Influence of Simultaneous Intercropping of Maize-Bean with Input of Inorganic or Organic Fertilizer on Growth, Development, and Dry Matter Partitioning to Yield Components of Two Lines of Common Bean
Abstract
1. Introduction
2. Materials and Methods
2.1. Experimental Site and Meteorological Conditions
2.2. Field Layout and Experimentation
2.3. Growth and Development Dynamics of the Different Vegetative Organs
2.4. Dry Matter, Grain Yield, Yield Components, and Indices of Partitioning of Dry Matter
2.5. Data Analysis
3. Results
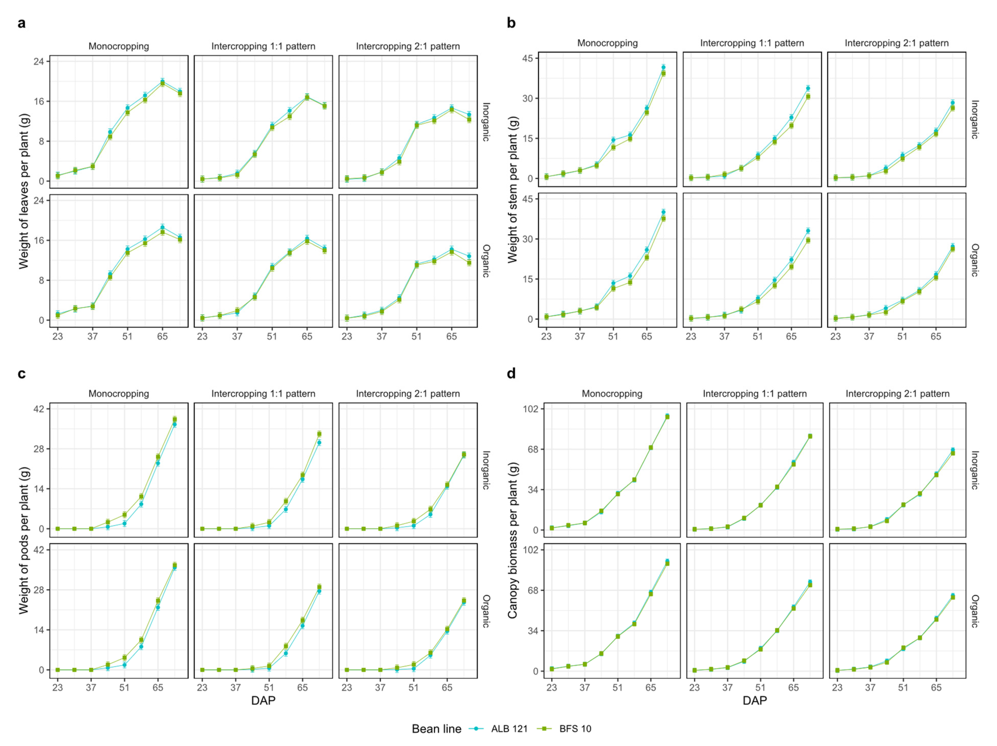
3.1. Growth Dynamics and Vegetative Development of Maize and Beans under Three Different Cropping Patterns
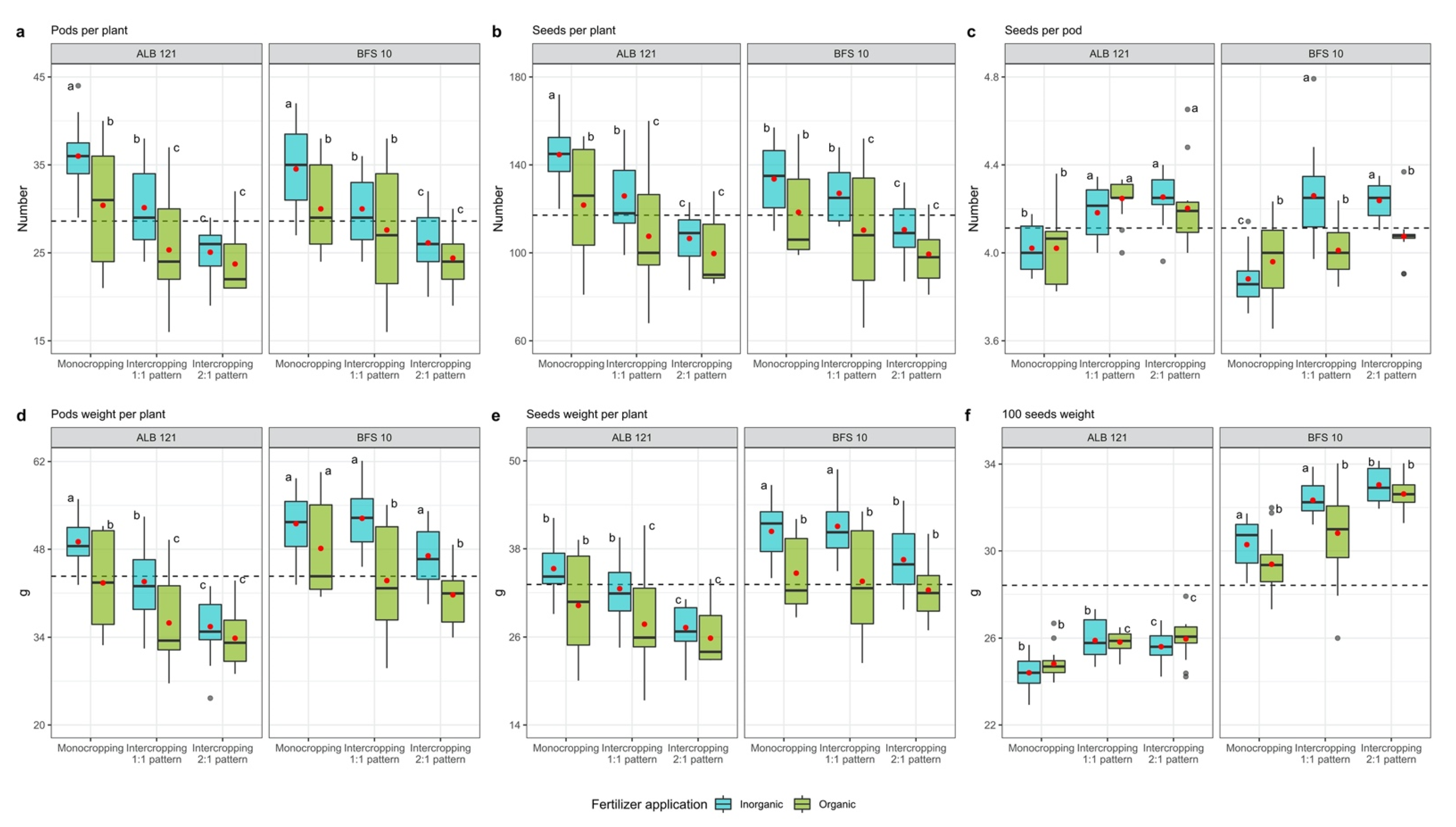
3.2. Dry Matter Content of Different Plant Parts, Cob and Pod Growth, and Grain Filling
3.3. Efficiency in the Mobilization of Photosynthates: Changes in Canopy Biomass, Dry Matter Partitioning and Grain Yield
3.4. Correlation Coefficients between Grain Yield and Dry Matter Contents of Different Plant Parts under Different Cropping Patterns
4. Discussion
4.1. Positive Effects of Intercropping on Vegetative Development of Maize and Beans
4.2. Positive Effects of Intercropping on Maize Cob and Bean Pod Formation
4.3. Intercropping Improves Agronomic Efficiency of Both Maize and Bean
4.4. Intercropping Improves Efficiency in the Mobilization of Photosynthates to Grain in Maize and Bean
5. Conclusions
Supplementary Materials
Author Contributions
Funding
Institutional Review Board Statement
Informed Consent Statement
Data Availability Statement
Acknowledgments
Conflicts of Interest
References
- Tomlinson, I. Doubling food production to feed the 9 billion: A critical perspective on a key discourse of food security in the UK. J. Rural Stud. 2013, 29, 81–90. [Google Scholar] [CrossRef]
- Godfray, H.C.J.; Beddington, J.R.; Crute, I.R.; Haddad, L.; Lawrence, D.; Muir, J.F.; Pretty, J.; Robinson, S.; Thomas, S.M.; Toulmin, C. Food security: The challenge of feeding 9 billion people. Science 2010, 327, 812–818. [Google Scholar] [CrossRef] [PubMed]
- Massawe, F.; Mayes, S.; Cheng, A. Crop diversity: An unexploited treasure trove for food security. Trends Plant Sci. 2016, 21, 365–368. [Google Scholar] [CrossRef] [PubMed]
- Latati, M.; Bargaz, A.; Belarbi, B.; Lazali, M.; Benlahrech, S.; Tellah, S.; Kaci, G.; Drevon, J.J.; Ounane, S.M. The intercropping common bean with maize improves the rhizobial efficiency, resource use and grain yield under low phosphorus availability. Eur. J. Agron. 2016, 72, 80–90. [Google Scholar] [CrossRef]
- Adeleke, M.; Ogunlela, V.; Olufajo, O.; Iwuafor, E. Analysis of growth of intercrop species in maize (Zea mays L.)/cowpea (Vigna unguiculata L. Walp) intercropping system as influenced by crop arrangement and proportion in semi-arid Nigeria. Res. J. Agric. Environ. Manag. 2013, 2, 412–419. [Google Scholar]
- Jensen, E.S.; Bedoussac, L.; Carlsson, G.; Journet, E.-P.; Justes, E.; Hauggaard-Nielsen, H. Enhancing yields in organic crop production by eco-functional intensification. Sustain. Agric. Res. 2015, 4, 42. [Google Scholar] [CrossRef]
- Liu, X.; Rahman, T.; Yang, F.; Song, C.; Yong, T.; Liu, J.; Zhang, C.; Yang, W. PAR interception and utilization in different maize and soybean intercropping patterns. PLoS ONE 2017, 12, e0169218. [Google Scholar] [CrossRef]
- Takele, E.; Mekonnen, Z.; Tsegaye, D.; Abebe, A. Effect of intercropping of legumes and rates of nitrogen fertilizer on yield and yield components of maize (Zea mays L.) at Arba minch. Am. J. Plant Sci. 2017, 8, 2159–2179. [Google Scholar] [CrossRef]
- Brust, J.; Claupein, W.; Gerhards, R. Growth and weed suppression ability of common and new cover crops in Germany. Crop Prot. 2014, 63, 1–8. [Google Scholar] [CrossRef]
- Vélez, L.D.; Moya, A.; Clavijo, L.J. Relaciones de competencia entre el fríjol trepador (Phaseolus vulgaris L.) y el maíz (Zea mays L.) sembrados en asocio. Fac. Nac. Agron. 2011, 64, 6065–6079. [Google Scholar]
- Godoy, M.L.; González, O.B.; Defaz, D.E.; Díaz, T.G.; Vásconez, G.H. Evaluación de dos variedades de frijol durante tres épocas de siembra bajo sistema de cultivo asociado con maíz. Cienc. Tecnol. 2011, 4, 5–11. [Google Scholar] [CrossRef]
- Pérez, A.; Martínez, E.; Vélez, L.; Cotes, J. Acumulación y distribución de fotomasa en el asocio de maíz (Zea mays L.) y frijol (Phaseolus vulgaris L.). Rev. Fac. Nac. Agron. 2010, 63, 5669–5684. [Google Scholar]
- Wang, T.; Harp, T.; Hammond, E.G.; Burrisa, J.S.; Fehr, W.R. Seed physiological performance of soybeans with altered saturated fatty acid contents. Seed Sci. Res. 2001, 11, 93–97. [Google Scholar] [CrossRef][Green Version]
- Kim, S.H.; Jung, W.S.; Ahn, J.K.; Chung, I.M. Analysis of isoflavone concentration and composition in soybean [Glycine max (L.)] seeds between the cropping year and storage for 3 years. Eur. Food Res. Technol. 2005, 220, 207–214. [Google Scholar] [CrossRef]
- Ma, L.; Li, B.; Han, F.; Yan, S.; Wang, L.; Sun, J. Evaluation of the chemical quality traits of soybean seeds, as related to sensory attributes of soymilk. Food Chem. 2015, 173, 694–701. [Google Scholar] [CrossRef] [PubMed]
- De Baets, S.; Poesen, J.; Meersmans, J.; Serlet, L. Cover crops and their erosion-reducing effects during concentrated flow erosion. Catena 2011, 85, 237–244. [Google Scholar] [CrossRef]
- Ding, G.; Liu, X.; Herbert, S.; Novak, J.; Amarasiriwardena, D.; Xing, B. Effect of cover crop management on soil organic matter. Geoderma 2006, 130, 229–239. [Google Scholar] [CrossRef]
- Thorup-Kristensen, K.; Magid, J.; Jensen, L.S. Catch crops and green manures as biological tools in nitrogen management in temperate zones. Adv. Agron. 2003, 79, 227–302. [Google Scholar]
- Nthabiseng, T.R.; Mariga Irvine, K.; Moshibudi, P.M. Response of a maize or dry bean intercrop to maize density and dry bean arrangement under rainfed conditions. Int. J. Agron. Agric. Res. 2015, 6, 18–29. [Google Scholar]
- Alemayehu, D.; Shumi, D.; Afeta, T. Effect of variety and time of intercropping of common bean (Phaseolus vulgaris L.) with maize (Zea mays L.) on yield components and yields of associated crops and productivity of the system at Mid-Land of Guji, Southern Ethiopia. Adv. Crop. Sci. Tech. 2018, 6, 324–335. [Google Scholar] [CrossRef]
- Aynehband, A.; Behrooz, M. Evaluation of cereal-legume and cereal-pseudocereal intercropping systems through forage productivity and competition ability. Am. Eurasian J. Agric. Environ. Sci. 2011, 10, 675–683. [Google Scholar]
- Kebede, B.L.; Worku, W.; Beyene, S. Soil Testing as a Tool to Develop Potassium Fertilizer Recommendation in Major Soils of Ethiopia. Available online: https://www.researchgate.net/publication/321483648 (accessed on 2 March 2022).
- Yang, F.; Huang, S.; Gao, R.; Liu, W.; Yong, T.; Wang, X.; Wu, X.; Yang, W. Growth of soybean seedlings in relay strip intercropping systems in relation to light quantity and red: Far-red ratio. Field Crops Res. 2014, 155, 245–253. [Google Scholar] [CrossRef]
- Feng, L.; Raza, M.A.; Chen, Y.; Khalid, M.H.B.; Meraj, T.A.; Ahsan, F.; Fan, Y.; Du, J.; Wu, X.; Song, C.; et al. Narrow-wide row planting pattern improves the light environment and seed yields of intercrop species in relay intercropping system. PLoS ONE 2019, 14, e0212885. [Google Scholar] [CrossRef]
- Wardlaw, I.F. Tansley Review No. 27. The control of carbon partitioning in plants. New Phytol. 1990, 116, 341–381. [Google Scholar] [CrossRef] [PubMed]
- Borrás, L.; Slafer, G.A.; Otegui, M.E. Seed dry weight response to source-sink manipulations in wheat, maize and soybean: A quantitative reappraisal. Field Crops Res. 2004, 86, 131–146. [Google Scholar] [CrossRef]
- Jin, X.; Yang, G.; Tan, C.; Zhao, C. Effects of nitrogen stress on the photosynthetic CO2 assimilation, chlorophyll fluorescence, and sugar-nitrogen ratio in corn. Sci. Rep. 2015, 5, 1–9. [Google Scholar] [CrossRef]
- Gebeyehu, S.; Simane, B.; Kirkby, R. Genotype × cropping system interaction in climbing beans (Phaseolus vulgaris L.) grown as sole crop and in association with maize (Zea mays L.). Eur. J. Agron. 2006, 24, 396–403. [Google Scholar] [CrossRef]
- Bedoussac, L.; Justes, E. Dynamic analysis of competition and complementarity for light and N use to understand the yield and the protein content of a durum wheat-winter pea intercrop. Plant Soil 2010, 330, 37–54. [Google Scholar] [CrossRef]
- Nassary, E.K.; Baijukya, F.; Ndakidemi, P.A. Productivity of intercropping with maize and common bean over five cropping seasons on smallholder farms of Tanzania. Eur. J. Agron. 2020, 113, 125964. [Google Scholar] [CrossRef]
- Muoneke, C.O.; Ogwuche, M.A.O.; Kalu, B.A. Effect of maize planting density on the performance of maize/soybean intercropping system in a guinea savannah agroecosystem. Afr. J. Agric. Res. 2007, 2, 667–677. [Google Scholar] [CrossRef]
- Lithourgidis, A.S.; Vasilakoglou, I.B.; Dhima, K.V.; Dordas, C.A.; Yiakoulaki, M.D. Forage yield and quality of common vetch mixtures with oat and triticale in two seeding ratios. Field Crops Res. 2006, 99, 106–113. [Google Scholar] [CrossRef]
- Müller, C.; Elliott, J.; Pugh, T.A.M.; Ruane, A.C.; Ciais, P.; Balkovic, J.; Deryng, D.; Forberth, C.; Izaurralde, R.C.; Jones, C.D.; et al. Global patterns of crop yield stability under additional nutrient and water inputs. PLoS ONE 2018, 13, e0198748. [Google Scholar] [CrossRef] [PubMed]
- Zerihun, A.; Sharma, J.J.; Nigussie, D.; Fred, K. The effect of integrated organic and inorganic fertilizer rates on performances of soybean and maize component crops of a soybean/maize mixture at Bako, Western Ethiopia. Afr. J. Agric. Res. 2013, 8, 3921–3929. [Google Scholar] [CrossRef]
- Abera, T.; Tanaand, T.; Pant, L.M. Grain yield and LER of maize-climbing bean intercropping as affected by inorganic, organic fertilisers and population density in western Oromiya, Ethiopia. Asian J. Plant Sci. 2005, 4, 458–465. [Google Scholar] [CrossRef][Green Version]
- Baghdadi, A.; Halim, R.A.; Ghasemzadeh, A.; Ramlan, M.F.; Sakimin, S.Z. Impact of organic and inorganic fertilizers on the yield and quality of silage corn intercropped with soybean. PeerJ 2018, 2018, e5280. [Google Scholar] [CrossRef]
- Moriri, S.; Owoeye, L.G.; Mariga, I.K. Influence of component crop densities and planting patterns on maize production in dry land maize/cowpea intercropping systems. Afr. J. Agric. Res. 2010, 5, 1200–1207. [Google Scholar] [CrossRef]
- Genet, W.; Lulie, B.; Worku, W.; Beyene, S. Determinations of haricot bean (Phaseolus vulgaris L.) planting density and spatial arrangement for staggered intercropping with maize (Zea mays L.) at Wondo Genet, Southern Ethiopia. Acad. Res. J. Agric. Sci. Res. 2016, 4, 297–320. [Google Scholar]
- Landínez, A.Y. Uso y manejo del suelo en la amazonia colombiana. CES Med. Vet. Zootec. 2017, 12, 151–163. Available online: https://dialnet.unirioja.es/servlet/articulo?codigo=6186205&info=resumen&idioma=SPA (accessed on 28 March 2022). [CrossRef]
- Peña, A.I.; Rodriguez, C.H.; Suárez, J.C. Incidencia de niveles de intervención antrópica sobre propiedades químicas del suelo en coberturas de lomerío (Caquetá, Colombia). Ing. Amaz. 2013, 6, 5–14. Available online: https://www.uniamazonia.edu.co/revistas/index.php/ingenierias-y-amazonia/article/view/297/pdf_10 (accessed on 28 March 2022).
- Bedoussac, L.; Journet, E.P.; Hauggaard-Nielsen, H.; Naudin, C.; Corre-Hellou, G.; Jensen, E.S.; Prieur, L.; Justes, E. Ecological principles underlying the increase of productivity achieved by cereal-grain legume intercrops in organic farming. A review. Agron. Sustain. Dev. 2015, 35, 911–935. [Google Scholar] [CrossRef]
- Suárez, J.C.; Polanía, J.A.; Bastidas, A.T.C.; Suárez, L.R.; Beebe, S.; Rao, I.M. Agronomical, phenological and physiological performance of common bean lines in the Amazon region of Colombia. Theor. Exp. Plant Physiol. 2018, 30, 303–320. [Google Scholar] [CrossRef]
- Suárez, J.C.; Anzola, J.A.; Contreras, A.T.; Salas, D.L.; Vanegas, J.I.; Urban, M.O.; Beebe, S.E.; Rao, I.M. Photosynthetic and grain yield responses to intercropping of two common bean lines with maize under two types of fertilizer application in the Colombian Amazon region. Sci. Hortic. Amst. 2022, 301, 1–11. [Google Scholar] [CrossRef]
- Suárez, J.C.; Polanía, J.A.; Contreras, A.T.; Rodríguez, L.; Machado, L.; Ordoñez, C.; Beebe, S.; Rao, I.M. Adaptation of common bean lines to high temperature conditions: Genotypic differences in phenological and agronomic performance. Euphytica 2020, 216, 1–20. [Google Scholar] [CrossRef]
- Butare, L.; Rao, I.M.; Lepoivre, P.; Cajiao, C.; Polania, J.; Cuasquer, J.; Beebe, S. Phenotypic evaluation of interspecific recombinant inbred lines (RILs) of Phaseolus species for aluminium resistance and shoot and root growth response to aluminium-toxic acid soil. Euphytica 2012, 186, 715–730. [Google Scholar] [CrossRef]
- Meier, U. Growth Stages of Mono and Dicotyledonous Plants; Blackwell Wissenschafts-Verlag: Oxford, UK, 2001; ISBN 3826331524. Available online: https://agris.fao.org/agris-search/search.do?recordID=US201300311612 (accessed on 28 March 2022).
- Lancashire, P.; Bleiholder, H.; Boom, T.; Langeluddeke, P.; Stauss, R.; Weber, E.; Witzenberger, A. A uniform decimal code for growth stages of crops and weeds. Ann. Appl. Biol. 1991, 119, 561–601. [Google Scholar] [CrossRef]
- Beebe, S.E.; Rao, I.M.; Blair, M.W.; Acosta-Gallegos, J.A. Phenotyping common beans for adaptation to drought. Front. Physiol. 2013, 4, 35. [Google Scholar] [CrossRef]
- Wei, T.; Simko, V.; Levy, M.; Xie, Y.; Jin, Y.Z.J. Visualization of a Correlation Matrix. R Package, Version 0.73. 2017. Available online: https://scholar.google.es/scholar?hl=es&as_sdt=0%2C5&q=Visualization+of+a+Correlation+Matrix.+&btnG= (accessed on 28 March 2022).
- Gu, Z.; Gu, L.; Eils, R.; Schlesner, M.; Brors, B. circlize implements and enhances circular visualization in R. Bioinformatics 2014, 30, 2811–2812. [Google Scholar] [CrossRef]
- R Development Core Team. R: The R Project for Statistical Computing; Foundation for Statistical Computing: Vienna, Austria, 2021; ISBN 3-900051-07-0. Available online: https://www.r-project.org/ (accessed on 28 March 2022).
- Di Rienzo, J.; Casanoves, F.; Balzarini, M.; Gonzalez, L.; Tablada, M.; Robledo, C.W. InfoStat; versión 2021; Grupo InfoStat, FCA, Universidad Nacional de Córdoba: Córdoba, Argentina, 2021; Available online: http://www.infostat.com.ar (accessed on 28 March 2022).
- Dorcinvil, R.; Sotomayor-Ramírez, D.; Beaver, J. Agronomic performance of common bean (Phaseolus vulgaris L.) lines in an Oxisol. Field Crops Res. 2010, 118, 264–272. [Google Scholar] [CrossRef]
- Franco, J.G.; King, S.R.; Volder, A. Component crop physiology and water use efficiency in response to intercropping. Eur. J. Agron. 2018, 93, 27–39. [Google Scholar] [CrossRef]
- Kurepin, L.V.; Emery, R.J.N.; Pharis, R.P.; Reid, D.M. The interaction of light quality and irradiance with gibberellins, cytokinins and auxin in regulating growth of Helianthus annuus hypocotyls. Plant Cell Environ. 2007, 30, 147–155. [Google Scholar] [CrossRef]
- Smith, M.E.; Zobel, R.W. Plant genetic interactions in alternative cropping systems: Considerations for breeding methods. Plant Breed. Sustain. Agric. 2015, 18, 57–81. [Google Scholar] [CrossRef]
- Davis, J.H.C.; Woolley, J.N. Genotypic requirement for intercropping. Field Crops Res. 1993, 34, 407–430. [Google Scholar] [CrossRef]
- Davis, J.H.C.; Garcia, S. Competitive ability and growth habit of indeterminate beans and maize for intercropping. Field Crops Res. 1983, 6, 59–75. [Google Scholar] [CrossRef]
- Morelli, G.; Ruberti, I. Light and shade in the photocontrol of Arabidopsis growth. Trends Plant Sci. 2002, 7, 399–404. [Google Scholar] [CrossRef]
- Nagasuga, K.; Kubota, F. Effects of shading on hydraulic resistance and morphological traits of internode and node of napiergrass (Pennisetum purpureum Schumach). Plant Prod. Sci. 2008, 11, 352–354. [Google Scholar] [CrossRef]
- Bedoussac, L.; Justes, E. The efficiency of a durum wheat-winter pea intercrop to improve yield and wheat grain protein concentration depends on N availability during early growth. Plant Soil 2010, 330, 19–35. [Google Scholar] [CrossRef]
- Liu, W.; Zou, J.; Zhang, J.; Yang, F.; Wan, Y.; Yang, W. Evaluation of soybean (Glycine max) stem vining in maize-soybean relay strip intercropping system. Plant Prod. Sci. 2015, 18, 69–75. [Google Scholar] [CrossRef]
- Ligarreto, G.A.; Bastidas, R.G.; Castillo, M.A. Efecto de las densidades de siembra en el rendimiento de la asociación maíz-frijol voluble. Rev. ICA Colomb. 1992, 27, 25–33. [Google Scholar]
- Carruthers, K.; Prithiviraj, B.; Fe, Q.; Cloutier, D.; Martin, R.C.; Smith, D.L. Intercropping of corn with soybean, lupin and forages: Silage yield and quality. J. Agron. Crop Sci. 2000, 185, 177–185. [Google Scholar] [CrossRef]
- Isaac, A.A.; Oyebisi, A.K.; Kayode, O.S.; Mojisola, A.S. Effects of spatial arrangement and population density on the growth and yield of sesame (Sesamum indicum L.) in a sesame/maize intercrop. J. Agric. Sci. Belgrade Univ. Belgrade—Fac. Agric. 2020, 65, 337–350. [Google Scholar] [CrossRef]
- Bitew, Y.; Derebe, B.; Worku, A.; Chakelie, G. Response of maize and common bean to spatial and temporal differentiation in maize-common bean intercropping. PLoS ONE 2021, 16, e0257203. [Google Scholar] [CrossRef] [PubMed]
- Polania, J.A.; Chater, C.C.C.; Covarrubias, A.A.; Rao, I.M. Phaseolus Species Responses and Tolerance to Drought. Plant Fam. Fabaceae 2020, 319–336. [Google Scholar] [CrossRef]
- Suárez, J.C.; Polanía, J.A.; Anzola, J.A.; Contreras, A.T.; Méndez, D.L.; Vanegas, J.I.; Noriega, J.E.; Rodríguez, L.; Urban, M.O.; Beebe, S.; et al. Influence of nitrogen supply on gas exchange, chlorophyll fluorescence and grain yield of breeding lines of common bean evaluated in the Amazon region of Colombia. Acta Physiol. Plant 2021, 43, 1–15. [Google Scholar] [CrossRef]
- Polania, J.A.; Poschenrieder, C.; Beebe, S.; Rao, I.M. Effective use of water and increased dry matter partitioned to grain contribute to yield of common bean improved for drought resistance. Front. Plant Sci. 2016, 7, 660. [Google Scholar] [CrossRef]
- Omoto, E.; Taniguchi, M.; Miyake, H. Adaptation responses in C4 photosynthesis of maize under salinity. J. Plant Physiol. 2012, 169, 469–477. [Google Scholar] [CrossRef] [PubMed]
- Lv, Y.; Francis, C.; Wu, P.; Chen, X.; Zhao, X. Maize–Soybean intercropping interactions above and below ground. Crop. Sci. 2014, 54, 914–922. [Google Scholar] [CrossRef]
- Rezaei-Chianeh, E.; Nassab, A.D.M.; Shakiba, M.R.; Ghassemi-Golezani, K.; Aharizad, S.; Shekari, F. Intercropping of maize (Zea mays L.) and faba bean (Vicia faba L.) at different plant population densities. Afr. J. Agric. Res. 2011, 6, 1786–1793. [Google Scholar] [CrossRef]
- Chen, C.; Westcott, M.; Neill, K.; Wichman, D.; Knox, M. Row configuration and nitrogen applicant for barley-pea intercropping in Montana. Agron. J. 2004, 96, 1730–1738. [Google Scholar] [CrossRef]
- Raza, M.A.; Feng, L.Y.; van der Werf, W.; Cai, G.R.; Khalid MHBin Iqbal, N.; Hassan, M.J.; Meraj, T.A.; Naeem, M.; Khan, I.; Rehman, S.U.; et al. Narrow-wide-row planting pattern increases the radiation use efficiency and seed yield of intercrop species in relay-intercropping system. Food Energy Secur. 2019, 8, e170. [Google Scholar] [CrossRef]
- Yilmaz, Ş.; Atak, M.; Erayman, M. Identification of advantages of maize-legume intercropping over solitary cropping through competition indices in the east mediterranean region. Turk. J. Agric. For. 2008, 32, 111–119. [Google Scholar]
- Addo-Quaye, A.A.; Darkwa, A.A.; Ocloo, G.K. Yield and productivity of component crops in a maize-soybean intercropping system as affected by time of planting and spatial arrangement. J. Agric. Biol. Sci. 2011, 6, 50–57. [Google Scholar]
- Khokhar, A.; Yousuf, A.; Singh, M.; Sharma, V.; Sandhu, P.S.; Chary, G.R. Impact of land configuration and strip-intercropping on runoff, soil loss and crop yields under rainfed conditions in the shivalik foothills of North-West, India. Sustainability 2021, 13, 6282. [Google Scholar] [CrossRef]









Publisher’s Note: MDPI stays neutral with regard to jurisdictional claims in published maps and institutional affiliations. |
© 2022 by the authors. Licensee MDPI, Basel, Switzerland. This article is an open access article distributed under the terms and conditions of the Creative Commons Attribution (CC BY) license (https://creativecommons.org/licenses/by/4.0/).
Share and Cite
Suárez, J.C.; Anzola, J.A.; Contreras, A.T.; Salas, D.L.; Vanegas, J.I.; Urban, M.O.; Beebe, S.E.; Rao, I.M. Influence of Simultaneous Intercropping of Maize-Bean with Input of Inorganic or Organic Fertilizer on Growth, Development, and Dry Matter Partitioning to Yield Components of Two Lines of Common Bean. Agronomy 2022, 12, 1216. https://doi.org/10.3390/agronomy12051216
Suárez JC, Anzola JA, Contreras AT, Salas DL, Vanegas JI, Urban MO, Beebe SE, Rao IM. Influence of Simultaneous Intercropping of Maize-Bean with Input of Inorganic or Organic Fertilizer on Growth, Development, and Dry Matter Partitioning to Yield Components of Two Lines of Common Bean. Agronomy. 2022; 12(5):1216. https://doi.org/10.3390/agronomy12051216
Chicago/Turabian StyleSuárez, Juan Carlos, José Alexander Anzola, Amara Tatiana Contreras, Dina Luz Salas, José Iván Vanegas, Milan O. Urban, Stephen E. Beebe, and Idupulapati M. Rao. 2022. "Influence of Simultaneous Intercropping of Maize-Bean with Input of Inorganic or Organic Fertilizer on Growth, Development, and Dry Matter Partitioning to Yield Components of Two Lines of Common Bean" Agronomy 12, no. 5: 1216. https://doi.org/10.3390/agronomy12051216
APA StyleSuárez, J. C., Anzola, J. A., Contreras, A. T., Salas, D. L., Vanegas, J. I., Urban, M. O., Beebe, S. E., & Rao, I. M. (2022). Influence of Simultaneous Intercropping of Maize-Bean with Input of Inorganic or Organic Fertilizer on Growth, Development, and Dry Matter Partitioning to Yield Components of Two Lines of Common Bean. Agronomy, 12(5), 1216. https://doi.org/10.3390/agronomy12051216

