Effects of Earthworms and Phosphate-Solubilizing Bacteria on Carbon Sequestration in Soils Amended with Manure and Slurry: A 4-Year Field Study
Abstract
:1. Introduction
2. Materials and Methods
2.1. Site Description
2.2. Materials and Characteristics
2.3. Experimental Design
2.4. Soil Sampling
2.5. Soil Chemical and Microbial Analyses
2.6. Statistical Analysis
3. Results
3.1. Effects of Different Fertilizer Treatments on the Soil Carbon Pool
3.1.1. Changes in SOC Content
3.1.2. WSOC Content in the Soil
3.1.3. HWSOC Content in the Soil
3.1.4. Weak Acid-Extractable SOC (Active Component I) Content
3.1.5. Strong Acid-Extractable SOC (Active Component II) Content
3.1.6. Soil Microbial Biomass Carbon Content
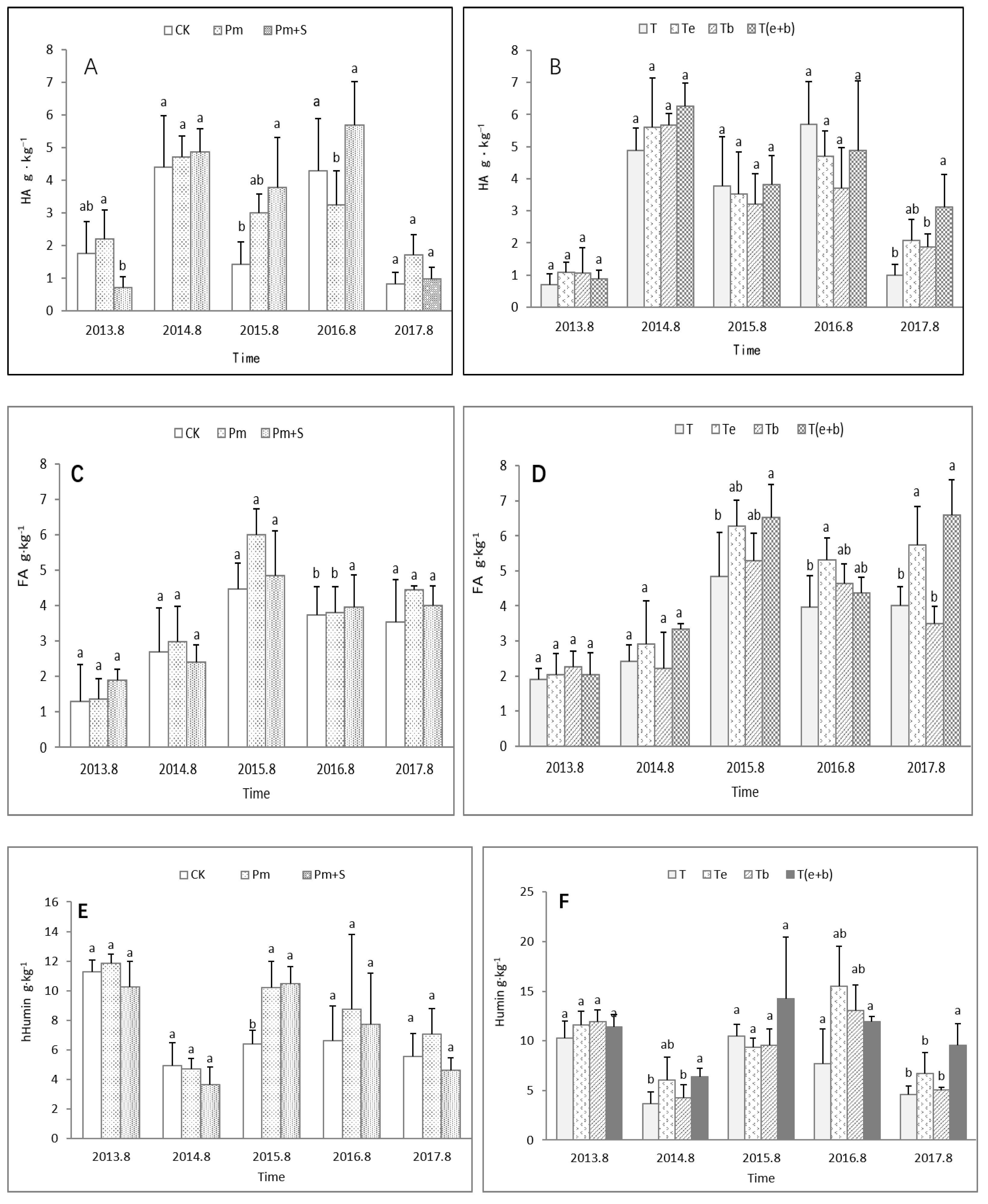
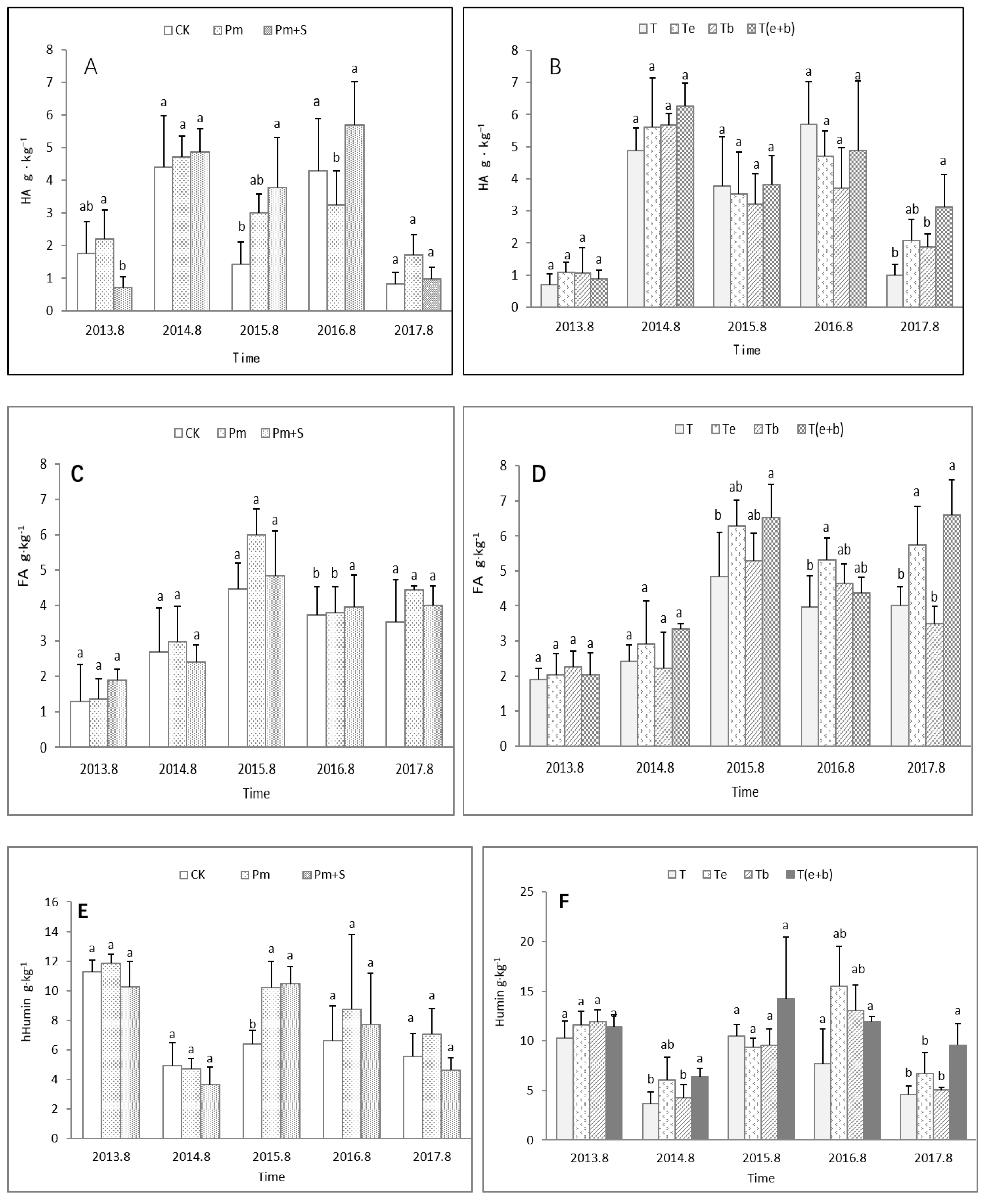
3.2. Variation in Soil Humus Content under Different Treatments
3.3. Principal Component Analysis (PCA) of Soil Chemical and Microbiological Properties
PCA of SOC and Humus Components
3.4. Implication for C Sequestration in the Soil
4. Discussion
5. Conclusions
Author Contributions
Funding
Institutional Review Board Statement
Informed Consent Statement
Data Availability Statement
Conflicts of Interest
References
- Bittman, S.; Forge, T.; Kowalenko, C. Responses of the bacterial and fungal biomass in a grassland soil to multi-year appli-cations of dairy manure slurry and fertilizer. Soil Biol. Biochem. 2005, 37, 613–623. [Google Scholar] [CrossRef]
- Kumar, R.R.; Park, B.J.; Cho, J.Y. Application and environmental risks of livestock manure. J. Korean Soc. Appl. Biol. Chem. 2013, 56, 497–503. [Google Scholar] [CrossRef]
- Zhang, Y.; Wang, L.; Li, W.; Xu, H.; Shi, Y.; Sun, Y.; Cheng, X.; Chen, X.; Li, Y. Earthworms and phosphate-solubilizing bacteria enhance carbon accumulation in manure-amended soils. J. Soils Sediments 2017, 17, 220–228. [Google Scholar] [CrossRef]
- Huang, G.F.; Fang, M.; Wu, Q.T.; Zhou, L.X.; Liao, X.D.; Wong, J.C. Co-composting of pig manure with leaves. Environ. Technol. 2001, 22, 1203–1212. [Google Scholar] [CrossRef]
- Lal, R. Soil carbon sequestration impacts on global climate change and food security. Science 2004, 304, 1623–1627. [Google Scholar] [CrossRef]
- Zhao, Y.; Wang, M.; Hu, S.; Zhang, X.; Ouyang, Z.; Zhang, G.; Huang, B.; Zhao, S.; Wu, J.; Xie, D.; et al. Economics- and policy-driven organic carbon input enhancement dominates soil organic carbon accumulation in Chinese croplands. Proc. Natl. Acad. Sci. USA 2018, 115, 4045–4050. [Google Scholar] [CrossRef]
- Maillard, É.; Angers, D.A. Animal manure application and soil organic carbon stocks: A meta-analysis. Glob. Change Biol. 2014, 20, 666–679. [Google Scholar] [CrossRef]
- Tian, K.; Zhao, Y.; Xu, X.; Hai, N.; Huang, B.; Deng, W. Effects of long-term fertilization and residue management on soil organic carbon changes in paddy soils of China: A meta-analysis. Agric. Ecosyst. Environ. 2015, 204, 40–50. [Google Scholar] [CrossRef]
- Liang, F.; Li, J.; Yang, X.; Huang, S.; Cai, Z.; Gao, H.; Ma, J.; Cui, X.; Xu, M. Three-decade long fertilization-induced soil organic carbon sequestration depends on edaphic characteristics in six typical croplands. Sci. Rep. 2016, 6, 30350. [Google Scholar] [CrossRef]
- Malyan, S.K.; Kumar, S.S.; Fagodiya, R.K.; Ghosh, P.; Kumar, A.; Singh, R.; Singh, L. Biochar for environmental sustainability in the energy-water-agroecosystem nexus. Renew. Sustain. Energy Rev. 2021, 149, 111379. [Google Scholar] [CrossRef]
- Gattinger, A.; Muller, A.; Haeni, M.; Skinner, C.; Fliessbach, A.; Buchmann, N.; Mäder, P.; Stolze, M.; Smith, P.; Scialabba, N.E.; et al. Enhanced top soil carbon stocks under organic farming. Proc. Natl. Acad. Sci. USA 2012, 109, 18226–18231. [Google Scholar] [CrossRef]
- Zhu, Z.K.; Xiao, M.L.; Wei, L.; Wang, S.; Ding, J.N.; Chen, J.P.; Ge, T.D. The key biogeochemical processes of carbon se-questration in paddy soil and its countermeasures for carbon neutralization. China J. Eco-Agric. 2022, 30, 592–602. [Google Scholar]
- Malyan, S.K.; Bhatia, A.; Kumar, A.; Gupta, D.K.; Singh, R.; Kumar, S.S.; Tomer, R.; Kumar, O.; Jain, N. Methane production, oxidation and mitigation: A mechanistic understanding and comprehensive evaluation of influencing factors. Sci. Total Environ. 2016, 572, 874–896. [Google Scholar] [CrossRef]
- Wei, L.; Ge, T.; Zhu, Z.; Luo, Y.; Yang, Y.; Xiao, M.; Yan, Z.; Li, Y.; Wu, J.; Kuzyakov, Y. Comparing carbon and nitrogen stocks in paddy and upland soils: Accumulation, stabilization mechanisms, and environmental drivers. Geoderma 2021, 398, 115121. [Google Scholar] [CrossRef]
- Zhu, Z.; Ge, T.; Liu, S.; Hu, Y.; Ye, R.; Xiao, M.; Tong, C.; Kuzyakov, Y.; Wu, J. Rice rhizodeposits affect organic matter priming in paddy soil: The role of N fertilization and plant growth for enzyme activities, CO2 and CH4 emissions. Soil Biol. Biochem. 2018, 116, 369–377. [Google Scholar] [CrossRef]
- Fontaine, S.; Mariotti, A.; Abbadie, L. The priming effect of organic matter: A question of microbial competition. Soil Biol. Biochem. 2003, 35, 837–843. [Google Scholar] [CrossRef]
- Wan, J.H.C.; Wong, M.H. Effects of earthworm activity and P-solubilizing bacteria on P availability in soil. J. Plant Nutr. Soil Sci. 2004, 167, 209–213. [Google Scholar] [CrossRef]
- Cheng, X.; Zhang, Y.-L.; Li, W.-Y.; Wang, L.-Y.; Zhang, H.-C.; Lu, W.-S.; Chen, X.-Y.; Li, Y.-T.; Xu, H.-J. Earthworms and phosphate-solubilizing bacteria stimulate nitrogen storage and cycling in a manured arid soil. Soil Sci. Soc. Am. J. 2019, 83, 153–162. [Google Scholar] [CrossRef]
- Zsolnay, Á. Dissolved organic matter: Artefacts, definitions, and functions. Geoderma 2003, 113, 187–209. [Google Scholar] [CrossRef]
- Bożena, S.; Aleksandra, U. Dissolved organic matter: Biogeochemistry, dynamics, and environmental significance in soils. Adv. Agron. 2011, 110, 1–75. [Google Scholar]
- Liang, X.; Chen, Q.; Rana, M.S.; Dong, Z.; Liu, X.; Hu, C.; Tan, Q.; Zhao, X.; Sun, X.; Wu, S. Effects of soil amendments on soil fertility and fruit yield through alterations in soil carbon fractions. J. Soils Sediments 2021, 21, 2628–2638. [Google Scholar] [CrossRef]
- Wang, X.G.; Li, C.S.; Luo, Y.; Hua, K.K.; Zhou, M.H. The impact of nitrogen amendment and crop growth on dissolved organic carbon in soil solution. J. Mt. Sci. 2016, 13, 95–103. [Google Scholar] [CrossRef]
- Smreczak, B.; Ukalska-Jaruga, A. Dissolved organic matter in agricultural soils. Soil Sci. Annu. 2021, 72, 132234. [Google Scholar] [CrossRef]
- Lützow, M.V.; Kögel-Knabner, I.; Ekschmitt, K.; Matzner, E.; Guggenberger, G.; Marschner, B.; Flessa, H. Stabilization of organic matter in temperate soils: Mechanisms and their relevance under different soil conditions—A review. Eur. J. Soil Sci. 2006, 57, 426–445. [Google Scholar] [CrossRef]
- Li, Y.T.; Cai, Y.F.; Sun, L.Y.; Wang, Y.J.; Zhao, S.Q.; Kong, D.Y.; Huang, J.; Chen, H. Bacillus subtiis HL-1 and Its Application in Solubilizing. CN102399713A, 22 September 2012. [Google Scholar]
- Cai, Y.F.; Li, Y.T.; Sun, L.Y.; Huang, J.; Kong, D.Y.; Zhao, F.Y. One Bacillus Cereus of Soil Nutrient Activation and Its Application. Patent, 2013. [Google Scholar]
- Rovira, P.; Vallejo, V.R. Labile and recalcitrant pools of carbon and nitrogen in organic matter decomposing at different depths in soil: An acid hydrolysis approach. Geoderma 2002, 107, 109–141. [Google Scholar] [CrossRef]
- Ghani, A.; Dexter, M.; Perrott, K.W. Hot-water extractable carbon in soils: A sensitive measurement for determining impacts of fertilisation, grazing and cultivation. Soil Biol. Biochem. 2003, 35, 1231–1243. [Google Scholar] [CrossRef]
- Bao, S.D. Soil Agrochemical Analysis; China Agriculture Press: Beijing, China, 2000. [Google Scholar]
- Wu, J.; O’Donnell, A.G.; He, Z.L.; Syers, J.K. Fumigation-extraction method for the measurement of soil microbial biomass-S. Soil Biol. Biochem. 1994, 26, 117–125. [Google Scholar] [CrossRef]
- Sun, Y. The effect of Combined Application of Pig Manure and Engineering Organisms on Soil Chemical and Microbial Properties. Ph.D. Dissertation, South China Agricultural University, Guangzhou, China, 2014. [Google Scholar]
- Dong, W.; Zhang, X.; Wang, H.; Dai, X.; Sun, X.; Qiu, W.; Yang, F. Effect of different fertilizer application on the soil fertility of paddy soils in red soil region of southern China. PLoS ONE 2012, 7, e44504. [Google Scholar] [CrossRef]
- Sparling, G.; Vojvodić-Vuković, M.; Schipper, L.A. Hot-water-soluble C as a simple measure of labile soil organic matter: The relationship with microbial biomass C. Soil Biol. Biochem. 1998, 30, 1469–1472. [Google Scholar] [CrossRef]
- Jones, D.; Willett, V. Experimental evaluation of methods to quantify dissolved organic nitrogen (DON) and dissolved or-ganic carbon (DOC) in soil. Soil Biol. Biochem. 2006, 38, 991–999. [Google Scholar] [CrossRef]
- Tian, S.Y.; Wang, M.W.; Cheng, Y.H.; Chen, X.Y.; Liu, M.Q. Long-term effects of chemical and organic amendments on red soil enzyme activities. Acta Ecol. Sin. 2017, 37, 4963–4972. [Google Scholar]
- Wolters, V. Invertebrate control of soil organic matter stability. Biol. Fertil. Soils 2000, 31, 1–19. [Google Scholar] [CrossRef]
- Li, X.; Liu, C.; Zhao, H.; Gao, F.; Ji, G.; Hu, F.; Li, H. Similar positive effects of beneficial bacteria, nematodes and earthworms on soil quality and productivity. Appl. Soil Ecol. 2018, 130, 202–208. [Google Scholar] [CrossRef]
- Rudrappa, L.; Purakayastha, T.J.; Singh, D.; Bhadraray, S. Long-term manuring and fertilization effects on soil organic carbon pools in a Typic Haplustept of semi-arid sub-tropical India. Soil Tillage Res. 2006, 88, 180–192. [Google Scholar] [CrossRef]
- Mandal, B.; Majumder, B.; Bandyopadhyay, P.K.; Hazra, G.C.; Gangopadhyay, A.; Samantaray, R.N.; Mishra, A.K.; Chaudhury, J.; Saha, M.N.; Kundu, S. The potential of cropping systems and soil amendments for carbon sequestration in soils under long-term experiments in subtropical India. Glob. Change Biol. 2007, 13, 357–369. [Google Scholar] [CrossRef]









| pH | SOC (g·kg−1) | TN (g·kg−1) | TP (g·kg−1) | TK (g·kg−1) | AP (mg·kg−1) | AK (mg·kg−1) |
|---|---|---|---|---|---|---|
| 4.56 ± 0.22 | 10.44 ± 0.25 | 0.88 ± 0.03 | 0.29 ± 0.02 | 1.71 ± 0.04 | 21.95 ± 0.51 | 33.67 ± 0.85 |
| Dispose | Pig Manure (kg·Strain −1·Time −1) | Biogas Slurry (L·Strain−1 ·Time −1) | Earthworm (Strain −1·Time−1) | Bacterial Fertilizer (L Strain −1·Time −1) |
|---|---|---|---|---|
| CK | --- | --- | --- | --- |
| Pm | 10 | --- | --- | --- |
| P(m + S)/T | 10 | 15 | --- | --- |
| Te | 10 | 15 | 200 | --- |
| Tb | 10 | 15 | --- | 1 |
| T(e + b) | 10 | 15 | 200 | 1 |
| Amount | CK | Pm | Pm + S | Te | Tb | T(e + b) |
|---|---|---|---|---|---|---|
| C sequestrated | 0.70 | 1.87 | 2.06 | 1.88 | 1.62 | 2.88 |
| C stabilized | 0.37 | 1.15 | 1.28 | 1.18 | 1.01 | 1.87 |
Publisher’s Note: MDPI stays neutral with regard to jurisdictional claims in published maps and institutional affiliations. |
© 2022 by the authors. Licensee MDPI, Basel, Switzerland. This article is an open access article distributed under the terms and conditions of the Creative Commons Attribution (CC BY) license (https://creativecommons.org/licenses/by/4.0/).
Share and Cite
Wang, Z.; An, Y.; Chen, H.; Zhang, J.; Zhang, H.; Zhu, G.; Chen, J.; Li, W.; Wang, J.; Xu, H.-J.; et al. Effects of Earthworms and Phosphate-Solubilizing Bacteria on Carbon Sequestration in Soils Amended with Manure and Slurry: A 4-Year Field Study. Agronomy 2022, 12, 2064. https://doi.org/10.3390/agronomy12092064
Wang Z, An Y, Chen H, Zhang J, Zhang H, Zhu G, Chen J, Li W, Wang J, Xu H-J, et al. Effects of Earthworms and Phosphate-Solubilizing Bacteria on Carbon Sequestration in Soils Amended with Manure and Slurry: A 4-Year Field Study. Agronomy. 2022; 12(9):2064. https://doi.org/10.3390/agronomy12092064
Chicago/Turabian StyleWang, Zhen, Yifang An, Huayi Chen, Jiaxin Zhang, Haichun Zhang, Genfa Zhu, Jinfeng Chen, Wenyan Li, Jinjin Wang, Hui-Juan Xu, and et al. 2022. "Effects of Earthworms and Phosphate-Solubilizing Bacteria on Carbon Sequestration in Soils Amended with Manure and Slurry: A 4-Year Field Study" Agronomy 12, no. 9: 2064. https://doi.org/10.3390/agronomy12092064
APA StyleWang, Z., An, Y., Chen, H., Zhang, J., Zhang, H., Zhu, G., Chen, J., Li, W., Wang, J., Xu, H.-J., Li, Y., & Zhang, Y. (2022). Effects of Earthworms and Phosphate-Solubilizing Bacteria on Carbon Sequestration in Soils Amended with Manure and Slurry: A 4-Year Field Study. Agronomy, 12(9), 2064. https://doi.org/10.3390/agronomy12092064

