Pyrolysis Temperature Affects Dissolved Phosphorus and Carbon Levels in Alkali-Enhanced Biochar and Its Soil Applications
Abstract
:1. Introduction
2. Materials and Methods
2.1. Alkali-Enhanced Biochar Preparation
2.2. Biochar Characterization
2.3. Biochar and Soil Water Soluble P and C
2.4. Rice Greenhouse Study
2.5. Statistical Analysis
3. Results and Discussion
3.1. Characteristic of Alkali-Enhanced Biochars at Different Preparation Temperatures
3.2. Water Soluble P Content of Alkali-Enhanced Biochar at Different Preparation Temperatures
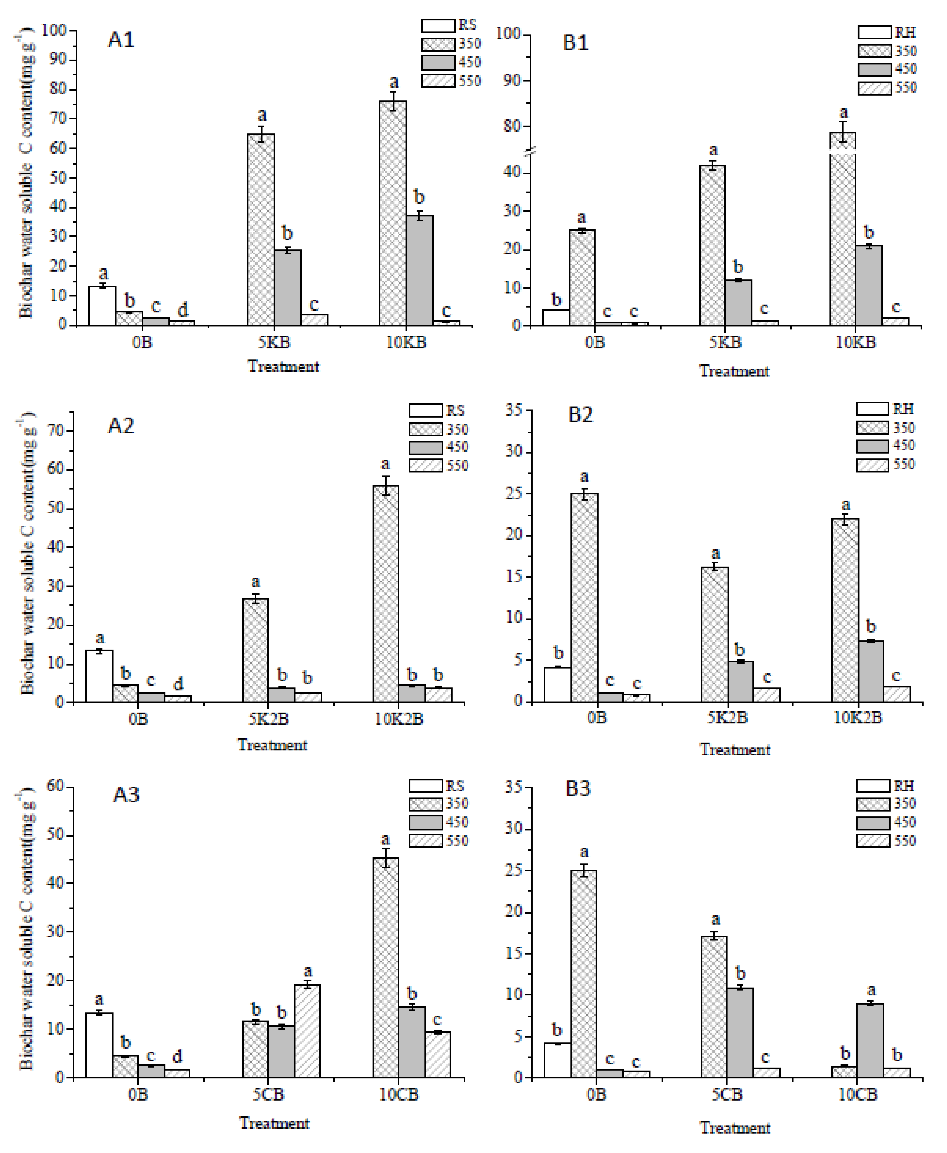
3.3. Water Soluble C Content of Alkali-Enhanced Biochar at Different Preparation Temperatures
3.4. Effect of Alkali-Enhanced Biochar Amendment on Water-Soluble P in Acid Soil
3.5. Effect of Alkali-Enhanced Biochar Amendment on Water-Soluble C in Acid Soil
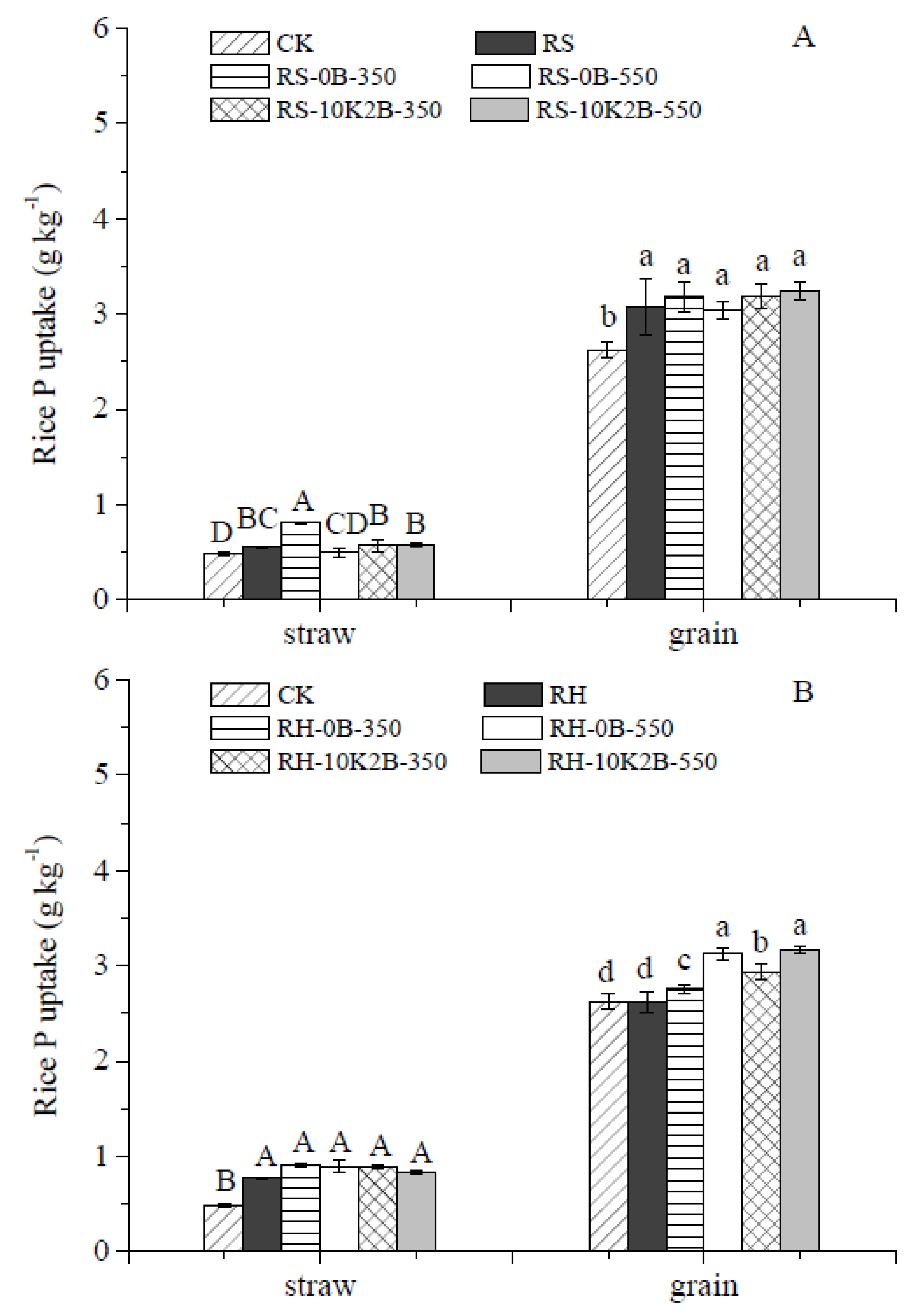
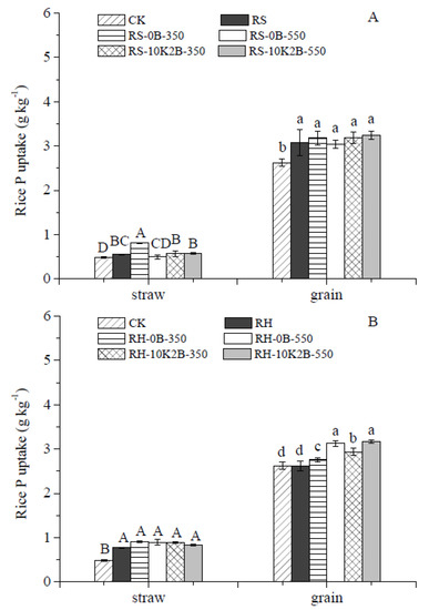
3.6. Effect of Alkali-Enhanced Biochar Application on Plant P and K Uptake
4. Conclusions
Supplementary Materials
Author Contributions
Funding
Institutional Review Board Statement
Informed Consent Statement
Data Availability Statement
Conflicts of Interest
References
- Zhu, J.; Li, M.; Whelan, M. Phosphorus activators contribute to legacy phosphorus availability in agricultural soils: A review. Sci. Total Environ. 2018, 612, 522–537. [Google Scholar] [CrossRef]
- Lynch, J.P. Root phenes for enhanced soil exploration and phosphorus acquisition: Tools for future crops. Plant Physiol. 2011, 56, 1041–1049. [Google Scholar] [CrossRef]
- Zhang, H.; Chen, C.; Gary, E.M.; Boyd, S.E.; Yang, H.; Zhang, D. Roles of biochar in improving phosphorus availability in soils: A phosphate adsorbent and a source of available phosphorus. Geoderma 2016, 276, 1–6. [Google Scholar] [CrossRef]
- Smil, V. Phosphorus in the environment: Natural flows and human interferences. Annu. Rev. Energy 2000, 25, 53–88. [Google Scholar] [CrossRef]
- Van Kauwenbergh, S.J. World phosphate rock reserves and resources. In Proceedings of the Fertilizer Outlook and Technology Conference, Imaging and Image Processing, Savannah, GA, USA, 16–18 November 2010. [Google Scholar]
- Agostinho, F.B. Evaluation of Absorption and Uptake of Soil- and Foliar-Applied Silicon in Rice and Its Accumulation under Different Phosphorus Rate. Master’s Thesis, Louisiana State University, Baton Rouge, LA, USA, 2016. [Google Scholar]
- Walan, P.; Davidsson, S.; Johansson, S.; Höök, M. Phosphate rock production and depletion: Regional disaggregated modeling and global implications. Resour. Conserv. Recycl. 2014, 93, 178–187. [Google Scholar] [CrossRef]
- Xu, M.; Gao, P.; Yang, Z.; Su, L.; Wu, J.; Yang, G.; Zhang, X.; Ma, J.; Peng, H.; Xiao, Y. Biochar impacts on phosphorus cycling in rice ecosystem. Chemosphere 2019, 225, 311–319. [Google Scholar] [CrossRef] [PubMed]
- Glaser, B.; Lehr, V.I. Biochar effects on phosphorus availability in agricultural soils: A meta-analysis. Sci. Rep. 2019, 9, 9338. [Google Scholar] [CrossRef]
- Ducey, T.; Bauer, P.; Sigua, G.; Hunt, P.G.; Miller, J.O.; Cantrell, K.B. Manure-Derived Biochars for Use as a Phosphorus Fertilizer in Cotton Production. J. Cotton Sci. 2017, 21, 259–264. [Google Scholar]
- Siebers, N.; Leinweber, P. Bone char: A clean and renewable phosphorus fertilizer with cadmium immobilization capability. J. Environ. Qual. 2013, 42, 405–411. [Google Scholar] [CrossRef]
- Ghodszad, L.; Reyhanitabar, A.; Maghsoodi, M.R.; Lajayer, B.A.; Chang, S.X. Biochar affects the fate of phosphorus in soil and water: A critical review. Chemosphere 2021, 283, 131176. [Google Scholar] [CrossRef]
- Ama, G. Phosphorus fertilizing Potential of Biochar derived from agricultural residues: A review. J. Environ. Res. 2021, 5, 1–5. [Google Scholar]
- Dai, L.; Li, H.; Tan, F.; Zhu, N.; He, M.; Hu, G. Biochar: A potential route for recycling of phosphorus in agricultural residues. Bioenergy 2016, 8, 852–858. [Google Scholar] [CrossRef]
- Schneider, F.; Haderlein, S.B. Potential effects of biochar on the availability of phosphorus -mechanistic insights. Geoderma 2016, 277, 83–90. [Google Scholar] [CrossRef]
- Xu, G.; Zhang, Y.; Shao, H.; Sun, J. Pyrolysis temperature affects phosphorus transformation in biochar: Chemical fractionation and 31P NMR analysis. Sci. Total Environ. 2016, 569–570, 65–72. [Google Scholar] [CrossRef] [PubMed]
- Yang, C.; Lu, S. Pyrolysis temperature affects phosphorus availability of rice straw and canola stalk biochars and biochar-amended soils. J Soils Sediments 2021, 21, 2817–2830. [Google Scholar] [CrossRef]
- Wang, M.; Wang, J.J.; Wang, X. Effect of KOH-enhanced biochar on increasing soil plant-available silicon. Geoderma 2018, 321, 22–31. [Google Scholar] [CrossRef]
- Wang, M.; Wang, J.J.; Tafti, N.D.; Hollier, C.A.; Myers, G.; Wang, X. Effect of alkali-enhanced biochar on silicon uptake and suppression of gray leaf spot development in perennial ryegrass. Crop Prot. 2019, 119, 9–16. [Google Scholar] [CrossRef]
- Steiner, C.; Garcia, M.; Zech, W. Effects of charcoal as slow release nutrient carrier on N-P-K dynamics and soil microbial population: Pot experiments with ferralsol substrate. In Amazonian Dark Earths: Wim Sombroek’s Vision; Woods, W.I., Teixeira, W.G., Lehmann, J., Steiner, C., WinklerPrins, A., Rebellato, L., Eds.; Springer: Dordrecht, The Netherland, 2009; pp. 325–338. [Google Scholar]
- Lin, Y.; Munroe, P.; Joseph, S.; Henderson, R.; Ziolkowski, A. Water extractable organic carbon in untreated and chemical treated biochars. Chemosphere 2012, 87, 151–157. [Google Scholar] [CrossRef]
- Rostad, C.E.; Rutherford, D.W.; Wershaw, R.L. Effects of formation conditions of biochar on water extracts. In Proceedings of the GSA Denver Annual Meeting, Imaging and Image Processing, Denver, CO, USA, 31 October 2010. [Google Scholar]
- Eduah, O.; Nartey, K.; Abekoe, K.; Breuning-Madsen, H.; Andersen, N. Phosphorus retention and availability in three contrasting soils amended with rice husk and corn cob biochar at varying pyrolysis temperatures. Geoderma 2019, 341, 10–17. [Google Scholar] [CrossRef]
- Turner, B.L.; Cade-Menun, B.J.; Condron, L.M.; Newman, S. Extraction of soil organic phosphorus. Talanta 2005, 66, 294–306. [Google Scholar] [CrossRef]
- Ohno, T.; Hess, N.J.; Oafoku, N.P. Current understanding of the use of alkaline extractions of soils to investigate soil organic matter and environmental processes. J. Environ. Qual. 2019, 48, 1561–1564. [Google Scholar] [CrossRef]
- Wang, M.; Tafti, N.D.; Wang, J.J.; Wang, X. Effect of pyrolysis temperature on Si release of alkali-enhanced Si-rich biochar and plant response. Biochar 2021, 3, 469–484. [Google Scholar] [CrossRef]
- Van Zwieten, L.; Kimber, S.; Morris, S.; Chan, K.; Downie, A.; Rust, J.; Joseph, S.; Cowie, A. Effects of biochar from slow pyrolysis of papermill waste on agronomic performance and soil fertility. Plant Soil 2010, 327, 235–246. [Google Scholar] [CrossRef]
- Novak, J.M.; Busscher, W.J.; Laird, D.L.; Ahmedna, M.; Watts, D.W.; Niandou, M.A. Impact of biochar amendment on fertility of a southeastern coastal plain soil. Soil Sci. 2009, 174, 105–112. [Google Scholar] [CrossRef]
- Yuan, J.H.; Xu, R.K.; Zhang, H. The form of alkalis in the biochar produced from crop residues at different temperatures. Bioresour. Technol. 2011, 102, 3488–3497. [Google Scholar] [CrossRef]
- Ahmad, M.; Lee, S.S.; Dou, X.; Mohan, D.; Sung, J.; Yang, J.E. Effects of pyrolysis temperature on soybean stover- and peanut shell-derived biochar properties and TCE adsorption in water. Bioresour. Technol. 2012, 118, 536–544. [Google Scholar] [CrossRef]
- Kim, K.H.; Kim, J.; Cho, T.; Choi, J.W. Influence of pyrolysis temperature on physicochemical properties of biochar obtained from the fast pyrolysis of pitch pine (Pinusrigida). Bioresour. Technol. 2012, 118, 158–162. [Google Scholar] [CrossRef] [PubMed]
- Nwajiaku, I.M.; Olanrewaju, J.S.; Sato, K.; Tokunari, T.; Kitano, S.; Masunaga, T. Change in nutrient composition of biochar from rice husk and sugarcane bagasse at varying pyrolytic temperatures. Int. J. Recycl. Org. Waste Agricult. 2018, 7, 269–276. [Google Scholar] [CrossRef]
- Knoepp, J.D.; DeBano, L.F.; Neary, D.G. Soil chemistry. In Wild Land Firein Ecosystems: Efects of Fire on Soils and Water; Neary, D.G., Ryan, K.C., DeBano, L.F., Eds.; Department of Agriculture, Forest Service, Rocky Mountain Research Station: Ogden, UT, USA, 2005; Volume 4, pp. 53–71. [Google Scholar]
- Ippolito, J.A.; Spokas, K.A.; Novak, J.M.; Lentz, R.D.; Cantrell, K.B. Biochar elemental composition and factors influencing nutrient retention. In Biochar for Environmental Management: Science, Technology and Implementation; Lehmann, J., Joseph, S., Eds.; Taylor and Francis: London, UK, 2015; pp. 139–163. [Google Scholar]
- Zornoza, R.; Moreno-Barriga, F.; Acosta, J.A.; Munoz, M.A.; Faz, A. Stability, nutrient availability and hydrophobicity of biochars derived from manure, crop residues, and municipal solid waste for their use as soil amendments. Chemosphere 2016, 144, 122–130. [Google Scholar] [CrossRef]
- Christel, W.; Bruun, S.; Magid, J.; Jensen, L.S. Phosphorus availability from the solid fraction of pig slurry is altered by composting or thermal treatment. Bioresour. Technol. 2014, 169, 543–551. [Google Scholar] [CrossRef]
- Mukherjee, A.; Zimmerman, A.R. Organic carbon and nutrient release from a range of laboratory-produced biochars and biocharesoil mixtures. Geoderma 2013, 193, 122–130. [Google Scholar] [CrossRef]
- Thygesen, A.; Wernberg, O.; Skou, E.; Sommer, S.G. Effect of incineration temperature on phosphorus availability in bio-ash from manure. Environ. Technol. 2011, 32, 633–638. [Google Scholar] [CrossRef] [PubMed]
- Wang, Y.; Lin, Y.; Chiu, P.C.; Imhoff, P.T.; Guo, M. Phosphorus release behaviors of poultry litter biochar as a soil amendment. Sci. Total Environ. 2015, 512–513, 454–463. [Google Scholar] [CrossRef] [PubMed]
- Xiao, X.; Chen, B.; Zhu, L. Transformation, morphology, and dissolution of silicon and carbon in rice straw-derived biochars under different pyrolytic temperatures. Environ. Sci. Technol. 2014, 48, 3411–3419. [Google Scholar] [CrossRef] [PubMed]
- Zahra, K.; Majid, A.; Mohammad, R.M. Effect of pyrolysis temperature on chemical and physical properties of sewage sludge biochar. Waste Manag. Res. 2015, 33, 275–283. [Google Scholar] [CrossRef]
- Worasuwannarak, N.; Sonobe, T.; Tanthapanichakoon, W. Pyrolysis behaviors of rice straw, rice husk, and corncob by TG-MS technique. J. Anal. Appl. Pyrolysis 2007, 78, 265–271. [Google Scholar] [CrossRef]
- Jeong, C.Y.; Dodla, S.K.; Wang, J.J. Fundamental and molecular composition characteristics of biochars produced from sugarcane and rice crop residues and byproducts. Chemosphere 2016, 142, 4–13. [Google Scholar] [CrossRef]
- Yamato, M.; Okimoir, Y.; Wibowo, I.F.; Anshori, S.; Ogawa, M. Effects of the application of charred bark of Acacia mangium on the yield of maize, cowpea and peanut, and soil chemical properties in South Sumatra, Indonesia. Soil Sci. Plant Nutr. 2006, 52, 489–495. [Google Scholar] [CrossRef]
- Asai, H.; SaMon, B.K.; Stephan, H.M.; Songyikhangsuthor, K.; Homma, K.; Kiyono, Y.; Inoue, Y.; Shiraiwa, T.; Horie, T. Biochar amendment techniques for upland rice production in Northern Laos: 1. Soil physical properties, leaf SPAD and grain yield. Field Crop. Res. 2009, 111, 81–84. [Google Scholar] [CrossRef]
- Kostic, L.; Nikolic, N.; Bosnic, D.; Samardzic, J.; Nikolic, M. Silicon increases phosphorus (P) uptake by wheat under low P acid soil conditions. Plant Soil 2017, 419, 447–455. [Google Scholar] [CrossRef]
- Steinbeiss, S.; Gleixner, G.; Antonietti, M. Effect of biochar amendment on soil carbon balance and soil microbial activity. Soil Biol. Biochem. 2009, 41, 1301–1310. [Google Scholar] [CrossRef]
- Topoliantz, S.; Ponge, J.F.; Ballof, S. Manioc peel and charcoal: A potential organic amendment for sustainable soil fertility in the tropics. Biol. Fertil. Soils 2005, 41, 5–21. [Google Scholar] [CrossRef]
- Brown, T.H.; Mahler, R.L. Effects of phosphorus and acidity on levels of silica extracted from a Palouse silt loam. Soil Sci. Soc. Am. J. 1987, 51, 674–677. [Google Scholar] [CrossRef]
- Hennion, M.C. Graphitized carbons for solid-phase extraction. J. Chromatogr. A 2000, 885, 73–95. [Google Scholar] [CrossRef]
- Marshall, C.J.; Kenna, M.P. Chapter 5-Lawn and turf: Management and environmental issues of turfgrass pesticides. In Handbook of Pesticide Toxicology, 2nd ed.; Robert, I.K., William, C.K., Eds.; Academic Press: San Diego, CA, USA, 2001; pp. 203–241. [Google Scholar]
- Peterson, M.E.; Curtin, D.; Thomas, S.; Clough, T.J.; Meenken, E.D. Denitrification in vadose zone material amended with dissolved organic matter from topsoil and subsoil. Soil Biol. Biochem. 2013, 61, 96–104. [Google Scholar] [CrossRef]
- Ameloot, N.; De Neve, S.; Jegajeevagan, K.; Yildiz, G.; Buchan, D.; Funkuin, Y.N.; Prins, W.; Bouckaert, L.; Sleutel, S. Short-term CO2 and N2O emissions and microbial properties of biochar amended sandy loam soils. Soil Biol. Biochem. 2013, 57, 401–410. [Google Scholar] [CrossRef]
- Steiner, C.; Teixeira, W.G.; Lehmann, J.; Nehls, T.; Macêdo, J.; Blum, W.; Zech, W. Long term effects of manure, charcoal and mineral fertilization on crop production and fertility on a highly weathered Central Amazonian upland soil. Plant Soil 2007, 291, 275–290. [Google Scholar] [CrossRef]
- Wit, H.A.D.; Groseth, T.; Mulder, J. Predicting aluminum and soil organic matter solubility usin the mechanistic equilibrium model WHAM. Soil Sci. Soc. Am. J. 2001, 65, 1089–1100. [Google Scholar] [CrossRef]
- Dodla, S.K.; Wang, J.J.; DeLaune, R.D. Characterization of labile organic carbon in coastal wetland soils of the Mississippi River deltaic plain: Relationships to carbon functionalities. Sci. Total Environ. 2012, 435–436, 151–158. [Google Scholar] [CrossRef] [PubMed]
- Franzluebbers, A.J.; Haney, R.L.; Honeycutt, C.W.; Schomberg, H.H.; Hons, F.M. Flush of Carbon Dioxide Following Rewetting of Dried Soil Relates to Active Organic Pools. Soil Sci. Soc. Am. J. 2000, 64, 613–623. [Google Scholar] [CrossRef]
- Shen, Q.; Hedley, M.; Camps Arbestain, M.; Kirschbaum, M.U.F. Can biochar increase the bioavailability of phosphorus? J. Soil Sci. Plant Nutr. 2016, 16, 268–286. [Google Scholar] [CrossRef]
- Zheng, R.; Chen, Z.; Cai, C.; Wang, X.; Huang, Y.; Xiao, B.; Sun, G. Effect of biochars from rice husk, bran and straw on heavy metal uptake by pot-grown wheat seedling in a historically contaminated soil. Bioresources 2012, 8, 5965–5982. [Google Scholar] [CrossRef]
- Liu, M.; Che, Y.; Wang, L.; Zhao, Z.; Zhang, Y.; Wei, L.; Xiao, Y. Rice straw biochar and phosphorus inputs have more positive effects on the yield and nutrient uptake of Lolium multiflorum than arbuscular mycorrhizal fungi in acidic Cd-contaminated soils. Chemosphere 2019, 235, 32–39. [Google Scholar] [CrossRef] [PubMed]
- Xu, Z.; Lai, T.; Li, S.; Si, D.; Zhang, C.; Cui, Z.; Chen, X. Promoting potassium allocation to stalk enhances stalk bending resistance of maize (Zea mays L.). Field Crop Res. 2018, 215, 200–206. [Google Scholar] [CrossRef]
- Zhang, T.; He, X.; Chen, B.; He, L.; Tang, X. Effects of Different Potassium (K) Fertilizer Rates on Yield Formation and Lodging of Rice. Phyton 2021, 90, 815–826. [Google Scholar] [CrossRef]






| Soil Type | Indicators | Correlation Coefficient |
|---|---|---|
| Si(X) | ||
| Commerce silt loam soil | P(Y) | Y = 0.1382X − 4.7082 R2 = 0.6284 ** |
| C(Y) | Y = 1.5712X + 170.1 R2 = 0.3399 ** | |
| Briley silt loam soil | P(Y) C(Y) | Y = 0.5277X + 12.039 R2 = 0.4487 ** Y = 4.7794X + 243.76 R2 = 0.4049 ** |
| Indicators | Correlation Coefficient |
|---|---|
| Si(X) | |
| P(Y) | Y = 0.3022X + 5.4358 R2 = 0.1576 ** |
| C(Y) | Y = 2.9806X + 216.59 R2 = 0.201 ** |
Publisher’s Note: MDPI stays neutral with regard to jurisdictional claims in published maps and institutional affiliations. |
© 2022 by the authors. Licensee MDPI, Basel, Switzerland. This article is an open access article distributed under the terms and conditions of the Creative Commons Attribution (CC BY) license (https://creativecommons.org/licenses/by/4.0/).
Share and Cite
Wang, M.; Wang, J.J.; Park, J.-H.; Wang, J.; Wang, X.; Zhao, Z.; Song, F.; Tang, B. Pyrolysis Temperature Affects Dissolved Phosphorus and Carbon Levels in Alkali-Enhanced Biochar and Its Soil Applications. Agronomy 2022, 12, 1923. https://doi.org/10.3390/agronomy12081923
Wang M, Wang JJ, Park J-H, Wang J, Wang X, Zhao Z, Song F, Tang B. Pyrolysis Temperature Affects Dissolved Phosphorus and Carbon Levels in Alkali-Enhanced Biochar and Its Soil Applications. Agronomy. 2022; 12(8):1923. https://doi.org/10.3390/agronomy12081923
Chicago/Turabian StyleWang, Meng, Jim J. Wang, Jong-Hwan Park, Jian Wang, Xudong Wang, Zuoping Zhao, Fengmin Song, and Bo Tang. 2022. "Pyrolysis Temperature Affects Dissolved Phosphorus and Carbon Levels in Alkali-Enhanced Biochar and Its Soil Applications" Agronomy 12, no. 8: 1923. https://doi.org/10.3390/agronomy12081923
APA StyleWang, M., Wang, J. J., Park, J.-H., Wang, J., Wang, X., Zhao, Z., Song, F., & Tang, B. (2022). Pyrolysis Temperature Affects Dissolved Phosphorus and Carbon Levels in Alkali-Enhanced Biochar and Its Soil Applications. Agronomy, 12(8), 1923. https://doi.org/10.3390/agronomy12081923
