Effect of Tillage and Residue-Returning Mode on Soil Carbon Mineralizability and Accumulation in a Wheat–Maize System
Abstract
:1. Introduction
2. Materials and Methods
2.1. Study Site and Experiment Design
2.2. Soil Sampling
2.3. Laboratory Incubation
2.4. SOC Mineralization
2.4.1. Cumulative SOC Mineralization
2.4.2. Mean Cumulative C Mineralization
- (1)
- The value of K2 is less than that of K1;
- (2)
- K1 is more significant than 0.
3. Results
3.1. SOC Concentration
3.2. SOC Mineralizability
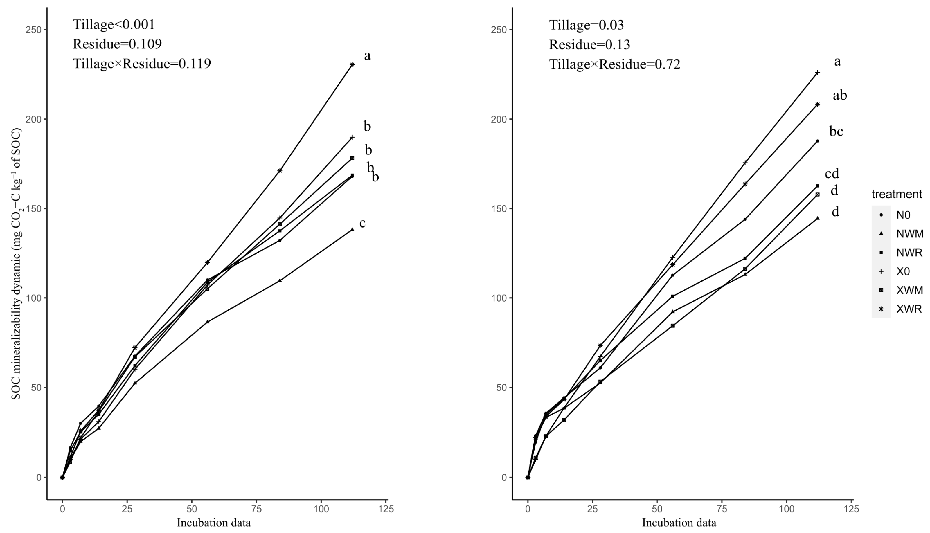
3.2.1. SOC Mineralizability with Straw Addition
3.2.2. SOC Mineralizability without Straw Addition
3.2.3. Potentially Mineralizable C (Cp)
3.2.4. Rate Constants of SOC Mineralization (K0)
3.2.5. Labile C (C1) and Constants Rate for Labile and More Recalcitrant C Fractions (K1, K2)
3.3. Pearson’s Correlation Coefficients of Cp and SOC, C1, K0, Ccu
4. Discussion
4.1. SOC Accumulation under Different Tillage and Residue Modes
4.2. SOC Mineralizability under Different Tillage and Residue-Returning Modes
4.3. Limitations and Perspectives
5. Conclusions
Author Contributions
Funding
Data Availability Statement
Conflicts of Interest
References
- Wang, X.J.; Chen, G.H.; Wang, S.Y.; Zhang, L.Y.; Zhang, R. Temperature sensitivity of different soil carbon pools under biochar addition. Environ. Sci. Pollut. Res. 2019, 26, 4130–4140. [Google Scholar] [CrossRef] [PubMed]
- Scharlemann, J.P.W.; Tanner, E.V.J.; Hiederer, R.; Kapos, V. Global soil carbon: Understanding and managing the largest terrestrial carbon pool. Carbon Manag. 2014, 5, 81–91. [Google Scholar] [CrossRef]
- Jobbagy, E.G.; Jackson, R.B. The vertical distribution of soil organic carbon and its relation to climate and vegetation. Ecol. Appl. 2000, 10, 423–436. [Google Scholar] [CrossRef]
- Schlesinger, W.H.; Andrews, J.A. Soil respiration and the global carbon cycle. Biogeochemistry 2000, 48, 7–20. [Google Scholar] [CrossRef]
- Bond-Lamberty, B.; Thomson, A. Temperature-associated increases in the global soil respiration record. Nature 2010, 464, 579–582. [Google Scholar] [CrossRef]
- Zhao, Y.C.; Wang, M.Y.; Hu, S.J.; Zhang, X.D.; Ouyang, Z.; Zhang, G.L.; Huang, B.A.; Zhao, S.W.; Wu, J.S.; Xie, D.T.; et al. Economics- and policy-driven organic carbon input enhancement dominates soil organic carbon accumulation in Chinese croplands. Proc. Natl. Acad. Sci. USA 2018, 115, 4045–4050. [Google Scholar] [CrossRef] [Green Version]
- Raiesi, F. Carbon and N mineralization as affected by soil cultivation and crop residue in a calcareous wetland ecosystem in Central Iran. Agric. Ecosyst. Environ. 2006, 112, 13–20. [Google Scholar] [CrossRef]
- Raiesi, F.; Kabiri, V. Carbon and nitrogen mineralization kinetics as affected by tillage systems in a calcareous loam soil. Ecol. Eng. 2017, 106, 24–34. [Google Scholar] [CrossRef]
- Kan, Z.R.; Ma, S.T.; Liu, Q.Y.; Liu, B.Y.; Virk, A.L.; Qi, J.Y.; Zhao, X.; Lal, R.; Zhang, H.L. Carbon sequestration and mineralization in soil aggregates under long-term conservation tillage in the North China Plain. Catena 2020, 188, 104428. [Google Scholar] [CrossRef]
- Qi, J.Y.; Jing, Z.H.; He, C.; Liu, Q.Y.; Wang, X.; Kan, Z.R.; Zhao, X.; Xiao, X.P.; Zhang, H.L. Effects of tillage management on soil carbon decomposition and its relationship with soil chemistry properties in rice paddy fields. J. Environ. Manag. 2021, 279, 111595. [Google Scholar] [CrossRef]
- Das, S.; Richards, B.K.; Hanley, K.L.; Krounbi, L.; Walter, M.F.; Walter, M.T.; Steenhuis, T.S.; Lehmann, J. Lower mineralizability of soil carbon with higher legacy soil moisture. Soil Biol. Biochem. 2019, 130, 94–104. [Google Scholar] [CrossRef]
- Sarker, J.R.; Singh, B.P.; Fang, Y.Y.; Cowie, A.L.; Dougherty, W.J.; Collins, D.; Dalal, R.C.; Singh, B.K. Tillage history and crop residue input enhanced native carbon mineralisation and nutrient supply in contrasting soils under long-term farming systems. Soil Tillage Res. 2019, 193, 71–84. [Google Scholar] [CrossRef]
- Six, J.; Bossuyt, H.; Degryze, S.; Denef, K. A history of research on the link between (micro)aggregates, soil biota, and soil organic matter dynamics. Soil Tillage Res. 2004, 79, 7–31. [Google Scholar] [CrossRef]
- Six, J.; Elliott, E.T.; Paustian, K. Soil macroaggregate turnover and microaggregate formation: A mechanism for C sequestration under no-tillage agriculture. Soil Biol. Biochem. 2000, 32, 2099–2103. [Google Scholar] [CrossRef]
- Thierfelder, C.; Chivenge, P.; Mupangwa, W.; Rosenstock, T.S.; Lamanna, C.; Eyre, J.X. How climate-smart is conservation agriculture (CA)?—Its potential to deliver on adaptation, mitigation and productivity on smallholder farms in southern Africa. Food Secur. 2017, 9, 537–560. [Google Scholar] [CrossRef] [Green Version]
- Xavier, C.V.; Moitinho, M.R.; Teixeira, D.D.; Santos, G.A.D.; Barbosa, M.D.; Milori, D.; Rigobelo, E.; Cora, J.E.; La Scala, N. Crop rotation and succession in a no-tillage system: Implications for CO2 emission and soil attributes. J. Environ. Manag. 2019, 245, 8–15. [Google Scholar] [CrossRef]
- Zhao, X.; Zhang, R.; Xue, J.F.; Pu, C.; Zhang, X.Q.; Liu, S.L.; Chen, F.; Lal, R.; Zhang, H.L. Management-Induced Changes to Soil Organic Carbon in China: A Meta-analysis. Adv. Agron. 2015, 134, 1–50. [Google Scholar]
- Zhang, Y.; Li, X.J.; Gregorich, E.G.; McLaughlin, N.B.; Zhang, X.P.; Guo, Y.F.; Liang, A.Z.; Fan, R.Q.; Sun, B.J. No-tillage with continuous maize cropping enhances soil aggregation and organic carbon storage in Northeast China. Geoderma 2018, 330, 204–211. [Google Scholar] [CrossRef]
- Dimassi, B.; Mary, B.; Fontaine, S.; Perveen, N.; Revaillot, S.; Cohan, J.P. Effect of nutrients availability and long-term tillage on priming effect and soil C mineralization. Soil Biol. Biochem. 2014, 78, 332–339. [Google Scholar] [CrossRef]
- Sarker, J.R.; Singh, B.P.; Cowie, A.L.; Fang, Y.Y.; Collins, D.; Dougherty, W.J.; Singh, B.K. Carbon and nutrient mineralisation dynamics in aggregate-size classes from different tillage systems after input of canola and wheat residues. Soil Biol. Biochem. 2018, 116, 22–38. [Google Scholar] [CrossRef]
- Qin, S.Q.; Chen, L.Y.; Fang, K.; Zhang, Q.W.; Wang, J.; Liu, F.T.; Yu, J.C.; Yang, Y.H. Temperature sensitivity of SOM decomposition governed by aggregate protection and microbial communities. Sci. Adv. 2019, 5, eaau1218. [Google Scholar] [CrossRef] [PubMed] [Green Version]
- Sauvadet, M.; Lashermes, G.; Alavoine, G.; Recous, S.; Chauvat, M.; Maron, P.A.; Bertrand, I. High carbon use efficiency and low priming effect promote soil C stabilization under reduced tillage. Soil Biol. Biochem. 2018, 123, 64–73. [Google Scholar] [CrossRef]
- Zhou, Y.; Xing, X.F.; Lang, J.L.; Chen, D.S.; Cheng, S.Y.; Wei, L.; Wei, X.; Liu, C. A comprehensive biomass burning emission inventory with high spatial and temporal resolution in China. Atmos. Chem. Phys. 2017, 17, 2839–2864. [Google Scholar] [CrossRef] [Green Version]
- Zhang, H.L.; Zhao, X.; Yin, X.G.; Liu, S.L.; Xue, J.F.; Wang, M.; Pu, C.; Lal, R.; Chen, F. Challenges and adaptations of farming to climate change in the North China Plain. Clim. Chang. 2015, 129, 213–224. [Google Scholar] [CrossRef]
- Dicks, L.V.; Rose, D.C.; Ang, F.; Aston, S.; Birch, A.N.E.; Boatman, N.; Bowles, E.L.; Chadwick, D.; Dinsdale, A.; Durham, S.; et al. What agricultural practices are most likely to deliver “sustainable intensification” in the UK? Food Energy Secur. 2019, 8, e00148. [Google Scholar] [CrossRef]
- Pu, C.; Kan, Z.R.; Liu, P.; Ma, S.T.; Qi, J.Y.; Zhao, X.; Zhang, H.L. Residue management induced changes in soil organic carbon and total nitrogen under different tillage practices in the North China Plain. J. Integr. Agric. 2019, 18, 1337–1347. [Google Scholar] [CrossRef]
- Bao, S.D. Methods for Soil Agricultural and Chemical Analysis; China Agricultural Press: Beijing, China, 2000. [Google Scholar]
- Zhang, H.L.; Lal, R.; Zhao, X.; Xue, J.F.; Chen, F. Opportunities and Challenges of Soil Carbon Sequestration by Conservation Agriculture in China. Adv. Agron. 2014, 124, 1–36. [Google Scholar]
- VandenBygaart, A.J.; Gregorich, E.G.; Angers, D.A. Influence of agricultural management on soil organic carbon: A compendium and assessment of Canadian studies. Can. J. Soil Sci. 2003, 83, 363–380. [Google Scholar] [CrossRef]
- Min, K.; Berhe, A.A.; Khoi, C.M.; van Asperen, H.; Gillabel, J.; Six, J. Differential effects of wetting and drying on soil CO2 concentration and flux in near-surface vs. deep soil layers. Biogeochemistry 2020, 148, 255–269. [Google Scholar] [CrossRef]
- Dikgwatlhe, S.B.; Kong, F.L.; Chen, Z.D.; Lal, R.; Zhang, H.L.; Chen, F. Tillage and residue management effects on temporal changes in soil organic carbon and fractions of a silty loam soil in the North China Plain. Soil Use Manag. 2014, 30, 496–506. [Google Scholar] [CrossRef]
- Potter, K.N.; Velazquez-Garcia, I.; Scopel, E.; Torbert, H.A. Residue removal and climatic effects on soil carbon content of no-till soils. J. Soil Water Conserv. 2007, 62, 110–114. [Google Scholar]
- Kan, Z.R.; Virk, A.L.; He, C.; Liu, Q.Y.; Qi, J.Y.; Dang, Y.P.; Zhao, X.; Zhang, H.L. Characteristics of carbon mineralization and accumulation under long-term conservation tillage. Catena 2020, 193, 104636. [Google Scholar] [CrossRef]
- Sierra, J.; Desfontaines, L. Predicting the in situ rate constant of soil carbon mineralisation from laboratory-based measurements in tropical soils under contrasting tillage management systems. Soil Tillage Res. 2018, 180, 175–181. [Google Scholar] [CrossRef]
- Kan, Z.R.; Virk, A.L.; Wu, G.; Qi, J.Y.; Ma, S.T.; Wang, X.; Zhao, X.; Lal, R.; Zhang, H.L. Priming effect intensity of soil organic carbon mineralization under no-till and residue retention. Appl. Soil Ecol. 2020, 147, 103445. [Google Scholar] [CrossRef]
- Vazquez, E.; Benito, M.; Espejo, R.; Teutscherova, N. Effects of no-tillage and liming amendment combination on soil carbon and nitrogen mineralization. Eur. J. Soil Biol. 2019, 93, 103090. [Google Scholar] [CrossRef]
- Tang, Z.X.; Sun, X.L.; Luo, Z.K.; He, N.P.; Sun, O.J. Effects of temperature, soil substrate, and microbial community on carbon mineralization across three climatically contrasting forest sites. Ecol. Evol. 2018, 8, 879–891. [Google Scholar] [CrossRef]
- Fang, Y.Y.; Nazaries, L.; Singh, B.K.; Singh, B.P. Microbial mechanisms of carbon priming effects revealed during the interaction of crop residue and nutrient inputs in contrasting soils. Glob. Chang. Biol. 2018, 24, 2775–2790. [Google Scholar] [CrossRef]
- Ma, S.T.; Kan, Z.R.; Qi, J.Y.; Zhang, H.L. Effects of Straw Return Mode on Soil Aggregates and Associated Carbon in the North China Plain. Agronomy 2020, 10, 61. [Google Scholar] [CrossRef] [Green Version]


| Treatment | Tillage | Addition Rate |
|---|---|---|
| N0 | No tillage | 0.4%MWR |
| NWR | No tillage | 0.4%MWR + 0.4%MS |
| NWM | No tillage | 0.4%MWR + 0.4%MS + 0.4%WS |
| X0 | Rotary tillage | 0.4%MWR |
| XWR | Rotary tillage | 0.4%MWR + 0.4%MS |
| XWM | Rotary tillage | 0.4%MWR + 0.4%MS + 0.4%WS |
| Treatment | 0–10 cm | 10–20 cm |
|---|---|---|
| N0 | 9.95c | 5.43cd |
| NWR | 10.48bc | 5.86bc |
| NWM | 11.56a | 6.44ab |
| X0 | 7.96d | 5.15d |
| XWR | 6.28e | 5.72cd |
| WM | 11.00ab | 6.91a |
| Tillage (T) | ||
| NT | 10.66a | 5.91a |
| RT | 8.41b | 5.93a |
| Residue(R) | ||
| N0 | 8.95b | 5.29c |
| WR | 8.38b | 5.79b |
| WM | 11.27a | 6.67a |
| ANOVA | ||
| T | <0.01 | N.S |
| R | <0.01 | <0.01 |
| T × R | <0.01 | N.S |
| Treatment | Field Experiment | Laboratory Incubation |
|---|---|---|
| ANOVA | ||
| T | <0.01 | <0.01 |
| R | <0.01 | <0.01 |
| L | N.S | N.S |
| T × R | N.S | 0.02 |
| T × L | N.S | N.S |
| R × L | 0.03 | 0.04 |
| T × R × L | N.S | N.S |
| Treatment | Parameter | ||
|---|---|---|---|
| Cp (×10−2 mg C g−1 C) | K0 (×103 day−1) | R2 | |
| 0–10 cm | |||
| N0 | 19.96 (1.79) | 26.03 | 0.972 |
| NWR | 33.72 (1.08) | 19.80 | 0.998 |
| NWM | 39.98 (2.04) | 25.40 | 0.991 |
| X0 | 19.37 (1.87) | 25.64 | 0.967 |
| XWR | 34.74 (2.69) | 25.61 | 0.979 |
| XWM | 36.86 (4.11) | 24.96 | 0.964 |
| 10–20 cm | |||
| N0 | 13.10 (1.26) | 25.82 | 0.967 |
| NWR | 19.07 (2.70) | 23.56 | 0.948 |
| NWM | 21.33 (3.24) | 22.42 | 0.949 |
| X0 | 15.34 (1.60) | 26.48 | 0.959 |
| XWR | 22.61 (1.86) | 26.77 | 0.974 |
| XWM | 30.33 (3.14) | 25.83 | 0.964 |
| Treatment | Parameter | ||
|---|---|---|---|
| Cp (×10−2 mg C g−1 C) | K0 (×103 day−1) | R2 | |
| 0–10 cm | |||
| NWR | 23.68 (2.42) | 11.77 | 0.994 |
| NWM | 13.80 (2.10) | 24.06 | 0.941 |
| N0 | 14.56 (1.83) | 25.73 | 0.947 |
| XWR | 12.18 (2.85) | 21.10 | 0.909 |
| XWM | 17.30 (2.68) | 22.74 | 0.946 |
| X0 | 12.99 (2.70) | 21.45 | 0.924 |
| 10–20 cm | |||
| NWR | 10.71 (1.90) | 15.79 | 0.955 |
| NWM | 10.84 (2.16) | 15.04 | 0.948 |
| N0 | 14.34 (3.83) | 10.29 | 0.967 |
| XWR | 10.32 (1.71) | 23.91 | 0.924 |
| XWM | 20.21 (7.08) | 6.55 | 0.983 |
| X0 | 21.46 (7.37) | 6.68 | 0.986 |
| Treatment | Parameter | |||
|---|---|---|---|---|
| C1 (mg C g−1 C) | K1 (×103 day−1) | K2 (×103 day−1) | R2 | |
| 0–10 cm | ||||
| N0 | 138.81 (14.99) | 43.87 | 2.72 | 0.999 |
| NWR | 246.45 (37.05) | 41.85 | 4.87 | 0.999 |
| NWM | 505.29 (154.83) | 24.00 | 2.52 | 0.999 |
| X0 | 88.61 (4.65) | 79.47 | 2.96 | 0.999 |
| XWR | 202.69 (17.22) | 41.22 | 4.15 | 0.999 |
| XWM | 370.13 (191.61) | 23.64 | 5.25 | 0.999 |
| 10–20 cm | ||||
| N0 | 44.69 (9.60) | 58.87 | 1.00 | 0.998 |
| NWR | 33.62 (3.55) | 91.23 | 1.73 | 0.999 |
| NWM | 35.87 (9.23) | 72.37 | 2.17 | 0.999 |
| X0 | 57.19 (5.53) | 89.23 | 1.57 | 0.999 |
| XWR | 84.36 (8.49) | 48.45 | 1.49 | 0.999 |
| XWM | 120.63 (22.62) | 47.77 | 3.11 | 0.999 |
| Treatment | Parameter | |||
|---|---|---|---|---|
| C1 (mg C g−1 C) | K1 (×103 day−1) | K2 (×103 day−1) | R2 | |
| 0–10 cm | ||||
| NWR | 60.37 (28.40) | 60.90 | 2.70 | 0.996 |
| NWM | 52.72 (20.47) | 69.87 | 2.85 | 0.998 |
| N0 | 56.57 (15.23) | 131.85 | 2.93 | 0.995 |
| XWR | 19.00 (16.93) | 81.00 | 2.34 | 0.996 |
| XWM | 39.96 (8.49) | 76.99 | 2.56 | 0.999 |
| X0 | 11.41 (4.15) | 392.10 | 3.17 | 0.999 |
| 10–20 cm | ||||
| NWR | 17.38 (2.51) | 254.83 | 0.70 | 0.995 |
| NWM | 16.15 (2.03) | 500.95 | 0.75 | 0.995 |
| N0 | 12.52 (1.74) | 583.23 | 0.84 | 0.997 |
| XWR | 15.45 (1.18) | 523.99 | 1.34 | 0.999 |
| XWM | 11.14 (2.58) | 267.74 | 1.04 | 0.997 |
| X0 | 9.85 (3.06) | 249.45 | 1.45 | 0.995 |
| Variables | C1 | K0 | Ccu | SOC |
|---|---|---|---|---|
| Cp | 0.365 | −0.381 | 0.427 * | 0.103 |
| C1 | 0.362 | 0.536 ** | 0.662 ** | |
| K0 | 0.284 | 0.538 ** | ||
| Ccu | 0.069 |
Publisher’s Note: MDPI stays neutral with regard to jurisdictional claims in published maps and institutional affiliations. |
© 2022 by the authors. Licensee MDPI, Basel, Switzerland. This article is an open access article distributed under the terms and conditions of the Creative Commons Attribution (CC BY) license (https://creativecommons.org/licenses/by/4.0/).
Share and Cite
Duan, H.; Cheng, J.; Han, M.; Zhang, H. Effect of Tillage and Residue-Returning Mode on Soil Carbon Mineralizability and Accumulation in a Wheat–Maize System. Agronomy 2022, 12, 1442. https://doi.org/10.3390/agronomy12061442
Duan H, Cheng J, Han M, Zhang H. Effect of Tillage and Residue-Returning Mode on Soil Carbon Mineralizability and Accumulation in a Wheat–Maize System. Agronomy. 2022; 12(6):1442. https://doi.org/10.3390/agronomy12061442
Chicago/Turabian StyleDuan, Hongxuan, Jia Cheng, Mengqi Han, and Hailin Zhang. 2022. "Effect of Tillage and Residue-Returning Mode on Soil Carbon Mineralizability and Accumulation in a Wheat–Maize System" Agronomy 12, no. 6: 1442. https://doi.org/10.3390/agronomy12061442
APA StyleDuan, H., Cheng, J., Han, M., & Zhang, H. (2022). Effect of Tillage and Residue-Returning Mode on Soil Carbon Mineralizability and Accumulation in a Wheat–Maize System. Agronomy, 12(6), 1442. https://doi.org/10.3390/agronomy12061442

