New Method for Sugarcane (Saccharum spp.) Variety Resources Evaluation by Projection Pursuit Clustering Model
Abstract
:1. Introduction
2. Materials and Methods
2.1. Experimental Materials
2.2. Experimental Site and the Test Design
2.2.1. Agronomic Characters
2.2.2. Industrial Traits
2.2.3. Climate Conditions of Test Site
2.3. Method and Principle of Projection Pursuit Clustering (PPC)
2.4. Data Analysis
3. Results
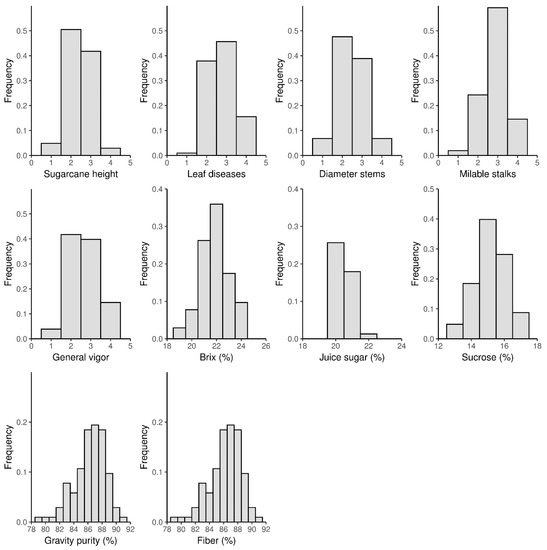
3.1. Frequency Distribution Analysis of the Agronomic and Industrial Traits
3.2. Analysis of the Correlation of Certain Traits
3.3. Variance Analysis of the Agronomic and Industrial Traits
3.4. PPC Applied to the Comprehensive Evaluation of Sugarcane Varieties
3.4.1. The Agronomic Traits Grading Data Analyzed in the 103 Sugarcane Variety Resources
3.4.2. The Industrial Traits Data Analyzed in the 103 Sugarcane Variety Resources
3.4.3. Distribution Characters of the Projection Values among the 103 Sugarcane Varieties
3.5. Cluster Analysis of 103 Sugarcane Varieties Based on the Projection Values
3.6. Difference Analysis of Projection Values and Main Traits among the Cluster Groups
3.7. Screening the Excellent Sugarcane Varieties Based on the PPC Models
4. Discussion
4.1. Projection Direction and Projection Values of Agronomic and Industrial Traits
4.2. Industrial and Agronomic Traits Separately Analyzed by PPC
4.3. Analysis of the China Sugarcane cross Breeding from the Screened Variety Resources
5. Conclusions
Author Contributions
Funding
Institutional Review Board Statement
Informed Consent Statement
Data Availability Statement
Acknowledgments
Conflicts of Interest
References
- Rencher, A.C. Methods of Multivariate Analysis, Second Edition. IIE Trans. 2005, 37, 1083–1089. [Google Scholar] [CrossRef]
- Huber, P.J. Projection pursuit. Ann. Stat. 1985, 13, 435–475. Available online: https://www.jstor.org/stable/2241175 (accessed on 12 November 2021). [CrossRef]
- Friedman, J.H.; Tukey, J.W. A projection pursuit algorithm for exploratory data analysis. IEEE Trans. Comput. 1974, 100, 881–890. [Google Scholar] [CrossRef]
- Donoho, D.; Johnstone, I.; Rousseeuw, P.; Stahel, W. Discussion: Projection pursuit. Ann. Stat. 1985, 13, 496–500. Available online: http://www.jstor.org/stable/2241182 (accessed on 7 November 2021). [CrossRef]
- Rodriguez-Martinez, E.; Goulermas, J.Y.; Mu, T.T.; Ralph, J.F. Automatic induction of projection pursuit indices. IEEE Trans. Neural Netw. 2010, 21, 1281–1295. [Google Scholar] [CrossRef]
- Liu, Z.; Liu, M. Quality evaluation of enterprise environmental accounting information disclosure based on projection pursuit model. J. Clean. Prod. 2021, 279, 123679. [Google Scholar] [CrossRef]
- Bolton, R.J.; Krzanowski, W.J. Projection pursuit clustering for exploratory data analysis. J. Comput. Graph. Stat. 2003, 12, 121–142. [Google Scholar] [CrossRef]
- Miasnikov, A.D.; Rome, J.E.; Haralick, R.M. A hierarchical projection pursuit clustering algorithm. IEEE 2004, 1, 268–271. [Google Scholar] [CrossRef]
- Yue, C.; Wang, Q.; Li, Y. Evaluating water resources allocation in arid areas of northwest China using a projection pursuit dynamic cluster model. Water Supply 2019, 19, 762–770. [Google Scholar] [CrossRef]
- Guo, Q.; Wang, J.; Yin, H.; Zhang, G. A comprehensive evaluation model of regional atmospheric environment carrying capacity: Model development and a case study in China. Ecol. Indic. 2018, 91, 259–267. [Google Scholar] [CrossRef]
- Liu, D.; Feng, J.; Li, H.; Li, H.; Fu, Q.; Li, M.; Faiz, M.A.; Ali, S.; Li, T.; Khan, M.I. Spatiotemporal variation analysis of regional flood disaster resilience capability using an improved projection pursuit model based on the wind-driven optimization algorithm. J. Clean. Prod. 2019, 241, 118406. [Google Scholar] [CrossRef]
- Herrero, Á.; Jiménez, A.; Bayraktar, S. Hybrid unsupervised exploratory plots: A case study of analysing foreign direct investment. Complexity 2019, 2019, 6271017. [Google Scholar] [CrossRef]
- Nason, G. Three-dimensional projection pursuit. Appl. Stat. 1995, 44, 411–430. [Google Scholar] [CrossRef]
- Peng, S.G. Sugarcane Breeding; Agricultural Press: Beijing, China, 1990. (In Chinese) [Google Scholar]
- Zhao, Y.; Zhao, L.P.; Zan, F.G.; Zhu, J.R.; Qin, W.; Zhao, J.; Zhao, P.F.; Liu, J.Y. Industrial quality evaluation analysis and screening of sugarcane germplasm introduced from the United States. Chin. J. Trop. Crops 2019, 40, 2127–2134. [Google Scholar] [CrossRef]
- Yang, R.; Zhou, H.; Tang, S.; Liu, X.; Liang, Q.; Huang, H. A few thoughts on sugarcane breeding in Guangxi. Sugar Crops China 2021, 43, 18–27. [Google Scholar] [CrossRef]
- Khan, I.A.; Bibi, S.; Yasmin, S.; Khatri, A.; Seema, N. Phenotypic and genotypic diversity investigations in sugarcane for drought tolerance and sucrose content. Pak. J. Bot. 2013, 45, 359–366. Available online: https://www.pakbs.org/pjbot/PDFs/45(2)/02.pdf (accessed on 5 March 2020).
- Aitken, K.S. History and development of molecular markers for sugarcane breeding. Sugar Technol. 2021, 24, 341–352. [Google Scholar] [CrossRef]
- Verma, K.K.; Song, X.; Tian, D.; Singh, M.; Verma, C.L.; Rajput, V.D.; Singh, R.K.; Singh, A.S.P.; Malviya, M.K.; Li, Y. Investigation of defensive role of silicon during drought stress induced by irrigation capacity in sugarcane: Physiological and biochemical characteristics. ACS Omega 2021, 6, 19811–19821. [Google Scholar] [CrossRef]
- Sumbele, S.A.; Fonkeng, E.E.; Akongte, P.; Henry, C.N.N.A. Characterization of sugarcane germplasm collection and its potential utilization for evaluation of quantitative traits. Afr. J. Agric. Res. 2021, 17, 273–282. [Google Scholar] [CrossRef]
- Zhao, Y.; Zhao, P.; Hu, X.; Zhao, J.; Zan, F.; Yao, L.; Zhao, L.; Yang, K.; Qin, W.; Xia, H.; et al. Evaluation of 317 sugarcane germplasm based on agronomic traits rating data. Sci. Agric. Sin. 2019, 4, 602–615. [Google Scholar]
- Liu, J.; Basnayake, J.; Jackson, P.A.; Chen, X.; Zhao, J.; Zhao, P.; Yang, L.; Bai, Y.; Xia, H.; Zan, F.; et al. Growth and yield of sugarcane genotypes are strongly correlated across irrigated and rainfed environments. Field Crops Res. 2016, 196, 418–425. [Google Scholar] [CrossRef]
- The R Project for Statistical Computing. Available online: https://www.r-project.org/ (accessed on 13 July 2021).
- Wang, S.; Ni, C. Application of projection pursuit dynamic cluster model in regional partition of water resources in China. Water Resour. Manag. 2008, 22, 1421–1429. [Google Scholar] [CrossRef]
- Suwal, N.; Huang, X.F.; Kuriqi, A.; Chen, Y.Q.; Pandey, K.P.; Bhattarai, K.P. Optimisation of cascade reservoir operation considering environmental flows for different environmental management classes. Renew. Energy 2020, 158, 453–464. [Google Scholar] [CrossRef]
- Liu, J.H.; Wu, F.P. Research on coupling method of watershed initial water rights allocation in daling river. IOP Conf. Ser. Earth Environ. Sci. 2017, 64, 012006. [Google Scholar] [CrossRef] [Green Version]
- Luo, D.; Hu, Y.; Sun, D. Drought grade assessment method based on grey cloud incidence clustering model. Grey Systems: Theory Appl. 2021, 12, 1–24. [Google Scholar] [CrossRef]
- Mohammadi, A.; Nejad, R.F.; Mofrad, N.N. Fusarium verticillioides from sugarcane, vegetative compatibility groups and pathogenicity. Plant Protect. Sci. 2021, 48, 80–84. Available online: https://www.agriculturejournals.cz/publicFiles/49_2011-PPS.pdf (accessed on 3 March 2022). [CrossRef]
- He, E.; Bao, W.; Sun, S.; Hu, C.; Chen, J.; Bi, Z.; Xie, Y.; Lu, J.; Gao, S. Incidence and Distribution of Four Viruses Causing Diverse Mosaic Diseases of Sugarcane in China. Agronomy. 2022, 12, 302. [Google Scholar] [CrossRef]
- Zhao, P.; Xia, H.; Liu, J.; Wu, C.; Zhao, J.; Yang, K.; Zan, F.; Chen, X.; Li, J.; Yao, L.; et al. Registration of ‘YZ081609’sugarcane. J. Plant Regist. 2019, 13, 362–367. [Google Scholar] [CrossRef]
- Zhao, P.; Liu, J.; Wu, C.; Yang, H.; Zhao, J.; Chen, X.; Xia, H.; Zan, F.; Li, J.; Yang, K.; et al. Registration of ‘YZ01-1413’sugarcane. J. Plant Regist. 2017, 11, 129–134. [Google Scholar] [CrossRef]
- Qi, Y.; Gao, X.; Zeng, Q.; Zheng, Z.; Wu, C.; Yang, R.; Feng, X.; Wu, Z.; Fan, L.; Huang, Z. Sugarcane breeding, germplasm development and related molecular Research in China. Sugar Technol. 2021, 24, 73–85. [Google Scholar] [CrossRef]
- Zhang, Q.; Qi, Y.; Zhang, C.; Chen, Y.; Deng, H. Pedigree analysis of genetic relationship among core parents of sugarcane in Mainland China. Guangdong Agric. Sci. 2009, 10, 44–48. [Google Scholar] [CrossRef]
- Qi, Y.; Deng, H.; Li, Q. Advance in utilization of sugarcane germplasm in China mainland. Crop Res. 2012, 5, 443–446. Available online: http://en.cnki.com.cn/Article_en/CJFDTOTAL-ZWYJ201205008.htm (accessed on 5 August 2019).






| Variety Series 1 | Breeding Institution | Material Quantity |
|---|---|---|
| YZ | Sugarcane Research Institute of Yunnan Academy of Agricultural Sciences | 26 |
| CT | Plant Engineering Research Institute of Sichuan Province | 2 |
| DZ | Sugarcane Research Institute of Dehong Prefecture, Yunnan Province | 3 |
| FN | Fujian Agriculture and Forestry University | 4 |
| GZ, GN | Gannan Academy of Sciences | 13 |
| HN | Former South China Institute of Agricultural Sciences | 2 |
| LC | Guangxi Liucheng Institute of Agricultural Sciences | 4 |
| MT | Fujian Academy of Agricultural Sciences | 3 |
| YT, YG | Biological Engineering Institute of Guangdong Academy of Sciences | 11 |
| ROC | Materials imported from Taiwan, China | 15 |
| F | Materials imported from Taiwan, China | 4 |
| GT | Sugarcane Research Institute of Guangxi Academy of Agricultural Sciences | 16 |
| Rank | Sugarcane Height/cm | Stem Diameter/cm | Millable Stalks Number/m2 | Leaf Disease/% | General Vigor |
|---|---|---|---|---|---|
| 1 | >280 | >3.00 | >10 | <5 | According to the observation, the overall performance of germplasm resources was comprehensively evaluated and graded |
| 2 | 220–280 | 2.5–3.00 | 8–10 | 5–10 | |
| 3 | 160–220 | 2.00–2.50 | 6–8 | 10–20 | |
| 4 | 100–160 | 1.50–2.00 | 4–5 | 20–30 | |
| 5 | <100 | <1.50 | <4 | >30 |
| Years | Sunshine/h | Average-Temperature/℃ | Maximum Temperature/℃ | Minimum Temperature/℃ | Average-Rainfall/mm | Potential Evaporative/mm | Frost-Free Period/d |
|---|---|---|---|---|---|---|---|
| 2017 | 1960 | 20.1 | 34.1 | 3.3 | 1038.4 | 1987 | 341 |
| 2018 | 2125.3 | 21.5 | 37.7 | 0.2 | 698.2 | 1880 | 320 |
| 2019 | 2033.7 | 20.8 | 36.2 | 4.2 | 592 | 1860 | 330 |
| Sugarcane Traits | Plant | Ratoon 1 | Ratoon 2 | Mean | ||||
|---|---|---|---|---|---|---|---|---|
| Average Values | Variation Coefficient/% | Average Values | Variation Coefficient/% | Average Values | Variation Coefficient/% | Average Values | Variation Coefficient/% | |
| Height | 2.32 ** | 34.72 | 2.72 ** | 36.56 | 2.33 | 34.14 | 2.45 ** | 36.20 |
| Stem diameter | 2.50 ** | 34.22 | 2.60 ** | 36.74 | 2.42 ** | 33.16 | 2.51 ** | 34.91 |
| Millable stalks | 2.96 ** | 28.01 | 2.99 ** | 33.68 | 2.83 ** | 27.15 | 2.93 ** | 29.91 |
| Leaf disease | 2.85 ** | 34.69 | 2.98 ** | 41.52 | 2.70 * | 32.66 | 2.84 ** | 36.96 |
| General vigor | 2.73 ** | 35.36 | 2.92 ** | 37.74 | 2.52 * | 34.93 | 2.72 ** | 35.04 |
| Brix (%) | 21.35 ** | 6.47 | 21.78 ** | 5.63 | 22.54 ** | 5.51 | 21.89 ** | 6.27 |
| Juice sugar (%) | 18.19 ** | 8.92 | 18.86 ** | 6.92 | 19.74 ** | 6.90 | 18.93 ** | 8.30 |
| Cane sugar (%) | 14.80 ** | 8.12 | 15.02 ** | 6.23 | 15.69 ** | 6.06 | 15.17 ** | 7.27 |
| Purity (%) | 84.84 ** | 3.86 | 86.40 ** | 2.49 | 87.47 ** | 2.59* | 86.24 ** | 3.27 |
| Fiber (%) | 13.45 ** | 13.69 | 15.18 ** | 12.56 | 15.38 ** | 12.98 | 14.67 ** | 14.31 |
| Number | Varieties | Female Parent | Male Parent | Group | A_P_Value | T_P_Value | Height | Leaf Disease | Stem Diameter | Millable Stalks | General Vigor | Cane Sugar/% | Gravity Purity/% |
|---|---|---|---|---|---|---|---|---|---|---|---|---|---|
| 1 | YZ081609©® | YZ94343 | YT00236 | 1 | 7.71 | 0.72 | 1 | 1.33 | 1.17 | 1.5 | 1.17 | 15.56 | 88.8 |
| 2 | YT93159©® | YN73204 | CP721210 | 1 | 4.28 | 1.84 | 1.83 | 2.33 | 1.33 | 1.5 | 1.5 | 16.47 | 89.79 |
| 3 | YT89240©® | CP721210 | GT73167 | 1 | 3.49 | 1.27 | 1.67 | 2.17 | 1.33 | 2 | 1.5 | 15.38 | 88.18 |
| 4 | LC031137©® | HOCP93746 | ROC22 | 3 | 2.52 | 0.81 | 1.5 | 2.33 | 2 | 2.17 | 1.67 | 15.44 | 87.83 |
| 5 | YZ0680©® | ROC25 | CP723591 | 3 | 1.94 | 0.61 | 2 | 2.17 | 1.83 | 2.33 | 1.67 | 15.7 | 85.65 |
| 6 | ROC22©® | ROC5 | 69-463 | 3 | 0.83 | 0.76 | 2 | 2 | 2.5 | 2.5 | 2.33 | 15.55 | 87.48 |
| 7 | GT84332©® | HN5612 | NJ59782 | 3 | 0.76 | 0.53 | 1.83 | 3.33 | 1.83 | 2.67 | 2.17 | 15.59 | 86.52 |
| 8 | F172©® | F153 | F152 | 3 | 2.26 | 0.02 | 1.33 | 1.67 | 3.83 | 2 | 2.33 | 14.11 | 86.46 |
| 9 | DZ0383©® | YT85177 | ROC22 | 3 | 2.2 | 0.02 | 1.83 | 2.17 | 2 | 2.17 | 1.67 | 15.44 | 85.64 |
| 10 | YT00318©® | YN73204 | CP861633 | 3 | 1.94 | 0.23 | 2.17 | 2.17 | 2 | 2 | 1.83 | 15.02 | 88.08 |
| 11 | YZ6424©® | CO419 | Dongguawa2878 | 3 | 1.77 | 0.4 | 2.33 | 2.33 | 1.17 | 2.5 | 2 | 15.49 | 86.71 |
| 12 | YZ897©® | Xuan15 | YC84125 | 3 | 1.75 | 0.11 | 1.5 | 2.17 | 1.67 | 2.67 | 2.17 | 15.19 | 86.18 |
| 13 | GT96211©® | Pindar | Gt96167 | 3 | 1.31 | 0.36 | 2.33 | 2.5 | 1.83 | 2.33 | 1.83 | 15.36 | 87.17 |
| 14 | GT94119©® | GZ7565 | YC71374 | 3 | 0.89 | 0.47 | 1.83 | 2.5 | 1.83 | 2.83 | 2.17 | 15.17 | 86.51 |
| 15 | GT11©® | CP4950 | CO419 | 3 | 0.86 | 0.06 | 2 | 2 | 2.17 | 2.5 | 2.5 | 15.11 | 86.88 |
| 16 | YZ091601©® | CP941100 | CT89103 | 4 | 1.74 | 2.62 | 2.33 | 3.33 | 1.33 | 2.17 | 1.83 | 17.16 | 88.92 |
| 17 | ROC16©® | F171 | 74-575 | 4 | 1.34 | 1.36 | 2 | 1.67 | 2 | 2.5 | 2.33 | 15.87 | 87.39 |
| 18 | GT895©® | GT73167 | YC6240 | 4 | 1.12 | 1.14 | 2.17 | 2.17 | 2 | 2.5 | 2 | 15.73 | 87.92 |
| 19 | ROC23©® | F177 | 74-575 | 4 | 1.05 | 1.22 | 2 | 2 | 2 | 2.83 | 2 | 15.41 | 86.77 |
| 20 | LC05136©® | CP811254 | ROC22 | 4 | 0.91 | 1.27 | 2.17 | 2.17 | 1.67 | 2.67 | 2.33 | 15.95 | 88.45 |
| 21 | DZ9388©® | YC71347 | CP721210 | 4 | 0.65 | 2.21 | 2.5 | 3 | 2.17 | 2.33 | 2 | 16.59 | 87.61 |
| 22 | GZ7565©® | GZ64137 | NJ57416 | 4 | 0.38 | 1.77 | 1.83 | 3.17 | 3.17 | 2.17 | 2.83 | 16.22 | 88.38 |
| 23 | GN81711©® | CP67-412 | YC62-70 | 4 | 1.4 | 1.38 | 1.5 | 2.33 | 2.33 | 2.67 | 2 | 15.37 | 87.44 |
| 24 | GZ0270©® | GT69435 | CP841198 | 4 | 0.37 | 2.22 | 2.33 | 2.83 | 1.83 | 2.83 | 2.17 | 16.64 | 88.74 |
| 25 | MT69421©® | CP33310 | F134 | 4 | 0.49 | 1.24 | 2.17 | 2.83 | 1.83 | 2.67 | 2.33 | 15.87 | 88.67 |
| 26 | YT00236©® | YN73204 | CP721210 | 4 | 0.22 | 0.91 | 2.5 | 2 | 2.17 | 2.83 | 2.5 | 15.84 | 88.05 |
| 27 | YZ091028© | YR05178 | MT862121 | 3 | 3.42 | −0.13 | 1.83 | 2 | 1.67 | 1.67 | 1.67 | 14.98 | 87.03 |
| 28 | F170© | COL9 | PT54CP182 | 3 | 2.81 | −1.26 | 1.67 | 2.67 | 1.5 | 2.17 | 1.5 | 13.82 | 86.05 |
| 29 | GN912© | CP76380 | CP78304 | 3 | 1.77 | −4.06 | 1.83 | 2.67 | 1.67 | 2.33 | 1.83 | 12.97 | 80.62 |
| 30 | YZ082060© | YT93159 | Q121 | 3 | 1.35 | −0.48 | 1.67 | 2.33 | 2 | 2.5 | 2.17 | 14.79 | 90.78 |
| 31 | YZ011413© | YT85177 | ROC10 | 3 | 1.32 | −1.28 | 2 | 1.83 | 2 | 2.67 | 2 | 14.58 | 84.4 |
| 32 | GN01112® | G7565 | CP57614+ZZ82339 | 4 | −1.3 | 3.16 | 2.17 | 3.83 | 4 | 3 | 3.5 | 16.39 | 88.46 |
| 33 | LC03182® | CP721210 | ROC22 | 4 | −0.66 | 2.91 | 2.67 | 2.5 | 2.83 | 2.83 | 3 | 16.78 | 88.82 |
| 34 | ROC20® | 69-463 | 68-2599 | 4 | −0.19 | 2.7 | 2.67 | 2 | 2.67 | 3 | 2.5 | 16.57 | 89.8 |
| 35 | GN008® | CP57614 | YC84125 | 4 | −2.04 | 2.59 | 2.83 | 4.33 | 3 | 3.67 | 3.83 | 16.8 | 88.37 |
| 36 | GN89131® | G82660 | CP721210 | 4 | −2.06 | 2.46 | 3.17 | 4 | 3.83 | 3.33 | 3.67 | 16.1 | 86.84 |
| 37 | YZ02588® | CP721210 | YT843 | 4 | −1.23 | 2.32 | 2.67 | 3.83 | 2.5 | 3.17 | 3.17 | 16.84 | 88.86 |
| 38 | ROC8® | F146 | F160 | 4 | −1.97 | 2.3 | 3.17 | 3.5 | 3.33 | 3.5 | 3.67 | 16.63 | 88.71 |
| 39 | YZ022540® | ROC11 | CP723591 | 4 | −0.84 | 2.29 | 2.67 | 3 | 2.83 | 2.83 | 3 | 16.34 | 89.03 |
| 40 | YZ111779® | CP841198 | YZ94343 | 4 | −0.28 | 2.11 | 2 | 2.83 | 2.83 | 2.83 | 2.83 | 16.66 | 86.91 |
| 41 | FN30® | CP841198 | ROC10 | 4 | −0.14 | 2.03 | 2.67 | 2.5 | 2.83 | 2.67 | 2.33 | 16.09 | 88.71 |
| 42 | GT02901® | ROC23 | CP841198 | 4 | −0.91 | 1.98 | 2.67 | 2.67 | 2.67 | 3.17 | 3 | 16.17 | 87.33 |
| 43 | YZ05226® | ZZ74141 | CP721210 | 4 | −0.7 | 1.56 | 2.83 | 2.33 | 2.5 | 3.17 | 2.83 | 16.32 | 88.91 |
| 44 | FN38® | YT83257 | YT83271 | 4 | −0.11 | 1.38 | 2 | 2.67 | 2.5 | 2.83 | 2.83 | 15.65 | 87.74 |
| 45 | YZ0549® | YC9056 | ROC23 | 4 | −0.23 | 1.06 | 2.17 | 2.83 | 3 | 2.67 | 2.67 | 15.75 | 87.39 |
| 46 | FN39® | YT91976 | CP841198 | 4 | −0.31 | 1.04 | 2 | 3.33 | 2.17 | 3.17 | 2.67 | 15.57 | 87.83 |
| 47 | GT93102® | GT73167 | YC73512 | 5 | −2.33 | 1.78 | 3.17 | 4.5 | 3.67 | 3.67 | 3.83 | 16.06 | 85.75 |
| 48 | ROC26® | 71296 | ROC11 | 5 | −1.26 | 1.47 | 2.83 | 3 | 2.83 | 3.5 | 2.83 | 16.09 | 87.97 |
| 49 | LC07150® | YT85177 | ROC22 | 5 | −1.83 | 1.37 | 2.83 | 3.5 | 2.67 | 4 | 3.5 | 15.83 | 87.73 |
| 50 | GT60149® | Co290 | CP49-50 | 5 | −1.47 | 1.17 | 3 | 2.67 | 3.67 | 3 | 3.83 | 15.51 | 88.45 |
| 51 | GN79216® | NCo310 | CP44-101 | 5 | −1.24 | 1.09 | 2.83 | 2.67 | 3.33 | 3 | 3.5 | 15.59 | 87.06 |
Publisher’s Note: MDPI stays neutral with regard to jurisdictional claims in published maps and institutional affiliations. |
© 2022 by the authors. Licensee MDPI, Basel, Switzerland. This article is an open access article distributed under the terms and conditions of the Creative Commons Attribution (CC BY) license (https://creativecommons.org/licenses/by/4.0/).
Share and Cite
Zhao, Y.; Zhang, Y.; Zhao, J.; Zan, F.; Zhao, P.; Deng, J.; Wu, C.; Liu, J. New Method for Sugarcane (Saccharum spp.) Variety Resources Evaluation by Projection Pursuit Clustering Model. Agronomy 2022, 12, 1250. https://doi.org/10.3390/agronomy12061250
Zhao Y, Zhang Y, Zhao J, Zan F, Zhao P, Deng J, Wu C, Liu J. New Method for Sugarcane (Saccharum spp.) Variety Resources Evaluation by Projection Pursuit Clustering Model. Agronomy. 2022; 12(6):1250. https://doi.org/10.3390/agronomy12061250
Chicago/Turabian StyleZhao, Yong, Yuebin Zhang, Jun Zhao, Fenggang Zan, Peifang Zhao, Jun Deng, Caiwen Wu, and Jiayong Liu. 2022. "New Method for Sugarcane (Saccharum spp.) Variety Resources Evaluation by Projection Pursuit Clustering Model" Agronomy 12, no. 6: 1250. https://doi.org/10.3390/agronomy12061250
APA StyleZhao, Y., Zhang, Y., Zhao, J., Zan, F., Zhao, P., Deng, J., Wu, C., & Liu, J. (2022). New Method for Sugarcane (Saccharum spp.) Variety Resources Evaluation by Projection Pursuit Clustering Model. Agronomy, 12(6), 1250. https://doi.org/10.3390/agronomy12061250

