. áB Agronomic Biofortification of Cereals with Zinc: A Review. Eur. J. Soil Sci. 2018, 69, 172–180. [Google Scholar] [CrossRef]
- Kandil, E.E.; El-Banna, A.A.A.; Tabl, D.M.M.; Mackled, M.I.; Ghareeb, R.Y.; Al-Huqail, A.A.; Ali, H.M.; Jebril, J.; Abdelsalam, N.R. Zinc Nutrition Responses to Agronomic and Yield Traits, Kernel Quality, and Pollen Viability in Rice (Oryza sativa L.). Front. Plant Sci. 2022, 13, 791066. [Google Scholar] [CrossRef]
- Singh, B.R.; Timsina, Y.N.; Lind, O.C.; Cagno, S.; Janssens, K. Zinc and Iron Concentration as Affected by Nitrogen Fertilization and Their Localization in Wheat Grain. Front. Plant Sci. 2018, 9, 307. [Google Scholar] [CrossRef]
- Jaksomsak, P.; Rerkasem, B.; Prom-U-Thai, C. Responses of grain zinc and nitrogen concentration to nitrogen fertilizer application in rice varieties with high-yielding low-grain zinc and low-yielding high grain zinc concentration. Plant Soil 2016, 411, 101–109. [Google Scholar] [CrossRef]
- Yamuangmorn, S.; Dell, B.; Rerkasem, B.; Prom-U-Thai, C. Applying nitrogen fertilizer increased anthocyanin in vegetative shoots but not in grain of purple rice genotypes. J. Sci. Food Agric. 2018, 98, 4527–4532. [Google Scholar] [CrossRef] [PubMed]
- Yang, X.-W.; Song, M.; Li, Q.-J.; Zhou, S.-M.; Han, S.-Y.; Chen, X.; Xu, L.-L.; He, D.-X. Impacts of Combined N and Zn Ap-plication on Zn Translocation, Partitioning, and Accumulation in Triticum Aestivum. Ying Yong Sheng Tai Xue Bao J. Appl. Ecol. 2020, 31, 148–156. [Google Scholar]
- Wang, Z.; Wang, X.; Liu, S.; Yang, Y.; Li, Y.; Chen, S.; Wang, G.; Zhang, X.; Ye, Y.; Hu, L.; et al. Sub-Cellular Distribution of Zinc in Different Vegetative Organs and Their Contribution to Grains Zinc Accumulation in Rice Under Different Nitrogen and Zinc Supply. J. Plant Growth Regul. 2022, 41, 1–10. [Google Scholar] [CrossRef]
- Tuiwong, P.; Lordkaew, S.; Veeradittakit, J.; Jamjod, S.; Prom-U-Thai, C. Seed Priming and Foliar Application with Nitrogen and Zinc Improve Seedling Growth, Yield, and Zinc Accumulation in Rice. Agriculture 2022, 12, 144. [Google Scholar] [CrossRef]
- Yoshida, S.; Coronel, V. Nitrogen nutrition, leaf resistance, and leaf photosynthetic rate of the rice plant. Soil Sci. Plant Nutr. 1976, 22, 207–211. [Google Scholar] [CrossRef]
- Yamuangmorn, S.; Jumrus, S.; Jamjod, S. Promoting Seedling Vigour and Grain Zinc Accumulation in Rice by Priming Seeds and Foliar Application with Zinc and Potassium Fertiliser. Crop Pasture Sci. 2022, 73, 437–448. [Google Scholar] [CrossRef]
- Tabesh, M.; Kiani, S.; Khoshgoftarmanesh, A.H. The effectiveness of seed priming and foliar application of zinc- amino acid chelates in comparison with zinc sulfate on yield and grain nutritional quality of common bean. J. Plant Nutr. 2020, 43, 2106–2116. [Google Scholar] [CrossRef]
- Hera, M.H.R.; Hossain, M.; Paul, A.K. Effect of Foliar Zinc Spray on Growth and Yield of Heat Tolerant Wheat under Water Stress. Int. J. Biol. Environ. Eng. 2018, 1, 10–16. [Google Scholar]
- Zhang, Y.; Liu, N.; Hu, N.; Zhang, W.; Sun, Z.; Wang, Z. Effect of Zn and sucrose supply on grain Zn, Fe and protein contents within wheat spike under detached-ear culture. Crop Pasture Sci. 2021, 73, 13–21. [Google Scholar] [CrossRef]
- Rafie, M.; Khoshgoftarmanesh, A.; Shariatmadari, H.; Darabi, A.; Dalir, N. Influence of foliar-applied zinc in the form of mineral and complexed with amino acids on yield and nutritional quality of onion under field conditions. Sci. Hortic. 2017, 216, 160–168. [Google Scholar] [CrossRef]
- Mu, S.; Yamaji, N.; Sasaki, A.; Luo, L.; Du, B.; Che, J.; Shi, H.; Zhao, H.; Huang, S.; Deng, F.; et al. A transporter for delivering zinc to the developing tiller bud and panicle in rice. Plant J. 2020, 105, 786–799. [Google Scholar] [CrossRef]
- Fahad, S.; Hussain, S.; Khan, F.; Wu, C.; Saud, S.; Hassan, S.; Ahmad, N.; Gang, D.; Ullah, A.; Huang, J. Effects of tire rubber ash and zinc sulfate on crop productivity and cadmium accumulation in five rice cultivars under field conditions. Environ. Sci. Pollut. Res. 2015, 22, 12424–12434. [Google Scholar] [CrossRef]
- Yang, G.; Yuan, H.; Ji, H.; Liu, H.; Zhang, Y.; Wang, G.; Chen, L.; Guo, Z. Effect of ZnO nanoparticles on the productivity, Zn biofortification, and nutritional quality of rice in a life cycle study. Plant Physiol. Biochem. 2021, 163, 87–94. [Google Scholar] [CrossRef]
- Alloway, B.J. Zinc in Soils and Crop Nutrition; International Fertilizer Association and International Zinc Association: Paris, France, 2008. [Google Scholar]
- Hassan, N.; Irshad, S.; Saddiq, M.S.; Bashir, S.; Khan, S.; Wahid, M.A.; Khan, R.R.; Yousra, M. Potential of zinc seed treatment in improving stand establishment, phenology, yield and grain biofortification of wheat. J. Plant Nutr. 2019, 42, 1676–1692. [Google Scholar] [CrossRef]
- Marschner, P. Marschner’s Mineral Nutrition of Higher Plants; Elsevier: London, UK, 2012. [Google Scholar]
- Shukla, A.K.; Dwivedi, B.S.; Singh, V.K.; Gill, M.S. Macro Role of Micronutrients. Indian J. Fertil. 2009, 5, 11–30. [Google Scholar]
- Zulfiqar, U.; Hussain, S.; Maqsood, M.; Ishfaq, M.; Ali, N. Zinc nutrition to enhance rice productivity, zinc use efficiency, and grain biofortification under different production systems. Crop Sci. 2020, 61, 739–749. [Google Scholar] [CrossRef]
- Wu, C.-Y.; Lu, L.-L.; Yang, X.-E.; Feng, Y.; Wei, Y.-Y.; Hao, H.-L.; Stoffella, P.J.; He, Z.-L. Uptake, Translocation, and Remobilization of Zinc Absorbed at Different Growth Stages by Rice Genotypes of Different Zn Densities. J. Agric. Food Chem. 2010, 58, 6767–6773. [Google Scholar] [CrossRef] [PubMed]
- Pandey, N.; Gupta, B.; Pathak, G.C. Foliar Application of Zn at Flowering Stage Improves Plant’s Performance, Yield and Yield Attributes of Black Gram. Indian J. Exp. Bot. 2013, 51, 548–555. [Google Scholar]
- Bernier, J.; Atlin, G.N.; Serraj, R.; Kumar, A.; Spaner, D. Breeding upland rice for drought resistance. J. Sci. Food Agric. 2008, 88, 927–939. [Google Scholar] [CrossRef]
- Adnan, M. Application of Selenium A Useful Way to Mitigate Drought Stress: A Review. Open Access J. Biog. Sci. Res. 2020, 3, 39. [Google Scholar] [CrossRef]
- Toor, M.D.; Adnan, M.; Javed, M.S.; Habibah, U.; Arshad, A.; Din, M.M.; Ahmad, R. Foliar Application of Zn: Best Way to Mitigate Drought Stress in Plants; A Review. Int. J. Appl. Res. 2020, 6, 16–20. [Google Scholar]
- Anwar, S.; Khalilzadeh, R.; Khan, S.; Nisa, Z.U.; Bashir, R.; Pirzad, A.; Malik, A. Mitigation of Drought Stress and Yield Improvement in Wheat by Zinc Foliar Spray Relates to Enhanced Water Use Efficiency and Zinc Contents. Int. J. Plant Prod. 2021, 15, 377–389. [Google Scholar] [CrossRef]
- Karim, M.R.; Zhang, Y.Q.; Zhao, R.R.; Chen, X.P.; Zhang, F.S.; Zou, C.Q. Alleviation of drought stress in winter wheat by late foliar application of zinc, boron, and manganese. J. Plant Nutr. Soil Sci. 2012, 175, 142–151. [Google Scholar] [CrossRef]
- Rehman, H.U.; Rasool, F.; Awan, M.I.; Mahmood, A.; Wakeel, A.; Hajiboland, R. Irrigation and Zn fertilizer management improves Zn phyto-availability in various rice production systems. J. Plant Nutr. Soil Sci. 2018, 181, 374–381. [Google Scholar] [CrossRef]
- Patel, P.S.; Singh, S.K.; Patra, A.; Jatav, S.S. Root Dipping, Foliar and Soil Application of Zinc Increase Growth, Yields, and Grain Zinc in Rice (Oryza sativa L.) Grown in Moderate Zinc Soil of Inceptisol Order. Commun. Soil Sci. Plant Anal. 2022, 53, 1917–1929. [Google Scholar] [CrossRef]
- Wang, Y.; Lu, J.; Ren, T.; Hussain, S.; Guo, C.; Wang, S.; Cong, R.; Li, X. Effects of nitrogen and tiller type on grain yield and physiological responses in rice. AoB Plants 2017, 9, plx012. [Google Scholar] [CrossRef]
- Liu, Y.; Xu, J.; Ding, Y.; Wang, Q.; Li, G.; Wang, S. Auxin Inhibits the Outgrowth of Tiller Buds in Rice (Oryza Sativa L.) by Downregulating OsIPT Expression and Cytokinin Biosynthesis in Nodes. Aust. J. Crop Sci. 2011, 5, 169–174. [Google Scholar]
- Kadam, S.; Bhale, V.; Chorey, A.; Deshmukh, M. Influence of Zinc and Iron Fortification on Yield and Post-Harvest Studies of Different Rice Cultivars (Oryza sativa L.). Int. J. Curr. Microbiol. Appl. Sci. 2018, 7, 1878–1888. [Google Scholar] [CrossRef][Green Version]
- D’Imperio, M.; Montesano, F.F.; Serio, F.; Santovito, E.; Parente, A. Mineral Composition and Bioaccessibility in Rocket and Purslane after Zn Biofortification Process. Foods 2022, 11, 484. [Google Scholar] [CrossRef]
- Hao, B.; Ma, J.; Jiang, L.; Wang, X.; Bai, Y.; Zhou, C.; Ren, S.; Li, C.; Wang, Z. Effects of foliar application of micronutrients on concentration and bioavailability of zinc and iron in wheat landraces and cultivars. Sci. Rep. 2021, 11, 22782. [Google Scholar] [CrossRef]
- Boonchuay, P.; Cakmak, I.; Rerkasem, B.; Prom-U-Thai, C. Effect of different foliar zinc application at different growth stages on seed zinc concentration and its impact on seedling vigor in rice. Soil Sci. Plant Nutr. 2013, 59, 180–188. [Google Scholar] [CrossRef]
- Saha, S.; Chakraborty, M.; Padhan, D.; Saha, B.; Murmu, S.; Batabyal, K.; Seth, A.; Hazra, G.C.; Mandal, B.; Bell, R.W. Ag-ronomic Biofortification of Zinc in Rice: Influence of Cultivars and Zinc Application Methods on Grain Yield and Zinc Bioa-vailability. Field Crops Res. 2017, 210, 52–60. [Google Scholar] [CrossRef]
- Li, M.; Yang, X.; Tian, X.; Wang, S.; Chen, Y. Effect of Nitrogen Fertilizer and Foliar Zinc Application at Different Growth Stages on Zinc Translocation and Utilization Efficiency in Winter Wheat. Cereal Res. Commun. 2014, 42, 81–90. [Google Scholar] [CrossRef]
- Gupta, N.; Ram, H.; Kumar, B. Mechanism of Zinc absorption in plants: Uptake, transport, translocation and accumulation. Rev. Environ. Sci. Bio/Technol. 2016, 15, 89–109. [Google Scholar] [CrossRef]
- Wang, S.; Wang, Z.-H.; Li, S.-S.; Diao, C.-P.; Liu, L.; Hui, X.-L.; Huang, M.; Luo, L.-C.; He, G.; Cao, H.-B.; et al. Identification of high-yield and high-Zn wheat cultivars for overcoming “yield dilution” in dryland cultivation. Eur. J. Agron. 2018, 101, 57–62. [Google Scholar] [CrossRef]
- Wang, S.; Wang, Z.; Li, S.; Diao, C.; Liu, L.; Huang, N.; Huang, M.; Hui, X.; Luo, L.; He, G. Quantify the Requirements to Achieve Grain Zn Biofortification of High-Yield Wheat on Calcareous Soils. bioRxiv 2020. [Google Scholar] [CrossRef]
- Wiggenhauser, M.; Bigalke, M.; Imseng, M.; Keller, A.; Archer, C.; Wilcke, W.; Frossard, E. Zinc isotope fractionation during grain filling of wheat and a comparison of zinc and cadmium isotope ratios in identical soil-plant systems. New Phytol. 2018, 219, 195–205. [Google Scholar] [CrossRef]
- Ali, H.; Hasnain, Z.; Shahzad, A.N.; Sarwar, N.; Qureshi, M.K.; Khaliq, S.; Qayyum, M.F. Nitrogen and Zinc Interaction Improves Yield and Quality of Submerged Basmati Rice (Oryza sativa L.). Not. Bot. Horti Agrobot. Cluj-Napoca 2014, 42, 372–379. [Google Scholar] [CrossRef]
- Zhou, W.; Yan, F.; Chen, Y.; Ren, W. Optimized nitrogen application increases rice yield by improving the quality of tillers. Plant Prod. Sci. 2022, 25, 1–9. [Google Scholar] [CrossRef]
- Sun, Y.; Song, K.; Sun, L.; Qin, Q.; Jiang, T.; Jiang, Q.; Xue, Y. Morpho-physiological and transcriptome analysis provide insights into the effects of zinc application on nitrogen accumulation and metabolism in wheat (Triticum aestivum L.). Plant Physiol. Biochem. 2020, 149, 111–120. [Google Scholar] [CrossRef]
- Ji, C.; Li, J.; Jiang, C.; Zhang, L.; Shi, L.; Xu, F.; Cai, H. Zinc and nitrogen synergistic act on root-to-shoot translocation and preferential distribution in rice. J. Adv. Res. 2021, 35, 187–198. [Google Scholar] [CrossRef]
- Banerjee, P.; Kumari, V.V.; Nath, R.; Bandyopadhyay, P. Seed priming and foliar nutrition studies on relay grass pea after winter rice in lower Gangetic plain. J. Crop Weed 2019, 15, 72–78. [Google Scholar] [CrossRef]
- Hao, H.-L.; Wei, Y.-Z.; Yang, X.-E.; Feng, Y.; Wu, C.-Y. Effects of Different Nitrogen Fertilizer Levels on Fe, Mn, Cu and Zn Concentrations in Shoot and Grain Quality in Rice (Oryza sativa). Rice Sci. 2007, 14, 289–294. [Google Scholar] [CrossRef]
- Kutman, U.B.; Yildiz, B.; Cakmak, I. Effect of nitrogen on uptake, remobilization and partitioning of zinc and iron throughout the development of durum wheat. Plant Soil 2010, 342, 149–164. [Google Scholar] [CrossRef]
- Ngamsuk, S.; Hsu, J.-L.; Huang, T.-C.; Suwannaporn, P. Ultrasonication of Milky Stage Rice Milk with Bioactive Peptides from Rice Bran: Its Bioactivities and Absorption. Food Bioprocess Technol. 2020, 13, 462–474. [Google Scholar] [CrossRef]
- Luthe, D.S. Storage protein accumulation in developing rice (Oryza sativa L.) seeds. Plant Sci. Lett. 1983, 32, 147–158. [Google Scholar] [CrossRef]
- Baloch, N.; Buriro, M.; Jatoi, G.H.; Memon, K.A.; Nahiyoon, S.A.; Hou, P.; Li, S. Effect of Foliar Application of Nitrogen on Growth, Yield and Grain Quality Parameters of Wheat (Triticum aestivum L.). Biocell 2019, 43, 261–267. [Google Scholar]
- Ning, P.; Wang, S.; Fei, P.; Zhang, X.; Dong, J.; Shi, J.; Tian, X. Enhancing Zinc Accumulation and Bioavailability in Wheat Grains by Integrated Zinc and Pesticide Application. Agronomy 2019, 9, 530. [Google Scholar] [CrossRef]
- Ram, H.; Singh, B.; Kaur, M.; Gupta, N.; Kaur, J.; Singh, A. Combined use of foliar zinc fertilisation, thiamethoxam and propiconazole does not reduce their effectiveness for enriching zinc in wheat grains and controlling insects and disease. Crop Pasture Sci. 2022, 73, 427–436. [Google Scholar] [CrossRef]
- Wang, S.; Zhang, X.; Liu, K.; Fei, P.; Chen, J.; Li, X.; Ning, P.; Chen, Y.; Shi, J.; Tian, X. Improving Zinc Concentration and Bioavailability of Wheat Grain through Combined Foliar Applications of Zinc and Pesticides. Agron. J. 2019, 111, 1478–1487. [Google Scholar] [CrossRef]
- Mabesa, R.; Impa, S.; Grewal, D.; Johnson-Beebout, S. Contrasting grain-Zn response of biofortification rice (Oryza sativa L.) breeding lines to foliar Zn application. Field Crop. Res. 2013, 149, 223–233. [Google Scholar] [CrossRef]
- Zhang, J.; Wang, M.; Cao, Y.; Wu, L.; Xu, S. Iron and Zinc Accumulation Trend in a Japonica Rice Grains after Anthesis. Afr. J. Agric. Res. 2012, 7, 1312–1316. [Google Scholar]







| Fertilizer Condition | Zn Concentration (mg kg−1) | N Concentration (g kg−1) | ||
|---|---|---|---|---|
| Flowering Stage | Milky Stage | Flowering Stage | Milky Stage | |
| Nil soil Zn | ||||
| Foliar application | ||||
| N0Zn0 | 7.25 ± 0.5 e | 14.00 ± 1.8 d | 13.71 ± 0.1 a | 14.44 ± 0.3 b |
| N+Zn0 | 11.50 ± 1.0 cd | 16.00 ± 0.9 d | 11.89 ± 0.1 c | 11.70± 0.04 e |
| N0Zn+ | 21.50 ± 0.9 ab | 24.00 ± 1.1 c | 9.87 ± 0.2 e | 10.27 ± 0.3 f |
| N+Zn+ | 21.50 ± 1.9 ab | 28.50 ± 0.5 b | 10.42 ± 0.3 d | 10.35 ± 0.4 f |
| Soil Zn applied | ||||
| Foliar application | ||||
| N0Zn0 | 10.75 ± 1.4 d | 26.00 ± 2.0 bc | 11.31 ± 0.1 c | 12.90 ± 0.03 d |
| N+Zn0 | 14.25 ± 0.9 c | 28.00 ± 1.2 b | 12.74 ± 0.2 b | 12.72± 0.4 d |
| N0Zn+ | 21.00 ± 1.3 b | 29.25 ± 0.5 ab | 12.62 ± 0.3 b | 13.66 ± 0.1 c |
| N+Zn+ | 24.50 ± 0.4 a | 32.75 ± 1.3 a | 12.58 ± 0.1 b | 15.30± 0.2 a |
| F-test | <0.001 | <0.001 | <0.001 | <0.001 |
| LSD 0.05 | 3.37 | 3.68 | 0.60 | 0.75 |
| Fertilizer Condition | Grain Zn Content (mg m−2) | Grain N Content (g m−2) | ||
|---|---|---|---|---|
| Flowering Stage | Milky Stage | Flowering Stage | Milky Stage | |
| Nil soil Zn | ||||
| Foliar application | ||||
| N0Zn0 | 0.81 ± 0.1 e | 1.30 ± 0.2 f | 1.50 ± 0.1 cd | 1.35 ± 0.04 d |
| N+Zn0 | 1.34 ± 0.1 d | 1.91 ± 0.1 e | 1.38 ± 0.1 d | 1.38 ± 0.1 d |
| N0Zn+ | 2.50 ± 0.2 c | 2.32 ± 0.2 e | 1.10 ± 0.03 e | 0.98 ± 0.1 e |
| N+Zn+ | 3.07 ± 0.2 b | 3.67 ± 0.1 d | 1.48 ± 0.04 d | 1.33 ± 0.05 d |
| Soil Zn applied | ||||
| Foliar application | ||||
| N0Zn0 | 1.53 ± 0.2 d | 3.65 ± 0.3 d | 1.63 ± 0.04 c | 1.80 ± 0.05 c |
| N+Zn0 | 2.24 ± 0.1 c | 4.30 ± 0.2 c | 2.00 ± 0.1 a | 1.95 ± 0.1 c |
| N0Zn+ | 3.03 ± 0.1 b | 4.98 ± 0.2 b | 1.83 ± 0.1 b | 2.35 ± 0.1 b |
| N+Zn+ | 3.92 ± 0.1 a | 6.08 ± 0.1 a | 2.00 ± 0.05 a | 2.83 ± 0.01 a |
| F-test | < 0.001 | < 0.001 | < 0.001 | < 0.001 |
| LSD 0.05 | 0.46 | 0.51 | 0.13 | 0.19 |
Publisher’s Note: MDPI stays neutral with regard to jurisdictional claims in published maps and institutional affiliations. |
© 2022 by the authors. Licensee MDPI, Basel, Switzerland. This article is an open access article distributed under the terms and conditions of the Creative Commons Attribution (CC BY) license (https://creativecommons.org/licenses/by/4.0/).
Share and Cite
Tuiwong, P.; Lordkaew, S.; Veeradittakit, J.; Jamjod, S.; Prom-u-thai, C. Efficacy of Nitrogen and Zinc Application at Different Growth Stages on Yield, Grain Zinc, and Nitrogen Concentration in Rice. Agronomy 2022, 12, 2093. https://doi.org/10.3390/agronomy12092093
Tuiwong P, Lordkaew S, Veeradittakit J, Jamjod S, Prom-u-thai C. Efficacy of Nitrogen and Zinc Application at Different Growth Stages on Yield, Grain Zinc, and Nitrogen Concentration in Rice. Agronomy. 2022; 12(9):2093. https://doi.org/10.3390/agronomy12092093
Chicago/Turabian StyleTuiwong, Patcharin, Sithisavet Lordkaew, Jeeraporn Veeradittakit, Sansanee Jamjod, and Chanakan Prom-u-thai. 2022. "Efficacy of Nitrogen and Zinc Application at Different Growth Stages on Yield, Grain Zinc, and Nitrogen Concentration in Rice" Agronomy 12, no. 9: 2093. https://doi.org/10.3390/agronomy12092093
APA StyleTuiwong, P., Lordkaew, S., Veeradittakit, J., Jamjod, S., & Prom-u-thai, C. (2022). Efficacy of Nitrogen and Zinc Application at Different Growth Stages on Yield, Grain Zinc, and Nitrogen Concentration in Rice. Agronomy, 12(9), 2093. https://doi.org/10.3390/agronomy12092093

