Recovery of Grain Yield and Protein with Fertilizer Application Post Nitrogen Stress in Winter Wheat (Triticum aestivum L.)
Abstract
:1. Introduction
1.1. Nitrogen Dynamics in Winter Wheat
1.2. Nitrogen Application Timing
2. Materials and Methods
2.1. Site Description and Treatments
2.2. Determination of the Visual N Deficiency for the Treatment Application
2.3. Grain Yield and Protein
2.4. Data Analysis
3. Results and Discussion
3.1. Timing of Response to Nitrogen
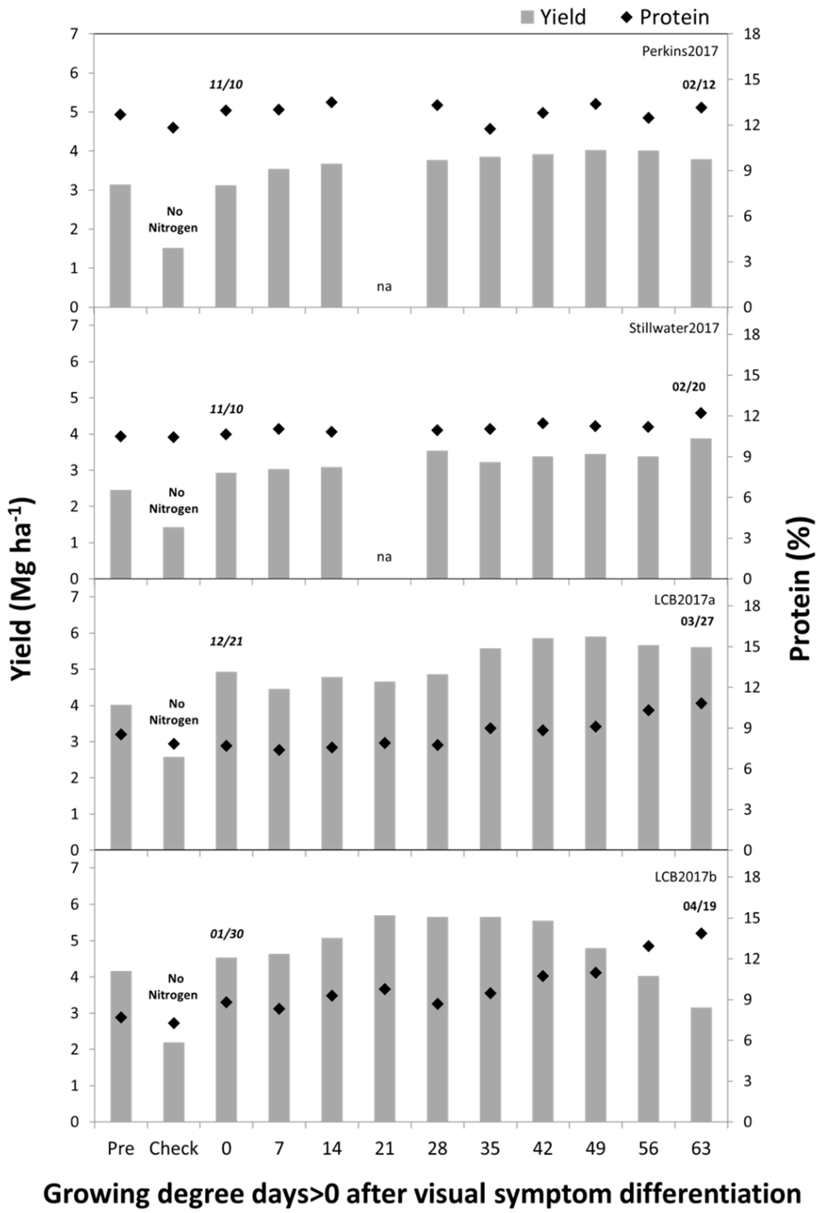
3.2. Grain Yield and Protein Response to Nitrogen
3.3. Impact of Nitrogen Application Timing on Grain Yield
3.4. Impact of Nitrogen Application Timing on Grain Protein Concentration
3.5. Nitrogen Stress Recovery
4. Conclusions
Supplementary Materials
Author Contributions
Funding
Data Availability Statement
Acknowledgments
Conflicts of Interest
References
- FAO. World Food and Agriculture—Statistical Pocketbook 2021; FAO: Rome, Italy, 2021. [Google Scholar]
- Shewry, P.R.; Hey, S.J. The contribution of wheat to human diet and health. Food Energy Secur. 2015, 4, 178–202. [Google Scholar] [CrossRef] [PubMed]
- Fischer, R.; Byerlee, D.; Edmeades, G. Crop yields and global food security. ACIAR Canberra ACT 2014, 12, 8–11. [Google Scholar]
- Grassini, P.; Eskridge, K.M.; Cassman, K.G. Distinguishing between yield advances and yield plateaus in historical crop production trends. Nat. Commun. 2013, 4, 2918. [Google Scholar] [CrossRef] [PubMed]
- Szumigalski, A.R.; Van Acker, R.C. Nitrogen yield and land use efficiency in annual sole crops and intercrops. Agron. J. 2006, 98, 1030–1040. [Google Scholar] [CrossRef]
- Kubar, M.S.; Feng, M.; Sayed, S.; Shar, A.H.; Rind, N.A.; Ullah, H.; Kalhoro, S.A.; Xie, Y.; Yang, C.; Yang, W. Agronomical traits associated with yield and yield components of winter wheat as affected by nitrogen managements. Saudi J. Biol. Sci. 2021, 28, 4852–4858. [Google Scholar] [CrossRef]
- Bell, M.A.; Fischer, R.A.; Byerlee, D.; Sayre, K. Genetic and agronomic contributions to yield gains: A case study for wheat. Field Crops Res. 1995, 44, 55–65. [Google Scholar] [CrossRef]
- USDA-NASS. State Agriculture Overview. Available online: https://www.nass.usda.gov/Quick_Stats/Ag_Overview/stateOverview.php?state=OKLAHOMA (accessed on 30 June 2022).
- Patrignani, A.; Lollato, R.P.; Ochsner, T.E.; Godsey, C.B.; Edwards, J.T. Yield Gap and Production Gap of Rainfed Winter Wheat in the Southern Great Plains. Agron. J. 2014, 106, 1329–1339. [Google Scholar] [CrossRef]
- Salim, N.; Raza, A. Nutrient use efficiency (NUE) for sustainable wheat production: A review. J. Plant Nutr. 2020, 43, 297–315. [Google Scholar] [CrossRef]
- Omara, P.; Aula, L.; Raun, W.R. Nitrogen Uptake Efficiency and Total Soil Nitrogen Accumulation in Long-Term Beef Manure and Inorganic Fertilizer Application. Int. J. Agron. 2019, 2019, 9594369. [Google Scholar] [CrossRef]
- Raun, W.R.; Solie, J.B.; Johnson, G.V.; Stone, M.L.; Mullen, R.W.; Freeman, K.W.; Thomason, W.E.; Lukina, E.V. Improving Nitrogen Use Efficiency in Cereal Grain Production with Optical Sensing and Variable Rate Application Contribution from the Oklahoma Agric. Exp. Stn. Agron. J. 2002, 94, 815–820. [Google Scholar] [CrossRef]
- Aula, L.; Omara, P.; Nambi, E.; Oyebiyi, F.B.; Raun, W.R. Review of Active Optical Sensors for Improving Winter Wheat Nitrogen Use Efficiency. Agronomy 2020, 10, 1157. [Google Scholar] [CrossRef]
- Austin, R.; Ford, M.; Edrich, J.; Blackwell, R. The nitrogen economy of winter wheat. J. Agric. Sci. 1977, 88, 159–167. [Google Scholar] [CrossRef]
- Justes, E.; Mary, B.; Meynard, J.M.; Machet, J.M.; Thelier-Huche, L. Determination of a Critical Nitrogen Dilution Curve for Winter Wheat Crops. Ann. Bot. 1994, 74, 397–407. [Google Scholar] [CrossRef]
- Girma, K.; Holtz, S.; Tubaña, B.; Solie, J.; Raun, W. Nitrogen Accumulation in Shoots as a Function of Growth Stage of Corn and Winter Wheat. J. Plant Nutr. 2010, 34, 165–182. [Google Scholar] [CrossRef]
- De Oliveira Silva, A. Genotype, Environment, and Management Interactions on Grain Yield and Nutrient Uptake Dynamics in Winter Wheat. Ph.D. Thesis, Kansas State University, Manhattan, KS, USA, 2019. [Google Scholar]
- Lollato, R.P.; Edwards, J.T. Maximum Attainable Wheat Yield and Resource-Use Efficiency in the Southern Great Plains. Crop Sci. 2015, 55, 2863–2876. [Google Scholar] [CrossRef]
- Lollato, R.P.; Figueiredo, B.M.; Dhillon, J.S.; Arnall, D.B.; Raun, W.R. Wheat grain yield and grain-nitrogen relationships as affected by N, P, and K fertilization: A synthesis of long-term experiments. Field Crops Res. 2019, 236, 42–57. [Google Scholar] [CrossRef]
- Simmonds, N.W. The relation between yield and protein in cereal grain. J. Sci. Food Agric. 1995, 67, 309–315. [Google Scholar] [CrossRef]
- Bushong, J.T.; Arnall, D.B.; Raun, W.R. Effect of Preplant Irrigation, Nitrogen Fertilizer Application Timing, and Phosphorus and Potassium Fertilization on Winter Wheat Grain Yield and Water Use Efficiency. Int. J. Agron. 2014, 2014, 312416. [Google Scholar] [CrossRef]
- Fowler, D.B.; Brydon, J. No-Till Winter Wheat Production on the Canadian Prairies: Timing of Nitrogen Fertilization. Agron. J. 1989, 81, 817–825. [Google Scholar] [CrossRef]
- López-Bellido, L.; López-Bellido, R.; López-Bellido, F. Fertilizer Nitrogen Efficiency in Durum Wheat under Rainfed Mediterranean Conditions: Effect of Split Application. Agron. J. 2006, 98, 55–62. [Google Scholar] [CrossRef]
- Morris, K.B.; Martin, K.L.; Freeman, K.W.; Teal, R.K.; Girma, K.; Arnall, D.B.; Hodgen, P.J.; Mosali, J.; Raun, W.R.; Solie, J.B. Mid-Season Recovery from Nitrogen Stress in Winter Wheat. J. Plant Nutr. 2006, 29, 727–745. [Google Scholar] [CrossRef]
- Dhillon, J.S.; Raun, W.R. Effect of topdress nitrogen rates applied based on growing degree days on winter wheat grain yield. Agron. J. 2020, 112, 3114–3128. [Google Scholar] [CrossRef]
- Zhang, H.; Arnall, D.B. How to get a good soil sample. Oklahoma State Univ. Ext. Facts PSS-2207. Oklahoma State Univ. Stillwater. 2017. Available online: https://extension.okstate.edu/fact-sheets/how-to-get-a-good-soil-sample.html (accessed on 25 August 2022).
- McLean, E. Soil pH and lime requirement. In Methods of Soil Analysis: Part 2 Chemical and Microbiological Properties; Soil Science Society of America: Madison, WI, USA, 1983; Volume 9, pp. 199–224. [Google Scholar]
- Mehlich, A. Mehlich 3 soil test extractant: A modification of Mehlich 2 extractant. Commun. Soil Sci. Plant Anal. 1984, 15, 1409–1416. [Google Scholar] [CrossRef]
- Zhang, H.; Raun, W.; Arnall, D.B. OSU Soil Test Interpretations; 2017. Oklahoma State Univ. Ext. Facts PSS-2225. Oklahoma State Univ. Stillwater. 2017. Available online: https://extension.okstate.edu/fact-sheets/osu-soil-test-interpretations.html (accessed on 25 August 2022).
- Ernst, J.W.; Massey, H.F. The Effects of Several Factors on Volatilization of Ammonia Formed from Urea in the Soil. Soil Sci. Soc. Am. J. 1960, 24, 87–90. [Google Scholar] [CrossRef]
- Tian, G.; Cao, J.; Cai, Z.; Ren, L. Ammonia volatilization from winter wheat field top-dressed with urea. Pedosphere 1998, 8, 331–336. [Google Scholar]
- Ravier, C.; Meynard, J.-M.; Cohan, J.-P.; Gate, P.; Jeuffroy, M.-H. Early nitrogen deficiencies favor high yield, grain protein content and N use efficiency in wheat. Eur. J. Agron. 2017, 89, 16–24. [Google Scholar] [CrossRef]
- Simón, M.R.; Cordo, C.A.; Perelló, A.; Struik, P. Influence of nitrogen supply on the susceptibility of wheat to Septoria tritici. J. Phytopathol. 2003, 151, 283–289. [Google Scholar] [CrossRef]
- Li, W.-q.; Han, M.-m.; Pang, D.-w.; Jin, C.; Wang, Y.-y.; Dong, H.-h.; Chang, Y.-l.; Min, J.; Luo, Y.-l.; Yong, L. Characteristics of lodging resistance of high-yield winter wheat as affected by nitrogen rate and irrigation managements. J. Integr. Agric. 2022, 21, 1290–1309. [Google Scholar] [CrossRef]
- Nielsen, D.; Halvorson, A. Nitrogen fertility influence on water stress and yield of winter wheat. Agron. J. 1991, 83, 1065–1070. [Google Scholar] [CrossRef]
- Jeuffroy, M.H.; Bouchard, C. Intensity and duration of nitrogen deficiency on wheat grain number. Crop Sci. 1999, 39, 1385–1393. [Google Scholar] [CrossRef]
- Parker, M.L. The relationship between A-type and B-type starch granules in the developing endosperm of wheat. J. Cereal Sci. 1985, 3, 271–278. [Google Scholar] [CrossRef]
- Jaenisch, B.R.; de Oliveira Silva, A.; DeWolf, E.; Ruiz-Diaz, D.A.; Lollato, R.P. Plant population and fungicide economically reduced winter wheat yield gap in Kansas. Agron. J. 2019, 111, 650–665. [Google Scholar] [CrossRef] [Green Version]



| Site–Year | Coordinate | Soil Series and Description | Previous Crop | Planting Date | Cultivar | Total Rainfall (mm) |
|---|---|---|---|---|---|---|
| Perkins2017 | 35°59′43.9″ N 97°02′35.9″ W | Teller; (fine-loamy, mixed, active, thermic Udic Agriustoll) | Wheat | 13 October 2016 | Bentley | 997 |
| Stillwater2017 | 36°08′12.9″ N 97°04′48.2″ W | Kirkland; (Fine, mixed, superactive, thermic Udertic Paleustolls) | Wheat | 13 October 2016 | Bentley | 1003 |
| LCB2017a | 36°08′27.1″ N 97°17′05.1″ W | Port; (Fine-silty, mixed, superactive, thermic Cumulic Haplustolls) | Canola | 12 October 2017 | Doublestop CL Plus | 896 |
| LCB2017b | 36°08′24.7″ N 97°17′00.2″ W | Pulaski; (Coarse-loamy, mixed, superactive, nonacid, thermic Udic Ustifluvents) | Wheat | 12 October 2017 | Doublestop CL Plus | 896 |
| Perkins2018 | 35°59′44.7″ N 97°02′38.9″ W | Konawa; (fine-loamy, mixed, active, thermic Ultic Haplustalf). Teller; (fine-loamy, mixed, active, thermic Udic Agriustoll) | Wheat | 12 October 2017 | Doublestop CL Plus | 817 |
| Lahoma2018 | 36°23′14.4″ N 98°06′30.9″ W | Grant; (Fine-silty, mixed, superactive, thermic Udic Argiustolls) | Wheat | 12 October 2017 | Bentley | 1222 |
| LCB2018a | 36°08′24.7″ N 97°17′02.9″ W | Pulaski; (Coarse-loamy, mixed, superactive, nonacid, thermic Udic Ustifluvents) | Wheat | 11 October 2017 | Doublestop CL Plus | 937 |
| LCB2018b | 36°08′22.4″ N 97°17′00.8″ W | Pulaski; (Coarse-loamy, mixed, superactive, nonacid, thermic Udic Ustifluvents | Fallow | 11 October 2017 | Doublestop CL Plus | 937 |
| Newkirk2019 | 36°47′45.1″ N 96°59′48.7″ W | Agra-Foraker (Fine, mixed, superactive, thermic Udertic Paleustolls) | Alfalfa | 24 October 2018 | Bentley | 1390 |
| LCB2019 | 36°08′23.6″ N 97°16′59.9″ W | Pulaski; (Coarse-loamy, mixed, superactive, nonacid, thermic Udic Ustifluvents) | Wheat | 7 November 2018 | Doublestop CL Plus | 1368 |
| Newkirk2020 | 36°47′43.5″ N 96°59′49.0″ W | Agra-Foraker (Fine, mixed, superactive, thermic Udertic Paleustolls) | Wheat | 18 October 2019 | SY Monument | 892 |
| LCB2020 | 36°08′25.0″ N 97°17′00.0″ W | Pulaski; (Coarse-loamy, mixed, superactive, nonacid, thermic Udic Ustifluvents) | Wheat | 15 October 2019 | Doublestop CL Plus | 861 |
| Location/Year | pH | NO3─N | P | K |
|---|---|---|---|---|
| mg kg−1 | ||||
| Perkins2017 | 5.6 | 15.5 | 18 | 96.5 |
| Stillwater2017 | 6.1 | 15.5 | 5 | 54 |
| LCB2017a | 5.9 | 15.5 | 12 | 62 |
| LCB2017b | 5.7 | 10.5 | 14 | 49.5 |
| Perkins2018 | 5.6 | 13 | 12.5 | 71.5 |
| Lahoma2018 | 5.6 | 10.5 | 25 | 139 |
| LCB2018a | 5.8 | 2.5 | 10.5 | 45.5 |
| LCB2018b | 6.2 | 8.5 | 16.5 | 75.5 |
| Newkirk2019 | 7.1 | 8 | 24 | 107 |
| LCB2019 | 5.3 | 14.5 | 110 | 373 |
| Newkirk2020 | 7.7 | 12 | 56 | 482 |
| LCB2020 | 6.3 | 38 | 98 | 494 |
| Treatment | Fertilizer Timing | Nitrogen Rate (kg ha−1) |
|---|---|---|
| 1 | Pre-plant | 100 |
| 2 | Check | 0 |
| 3 | 0 DAVD | 100 |
| 4 | 7 DAVD | 100 |
| 5 | 14 DAVD | 100 |
| 6 | 21 DAVD | 100 |
| 7 | 28 DAVD | 100 |
| 8 | 35 DAVD | 100 |
| 9 | 42 DAVD | 100 |
| 10 | 49 DAVD | 100 |
| 11 | 56 DAVD | 100 |
| 12 | 63 DAVD | 100 |
| Location | Mean Pre-Plant | Mean Check | Mean Difference | Prob > F |
|---|---|---|---|---|
| Perkins2017 | 0.56 | 0.44 | 0.12 | 0.05 |
| Stillwater2017 | 0.61 | 0.48 | 0.13 | 0.09 |
| LCB2017a | 0.61 | 0.55 | 0.07 | 0.01 |
| LCB2017b | 0.39 | 0.33 | 0.05 | 0.16 |
| Perkins2018 | 0.64 | 0.54 | 0.10 | 0.09 |
| Lahoma2018 | 0.47 | 0.46 | 0.01 | 0.79 |
| LCB2018a | 0.35 | 0.31 | 0.05 | 0.14 |
| LCB2018b | 0.32 | 0.31 | 0.01 | 0.59 |
| Newkirk2019 | 0.30 | 0.29 | 0.02 | 0.05 |
| LCB2019 | 0.35 | 0.24 | 0.11 | 0.09 |
| Newkirk2020 | 0.45 | 0.39 | 0.06 | 0.09 |
| LCB2020 | 0.49 | 0.42 | 0.06 | 0.12 |
Publisher’s Note: MDPI stays neutral with regard to jurisdictional claims in published maps and institutional affiliations. |
© 2022 by the authors. Licensee MDPI, Basel, Switzerland. This article is an open access article distributed under the terms and conditions of the Creative Commons Attribution (CC BY) license (https://creativecommons.org/licenses/by/4.0/).
Share and Cite
Souza, J.L.B.; Antonangelo, J.A.; de Oliveira Silva, A.; Reed, V.; Arnall, B. Recovery of Grain Yield and Protein with Fertilizer Application Post Nitrogen Stress in Winter Wheat (Triticum aestivum L.). Agronomy 2022, 12, 2024. https://doi.org/10.3390/agronomy12092024
Souza JLB, Antonangelo JA, de Oliveira Silva A, Reed V, Arnall B. Recovery of Grain Yield and Protein with Fertilizer Application Post Nitrogen Stress in Winter Wheat (Triticum aestivum L.). Agronomy. 2022; 12(9):2024. https://doi.org/10.3390/agronomy12092024
Chicago/Turabian StyleSouza, Joao Luis Bigatao, Joao Arthur Antonangelo, Amanda de Oliveira Silva, Vaughn Reed, and Brian Arnall. 2022. "Recovery of Grain Yield and Protein with Fertilizer Application Post Nitrogen Stress in Winter Wheat (Triticum aestivum L.)" Agronomy 12, no. 9: 2024. https://doi.org/10.3390/agronomy12092024
APA StyleSouza, J. L. B., Antonangelo, J. A., de Oliveira Silva, A., Reed, V., & Arnall, B. (2022). Recovery of Grain Yield and Protein with Fertilizer Application Post Nitrogen Stress in Winter Wheat (Triticum aestivum L.). Agronomy, 12(9), 2024. https://doi.org/10.3390/agronomy12092024

