Transcriptomics Analysis on Fertility Conversion in Thermosensitive Genetic Male Sterility Line Zhu1S under High Temperature
Abstract
:1. Introduction
2. Materials and Methods
2.1. Plant Materials and Growth Condition
2.2. RNA Extraction, Library Construction and Sequencing
2.3. Sequencing Data Analysis and Differentially Expressed Gene Evaluation
2.4. Functional Classification and KEGG Analysis of Differentially Expressed Genes
2.5. Protein Interaction Analysis Using STRING
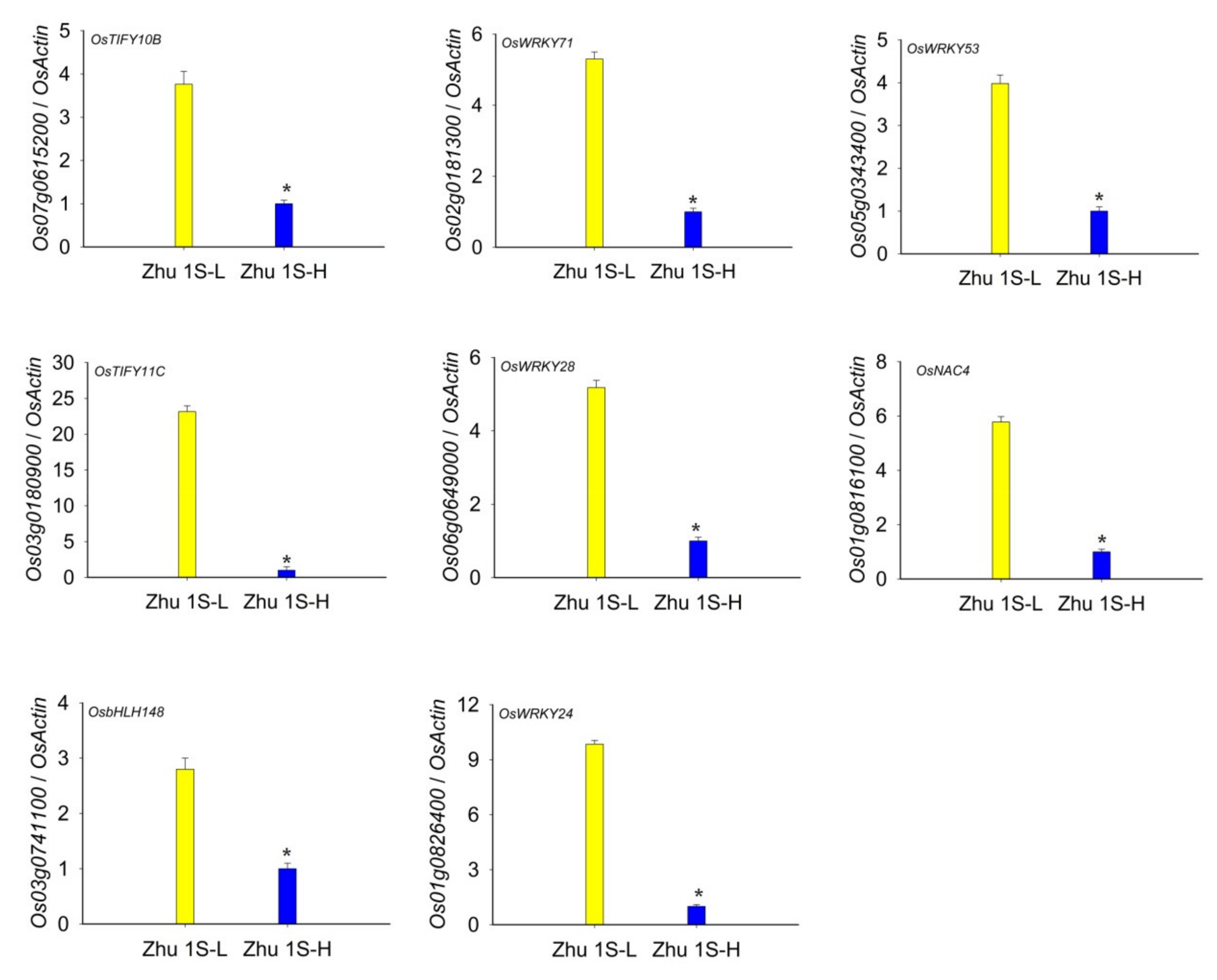
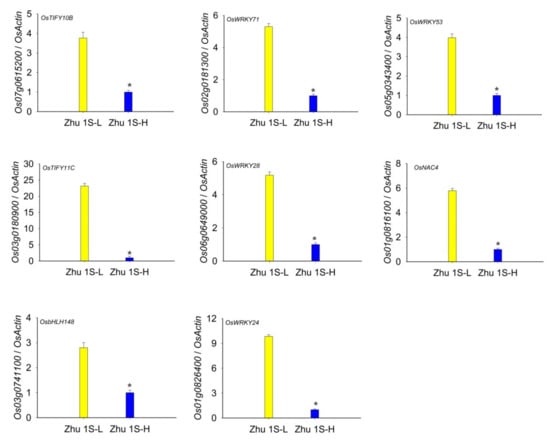
2.6. Quantitative RT-PCR
3. Results
3.1. Phenotype Analysis of Zhu 1SPollen Grains during Fertility Transition
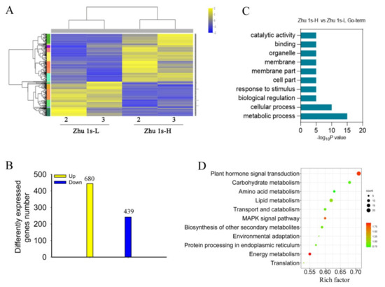
3.2. Transcriptional AnalysisRevealed Genes Showing Transcriptional Changes in Response to High Temperature in Zhu 1S
3.3. Gene Ontology (GO) and Kyoto Encyclopedia of Genes and Genomes (KEGG) Analysis of Differentially Expressed Genes Response to High Temperature in Zhu 1S
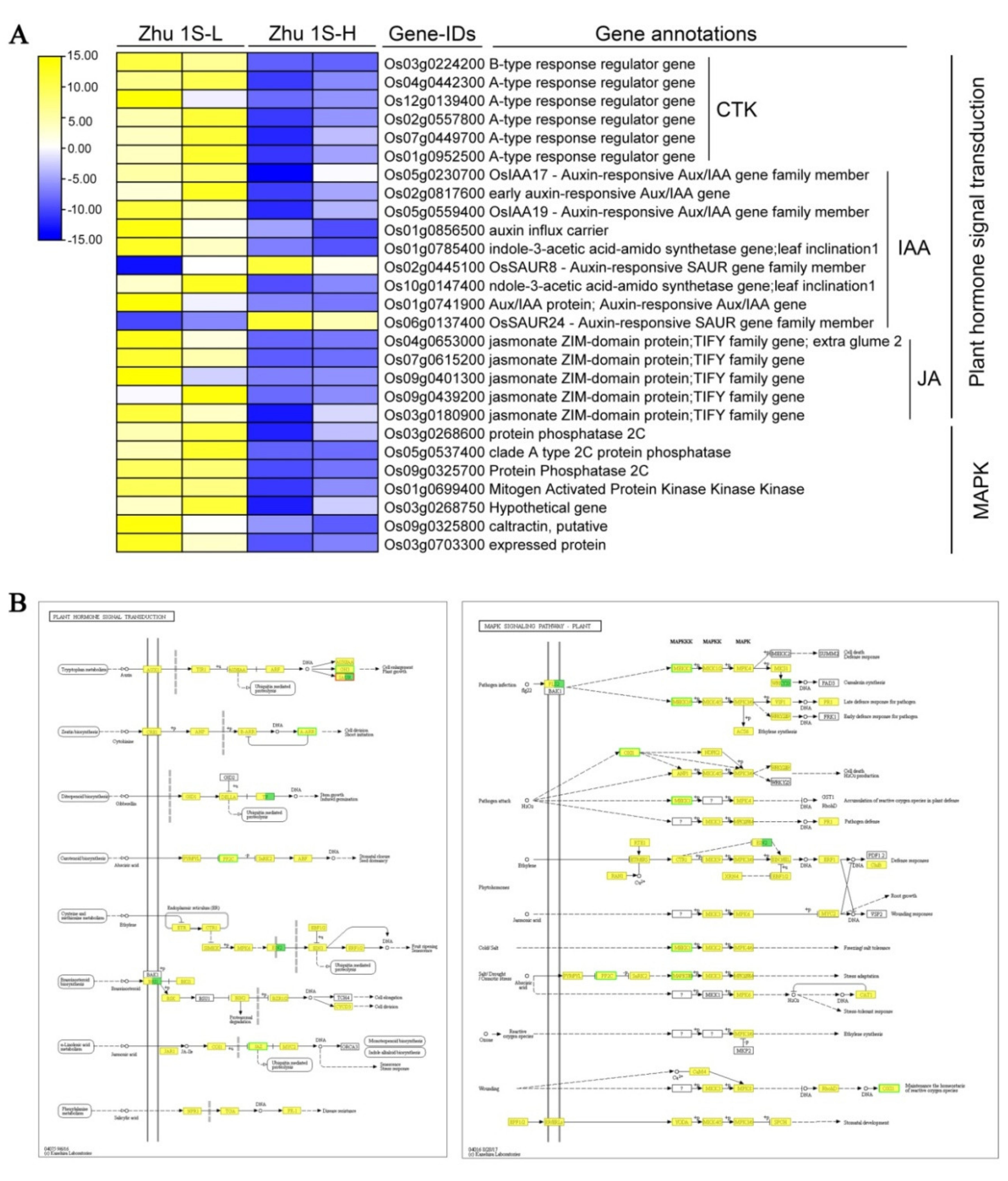
3.4. Hormone and MAPK Signal Transduction Was Affected in Zhu 1S under High Temperature
3.5. Transcriptional Regulation Process Was Affected in Zhu 1S under High Temperature
3.6. The Protein-Protein Interaction Network of the Differential Expression Transcription Factor Genes
4. Discussion
4.1. Plant Hormone and MAPK Signal Transduction
4.2. The Role of Transcription Factors in Fertility Conversion in Zhu 1S
4.3. The Complex Molecular Responses Network in Zhu 1S during Fertility Transition
Supplementary Materials
Author Contributions
Funding
Data Availability Statement
Conflicts of Interest
References
- Yang, Y.Z.; Tang, P.L.; Yang, W.C.; Liu, A.M.; Chen, Y.Q.; Lin, W.B.; Shi, T.B. Breeding and utilization of TGMS line Zhu1S in rice. Hybrid Rice 2000, 15, 6–8. [Google Scholar]
- Xiao, X.J.; Yang, Y.Z.; Yang, Y.J.; Lin, J.Z.; Tang, D.Y.; Liu, X.M. Comparative analysis of young panicle proteome in thermo-sensitive genic male-sterile rice Zhu-1S under sterile and fertile conditions. Biotechnol. Lett. 2009, 31, 157–161. [Google Scholar] [CrossRef] [PubMed]
- Song, L.R.; Liu, Z.Q.; Tong, J.H.; Xiao, L.T.; Ma, H.; Zhang, H.Q. Comparative proteomics analysis reveals the mechanism of fertility alternation of thermo-sensitive genic male sterile rice lines under low temperature inducement. Proteomics 2015, 15, 1884–1905. [Google Scholar] [CrossRef] [PubMed]
- Chen, H.; Jin, J.; Zhang, H.Y.; Wang, Y.; Li, Q.; Zou, Y.; Huang, X.G.; Zhou, B.J.; Zhou, R.; Ding, Y. Comparative Analysis of Proteomics and Transcriptomics during Fertility Transition in a Two-Line Hybrid Rice Line Wuxiang S. Int. J. Mol. Sci. 2019, 20, 4542. [Google Scholar] [CrossRef] [Green Version]
- Ashraf, M.F.; Peng, G.Q.; Liu, Z.L.; Noman, A.; Alamri, S.; Hashem, M.; Qari, S.H.; Mahmoud al Zoubi, O. Molecular Control and Application of Male Fertility for Two-Line Hybrid Rice Breeding. Int.J. Mol.Sci. 2020, 21, 7868. [Google Scholar] [CrossRef]
- Pan, Y.F.; Li, Q.F.; Wang, Z.Z.; Wang, Y.; Ma, R.; Zhu, L.L.; He, G.C.; Chen, R.Z. Genes associated with thermosensitive genic male sterility in rice identified by comparative expression profiling. BMC Genom. 2014, 16, 1114. [Google Scholar] [CrossRef] [Green Version]
- Zhang, X.H.; Zuo, B.; Song, Z.J.; Wang, W.; He, Y.C.; Liu, Y.H.; Cai, D.T. Breeding and study of two new photoperiod- and thermo-sensitive genic male sterile lines of polyploid rice (Oryza sativa L.). Sci Rep. 2017, 7, 14744. [Google Scholar] [CrossRef] [Green Version]
- Wang, Y.L.; Zhang, Y.K.; Zhang, Q.; Cui, Y.T.; Xiang, J.; Chen, H.Z.; Hu, G.H.; Chen, Y.H.; Wang, X.D.; Zhu, D.F.; et al. Comparative transcriptome analysis of panicle development under heat stress in two rice (Oryza sativa L.) cultivars differing in heat tolerance. Peer. J. 2019, 29, e7595. [Google Scholar] [CrossRef] [Green Version]
- Wang, S.Y.; Tian, Q.Y.; Zhou, S.Q.; Mao, D.D.; Chen, L.B. A quantitative proteomic analysis of the molecular mechanism underlying fertility conversion in thermo-sensitive genetic male sterility line AnnongS-1. BMC Plant Biol. 2019, 11, 65. [Google Scholar] [CrossRef]
- Peng, H.F.; Chen, X.H.; Lu, Y.P.; Peng, Y.F.; Wan, B.H.; Chen, N.D.; Wu, B.; Xin, S.P.; Zhang, G.Q. Fine mapping of a gene for non-pollen type thermosensitive genic male sterility in rice (Oryza sativa L.). Theor. Appl. Genet. 2010, 120, 1013–1020. [Google Scholar] [CrossRef]
- Sheng, Z.H.; Wei, X.; Shao, G.; Chen, M.L.; Song, J.; Tang, S.Q.; Luo, J.; Hu, Y.C.; Hu, P.; Chen, L.Y. Genetic analysis and fine mapping of tms9, a novel thermosensitive genic male-sterile gene in rice (Oryza sativa L.). Plant Breed. 2013, 132, 159–164. [Google Scholar] [CrossRef]
- Han, L.; Li, J.L.; Jin, M.; Su, Y.H. Transcriptome analysis of Arabidopsis seedlings responses to high concentrations of glucose. Genet. Mol. Res. 2015, 14, 4784–4800. [Google Scholar] [CrossRef]
- Tang, X.; Hao, Y.J.; Lu, J.X.; Lu, G.; Zhang, T. Transcriptomic analysis reveals the mechanism of thermosensitive genic male sterility (TGMS) of Brassica napus under the high temperature inducement. BMC Genom. 2019, 20, 644. [Google Scholar] [CrossRef] [Green Version]
- Livak, K.J.; Schmittgen, T.D. Analysis of relative gene expression data using real-time quantitative PCR and the 2 (-DeltaDeltaC(T)). Method Methods 2001, 25, 402–408. [Google Scholar] [CrossRef]
- Wilson, Z.A.; Zhang, D.B. From Arabidopsis to rice: Pathways in pollen development. J. Exp Bot. 2009, 60, 1479–1492. [Google Scholar] [CrossRef] [Green Version]
- Smith, A.R.; Zhao, D. Sterility caused by floral organ degeneration and abiotic stresses in Arabidopsis and cereal grains. Front. Plant Sci. 2016, 7, 1503. [Google Scholar] [CrossRef] [Green Version]
- Sakata, T.; Oshino, T.; Miura, S.; Tomabechi, M.; Tsunaga, Y.; Higashitani, N.; Miyazawa, Y.; Takahashi, H.; Watanabe, M.; Higashitani, A. Auxins reverse plant male sterility caused by high temperatures. Proc. Natl. Acad. Sci. USA 2010, 107, 8569–8574. [Google Scholar] [CrossRef] [Green Version]
- Higashitani, A. High temperature injury and auxin biosynthesis in microsporogenesis. Front. Plant. Sci. 2013, 4, 47. [Google Scholar] [CrossRef] [Green Version]
- Stintzi, A.; Browse, J. The Arabidopsis male-sterile mutant, opr3, lacks the 12- oxophytodienoic acid reductase required for jasmonate synthesis. Proc. Natl. Acad. Sci. USA 2000, 97, 10625–10630. [Google Scholar] [CrossRef] [Green Version]
- Ishiguro, S.; Kawai-Oda, A.; Ueda, J.; Nishida, I.; Okada, K. The Defecitive in anther dehiscence1 gene encodes a novel phospholipase A1 catalyzing the initial step of jasmonic acid biosynthesis, which synchronizes pollen maturation, anther dehiscence, and flower opening in Arabidopsis. Plant Cell. 2001, 13, 2191–2209. [Google Scholar] [CrossRef] [Green Version]
- Caldelari, D.; Wang, G.; Farmer, E.E.; Dong, X. Arabidopsis lox3 lox4 double mutants are male sterile and defective in global proliferative arrest. Plant. Mol. Biol. 2011, 75, 25–33. [Google Scholar] [CrossRef] [PubMed]
- Oliver, S.N.; Van Dongen, J.T.; Alfred, S.C.; Mamun, E.A.; Zhao, X.; Saini, H.S.; Fernandes, S.F.; Blanchard, C.L.; Sutton, B.G.; Geigenberger, P. Cold-induced repression of the rice anther-specific cell wall invertase gene OSINV4 is correlated with sucrose accumulation and pollen sterility. Plant Cell. Environ. 2005, 28, 1534–1551. [Google Scholar] [CrossRef]
- Ji, X.; Dong, B.; Shiran, B.; Talbot, M.J.; Edlington, J.E.; Hughes, T.; White, R.G.; Gubler, F.; Dolferus, R. Control of abscisic acid catabolism and abscisic acid homeostasis is important for reproductive stage stress tolerance in cereals. Plant Physiol. 2011, 156, 647–662. [Google Scholar] [CrossRef] [PubMed] [Green Version]
- Zhen, X.; Zhangm, Z.L.; Zou, X.L.; Huang, J.; Ruas, P.; Thompson, D.; Shen, Q.J. Annotations and Functional Analyses of the Rice WRKY Gene Superfamily Reveal Positive and Negative Regulators of Abscisic Acid Signaling in Aleurone Cells. Plant Physiol. 2005, 137, 176–189. [Google Scholar]
- Zhang, L.Y.; Gu, L.K.; Ringler, P.; Smith, S.; Rushton, P.J.; Shen, Q.J. Three WRKY transcription factors additively repress abscisic acid and gibberellin signaling in aleurone cells. Plant Sci. 2015, 236, 214–222. [Google Scholar] [CrossRef] [Green Version]
- Ye, H.Y.; Du, H.; Tang, N.; Li, X.H.; Xiong, L.Z. Identification and expression profiling analysis of TIFY family genes involved in stress and phytohormone responses in rice. Plant. Mol. Biol. 2009, 71, 291–305. [Google Scholar] [CrossRef] [Green Version]
- Cai, Q.; Yuan, Z.; Chen, M.J.; Yin, C.S.; Luo, Z.J.; Zhao, X.X.; Liang, W.Q.; Hu, J.P.; Zhang, D.B. Jasmonic acid regulates spikelet development in rice. Nat. Commun. 2014, 5, 3476. [Google Scholar] [CrossRef] [Green Version]







Publisher’s Note: MDPI stays neutral with regard to jurisdictional claims in published maps and institutional affiliations. |
© 2022 by the authors. Licensee MDPI, Basel, Switzerland. This article is an open access article distributed under the terms and conditions of the Creative Commons Attribution (CC BY) license (https://creativecommons.org/licenses/by/4.0/).
Share and Cite
Chen, Y.; Chen, Y.; Xiang, Z.; Li, J.; Chen, H.; Mao, D.; Chen, L. Transcriptomics Analysis on Fertility Conversion in Thermosensitive Genetic Male Sterility Line Zhu1S under High Temperature. Agronomy 2022, 12, 1255. https://doi.org/10.3390/agronomy12061255
Chen Y, Chen Y, Xiang Z, Li J, Chen H, Mao D, Chen L. Transcriptomics Analysis on Fertility Conversion in Thermosensitive Genetic Male Sterility Line Zhu1S under High Temperature. Agronomy. 2022; 12(6):1255. https://doi.org/10.3390/agronomy12061255
Chicago/Turabian StyleChen, Yan, Yi Chen, Zhipan Xiang, Jiaxin Li, Huiling Chen, Dandan Mao, and Liangbi Chen. 2022. "Transcriptomics Analysis on Fertility Conversion in Thermosensitive Genetic Male Sterility Line Zhu1S under High Temperature" Agronomy 12, no. 6: 1255. https://doi.org/10.3390/agronomy12061255
APA StyleChen, Y., Chen, Y., Xiang, Z., Li, J., Chen, H., Mao, D., & Chen, L. (2022). Transcriptomics Analysis on Fertility Conversion in Thermosensitive Genetic Male Sterility Line Zhu1S under High Temperature. Agronomy, 12(6), 1255. https://doi.org/10.3390/agronomy12061255
