Crop Cultivation Underneath Agro-Photovoltaic Systems and Its Effects on Crop Growth, Yield, and Photosynthetic Efficiency
Abstract
:1. Introduction
2. Materials and Methods
2.1. APV Research Facilities
2.2. Growth and Cultivation Conditions under APV
2.3. SPAD Value and Photosynthetic Efficiency
2.4. Meteorological Parameters
2.5. Statistical Analysis
3. Results and Discussion
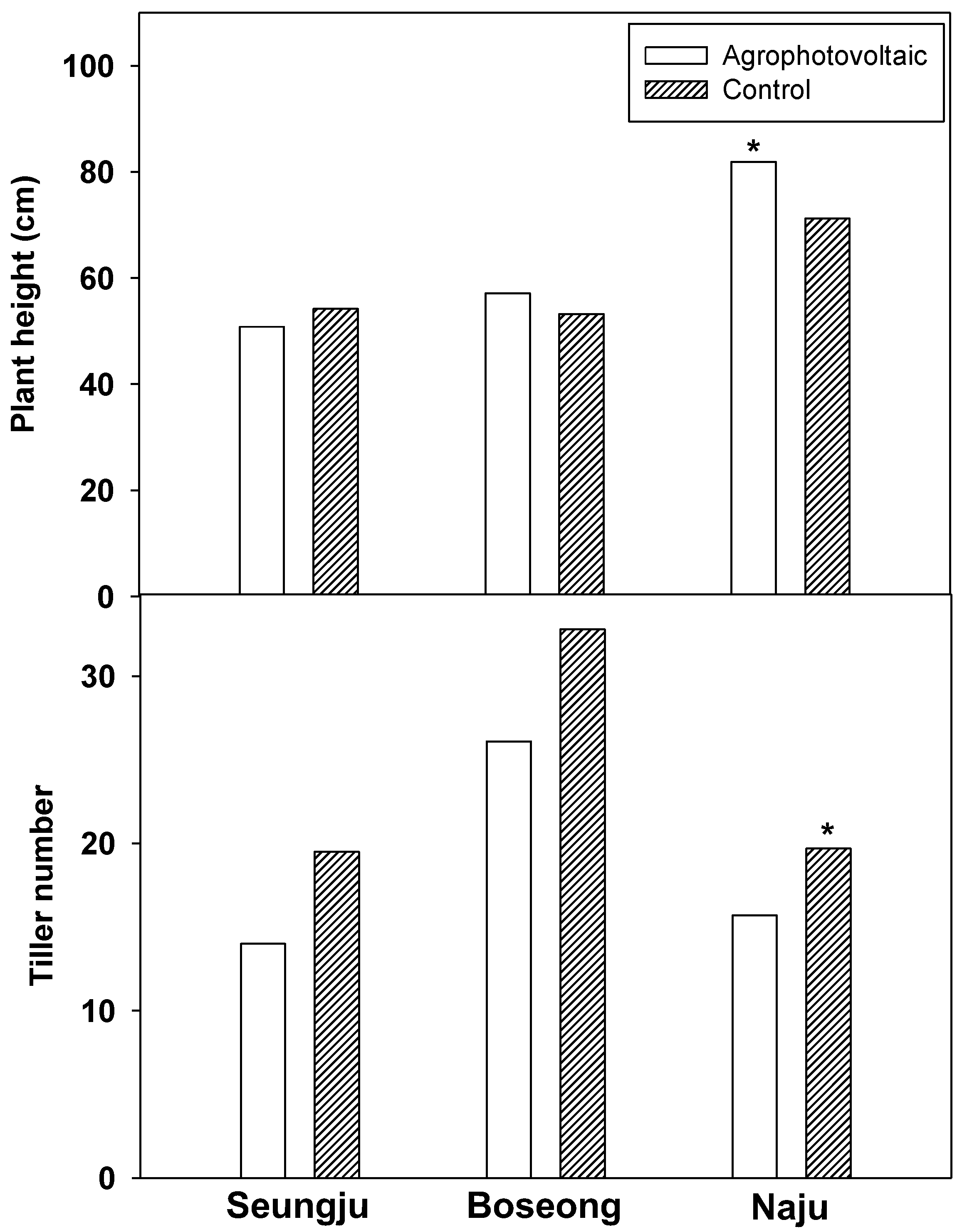
3.1. Growth and Yield of Various Crops Underneath APV Systems
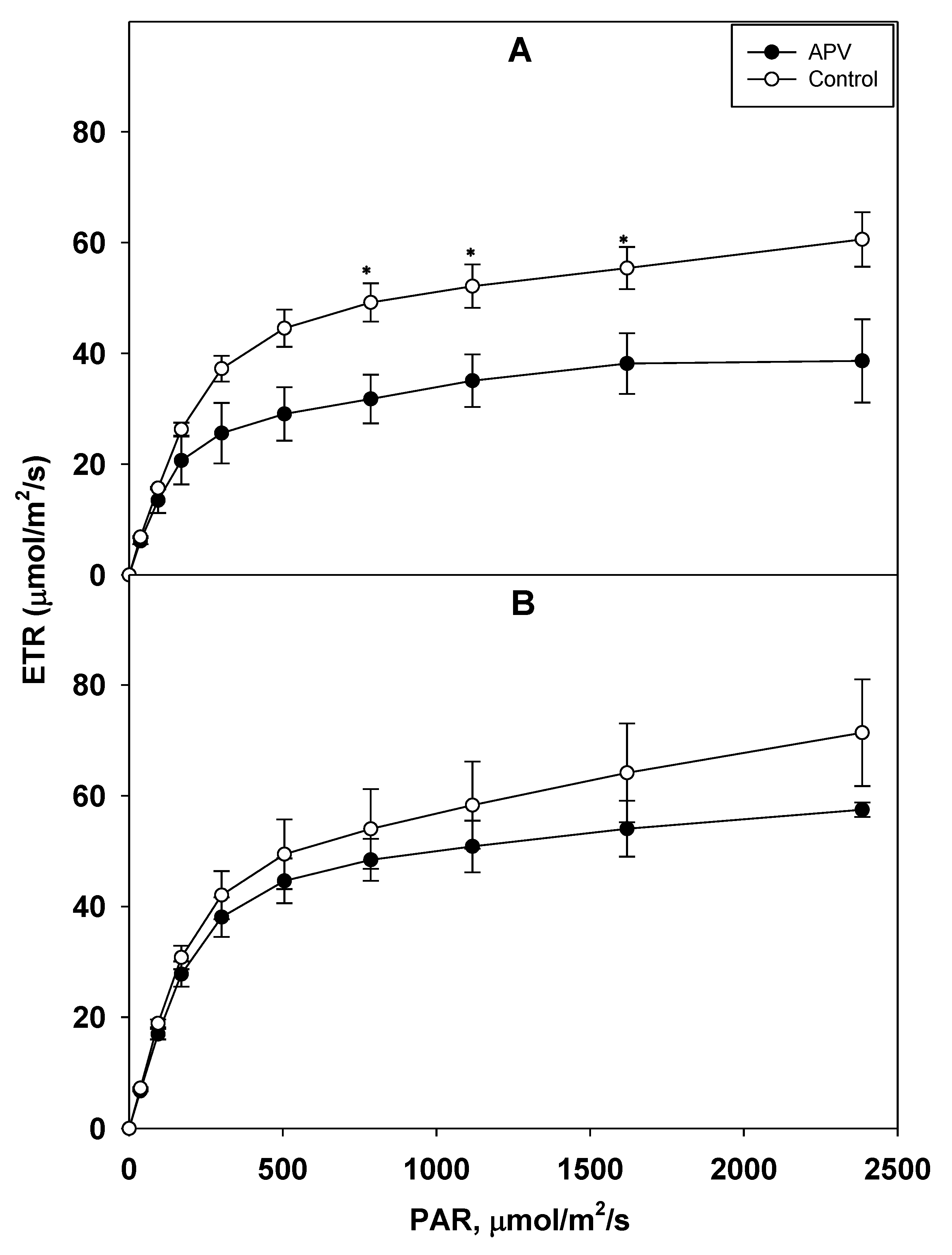
3.2. SPAD Value and Photosynthetic Efficiency
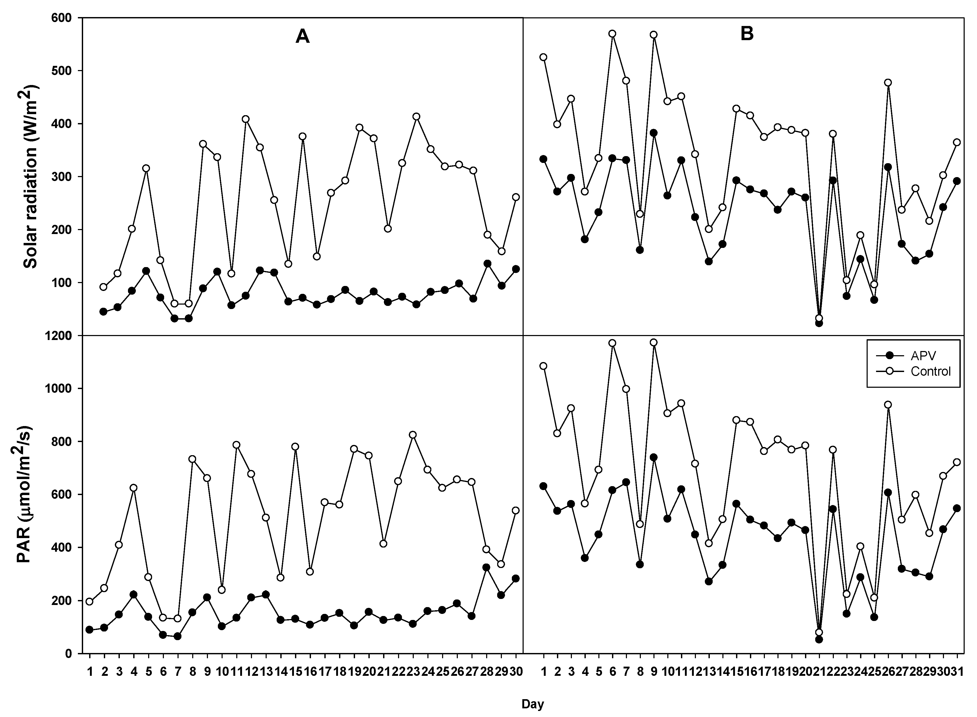
3.3. Differences in Meteorological Parameters between APV Facilities and Control Plots
4. Conclusions
Author Contributions
Funding
Institutional Review Board Statement
Informed Consent Statement
Data Availability Statement
Conflicts of Interest
References
- Masson-Delmotte, V.; Zhai, P.; Pörtner, H.O.; Roberts, D.; Skea, J.; Shukla, P.R.; Pirani, A.; Moufouma-Okia, W.; Péan, C.; Pidcock, R.; et al. Global Warming of 1.5 °C: Summary for Policy Makers; IPCC: Geneva, Switzerland; WMO: Geneva, Switzerland; UNEP: Nairobi, Kenya, 2018; p. 32. [Google Scholar]
- Trencher, G.; Downie, C.; Hasegawa, K.; Asuka, J. Divestment trends in Japan’s international coal businesses. Renew. Sustain. Energy Rev. 2020, 124, 109779. [Google Scholar] [CrossRef]
- Barron-Gafford, G.A.; Pavao-Zuckerman, M.A.; Minor, R.L.; Sutter, L.F.; Barnett-Moreno, I.; Blackett, D.T.; Thompson, M.; Dimond, K.; Gerlak, A.K.; Nabhan, G.P.; et al. Agrivoltaics provide mutual benefits across the food-energy-water nexus in drylands. Nat. Sustain. 2019, 2, 848–855. [Google Scholar] [CrossRef]
- Dupraz, C.; Marrou, H.; Talbot, G.; Dufour, L.; Nogier, A.; Ferard, Y. Combining solar photovoltaic panels and food crops for optimizing land use: Towards new agrivoltaic schemes. Renew. Energy 2011, 36, 2725–2732. [Google Scholar] [CrossRef]
- Irie, N.; Kawahara, N.; Esteves, A.M. Sector-wide social impact scoping of agrivoltaic systems: A case study in Japan. Renew. Energy 2019, 139, 1463–1476. [Google Scholar] [CrossRef]
- Goetzberger, A.; Zastrow, A. On the coexistence of solar-energy conversion and plant cultivation. Int. J. Sol. Energy 1982, 1, 55–69. [Google Scholar] [CrossRef]
- Kim, Y.J.; Seo, D.S.; Heo, J.H.; Lee, J.M. Net Zero: Issues and Challenges of Rural Solar Power; KREI: Naju, Korea, 2021; p. 199. [Google Scholar]
- Ministry of Trade. Industry and Energy. In Renewable Energy 3020 Implementation Plan; MOTIE: Sejong, Korea, 2017. [Google Scholar]
- Dinesh, H.; Pearce, J.M. The potential of agrivoltaic systems. Renew. Sustain. Energy Rev. 2016, 54, 299–308. [Google Scholar] [CrossRef] [Green Version]
- Reca-Cardeña, J.; López-Luque, R. Design Principles of Photovoltaic Irrigation Systems. Adv. Renew. Energ. Power Technol. 2018, 1, 295–333. [Google Scholar]
- Marucci, A.; Monarca, D.; Cecchini, M.; Colantoni, A.; Manzo, A.; Cappuccini, A. The semitransparent photovoltaic films for Mediterranean greenhouse: A new sustainable technology. Math. Probl. Eng. 2012, 2012, 451934. [Google Scholar] [CrossRef]
- Loik, M.E.; Carter, S.A.; Alers, G.; Wade, C.E.; Shugar, D.; Corrado, C.; Jokerst, D.; Kitayama, C. Wavelength-selective solar photovoltaic systems: Powering greenhouses for plant growth at the food-energy-water nexus. Earth Future 2017, 5, 1044–1053. [Google Scholar] [CrossRef]
- Cockshull, K.E.; Graves, C.J.; Cave, C.R.J. The influence of shading on yield of glasshouse tomatoes. J. Hortic. Sci. 1992, 67, 11–24. [Google Scholar] [CrossRef]
- Cossu, M.; Ledda, L.; Urracci, G.; Sirigu, A.; Cossu, A.; Murgia, L.; Pazzona, A.; Yano, A. An algorithm for the calculation of the light distribution in photovoltaic greenhouses. Sol. Energy 2017, 141, 38–48. [Google Scholar] [CrossRef]
- Marrou, H.; Dufour, L.; Wery, J. How does a shelter of solar panels influence water flows in a soil-crop system? Eur. J. Agron. 2013, 50, 38–51. [Google Scholar] [CrossRef]
- Emmott, C.J.M.; Röhr, J.A.; Campoy-Quiles, M.; Kirchartz, T.; Urbina, A.; Ekins-Daukes, N.J.; Nelson, J. Organic photovoltaic greenhouses: A unique application for semi-transparent PV? Energy Environ. Sci. 2015, 8, 1317–1328. [Google Scholar] [CrossRef]
- Kuruppuarachchi, D.S.P. Intercropped potato (Solanum spp.): Effect of shade on growth and tuber yield in the northwestern regosol belt of Sri Lanka. Field Crop Res. 1990, 25, 61–72. [Google Scholar] [CrossRef]
- Midmore, D.J.; Berrios, D.; Roca, J. Potato, (Solanum spp.) in the hot tropics V. intercropping with maize and the influence of shade on tuber yields. Field Crop Res. 1988, 18, 159–176. [Google Scholar] [CrossRef]
- Reed, A.J.; Singletary, G.; Schussler, J.; Williamson, D.R.; Christy, A.L. Shading effects on dry matter and nitrogen partitioning, kernel number, and yield of maize. Crop Sci. 1988, 28, 819–825. [Google Scholar] [CrossRef]
- Cho, Y.N.; Kim, H.K.; Jo, E.I.; Oh, D.H.; Jeong, H.J.; Yoon, C.Y.; An, K.N.; Cho, J.I. Effect of partial shading by agrivoltaic systems panel on electron transport rate and non-photochemical quenching of crop. KJAFM 2021, 23, 100–107. [Google Scholar]
- Marrou, H.; Guilioni, L.; Dufour, L.; Dupraz, C.; Wery, J. Microclimate under agrivoltaic systems: Is crop growth rate affected in the partial shade of solar panels? Agric. For. Meteorol. 2013, 177, 117–132. [Google Scholar] [CrossRef]
- Schindelea, S.; Trommsdorff, M.; Schlaaka, A.; Obergfell, T.; Bopp, G.; Reise, C.; Braun, C.; Weselek, A.; Bauerle, A.; Högy, P.; et al. Implementation of agrophotovoltaics: Techno-economic analysis of the price-performance ratio and its policy implications. Appl. Energy 2020, 265, 114737. [Google Scholar] [CrossRef]
- Homma, M.; Doi, T.; Yoshida, Y. A field experiment and the simulation on agrivoltaic-systems regarding to rice in a paddy field. J. Jpn. Soc. Energy Resour. 2016, 37, 23–31. [Google Scholar]
- Marrou, H.; Wery, J.; Dufour, L.; Dupraz, C. Productivity and radiation use efficiency of lettuces grown in the partial shade of photovoltaic panels. Eur. J. Agron. 2013, 44, 54–66. [Google Scholar] [CrossRef]
- [SAS] Statistical Analysis System, SAS/STAT Users Guide, Version 7; Statistical Analysis System Institute, Electronic Version: Cary, NC, USA, 2000.
- Ko, J.H.; Cho, J.I.; Choi, J.S.; Yoon, C.Y.; An, K.N.; Ban, J.O.; Kim, D.K. Simulation of crop yields grown under agro-photovoltaic panels: A case study in chonnam province, South Korea. Energies 2021, 14, 8463. [Google Scholar] [CrossRef]
- Islam, M.S.; Morison, J.I.L. Influence of solar radiation and temperature on irrigated rice grain yield in Bangladesh. Field Crop Res. 1992, 30, 13–28. [Google Scholar] [CrossRef]
- Ban, H.Y.; Jeong, J.H.; Hwang, W.H.; Lee, H.S.; Yang, S.Y.; Choi, M.G.; Lee, C.K. Evaluating cultivation environment and rice productivity under different types of agrivoltaics. KJAFM 2020, 22, 258–267. [Google Scholar]
- Kim, H.; Jee, S.; Kim, J.; Kang, M.; Yun, S.; Kim, M.; Kim, J.; Lee, Y.; Son, J.; Song, G.; et al. Rice and electric power production by adjusting the module angle of grid-connected agro-photovoltaic plant. KSCS 2020, 91, 2020. [Google Scholar]
- Ehret, M.; Graß, R.; Wachendorf, M. The effect of shade and shade material on white clover/perennial ryegrass mixtures for temperate agroforestry systems. Agrofor. Syst. 2015, 89, 557–570. [Google Scholar] [CrossRef]
- Pang, K.; van Sambeek, J.W.; Navarrete-Tindall, N.E.; Lin, C.H.; Jose, S.; Garrett, H.E. Responses of legumes and grasses to non-, moderate, and dense shade in Missouri, USA. I. Forage yield and its species-level plasticity. Agrofor. Syst. 2019, 93, 11–24. [Google Scholar] [CrossRef]
- Kang, M.; Sohn, S.; Park, J.; Kim, J.; Choi, S.W.; Cho, S. Agro-environmental observation in a rice paddy under an agrivoltaic system: Comparison with the environment outside the system. KJAFM 2021, 23, 141–148. [Google Scholar]
- Lee, S.I.; Choi, J.Y.; Sung, S.J.; Lee, S.J.; Lee, J.M.; Choi, W. Simulation and analysis of solar radiation change resulted from solar-sharing for agricultural solar photovoltaic system. JAKSAE 2020, 62, 63–72. [Google Scholar]









| Crop | APV Location | Latitude | Longitude | Power Generation (KW) | Shading Rate (%) | Panel Shape | Module |
|---|---|---|---|---|---|---|---|
| Potato | Cheongju | 127°27′42″ | 36°41′55″ | 99 | 31.6 | Individually distributed | 36 cell, 3 × 12 type |
| Sesame | Goesan | 127°38′10″ | 36°48′48″ | 99 | 31.6 | Individually distributed | 36 cell, 3 × 12 type |
| Soybean | Paju | 126°56′33″ | 37°58′16″ | 150 | 32.0 | Individually distributed | 36 cell, 4 × 8 type |
| Youngkwang | 126°26′26″ | 35°24′38″ | 97 | 28.0 | Holding type | 72 cell ×4, 6 × 12 type | |
| Rice | Seungju | 127°24′36″ | 35°01′37″ | 100 | 25.0 | Double axis tracing | 119 cell, 7 × 17 type |
| Naju | 126°49′31″ | 35°01′44″ | 107 | 32.0 | Stationary type | 72 cell, 6 × 12 type | |
| Boseong | 127°02′55″ | 34°44′14″ | 99 | 31.6 | Stationary type | 36 cell, 12 × 3 type |
| Condition | Plant Height (cm) | Stem Number /Plant | Stem Diameter (mm)/Plant | Leaf Number/Plant | Leaf Length (cm)/Plant | Leaf Width (cm)/Plant |
|---|---|---|---|---|---|---|
| APV | 41.2 * | 1.7 | 11.0 | 13.0 | 24.9 | 16.3 |
| Control | 24.9 | 2.1 | 10.8 | 11.6 | 24.9 | 17.4 |
| Condition | Tuber Number per Hill | Tuber Weight per Hill (g) | Shoot FW. per Hill (g) | Tuber FW. per Hill (g) | Root FW. per Hill (g) | Yield of Good Quality (kg/ha) | Total Yield (kg/ha) | ||
|---|---|---|---|---|---|---|---|---|---|
| Good Quality | Poor Quality | Good Quality | Poor Quality | ||||||
| APV | 4.6 | 1.1 | 427.0 | 10.4 | 124.7 | 437.4 | 7.3 | 21,130 | 21,650 |
| Control | 5.9 | 1.3 | 491.0 | 12.2 | 140.7 | 503.2 | 8.2 | 24,303 | 24,907 |
| Plant Height | Stem Number | Leaf Number | Tuber Weight per Hill (g) | Yield of Good Quality | Total Yield | ||
|---|---|---|---|---|---|---|---|
| Good Quality | Poor Quality | (kg/ha) | (kg/ha) | ||||
| APV | 32.6 | 1.5 | 12.0 | 472.4 | 19.9 | 20,995 | 21,879 |
| Control | 24.9 | 2.3 | 12.2 | 529.4 | 14.2 | 23,313 | 24,089 |
| Condition | Effective Branching Number | Ratio of Effective Branching (%) | Capsule Length (mm) | Capsule Width (mm) | Capsule Number per Hill | Seed Number per Capsule | 1000 Seed Weight (g) | Seed Weight (g/m2) | Yield (kg/ ha) |
|---|---|---|---|---|---|---|---|---|---|
| APV | 4.3 | 86.0 | 28.8 | 7.7 | 60.0 | 57.5 | 2.02 | 143 | 429 |
| Control | 5.1 * | 86.4 | 29.4 | 7.6 | 68.2 | 60.9 | 2.24 * | 176 | 528 * |
| Area | Condition | Pod Weight (g) | Pod Number per Plant | Seed Number per Plant | Grain Weight per Plant (g) | Ungrained Ratio (%) | 100 Seed Weight (g ) | Plant Number (m2) | Liter Weight (g/L) | Yield (kg/ha) | ||
|---|---|---|---|---|---|---|---|---|---|---|---|---|
| Grain Weight | Ungrained Weight | Total | ||||||||||
| Paju | APV | 20.1 | 34.9 | 55.8 | 14.8 | 0.2 | 15.0 | 1.8 * | 25.2 | 14.0 | 755.9 | 2029 |
| Control | 24.8 | 40.9 | 64.7 | 16.9 | 0.3 | 17.2 | 0.8 | 25.9 | 16.0 | 732.1 | 2463 * | |
| Young-kwang | APV | 20.1 | 26.9 | 41.8 | 13.3 | 0.4 | 13.7 | 3.1 * | 32.7 | 13.5 | 756.9 | 1665 |
| Control | 27.2 | 33.5 | 53.4 | 18.7 * | 0.4 | 19.1* | 1.6 | 35.8 | 12.3 | 732.1 | 2092 * | |
| Area | Condition | Culm Length (cm) | Panicle Length (cm) | Panicle Number per Hill | Spikelet Number per Panicle | Ripen Grain (%) | 1000 Seed Weight (g) | Yield (kg/ha) |
|---|---|---|---|---|---|---|---|---|
| Seungju | APV | 69.8 | 17.2 | 11.8 | 75.0 | 81.0 | 26.7 | 5248 |
| Control | 68.6 | 16.6 | 13.8 * | 77.8 | 86.2 | 27.4 * | 6037 * | |
| Boseong | APV | 88.2 * | 17.8 | 17.2 | 70.0 | 77.3 | 26.4 | 5537 |
| Control | 78.8 | 18.4 | 18.1 | 75.4 * | 87.1 * | 27.8 * | 6464 * | |
| Naju | APV | 81.2 * | 19.2 | 14.0 | 94.3 | 86.1 | 27.0 | 6040 |
| Control | 75.3 | 19.5 | 15.8 | 104.8 * | 91.6 | 27.8 * | 8580 * |
Publisher’s Note: MDPI stays neutral with regard to jurisdictional claims in published maps and institutional affiliations. |
© 2022 by the authors. Licensee MDPI, Basel, Switzerland. This article is an open access article distributed under the terms and conditions of the Creative Commons Attribution (CC BY) license (https://creativecommons.org/licenses/by/4.0/).
Share and Cite
Lee, H.J.; Park, H.H.; Kim, Y.O.; Kuk, Y.I. Crop Cultivation Underneath Agro-Photovoltaic Systems and Its Effects on Crop Growth, Yield, and Photosynthetic Efficiency. Agronomy 2022, 12, 1842. https://doi.org/10.3390/agronomy12081842
Lee HJ, Park HH, Kim YO, Kuk YI. Crop Cultivation Underneath Agro-Photovoltaic Systems and Its Effects on Crop Growth, Yield, and Photosynthetic Efficiency. Agronomy. 2022; 12(8):1842. https://doi.org/10.3390/agronomy12081842
Chicago/Turabian StyleLee, Hyo Jin, Hyun Hwa Park, Young Ok Kim, and Yong In Kuk. 2022. "Crop Cultivation Underneath Agro-Photovoltaic Systems and Its Effects on Crop Growth, Yield, and Photosynthetic Efficiency" Agronomy 12, no. 8: 1842. https://doi.org/10.3390/agronomy12081842
APA StyleLee, H. J., Park, H. H., Kim, Y. O., & Kuk, Y. I. (2022). Crop Cultivation Underneath Agro-Photovoltaic Systems and Its Effects on Crop Growth, Yield, and Photosynthetic Efficiency. Agronomy, 12(8), 1842. https://doi.org/10.3390/agronomy12081842

