Impacts of Biochar on Hydro-Physical Properties of Sandy Soil under Different Irrigation Regimes for Enhanced Tomato Growth
Abstract
:1. Introduction
2. Materials and Methods
2.1. Location of the Experiments
2.2. Analysis of Soil and Water
2.3. Preparation of the Biochar
2.4. Experimental Layout
2.5. Water Content and Salt Sensors
2.6. Cumulative Infiltration
2.7. Statistical Analysis
3. Results and Discussion
3.1. Soil Moisture Distribution
3.2. Salinity Distribution
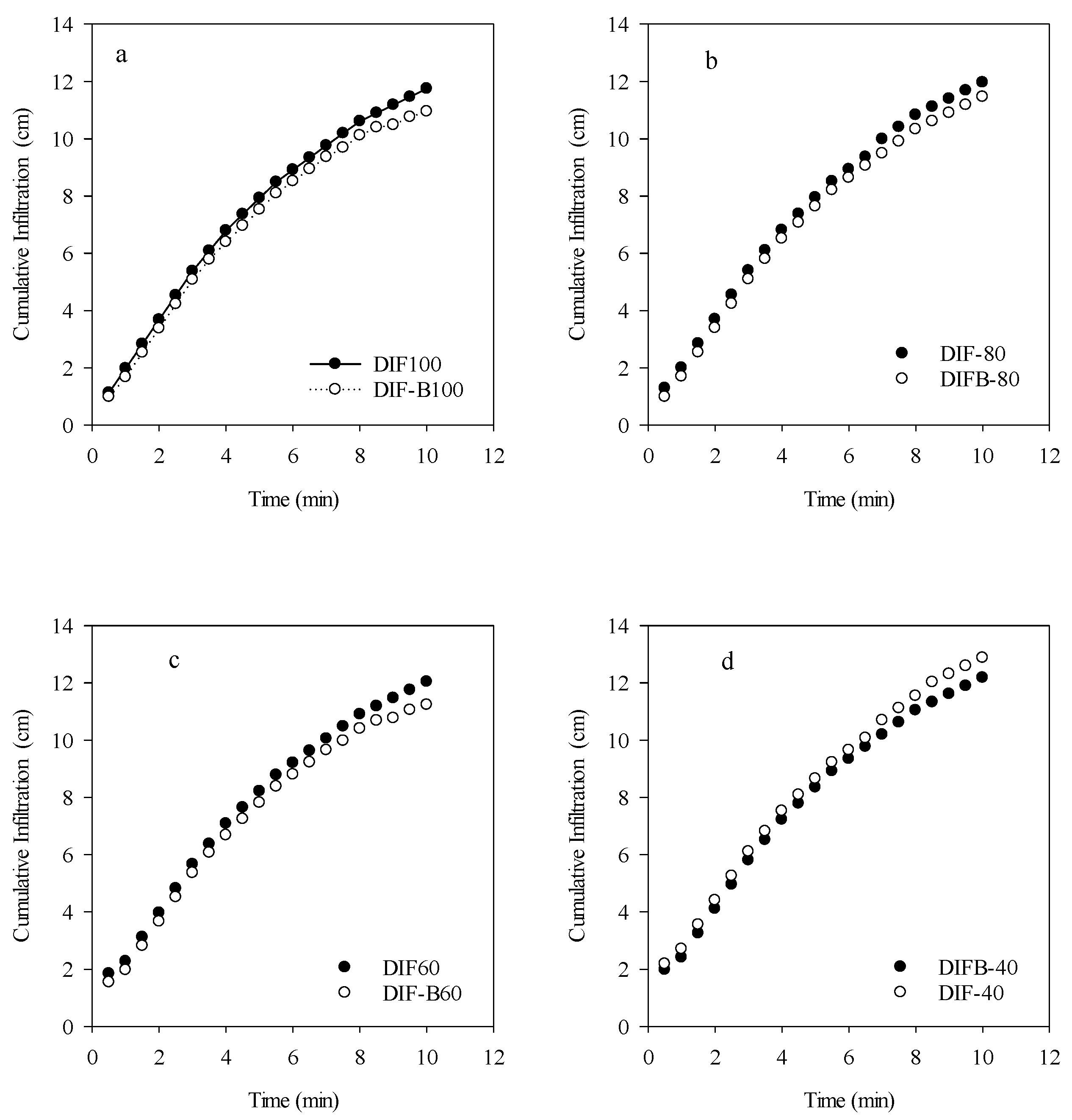
3.3. Cumulative Infiltration
3.4. Infiltration Rate
4. Conclusions
Author Contributions
Funding
Data Availability Statement
Acknowledgments
Conflicts of Interest
Appendix A
| Fresh water | DIF-B100 | y = 1.797x + 0.0835 | R² = 0.9729 | 
| DIFB-80 | y = 2.3044x + 0.5105 | R² = 0.9345 | |
| DIF-B60 | y = 2.3755x + 0.5016 | R² = 0.9386 | |
| DIFB-40 | y = 2.6586x + 0.1816 | R² = 0.9503 | |
| DIF100 | y = 2.3044x + 0.2105 | R² = 0.9345 | |
| DIF-80 | y = 2.3487x + 0.635 | R² = 0.9203 | |
| DIF60 | y = 2.3755x + 1.3016 | R² = 0.9386 | |
| DIF-40 | y = 2.6586x + 1.3016 | R² = 0.9503 | |
| Saline water | SPRD-B100 | y = 0.6187x + 1.3677 | R² = 0.8687 | 
| SPRD-B1 | y = 0.9486x + 1.0179 | R² = 0.945 | |
| SPRD-B2 | y = 0.9095x + 1.0759 | R² = 0.9489 | |
| SPRD-B3 | y = 0.8677x + 0.8329 | R² = 0.9473 | |
| SPRD-100 | y = 0.5869x + 1.6859 | R² = 0.9134 | |
| SPRD-1 | y = 1.0013x + 1.2084 | R² = 0.9276 | |
| SPRD-2 | y = 0.9191x + 1.3707 | R² = 0.9365 | |
| SPRD-3 | y = 0.9204x + 1.0234 | R² = 0.9345 | 
References
- Al-Omran, A.; Ibrahim, A.; Alharbi, A. Effects of biochar and compost on soil physical quality indices. Commun. Soil Sci. Plant Anal. 2021, 52, 2482–2499. [Google Scholar] [CrossRef]
- Al-Omran, A.M.; Al-Harbi, A.R. Improvement of sandy soils with soil conditioners. In Handbook of Soil Conditioners; CRC Press: Boca Raton, FL, USA, 2020; pp. 363–384. [Google Scholar]
- Al-Omran, A.; Ibrahim, A.; Alharbi, A. Evaluating the impact of combined application of biochar and compost on hydro-physical properties of loamy sand soil. Commun. Soil Sci. Plant Anal. 2019, 50, 2442–2456. [Google Scholar] [CrossRef]
- Shetty, R.; Vidya, C.S.N.; Prakash, N.B.; Lux, A.; Vaculik, M. Aluminum toxicity in plants and its possible mitigation in acid soils by biochar: A review. Sci. Total Environ. 2021, 765, 142744. [Google Scholar] [CrossRef]
- Agegnehu, G.; Srivastava, A.K.; Bird, M.I. The role of biochar and biochar-compost in improving soil quality and crop performance: A review. Appl. Soil Ecol. 2017, 119, 156–170. [Google Scholar] [CrossRef]
- Ali, S.; Rizwan, M.; Qayyum, M.F.; Ok, Y.S.; Ibrahim, M.; Riaz, M.; Arif, M.S.; Hafeez, F.; Al-Wabel, M.I.; Shahzad, A.N. Biochar soil amendment on alleviation of drought and salt stress in plants: A critical review. Environ. Sci. Pollut. Res. 2017, 24, 12700–12712. [Google Scholar] [CrossRef]
- Ahmad, M.; Ahmad, M.; Usman, A.R.; Al-Faraj, A.S.; Abduljabbar, A.; Ok, Y.S.; Al-Wabel, M.I. Date palm waste-derived biochar composites with silica and zeolite: Synthesis, characterization and implication for carbon stability and recalcitrant potential. Environ. Geochem. Health 2019, 41, 1687–1704. [Google Scholar] [CrossRef]
- Ahmad, M.; Ahmad, M.; Usman, A.R.; Al-Faraj, A.S.; Abduljabbar, A.S.; Al-Wabel, M.I. Biochar composites with nano zerovalent iron and eggshell powder for nitrate removal from aqueous solution with coexisting chloride ions. Environ. Sci. Pollut. Res. 2018, 25, 25757–25771. [Google Scholar] [CrossRef] [PubMed]
- Lehmann, J. A handful of carbon. Nature 2007, 447, 143–144. [Google Scholar] [CrossRef] [PubMed]
- Alghamdi, A.G.; Al-Omran, A.; Alkhasha, A.; Alasmary, Z.; Aly, A.A. Significance of Pyrolytic Temperature, Particle Size, and Application Rate of Biochar in Improving Hydro-Physical Properties of Calcareous Sandy Soil. Agriculture 2021, 11, 1293. [Google Scholar] [CrossRef]
- Agbna, G.H.; Dongli, S.; Zhipeng, L.; Elshaikh, N.A.; Guangcheng, S.; Timm, L.C. Effects of deficit irrigation and biochar addition on the growth, yield, and quality of tomato. Sci. Hortic. 2017, 222, 90–101. [Google Scholar] [CrossRef]
- Yu, H.; Zou, W.; Chen, J.; Chen, H.; Yu, Z.; Huang, J.; Tang, H.; Wei, X.; Gao, B. Biochar amendment improves crop production in problem soils: A review. J. Environ. Manag. 2019, 232, 8–21. [Google Scholar] [CrossRef] [PubMed]
- Atkinson, C.J.; Fitzgerald, J.D.; Hipps, N.A. Potential mechanisms for achieving agricultural benefits from biochar application to temperate soils: A review. Plant Soil 2010, 337, 1–18. [Google Scholar] [CrossRef]
- Borchard, N.; Siemens, J.; Ladd, B.; Möller, A.; Amelung, W. Application of biochars to sandy and silty soil failed to increase maize yield under common agricultural practice. Soil Till. Res. 2014, 144, 184–194. [Google Scholar] [CrossRef]
- Ahmad, M.; Usman, A.R.; Al-Faraj, A.S.; Ahmad, M.; Sallam, A.; Al-Wabel, M.I. Phosphorus-loaded biochar changes soil heavy metals availability and uptake potential of maize (Zea mays L.) plants. Chemosphere 2018, 194, 327–339. [Google Scholar] [CrossRef] [PubMed]
- Kapoor, A.; Sharma, R.; Kumar, A.; Sepehya, S. Biochar as a means to improve soil fertility and crop productivity: A review. J. Plant Nutr. 2022, 45, 1–9. [Google Scholar] [CrossRef]
- Šimanský, V.; Horák, J.; Bordoloi, S. Improving the soil physical properties and relationships between soil properties in arable soils of contrasting texture enhancement using biochar substrates: Case study in Slovakia. Geoderma Reg. 2022, 28, e00443. [Google Scholar] [CrossRef]
- Haider, F.U.; Coulter, J.A.; Liqun, C.A.I.; Hussain, S.; Cheema, S.A.; Jun, W.U.; Zhang, R. An overview on biochar production, its implications, and mechanisms of biochar-induced amelioration of soil and plant characteristics. Pedosphere 2022, 32, 107–130. [Google Scholar] [CrossRef]
- Pereira, L.S.; Oweis, T.; Zairi, A. Irrigation management under water scarcity. Agric. Water Manag. 2002, 57, 175–206. [Google Scholar] [CrossRef]
- Alrajhi, A.; Beecham, S.; Hassanli, A. Effects of partial root-zone drying irrigation and water quality on soil physical and chemical properties. Agric. Water Manag. 2017, 182, 117–125. [Google Scholar] [CrossRef]
- Sepaskhah, A.R.; Ahmadi, S.H. A review on partial rootzone drying irrigation. Int. J. Plant Prod. 2012, 4, 241–258. [Google Scholar]
- Akhtar, S.S.; Li, G.; Andersen, M.N.; Liu, F. Biochar enhances yield and quality of tomato under reduced irrigation. Agric. Water Manag. 2014, 138, 37–44. [Google Scholar] [CrossRef]
- Maiti, S.K. Handbook of Methods in Environmental Studies: Water and Wastewater Analysis; ABD Publishers: Natraj Nagar, Imliwala Phatak Jaipur, India, 2004; pp. 255–258. [Google Scholar]
- Sparks, D.L.; Page, A.L.; Helmke, P.A.; Loeppert, R.H.; Soltanpour, P.N.; Tabatabai, M.A.; Johnston, C.T.; Sumner, M.E. Methods of Soil Analysis, Part 3: Chemical Methods; John Wiley & Sons: Madison, WI, USA, 1996; pp. 1085–1121. [Google Scholar]
- Tabatabai, M.A. Sulfur. In Methods of Soil Analysis, Part 3: Chemical Methods; John Wiley & Sons: Madison, WI, USA, 1996; pp. 921–960. [Google Scholar]
- Hillel, D. Soil and Water: Physical Principles and Processes; Academic Press: New York, NY, USA, 1971. [Google Scholar]
- Loeppert, R.H.; Suarez, D.L. Carbonate and gypsum. In Methods of Soil Analysis, Part 3: Chemical Methods; John Wiley & Sons: Madison, WI, USA, 1996; pp. 437–474. [Google Scholar]
- ASTM D1762-84; Standard Methods forChemical Analysis of Wood Charcoal. American Society for Testing and Materials (ASTM): Philadelphia, PA, USA, 1989.
- de Melo Carvalho, M.T.; de Holanda Nunes Maia, A.; Madari, B.E.; Bastiaans, L.; Van Oort, P.A.J.; Heinemann, A.B.; Soler da Silva, M.A.; Petter, F.A.; Marimon, B.H., Jr.; Meinke, H. Biochar increases plant-available water in a sandy loam soil under an aerobic rice crop system. Solid Earth 2014, 5, 939–952. [Google Scholar] [CrossRef] [Green Version]
- Vitkova, J.; Surda, P.; Kondrlova, E.; Horak, J.; Rodny, M. Analysis of soil water content and crop yield after biochar application in field conditions. Plant Soil Environ. 2017, 63, 569–573. [Google Scholar]
- Novak, J.M.; Busscher, W.J.; Watts, D.W.; Amonette, J.E.; Ippolito, J.A.; Lima, I.M.; Gaskin, J.; Das, K.C.; Steiner, C.; Ah-medna, M.; et al. Biochars impact on soil-moisture storage in an ultisol and two aridisols. Soil Sci. 2012, 177, 310–320. [Google Scholar] [CrossRef] [Green Version]
- Melo, H.F.D.; Souza, E.R.D.; Duarte, H.H.; Cunha, J.C.; Santos, H.R. Gas exchange and photosynthetic pigments in bell pepper irrigated with saline water. Rev. Bras. Eng. Agrícola Ambient. 2017, 21, 38–43. [Google Scholar] [CrossRef] [Green Version]
- Trifunovic, B.; Gonzales, H.B.; Ravi, S.; Sharratt, B.S.; Mohanty, S.K. Dynamic effects of biochar concentration and particle size on hydraulic properties of sand. Land Degrad. Dev. 2018, 29, 884–893. [Google Scholar] [CrossRef]
- Chen, X.; Duan, M.; Zhou, B.; Cui, L. Effects of biochar nanoparticles as a soil amendment on the structure and hydraulic characteristics of a sandy loam soil. Soil Use Manag. 2022, 38, 836–849. [Google Scholar] [CrossRef]
- Sun, J.; Yang, R.; Zhu, J.; Zhou, C.; Yang, M.; Pan, Y.; Zhang, Z. Contrasting effects of corn straw biochar on soil water infiltration and retention at tilled and compacted bulk densities in the Yellow River Delta. Can. J. Soil Sci. 2019, 99, 357–366. [Google Scholar] [CrossRef]
- Rasa, K.; Heikkinen, J.; Hannula, M.; Arstila, K.; Kulju, S.; Hyväluoma, J. How and why does willow biochar increase a clay soil water retention capacity? Biomass Bioenergy 2018, 119, 346–353. [Google Scholar] [CrossRef]
- Yi, S.; Witt, B.; Chiu, P.; Guo, M.; Imhoff, P. The origin and reversible nature of poultry litter biochar hydrophobicity. J. Environ. Qual. 2015, 44, 963–971. [Google Scholar] [CrossRef]











| Depth cm | pH | EC dS·m−1 | Cations meql−1 | Anions meql−1 | SAR | |||||
|---|---|---|---|---|---|---|---|---|---|---|
| Ca2+ | Mg2+ | Na+ | K+ | CO32− | HCO3− | Cl− | ||||
| Soil 0–40 | 7.45 | 2.79 | 14.5 | 9.05 | 2.78 | 1.75 | 0.21 | 18.9 | 7.95 | 0.78 | 
| Fresh water | 7.11 | 0.9 | 3.69 | 2.5 | 5.7 | 0.12 | 0 | 2.1 | 7.21 | 4.02 | 
| Saline water | 7.51 | 3.61 | 2.8 | 2.2 | 31.56 | 0.29 | 0 | 2.86 | 31.29 | 20.12 | 
| Physical properties of soil | Sand (%) | Silt (%) | Clay | Soil texture | ||||||
| 81 | 13 | 6 | Loamy Sand | |||||||
| Parameter | Unit | Biochar | 
|---|---|---|
| Specific surface area | m2 g−1 | 237.8 | 
| pH (H2O) | - | 8.92 | 
| EC (1:10) | dS·m−1 | 7.78 | 
| OM | % | 30.32 | 
| C | % | 60.00 | 
| H | % | 3.44 | 
| N | % | 0.24 | 
| P | % | 0.22 | 
| K | % | 0.87 | 
| Ca | % | 5.63 | 
| C/N ratio | - | 250:1 | 
| Moisture | % | 3.53 | 
| Mobile material | % | 22.82 | 
| Ash | % | 25.70 | 
| Resident material (Fixed carbon) | % | 47.95 | 
| Fresh Water | ||
|---|---|---|
| Letters | Symbol | Treatments | 
| a | RDIF100 | Deficit irrigation-100%, Fresh water without biochar | 
| RDIF-B100 | Deficit irrigation-100%, Fresh water with biochar | |
| b | RDIF80 | RDI-80%, Fresh water without biochar | 
| RDIF-B80 | RDI-80%, Fresh water with biochar | |
| c | RDIF60 | RDI-60%, Fresh water without biochar | 
| RDIF-B60 | RDI-60%, Fresh water with biochar | |
| d | RDIF40 | RDI-40%, Fresh water without biochar | 
| RDIF-B40 | RDI-40%, Fresh water with biochar | |
| e | FPRD100 | Full PRD, Fresh water with biochar | 
| f | FPRD1 | 1st Stage PRD, Fresh water without biochar | 
| g | FPRD2 | 2nd Stage PRD, Fresh water with biochar | 
| h | FPRD3 | 3rd Stage PRD, Fresh water without biochar | 
| i | FPRD4 | 4th Stage PRD, Fresh water with biochar | 
| Saline Water | ||
| a | SPRD-B100 | Full PRD, Saline water with biochar | 
| SPRD100 | Full PRD, Saline water without biochar | |
| b | SPRD-B1 | 1st Stage PRD, Saline water with biochar | 
| SPRD1 | 1st Stage PRD, Saline water without biochar | |
| c | SPRD-B2 | 2nd Stage PRD, Saline water with biochar | 
| SPRD2 | 2nd Stage PRD, Saline water without biochar | |
| d | SPRD-B3 | 3rd Stage PRD, Saline water with biochar | 
| SPRD3 | 3rd Stage PRD, Saline water without biochar | |
| e | SPRD | 4th Stage PRD, Saline water with biochar | 
| f | SRDI100 | RDI-100%, Saline water without biochar | 
| g | SRDI80 | RDI-80%, Saline water with biochar | 
| h | SRDI60 | RDI-60%, Saline water without biochar | 
| i | SRDI40 | RDI-40%, Saline water with biochar | 
| Publisher’s Note: MDPI stays neutral with regard to jurisdictional claims in published maps and institutional affiliations. | 
© 2022 by the authors. Licensee MDPI, Basel, Switzerland. This article is an open access article distributed under the terms and conditions of the Creative Commons Attribution (CC BY) license (https://creativecommons.org/licenses/by/4.0/).
Share and Cite
Alghamdi, A.G.; Al-Omran, A.; Alkhasha, A.; Alharbi, A.R. Impacts of Biochar on Hydro-Physical Properties of Sandy Soil under Different Irrigation Regimes for Enhanced Tomato Growth. Agronomy 2022, 12, 1762. https://doi.org/10.3390/agronomy12081762
Alghamdi AG, Al-Omran A, Alkhasha A, Alharbi AR. Impacts of Biochar on Hydro-Physical Properties of Sandy Soil under Different Irrigation Regimes for Enhanced Tomato Growth. Agronomy. 2022; 12(8):1762. https://doi.org/10.3390/agronomy12081762
Chicago/Turabian StyleAlghamdi, Abdulaziz G., Abdulrasoul Al-Omran, Arafat Alkhasha, and Abdulaziz R. Alharbi. 2022. "Impacts of Biochar on Hydro-Physical Properties of Sandy Soil under Different Irrigation Regimes for Enhanced Tomato Growth" Agronomy 12, no. 8: 1762. https://doi.org/10.3390/agronomy12081762
APA StyleAlghamdi, A. G., Al-Omran, A., Alkhasha, A., & Alharbi, A. R. (2022). Impacts of Biochar on Hydro-Physical Properties of Sandy Soil under Different Irrigation Regimes for Enhanced Tomato Growth. Agronomy, 12(8), 1762. https://doi.org/10.3390/agronomy12081762
 
        



 
       