Evaluating Sensor-Based Mechanical Weeding Combined with Pre- and Post-Emergence Herbicides for Integrated Weed Management in Cereals
Abstract
:1. Introduction
2. Materials and Methods
2.1. Experimental Site and Design
2.2. Camera-Controlled Harrowing and Hoeing Technology
2.3. Data Collection
2.4. Data Analysis
3. Results
3.1. Weed Density in Spring Oats and Winter Wheat
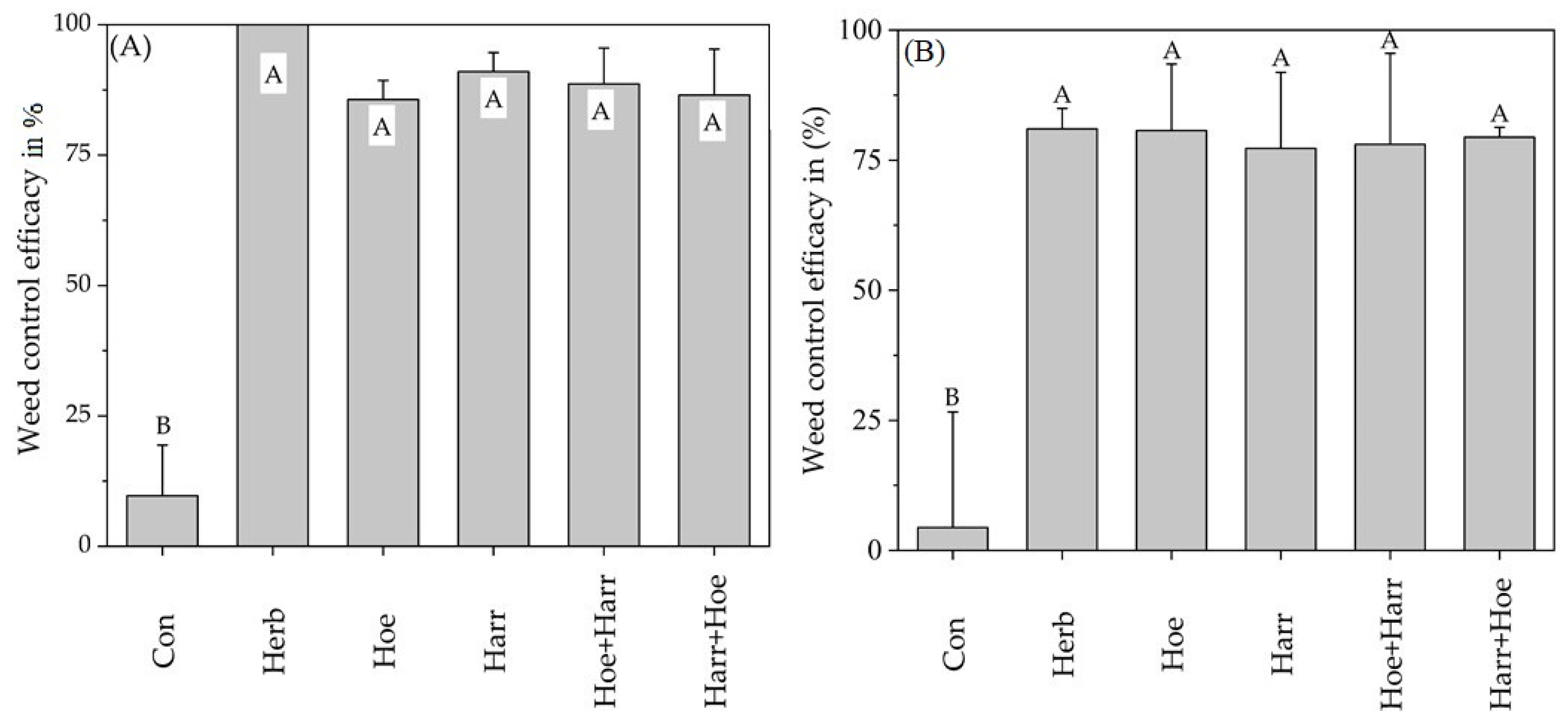
3.2. Weed Control Efficacy in Spring Oats (2019/2020 and 2020/2021) in Hohenheim
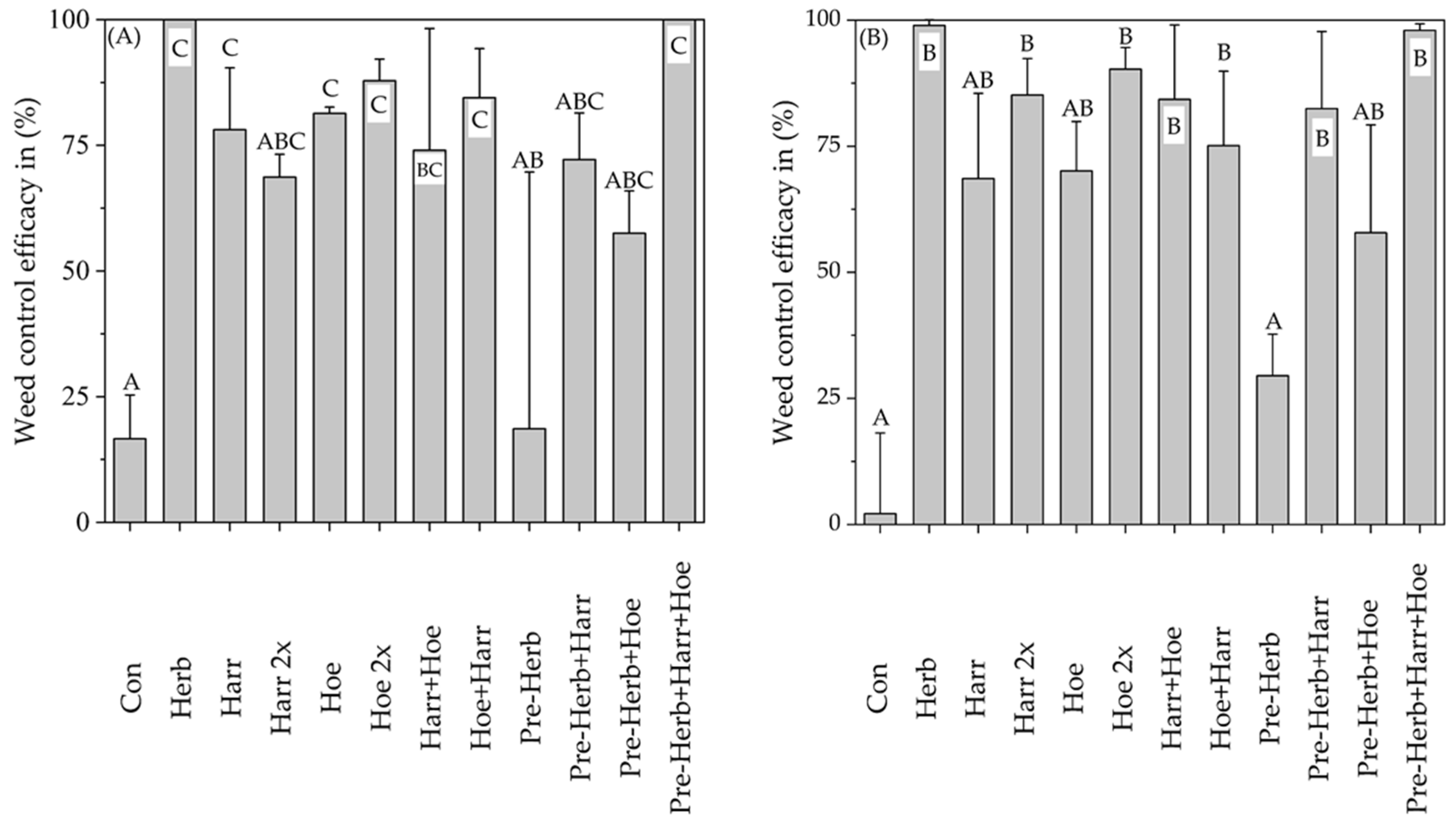
3.3. Weed Control Efficacy in Winter Wheat (2020/2021) in Hohenheim and Eningen
3.4. Crop Losses of Spring Oats and Winter Wheat
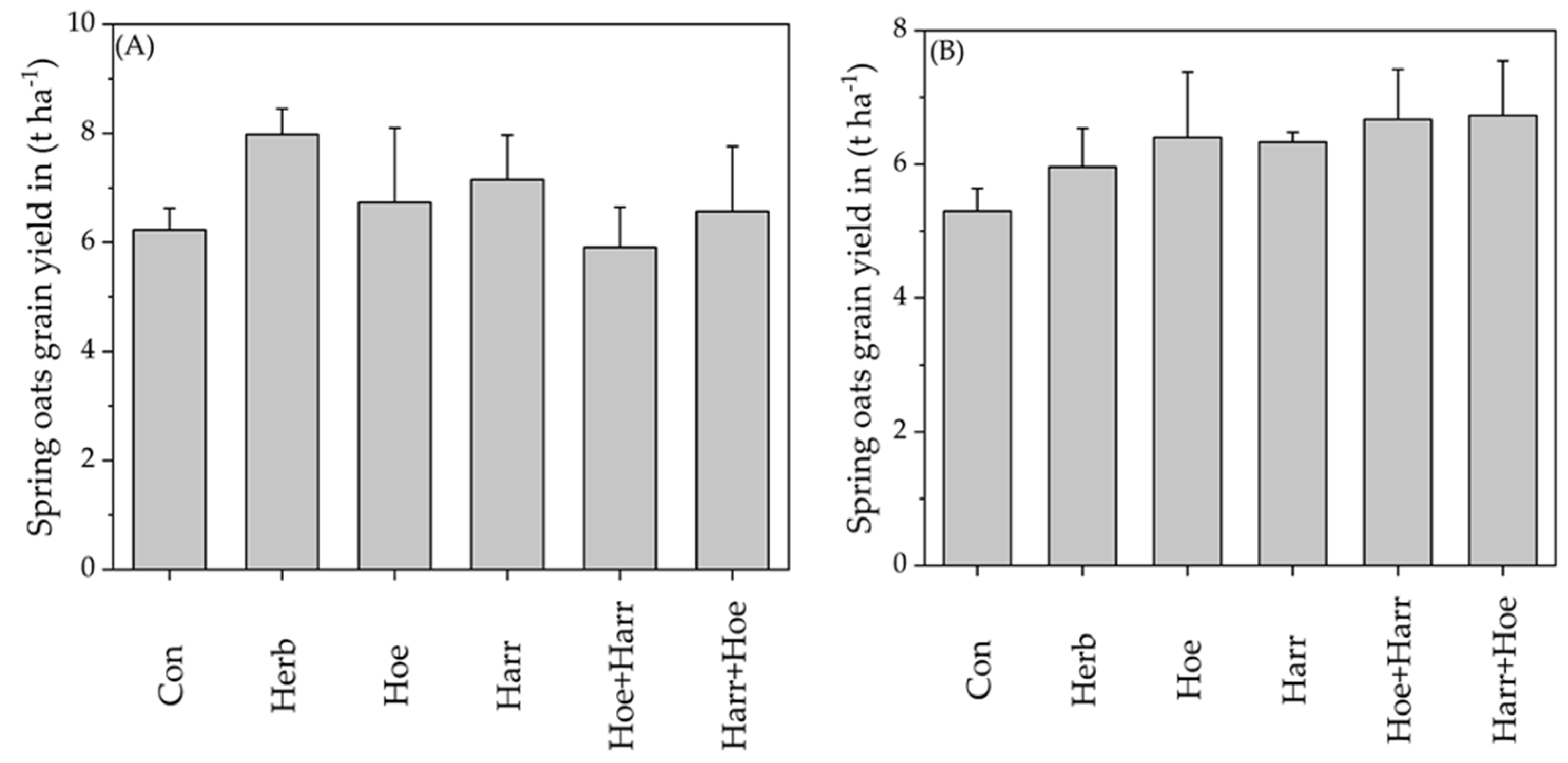
3.5. Grain Yield in Spring Oats in Hohenheim within the 6 Treatments 2019/2020 and 2020/2021
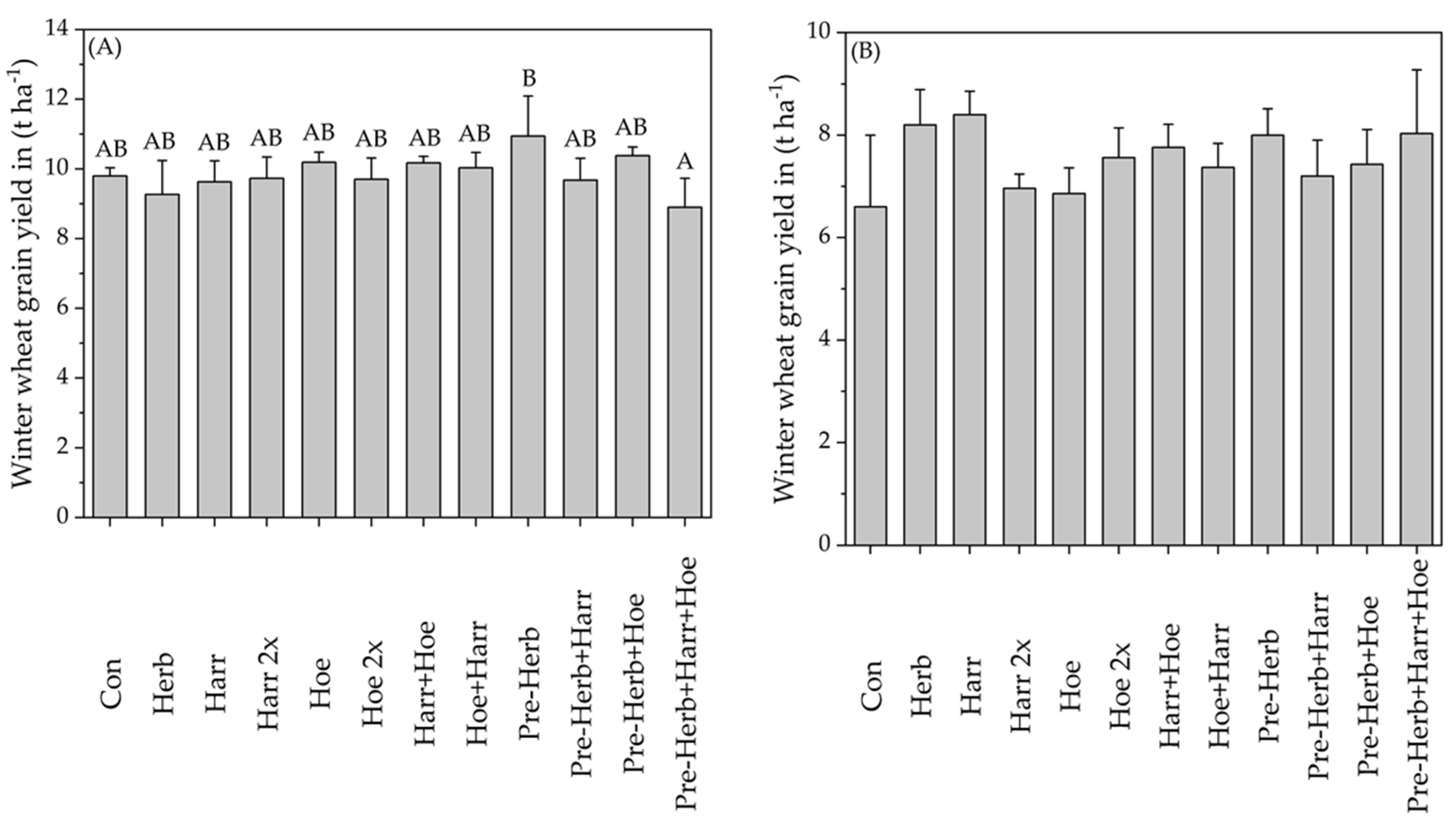
3.6. Grain Yield in Winter Wheat in Hohenheim and Eningen in 2020/2021
4. Discussion
5. Conclusions
Author Contributions
Funding
Data Availability Statement
Acknowledgments
Conflicts of Interest
References
- Oerke, E.M. Crop losses to pests. J. Agric. Sci. 2006, 144, 31–43. [Google Scholar] [CrossRef]
- Cramer, H.H. Plant Protection and World Crop Production; Bayer Pflanzenschutz: Leverkusen, Germany, 1967. [Google Scholar]
- Oerke, E.C.; Dehne, H.W.; SchoKnbeck, F.; Weber, A. Crop Production and Crop Protection: Estimated Losses in Major Food and Cash Crops; Elsevier Science: Amsterdam, The Netherlands, 1994. [Google Scholar]
- Abbas, T.; Zahir, Z.A.; Naveed, M.; Kremer, R.J. Limitations of Existing Weed Control Practices Necessitate Development of Alternative Techniques Based on Biological Approaches. Adv. Agron. 2018, 147, 239–280. [Google Scholar] [CrossRef]
- Zimdahl, R.L. Six Chemicals That Changed Agriculture; Academic Press: Cambridge, MA, USA, 2015; ISBN 9780128006177. [Google Scholar]
- Powles, S.B.; Shaner, D.L. Herbicide Resistance and World Grains; CRC Press: Boca Raton, FL, USA, 2001; ISBN 0-8493-2219-7. [Google Scholar]
- Dayan, F.E. Current Status and Future Prospects in Herbicide Discovery. Plants 2019, 8, 341. [Google Scholar] [CrossRef] [PubMed] [Green Version]
- Flessner, M.L.; Burke, I.C.; Dille, J.A.; Everman, W.J.; VanGessel, M.J.; Tidemann, B.; Manuchehri, M.R.; Soltani, N.; Sikkema, P.H. Potential wheat yield loss due to weeds in the United States and Canada. Weed Technol. 2021, 35, 8. [Google Scholar] [CrossRef]
- Hammerton, J.L. Environmental Factors and Susceptibility to Herbicides. Weeds 1967, 15, 330. [Google Scholar] [CrossRef]
- Kakade, S.U.; Deshmukh, J.P.; Thakare, S.S.; Solanke, M.S. Efficacy of pre-and post-emergence herbicides in maize. Ind. J. Weed Sci. 2020, 52, 143. [Google Scholar] [CrossRef]
- Naseer-ud-Din, G.M.; Shehzad, M.A.; Nasrullah, H. Efficacy of various pre and post-emergence herbicides to control weeds in wheat. Pak. J. Agri. Sci. 2011, 48, 185–190. [Google Scholar]
- Bailly, G.C.; Dale, R.P.; Archer, S.A.; Wright, D.J.; Kaundun, S.S. Role of residual herbicides for the management of multiple herbicide resistance to ACCase and ALS inhibitors in a black-grass population. Crop Prot. 2012, 34, 96–103. [Google Scholar] [CrossRef]
- Firat, P. The effect of post emergence herbicides and their mixtures on grass and broadleaf weed control in barley (Hordeum vulgare L.). Fresenius Environ. Bull. 2020, 29, 1206–1213. [Google Scholar]
- Messelhäuser, M.; Saile, M.; Sievernich, B.; Gerhards, R. Effect of cinmethylin against Alopecurus myosuroides Huds. in winter cereals. Plant Soil Environ. 2021, 67, 46–54. [Google Scholar] [CrossRef]
- Holt, J.S. History of Identification of Herbicide-Resistant Weeds. Weed Technol. 1992, 6, 615–620. [Google Scholar] [CrossRef]
- De Prado, R.; Lopez-Martinez, N.; Gimenez-Espinosa, R. Herbicide-Resistant Weeds in Europe: Agricultural, Physiological and Biochemical Aspects. In Weed and Crop Resistance to Herbicides; de Prado, R., Jorrín, J., García-Torres, L., Eds.; Springer: Dordrecht, The Netherlands, 1997; pp. 17–27. ISBN 978-94-010-6332-6. [Google Scholar]
- Beckie, H.J. Herbicide-Resistant Weeds: Management Tactics and Practices. Weed Technol. 2006, 20, 793–814. [Google Scholar] [CrossRef]
- Powles, S.B.; Yu, Q. Evolution in action: Plants resistant to herbicides. Annu. Rev. Plant Biol. 2010, 61, 317–347. [Google Scholar] [CrossRef] [PubMed] [Green Version]
- Barth, J.A.C.; Steidle, D.; Kuntz, D.; Gocht, T.; Mouvet, C.; von Tümpling, W.; Lobe, I.; Langenhoff, A.; Albrechtsen, H.-J.; Janniche, G.S.; et al. Deposition, persistence and turnover of pollutants: First results from the EU project AquaTerra for selected river basins and aquifers. Sci. Total Environ. 2007, 376, 40–50. [Google Scholar] [CrossRef] [Green Version]
- Kortekamp, A. Herbicides and Environment; IntechOpen: Rijeka, Croatia, 2011; ISBN 9789533074764. [Google Scholar]
- Duke, S.O. Why have no new herbicide modes of action appeared in recent years? Pest Manag. Sci. 2012, 68, 505–512. [Google Scholar] [CrossRef] [Green Version]
- Délye, C.; Jasieniuk, M.; Le Corre, V. Deciphering the evolution of herbicide resistance in weeds. Trends Genet. 2013, 29, 649–658. [Google Scholar] [CrossRef]
- Harker, K.N.; O’Donovan, J.T. Recent Weed Control, Weed Management, and Integrated Weed Management. Weed Technol. 2013, 27, 11. [Google Scholar] [CrossRef]
- European Commission. Communication from the commision to the european parlament, the council, the european economic and social committee and the committee of the regions EU. In Biodiversity Strategy for 2030 Bringing Nature Back into Our Lives; European Commission: Luxembourg, 2020. [Google Scholar]
- Kudsk, P. Reduced Herbicide Rates: Present and Future. In Proceedings of the Deutsche Arbeitsbesprechung über Fragen der Unkrautbiologie und–bekämpfung; Braunschweig, Germany, 3–5 March 2020.
- Rasmussen, J. Testing harrows for mechanical control of annual weeds in agricultural crops. Weed Res. 1992, 32, 267–274. [Google Scholar] [CrossRef]
- Kunz, C.; Weber, J.; Gerhards, R. Benefits of Precision Farming Technologies for Mechanical Weed Control in Soybean and Sugar Beet—Comparison of Precision Hoeing with Conventional Mechanical Weed Control. Agronomy 2015, 5, 130–142. [Google Scholar] [CrossRef] [Green Version]
- Brandsaeter, L.O.; Mangerud, K.; Rasmussen, J. Interactions between pre- and post-emergence weed harrowing in spring cereals. Weed Res. 2012, 52, 338–347. [Google Scholar] [CrossRef]
- Machleb, J.; Kollenda, B.; Peteinatos, G.G.; Gerhards, R. Adjustment of Weed Hoeing to Narrowly Spaced Cereals. Agriculture 2018, 8, 54. [Google Scholar] [CrossRef] [Green Version]
- Spaeth, M.; Schumacher, M.; Gerhards, R. Comparing Sensor-Based Adjustment of Weed Harrowing Intensity with Conventional Harrowing under Heterogeneous Field Conditions. Agronomy 2021, 11, 1605. [Google Scholar] [CrossRef]
- Kaya, R.; Buzluk, S. Integrated Weed Control in Sugar Beet through Combinations of Tractor Hoeing and Reduced Dosages of a Herbicide Mixture. Turk. J. Agric. 2006, 137–144. [Google Scholar]
- Loddo, D.; Scarabel, L.; Sattin, M.; Pederzoli, A.; Morsiani, C.; Canestrale, R.; Tommasini, M.G. Combination of Herbicide Band Application and Inter-Row Cultivation Provides Sustainable Weed Control in Maize. Agronomy 2020, 10, 20. [Google Scholar] [CrossRef] [Green Version]
- Kurstjens, D.A.G.; Kropff, M.J. The impact of uprooting and soil-covering on the effectiveness of weed harrowing. Weed Res. 2001, 41, 211–228. [Google Scholar] [CrossRef]
- Bowmen, G. Steel in the Field: A Farmer’s Guide to Weed Management Tools; Sustainable Agriculture Network: Beltsville, MD, USA, 1997; ISBN 978-1888626025. [Google Scholar]
- Home, M.C.W.; Tillett, N.D.; Hague, T.; Godwin, R.J. An Experimental Study of Lateral Positional Accuracy Achieved During Inter-Row Cultivation. In Proceedings of the 2002 of the 5th EWRS Workshop on Physical and Cultural Weed Control, Pisa, Italy, 11–13 March 2002; EWRS: Pisa, Italy, 2002. [Google Scholar]
- Weber, J.F.; Kunz, C.; Gerhards, R. Chemical and mechanical weed control in soybean (Glycine max). In Proceedings of the 27 Deutsche Arbeitsbesprechung über Fragen der Unkrautbiologie und -bekämpfung, Braunschweig, Germany, 23–25 February 2016. [Google Scholar]
- Rasmussen, J.; Bibby, B.M.; Schou, A.P. Investigating the selectivity of weed harrowing with new methods. Weed Res. 2008, 48, 523–532. [Google Scholar] [CrossRef] [Green Version]
- Gerhards, R.; Späth, M.; Sökefeld, M.; Peteinatos, G.G.; Nabout, A.; Rueda Ayala, V. Automatic adjustment of harrowing intensity in cereals using digital image analysis. Weed Res. 2021, 61, 68–77. [Google Scholar] [CrossRef]
- Tillett, N.D.; Hague, T.; Miles, S.J. Inter-row vision guidance for mechanical weed control in sugar beet. Comput. Electron. Agric. 2002, 33, 163–177. [Google Scholar] [CrossRef]
- Rasmussen, J. A model for prediction of yield response in weed harrowing. Weed Res. 1991, 31, 401–408. [Google Scholar] [CrossRef]
- Steinmann, H.-H. Impact of harrowing on the nitrogen dynamics of plants and soil. Soil Tillage Res. 2002, 65, 53–59. [Google Scholar] [CrossRef]
- Rasmussen, J.; Svenningsen, T. Selective Weed Harrowing in Cereals. Biol. Agric. Hortic. 1995, 12, 29–46. [Google Scholar] [CrossRef]
- Spaeth, M.; Machleb, J.; Peteinatos, G.G.; Saile, M.; Gerhards, R. Smart Harrowing—Adjusting the Treatment Intensity Based on Machine Vision to Achieve a Uniform Weed Control Selectivity under Heterogeneous Field Conditions. Agronomy 2020, 10, 1925. [Google Scholar] [CrossRef]
- Pannacci, E.; Tei, F. Effects of mechanical and chemical methods on weed control, weed seed rain and crop yield in maize, sunflower and soyabean. Crop Prot. 2014, 64, 51–59. [Google Scholar] [CrossRef]
- Kollenda, B. Development of Hoeing in Narrow Seeded Cereals with a Camera Row Guidance, 1st ed.; Cuvillier Verlag: Göttingen, Germany, 2020; ISBN 9783736961692. [Google Scholar]
- Tillett, N.D.; Hague, T. Computer-Vision-based Hoe Guidance for Cereals—An Initial Trial. J. Agric. Eng. Res. 1999, 74, 225–236. [Google Scholar] [CrossRef]
- Rueda-Ayala, V.; Weis, M.; Keller, M.; Andújar, D.; Gerhards, R. Development and testing of a decision making based method to adjust automatically the harrowing intensity. Sensors 2013, 13, 6254–6271. [Google Scholar] [CrossRef]
- Weis, M.; Gutjahr, C.; Rueda Ayala, V.; Gerhards, R.; Ritter, C.; Schölderle, F. Precision farming for weed management: Techniques. Gesunde Pflanz. 2008, 60, 171–181. [Google Scholar] [CrossRef]





| Year | Location | Crop (cv.), Sowing Date | Seed Rate (Seeds m−2) | Crop Rotation | Soil Tillage | Soil Texture |
|---|---|---|---|---|---|---|
| 2019/2020 | Hohenheim | Spring oats, cv. Apollon 2020-03-20 | 350 | Winter wheat, Cover crops | Mulching, plowing | 25% clay, 5% sand, 70% silt |
| 2020/2021 | Hohenheim | Spring oats, cv. Apollon 2021–03-22 | 350 | Winter wheat, Cover crops | Mulching, plowing | 25% clay, 5% sand, 70% silt |
| 2020/2021 | Hohenheim | Winter wheat, cv. Rgt Reform 2020-10-25 | 300 | Alfalfa | Plowing, rotary harrow | 25% clay, 5% sand, 70% silt |
| 2020/2021 | Eningen | Winter wheat, cv. Rgt Reform 2020-10-22 | 310 | Oil seed rape | Plowing, rotary harrow | 43% clay, 23% sand, 35% silt |
| Year, Location | Crop | PRE-Appl. (DAS) | Herbicide Field Rate | POST-Appl. (DAS) | Herbicide Field Rate |
|---|---|---|---|---|---|
| 2019/2020, Hohenheim | Spring oats | - | - | 26 | 1 Biathlon® 4D (0.07 kg ha−1) + Adjuvant |
| 2020/2021, Hohenheim | Spring oats | - | - | 29 | 1 Biathlon® 4D (0.07 kg ha−1) + Adjuvant |
| 2020/2021, Hohenheim | Winter wheat | 5 | 3 Malibu® (4 L ha−1) | 135 | 1 Biathlon® 4D (0.07 kg ha−1) + Adjuvant and 2.Atlantis® Flex (0.3 kg ha−1) + Adjuvant |
| 2020/2021, Eningen | Winter wheat | 7 | 3 Malibu® (4 L ha−1) | 137 | 1 Biathlon® 4D (0.07 kg ha−1) + Adjuvant and 2.Atlantis® Flex (0.3 kg ha−1) + Adjuvant |
| Number | Location | Crop | Year | Weed Density (Weeds m−2) | Weed Species |
|---|---|---|---|---|---|
| 1 | Hohenheim | Spring oats | 2020 | 36 | Veronica persica POIR. 31% |
| Lamium purpureum (L.) 25% | |||||
| Capsella bursa-pastoris (L.) 19% | |||||
| Stellaria media (L.) 18% | |||||
| Cirsium arvense (L.) 5% | |||||
| 2 | Hohenheim | Spring oats | 2021 | 15 | Veronica persica POIR. 33% |
| Lamium purpureum (L.) 27% | |||||
| Capsella bursa-pastoris (L.) 19% | |||||
| Stellaria media (L.) 10% | |||||
| Thlaspi arvense (L.) 9% | |||||
| 3 | Hohenheim | Winter wheat | 2021 | 17 | Veronica persica POIR. 33% |
| Lamium purpureum (L.) 25% | |||||
| Stellaria media (L.) 19% | |||||
| Capsella bursa-pastoris (L.) 10% | |||||
| Chenopodium album (L.) 4% | |||||
| 4 | Eningen | Winter wheat | 2021 | 23 | Veronica persica POIR. 29% |
| Lamium purpureum (L.) 27% | |||||
| Galium aparine (L.) 12% | |||||
| Persicaria maculosa GRAY. 7% | |||||
| Rumex crispus (L.) 5% |
| Treatment | Spring Oats 2019/2020 Hohenheim (Crops m−2) | Spring Oats 2020/2021 Hohenheim (Crops m−2) | Winter Wheat 2020/2021 Hohenheim (Crops m−2) | Winter Wheat 2020/2021 Eningen (Crops m−2) |
|---|---|---|---|---|
| Herb | 1b | 0c | 0c | 1d |
| Harr | 6ab | 6c | 5abc | 4bcd |
| Harr 2× | - | - | 6abc | 8abc |
| Hoe | 3b | 8c | 2c | 2cd |
| Hoe 2× | - | - | 5bc | 4bcd |
| Harr + Hoe | 24a | 29a | 10ab | 10ab |
| Hoe + Harr | 23a | 23ab | 10ab | 9abc |
| Pre-Herb | - | - | 1c | 3cd |
| Pre-Herb + Harr | - | - | 6abc | 6bcd |
| Pre-Herb + Hoe | - | - | 4bc | 7bcd |
| Pre-Herb + Harr + Hoe | - | - | 12a | 15a |
Publisher’s Note: MDPI stays neutral with regard to jurisdictional claims in published maps and institutional affiliations. |
© 2022 by the authors. Licensee MDPI, Basel, Switzerland. This article is an open access article distributed under the terms and conditions of the Creative Commons Attribution (CC BY) license (https://creativecommons.org/licenses/by/4.0/).
Share and Cite
Saile, M.; Spaeth, M.; Gerhards, R. Evaluating Sensor-Based Mechanical Weeding Combined with Pre- and Post-Emergence Herbicides for Integrated Weed Management in Cereals. Agronomy 2022, 12, 1465. https://doi.org/10.3390/agronomy12061465
Saile M, Spaeth M, Gerhards R. Evaluating Sensor-Based Mechanical Weeding Combined with Pre- and Post-Emergence Herbicides for Integrated Weed Management in Cereals. Agronomy. 2022; 12(6):1465. https://doi.org/10.3390/agronomy12061465
Chicago/Turabian StyleSaile, Marcus, Michael Spaeth, and Roland Gerhards. 2022. "Evaluating Sensor-Based Mechanical Weeding Combined with Pre- and Post-Emergence Herbicides for Integrated Weed Management in Cereals" Agronomy 12, no. 6: 1465. https://doi.org/10.3390/agronomy12061465
APA StyleSaile, M., Spaeth, M., & Gerhards, R. (2022). Evaluating Sensor-Based Mechanical Weeding Combined with Pre- and Post-Emergence Herbicides for Integrated Weed Management in Cereals. Agronomy, 12(6), 1465. https://doi.org/10.3390/agronomy12061465

