Abstract
To investigate the effects of management practices on the dynamics of soil temperature, during 2014–2017, a field experiment was carried out in Bad Lauchstaedt, Germany. In this study, four management systems are compared for determining management-induced changes in soil temperature at different depths: (i) conventional tillage (TC) with the standard rate of N fertilizer (P1N1), (ii) conventional tillage with the half-standard rate of N fertilizer (P1N0), (iii) reduced tillage (TR) with the standard rate of N fertilizer (P0N1), and iv) reduced tillage with the half-standard rate of N fertilizer (P0N0). Temporal analysis of soil temperature is assessed to examine data observed at a specific time to achieve a better understanding of the soil temperature dynamic that occurs at different time scales. The results showed that the soil temperature has decreasing amplitudes and increasing phase shifts with increasing soil depth, i.e., the deeper the measurement depth, the smoother the soil temperature changes cycle and the smaller the variability. Results showed that the diurnal temperature variation is found up to 45 cm depth of soil whereas annual temperature variation is up to a depth of 180 cm. The results, moreover, revealed that soil temperature dynamic was affected by tillage systems and fertilization and a time lag is observed between the temperature fluctuations at the surface and deeper layers, due to induced management effects on plant cover, residues, and soil properties. Although higher soil temperature at the sowing stage under TR is contributed to higher amounts of surface crop residues in crop rotations, the effect of residues on soil temperature variation reduces with an increase in percent plant cover and shading of soil, which happens in the last stage of plant growth. At the last stage of crop development regardless of tillage systems, applying more N fertilization increased crop yield, resulting in cooling soil temperature.
1. Introduction
Soil Temperature (Ts), as one of the important factors, plays an essential role in climatology, agriculture, ecosystems, hydrology, and the environment and is the most fundamental component of the Earth’s surface energy budget by regulating the heat energy exchange between the land surface and the atmosphere [1]. The factors that affect the amount of heat supplied at the soil profile include not only climatic variability such as diurnal air temperature (Tair) oscillations, and solar radiation, but also soil surface attributes such as vegetative cover, organic matter content, evaporation, and soil color as well as disturbances due to management practices [2]. Soil management activities affect Ts mostly by altering the reflection coefficient, thereby changing the net radiation at the soil surface.
Soil tillage as a common agricultural management practice strongly affects Ts and soil moisture in the near-surface unsaturated soil zone that plays as an interface between the subsurface and the low atmosphere boundary [3]. Soil tillage systems control hydrological cycles and energy balance and alter soil water use efficiency, soil fertility, air and heat flow by inducing some changes in soil properties such as shape, size, and continuity of soil pores and soil water content [4]. Conventional tillage (TC) is mainly plowed up to 20–25 cm soil depth, which causes a decrease in soil bulk density, and an increase in soil porosity thereby may have a positive impact on plant growth. However, TC adversely affects soil structure by reducing soil aggregation, and can also create hardpan by compaction from repeated plowing, leading to an increased risk of erosion and nutrient loss as well as a decrease in water infiltration into deeper soil layers [5]. To conserve natural resources, and mitigate the potential disadvantages of TC on sustainable agriculture, there is a greater interest in using reduced tillage (TR). TR together with soil surface cover and rotation can not only increase aggregate stability and bulk density but also decrease soil mechanical impedance and water evaporation compared to TC and then affect soil temperature in crop lands [6].
Another major challenge ahead is to apply fertilizers in a way that maintains soil sustainability while ensuring adequate food production with minimal environmental impacts. Different fertilizer management schemes may affect Ts through effects on crop yield. The shade provided by a dense shrub cover during the growing season might reduce Ts [7]. Although excessive fertilizer input does not lead to a further increase in crop yield, it could increase the risk of environmental pollution, such as N and P leaching into groundwater and N emissions into the atmosphere [8]. Recently, strategies have been proposed to reduce the fertilizer application rate to a sufficient level that might meet the needs of a crop [9].
Despite wide research on the effect of management on Ts changes, there is insufficient investigation on the interaction effects of tillage and N fertilization on Ts behavior in shallow and deep soil layers at different temporal courses. The current study was conducted in the framework of a field experiment in a Bad Lauchstaedt-Germany, to explore the interaction effects of soil tillage and fertilization on Ts variation in different soil depths. In this study, Ts of the various soil layers were monitored to more realistically describe the temperature changes at different soil layers and analyze management-induced changes from various perspectives. We hypothesized that soil management practices significantly influence Ts fluctuation. Applying statistical time series analysis of Ts provides advantages for a better understanding of Ts responses to management practices. Therefore, quantifying the effect of management systems on Ts can explain some of the differences in plant growth and development in applied management systems.
2. Material and Method
2.1. Study Site and Soil Information
The study site is part of the field research station of the Helmholtz-Centre for Environmental Research in Bad Lauchstaedt, Sachsen-Anhalt, Germany (51°24′ N, 11°53′ E and 118 m above the sea level). The investigations were carried out during the four years 2014–2017. The meteorological data were available for the investigation period from a weather station that was in operation on the field research station. The annual mean precipitation was 434 mm (2014–2017), 63% of which occurs between March and August. The mean annual temperature at the site was 10 °C. The region has four distinct seasons: spring (March (60th day of the year)–May (151th day of the year)), summer (June (152th day of the year)–August (243th of the year)), autumn (September (244th day of the year)–November (334th day of the year)), and winter (December (335th day of the year)–February (59th day of the year)). The region has flat terrain topography with uniform fertility. The soil type in this experiment is Haplic Chernozem (FAO) (USDA: Mollisol), consisting of 21.0% clay, 67.8% silt, and 11.2% sand and are dark brown to black in color, due to their enrichment of high-quality humus [10]. Groundwater level in studied site is deeper than 2 m. Site conditions were described in detail by Alterman et al. [10]. Before setting up the field experiments, soil samples were collected for chemical and physical characterization, presented in Table 1.
Table 1.
Some soil parameters in Bad Lauchstaedt at different soil depths.
2.2. Experimental Design and Crop Management
In this study, two management factors of soil tillage and N fertilization were investigated in a non-randomized experiment. The trial was laid out in a split plot design with two tillage systems, i.e., (1) conventional tillage with a plowing depth around 20–30 cm (P1) and (2) reduced tillage with plowing depth around 5–10 cm (P0) and two N fertilizer level, i.e., (1) conventional N-fertilizer: standard rate of mineral fertilizer treatment (100 kg ha−1) that reflects the practice of local (N1); (2) reduced N-fertilizer: half-standard rate (50 kg ha−1) of mineral fertilizer (N0). The dimension of plots were 20 m × 22 m which were planted with spring rape (Brassica napus), winter wheat (Triticum aestivum), winter barley (Hordeum vulgare), and winter rape (Brassica napus) as a typical regional crop rotation (Table 2). A schematic diagram showing the experimental design is presented in Table 3. Total mineral fertilizer was applied in spring. For all plots, the straw of the previous crop was uniformly broadcasted into the top soil before plowing the soil.
Table 2.
Crop rotation date in the studied period in four studied plots.
Table 3.
Field experimental design of tillage and N-fertilizer applications.
2.3. Soil Temperature
Ts monitoring commenced in 2014 and ended in 2017. On each studied plot three sensors were horizontally installed at 5, 45, 90, and 180 cm soil depths. Ts were automatically recorded every 10 min by PT1000 sensors (Platinum resistance thermometers) which provide excellent accuracy over a wide temperature range. The data integrity is considered satisfactory (i.e., the amount of missing data annually is <5%).
For the characterization of the Ts, we used hourly averages for daily fluctuation and daily averages for monthly and annual fluctuation. A very large quantity of temperature measurements was obtained in this work. To reduce the quantity of data and to emphasize the major effects, two statistical operations were carried out.
As the study duration could have a significant impact on the variation of Ts, so recorded data during the crop growing season were assessed into the hottest and coldest days of each year. Furthermore, two important days (sowing and a day before harvest) were selected to present the effects of different management conditions at various soil depths. Although these two days could be exceptional, we have checked these days represent the typical condition for a longer interval.
To analyze the variation of the Ts at 5 cm soil depth at different day times during the whole crop growing season, the Ts at a depth of 5 cm at 00:00 h, 06:00 h, 14:00 h, and 18:00 h every 15 days after sowing (days after sowing-DAS) was determined.
2.4. Data Analysis
Measured Ts curves were fitted by utilizing a sinusoidal function to represent variations of heat transferred to the soil and the depth of Ts penetration. The behavior of Ts was fitted for different soil layers of selected thermal periods using the equation [11]. A simple sine curve could be written:
where y(z,t) is the Ts (°C) at depth z and time t, Taverage is the average Ts (°C), A is the amplitude of the soil thermal wave (°C), which provides insight into the temperature fluctuations, ω is the radial frequency (per unit time), that equals to 2π/p and p is the period of temperature fluctuation and is set to 24 h for one day or 365 days for one year denoting the period of the fundamental cycle, φz is the phase shift (rad), the delay of Ts changes at soil layers. The model parameters Taverage, A, and φz were determined using the lm function in R software as shown below [12]:
A general sine curve can be considered and described as a general linear combination of sin and cos to estimate the model by using a linear curve fitting algorithm:
(α, β) are the parameters of the Equation (2), which consider as a vector and is written in polar coordinates (A, φ),
whence,
The phase shift can be also determined in terms of the time period (days), in this study, one rotation takes 365 days, thus
The period is 365 days, i.e., 2π ≙ 356 days, so:
Now we need to find the phase shift, φ ≙ n days, so:
If we divide the period of 365 days into 4 subintervals, each subinterval will be 91.25 days long. Therefore, the number of days from an arbitrary starting date (taken as January 1 in this study) to the occurrence of the maximum temperature in a year (days) can be calculated as follow:
The coefficient of correlations among air and Ts at various soil depths were determined using Pearson correlation analyses whereas Tair is considered independent and Ts is the dependent variable. This coefficient demonstrates the association between the response ratios of Ts to the Tair during the studied period that creates regression equations through which the Ts is projected corresponding to the Tair.
The data were evaluated to assess differences among treatments by analysis of variance using R statistical software. The Ts of a plot was always taken into account as the mean value of the three sensors. Mean values from treatments were compared based on the least significant difference test (LSD 0.05) if the F-tests were significant at a probability level of 0.05.
3. Results and Discussion
3.1. Information on Soil Temperature Changes in Different Temporal Courses
A sinusoidal wave model was applied under the assumption that the Ts varied in a sinusoidal manner. Fitted soil thermal wave behavior in different soil layers of all treatments during the studied years are shown in Figure 1 aiming to provide an insight into the Ts changes and their relationship with changes in Tair. Figure 1 shows that the temperature of the ground surface at 5 cm remains almost in phase with that of the air and Tair has remained lower than soil surface temperature from 60th day of the year to 274th day of the year (March to October) over studied years. It can be explained that during these months, the surface heating of the atmosphere is greater than the cooling effect [13]. Differences between the monthly average of Tair and at 5 cm depth Ts at P0N0 and P1N0 from 60th day of the year to 274th day of the year (March to October) are more pronounced than P0N1 and P1N1 can be due to more ground cover and shading of soil in plots with the standard rate of fertilizer, and these differences become less in the remaining months (Figure 1). Irrespective of treatment effects, the changes in Ts in warm months showed a tendency to decrease as the depth increased, while in cold months, Ts was higher in subsoils than topsoil. These measurements are similar to the previous studies [4,14,15,16]. Variations of Ts in deep soil layers are much less compared to the upper layers, and lag considerably behind the seasonal variations in comparison with the upper layers; i.e., the maximum or minimum occurs later than the corresponding values at the surface, and a time lag is observed between the temperature fluctuations at the surface and in the deeper layers.

Figure 1.
Fitted annual soil thermal waves of different treatments at various soil depths over the studied years. (a) P0N0 (b) P0N1 (c) P1N0 and (d) P1N1.
The daily amplitude of Ts at the surface is greater than the daily amplitude of Tair, and Ts decreases in amplitude and increases in phase shift (time offset) with depth (Table 4). Due to the relatively large heat capacity of the soil, there is a time lag between Tair and Ts. Typical lags between Tair and Ts at a depth of 5 cm are less than 24 h, so the Ts of a given day is considered to be the result of the Tair of the same day. However, the variations in Ts in deeper layers are usually due to the Tair of the previous days. In our study, the time lag is considered as the number of days from the first day of the year to the occurrence of the maximum temperature in a year (Table 4). Results implied that the warming that occurred on the surface might take some time to the deep. Consistent with the previous studies [17,18], measurements taken over the studied years, show that the maximum and minimum Ts in shallower depths occurred in June/July and January, respectively, while, deeper soil layers attain their lowest temperature in February/March and its highest in August/September, about one month later than that the corresponding surface changes (Table 4). The differences between time lags of 5 cm depth and 180 cm depth during the studied years are different which could be a result of the differences among plant canopies (Table 4). In warm months, the differences between maximum Ts in depth of 5 cm and 180 cm are greater in P1N0 and P0N0 than in P0N1 and P1N1 plots which implies that applying N fertilization keeps the Ts cooler of about 1.5 °C (Figure 1). Since N fertilizer improves plant growth leading to an increase in plant canopies and higher yields (Table 5), it is going to be expected that Ts in shade of plant canopies is lower than in plots with reduced N fertilizer.
Table 4.
Fitted parameters of the sinusoidal wave of soil temperature variation in the different soil layers under different managements during studied years.
Table 5.
The yield of crops grown under different managements in 2014–2017.
By considering the measured temperatures at various depths in different seasons (Table 6), it is seen that the differences among treatments in the seasonal average of Ts in depth of 5 cm in summer were significantly higher than in other months; e.g., average of Ts in summer was 1.7 °C lower in P1N1 than P0N0. As shown in Table 6 and Figure 1, treatment-induced changes in Ts decrease as the soil depth increase. In shallow depths, during the studied years, seasonal mean Ts was higher in P0N0 and P1N0 than in P0N1 and P1N1 (Table 6). Ts under treatments in deep layers increase more slowly with fewer variations of about 1 °C in spring and cools more slowly in autumn of about 1 °C than in the upper layers which warm of about 8 °C in spring and cool of about 9 °C in autumn. Therefore, it is apparent that the deep soils are cooler in summer, which is speculated to be due to soil heat storage capacity, and heat from the surface releases slowly to the deeper layers [15]. During the summer period, the lower Ts in deeper layers could be a function of higher soil water content. While surface layers are exposed to the atmosphere and receive more radiant energy, resulting in more evaporation and lower soil volumetric water contents, the alternation of drying and wetting cycles can be more noticeable than in deeper layers. Since heat capacity in moist soils increases linearly with increasing water content, thereby hinders soil warming. While in the winter period, soil water content is almost at par within the soil profile due to low radiant energy reaching the soil surface, which in turn reduces evaporation and remains soil profile wet. Soil subsurface is expected to be warmer than the air, providing heat to the surroundings as a natural source [15,19].
Table 6.
Information of seasonal soil temperature under different treatments at different soil depths over the studied years.
3.2. Diurnal Soil Thermal Behavior in the Soil Layers
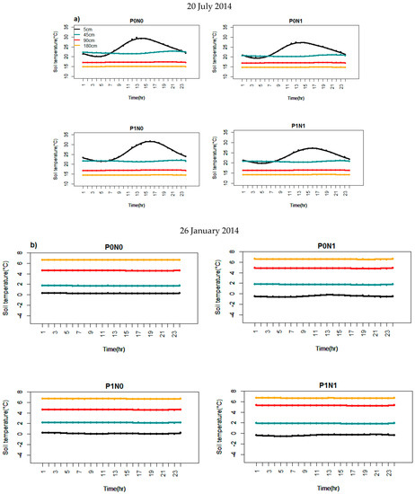
To evaluate the most remarkable differences in Ts variations with depth, a continuous-time span from 0:00 to 24:00 with a sinusoidal wave function, was considered for two critical days according to Tair (hottest day of summer months and coldest day of winter months) over the studied period. In 2014, the coldest day was January 26, the warmest day was July 20; in 2015, February 2 and July 7 was the coldest and warmest day, respectively. The coldest day of the year 2016 was January 22, whereas the hottest day for the same year was June 24. The coldest and warmest day in 2017 was January 1 and July 30, respectively. By plotting the hourly measured temperatures at various depths (Figure 2), it is seen that the sinusoidal wave function representation of Ts agreed well with the measured values. The results showed that on the warmest day, the Ts increases from the upper layers downward, while on the coldest day the order is exactly reversed. (Figure 2). Overall, our results show that on the warmest day over the studies years, the temperature of the soil surface starts becoming hot at about 07:00 h and is heated to a higher temperature at about 14:00 h. Due to the high thermal inertia of the soil, the temperature fluctuations at the soil surface are diminished as soil depth increases, so temperature variations were found to be more stable in the greater depths as expected. The heat penetration of the daily cycle is prominent to a depth of about 45 cm and the daily variation below the depth of 45 cm is nearly negligible. This depth depends greatly on the thermal conductivity of the topsoil which is probably relatively low. As Figure 2 shows, changes in amplitude of the soil diurnal temperature wave decreased with increasing soil depth. Since the obtained higher maximum, average Ts, and amplitude of the thermal waves at the shallow depth may result from the incident of radiant energy before further propagation to deeper soil layers and reflection, depending on surface condition. It can be explained that with increasing distance from the exchange surface, heat is stored in each succeeding layer, hence less heat is passed on to the next layer [2,20]. As it can be seen from Figure 2, during the cold day lower fluctuations were found in the 5 cm soil depth over almost all studied years than on the warmest day. Ts fluctuations over the warmest day can hardly be noticed to greater depths than 45 cm (Figure 2), while in the annual course can reach up to 180 cm (Figure 1). Therefore, it shows that temperature fluctuations vary according to temporal courses. These results are in agreement with the findings of [2], who reported that over the day, Ts fluctuations can be reached up to 20–30 cm of soil depth, while seasonal and annual courses can reach up to 2 m and 10 m, respectively. Furthermore, as underlined by [21], diurnal variation of Ts is up to 0.4 m, while annual fluctuation reaches up to a depth of 4 m.




Figure 2.
Soil temperature variation for the (a) hottest day and (b) coldest day under different managements over the studied years.
We also evaluated the delay in reaching the maximum and minimum temperatures which occurred in different treatments on the warmest day at the 5 cm soil depth (Figure 3), since on warm days the differences between minimum and maximum daily temperatures among treatments were strongly pronounced. From Figure 3, it can be seen that there was a time shift in the timing of maximum and minimum Ts among treatments. Maximum and minimum Ts did not correspond to 12.00 noon and 00.00 h, respectively. Maximum temperatures on summer day occurred at 14:00 h in P0N0 and P0N1, at 15:00 h in P1N0, and 16:00 h in P1N1. The minimum Ts occurred at about 05:00 h on the summer day in all plots. Thermal waves of the conventional treatments (P1N1) showed lower maximum Ts in all studied years than other treatments, while reduced treatments (P0N0) had high maximum Ts over the studied period (Figure 3). From Figure 3, the amplitude of thermal waves in plots with conventional fertilizer (P0N1, P1N1) is lower than in other plots. Cooler Ts in plots with conventional N fertilizer rate can be explained by the increasing effects of N fertilizer on crop yields and an increase in vegetation cover which result in increasing the absorption of solar energy by the leaves. As crops were at late growth stages in the summer day, the soil surface was covered entirely with plant canopy, thereby shading soil from solar radiation and incidence energy.
Figure 3.
Variation of the soil temperature at 5 cm soil depth for the hottest day under various management over the studied years: (a) 2014 (b) 2015 (c) 2016 (d) 2017.
3.3. Relationship between Air and Soil Temperature
Ts variations are intimately related to changes in the atmospheric temperature, global solar radiation, and the depth of soil. Tair correlates well with Ts because both are determined by the energy balance at the ground surface. Correlations between Ts and Tair in different depths (5, 45, 90, and 180 cm) of soil under different agricultural managements are demonstrated in Table 7. Regression analysis revealed that daily Ts could be predicted efficiently with the help of corresponding mean Tair by considering the time lag that exists between Tair and Ts at different depths. A general understanding of how Tair relates to Ts is that the amplitudes of Ts are dampened and its phase is shifted against Tair due to heat transport processes. R2 values showed that the prediction of Ts using mean Tair could explain more than 90% variability of Ts for topsoil. While the accuracy of predicting Ts in the subsoil is slightly less than in the topsoil. In this study, linear regressions are considered regional equations. As underlined by [17], the above method can be used in such cases when the database of measurement is not complete. The application of the regression equation can supplement the use of the time-consuming Ts measuring method.
Table 7.
Relationship between annual mean air and soil temperatures at different soil depths.
3.4. Temporal Soil Temperature Changes at Sowing and a Day before Harvest Time in Different Soil Layers
The effect of the management practices on the temperature fluctuations is related to the period during the year, due to the impacts of fertilizer on the crop canopy, and the effects of soil tillage on surface roughness and porosity. Ts is important for seed germination and is a reason why we selected the sowing date for determining the effect of management on Ts variations. Ts and soil moisture conditions in the seedbed zone can improve or delay seed germination and plant emergence.
Effects of treatments on Ts at sowing date at different depths are shown in Figure 4. Our results showed that at the sowing date, a higher Ts was observed under P0N0 and P0N1 than in P1N0 and P1N1 plots, which likely contributed primarily to higher residue coverage under TR plots than TC plots (Table 5). Surface residue cover can affect soil temperature by insulating the soil surface and slowing soil drying. The effect of plant residues on reducing soil cooling during the period with low temperatures could be responsible for higher Ts under TR. In our experiment, straw stayed on the field and was evenly distributed on the soil surface after harvest to protect the soil and improve soil organic carbon. Since crop rotations were very close and there was little time for straw rotting between harvest and new sowing, residues should be mixed into the soil. Under P1N0 and P1N1 plots, residues were accommodated in deeper soil layers than in P0N0 and P0N1 plots, and the lack of an insulating layer of crop residue could be a reason why our results did show higher Ts in P0N0 and P0N1 plots at the sowing date. Since in this study, spring rape was planted in early spring, winter wheat, winter barley, and winter rape were planted in early autumn, the presence of plant residues on the soil surface insulates the soil from colder Tair and decreases heat loss. It has been reported that straw can protect the soil from extreme thermal conditions that could make soil nutrients immobile and soil micro-organisms to be dormant [15]. It is speculated from this result to some extent that higher Ts in TR plots can be profitable in the sowing period, improving crop establishment. As reported by [22], suitable Ts can significantly accelerate seed germination during the early stage of crop growth.
Figure 4.
Soil temperature (°C) at different soil depths according to the fertilizer rate and tillage system on sowing day.
On the other hand, soil bulk density in conventional tillage systems could be lower than reduced tillage, resulting in more pore space, which is filled with air and water. As air is a good insulator with low thermal conductivity and the flow of heat is lower in dry soil where the pores are filled with air, it can be contributed to low temperature in TC. Furthermore, TR soils with straw residues in topsoil can retain more water than TC soils; consequently, soil heat capacity would be increased and lead to absorbing a lot of heat for changing temperature [23]. As underlined by [24], the temperature-increasing effect of straw coverage was mainly derived from perseveration of soil moisture, increase in soil thermal capacity, and blockage of long-wavelength radiation on the soil surface thus leading to an alleviated reduction in Ts underneath the coverage. Conversely, in higher soil bulk density, the contact between particles is increased, and; consequently, the soil thermal conductivity increases [25], leading to higher Ts in TR. Therefore, it can be concluded that differences in Ts in both tillage systems could be due to differences in mulch remaining after soil management. These results are consistent with those reported by [20,26].
The late plant growth and development stage (one day before harvest) was also selected as one of the important crop stages in the growing season to assess the effect of applied treatments on Ts at various depths (Figure 5). The four–year experiments indicated that at the late plant growth stage, applying reduced N fertilizers in a reduced tillage plot (P0N0) increased the Ts compared to conventional N fertilizer and conventional tillage plot (P1N1) at 5 cm soil depth with 0.9 °C under spring rape-2014, 1.5 °C under winter wheat-2014/2015, 2 °C under winter barley-2015/2016, 0.5 °C under Winter rape-2016/2017, and 1.1 °C under Spring rape-2017 (Figure 5). In the late plant growth stages, the canopy covers the ground and prevents solar radiation, resulting in reduction of airflow, evaporation intensity, and transfer of water and heat between soil and atmosphere giving rise to soil surface temperature reduction. Thus, we can speculate from this result that in this plant growth stage, the effect of plant coverage on Ts variations is mainly driven by the N fertilizer application and are less related to the tillage systems. Table 5 provides the crop yields during the studied years. From Table 5, plots with receiving a standard rate of N fertilization had higher grain and straw yields with higher plant coverage and shading effect than plots with reduced N fertilization. Throughout the monitoring period, the effect of treatments on Ts was consistent and not varied by crop rotation at the sowing and the last day before harvest, and these effects were gradually reduced with the soil layer deepening (Figure 4 and Figure 5).
Figure 5.
Soil temperature (°C) at different soil depths according to the fertilizer rate and tillage system at the late plant growth stage.
3.5. Topsoil Temperature Variation at Different Day Times during Days after Sowing
The fluctuations of Ts in 5 cm under various managements during days after sowing (DAS) are shown in Figure 6. Irrespective of the management systems, Ts in all plots are gradually decreased after 00:00 h until 06:00 h, increased after 06:00 h, and reached a peak at 14:00 h, followed by a decrease after 18:00 h over the years of the experiment (Figure 6), as also found in a previous study [27].

Figure 6.
Soil temperature (°C) variation at 5 cm soil layer under tillage and N fertilizer practices at the 0, 6, 14, and 18 h during the days after spring rape sowing (2014). * Significant difference at the 0.05 probability level, ** significant difference at the 0.01 probability level, *** significant difference at the 0.001 probability level, N.S. not significant by least significant different test (LSD 0.05).
At 00:00 h, differences in the Ts in 5 cm among treatments were less. However, the Ts differences were slightly higher after 06:00 h.
At 06:00 h, during spring rape growth season, the difference in Ts among various treatments increased from 60 DAS. The most incredible difference in Ts among treatments under spring rape growth season was 2.98 °C and 1.44 °C at 90 DAS in 2014 and 2017, respectively; thereafter, the magnitude of difference decreased with the advance of the cropping period (Figure 6a,e). During growing seasons of winter wheat and winter rape, the Ts differences during the early hours of the day (06:00 h) among treatments increased from 30, and 135 DAS, respectively. The differences among treatments were highest at 180 DAS under winter wheat (3.19 °C) and 150 DAS under winter rape (1.1 °C) (Figure 6b,c). While the increase of Ts differences among treatments under winter barley was observed from 225 DAS (Figure 6c).
The Ts was highest at 14:00 h, and the difference was also the largest. The differences among treatments under crop rotation systems were highly pronounced in the middle hours of the day when Tair reached its maximum. The differences in Ts are more evident on the earlier days after sowing at 14:00 h compared to other hours of the day. The highest difference in Ts among treatments was 5.49 °C and 3.81 °C at the mid-late of DAS in 2014 and 2017, respectively (Figure 6a,e). Whereas the greatest Ts differences of winter wheat, winter barley, and winter rape, at 14:00 h, were 4.34 °C, 3.2 °C, and 1.14 °C, respectively (Figure 6b–d). In the evening, at 18:00 h, the Ts was moderate, and the differences among treatments are reduced. This trend followed a similar pattern during the studied period.
The interactive effects of the tillage with N fertilizer practices on the Ts may depend on the crop growing period during the experimental years. Irrespective of the N fertilizer rate, at the early growth stage, the mean Ts in 5 cm was highest in the reduced tillage plots (P0N0, P0N1) and lowest in the conventional tillage plots (P1N0, P1N1) during 2014–2017; however, these differences were lasted up to 30 DAS. The changes in Ts under treatments at the sowing date may be in part due to the influence of tillage on surface residue cover. Reduced tillage decreases the intensity and frequency of soil disturbance, compared to conventional tillage, i.e., the crop residues on the soil surface was reduced by greater plowing depth.
Since crops were sown almost in the cool months, more crop residue in TR leads to greater conservation of heat under TR. Furthermore, decaying crop residues with time reduced the impact of straw on the Ts. Although TR contributes to higher amounts of surface crop residues in cropping systems, the effect of tillage on Ts diminishes with an increase in percent ground cover and shading of soil. Part of the N fertilizer was applied at the mid-growth stage, which resulted in the greatest effect of N fertilizer on higher crop yield in plots receiving conventional N fertilizer (P0N1, P1N1) and having low Ts at the final growth stage (Table 5, Figure 6). These findings agree with those obtained by [27,28].
4. Conclusions
This study provides insights into changes in Ts induced by tillage practices and fertilization in croplands. The measured Ts at different soil depths were periodic because of variations in daily and seasonal solar radiation, and showed similar fluctuations from year to year during the studied period. Shallower depths were more affected by the heat from the surface, related to incident solar radiation, and then dictates the land surface temperature dynamics. The soil surface is more sensitive than deeper soil to temperature changes, thus the amplitudes of the measured soil temperatures decreased as the soil depths increased.
Lower temperature in cold months is one of the main limitations on planting, germination, and emergence, and the early growth of crops as well. The effects of tillage systems on soil temperature can help explain some of the differences in plant growth and development in different tillage systems. Findings showed that reduced tillage practice improved soil thermal status in the cold months and created an ideal Ts condition in seedbed zones for plant emergence and plant development. The effect of tillage practices on Ts became attenuated at the last vegetation stages; however, fertilization application showed a greater impact on Ts variation. Given the applied management practices in croplands, short-term studies might not provide enough information, so long-term experiments are an indispensable prerequisite for coming to a thorough a complete understanding of management-induced changes in Ts. Since long-term management practices gradually affect soil physical and chemical properties and consequently soil thermal properties.
Understanding the response of Ts dynamic to management could be advantageous for many different areas of environmental science and climatology. Ts as an effective factor might be used in future solutions to climate changes, optimizing management practices, predicting carbon, nitrogen, and water dynamics, and other related processes as well. Furthermore, since soil water content, soil type, heat flow density, and heat capacity are influential factors for soil processes, therefore, these factors should be taken into account in future studies to consider their interaction effects on Ts.
Author Contributions
Conceptualization, M.J., S.M., U.F. and K.K.; investigation, U.F.; formal analysis, M.J., S.M. and K.K.; supervision, K.K.; writing—original draft, M.J., writing—review and editing, M.J., S.M. and K.K.; draft review, U.F. and K.K. All authors have read and agreed to the published version of the manuscript.
Funding
This research did not receive any specific grant from funding agencies in the public, commercial, or not-for-profit sectors.
Institutional Review Board Statement
Not applicable.
Informed Consent Statement
Not applicable.
Data Availability Statement
The data that supports the findings of this study are available within the article.
Acknowledgments
Appreciation is extended to Research Centre for Cultivated Plants, Institute for Crop and Soil Science, Julius-Kühn Institut, Braunschweig, Germany for the financial support and provision of the working equipment, and the Technical University of Braunschweig, Germany for the professional support. The authors would like to acknowledge Helmholtz Centre for Environmental Research (UFZ) for providing the data and thank Ines Merbach for her contribution to the field experiment, and Dagmar Söndgerath for her professional support.
Conflicts of Interest
All authors declare no conflict of interest with the subject matter or materials discussed in this manuscript.
References
- Huang, R.; Huang, J.-X.; Zhang, C.; Ma, H.-Y.; Zhuo, W.; Chen, Y.-Y.; Zhu, D.-H.; Wu, Q.; Mansaray, L.R. Soil temperature estimation at different depths, using remotely-sensed data. J. Integr. Agric. 2020, 19, 277–290. [Google Scholar] [CrossRef]
- Muñoz-Romero, V.; Lopez-Bellido, L.; Lopez-Bellido, R.J. Effect of tillage system on soil temperature in a rainfed Mediterranean Vertisol. Int. Agrophysics 2015, 29, 467–473. [Google Scholar] [CrossRef] [Green Version]
- Moroizumi, T.; Horino, H. The effects of tillage on soil temperature and soil water. Soil Sci. 2002, 167, 548–559. [Google Scholar] [CrossRef]
- Yang, Y.; Ding, J.; Zhang, Y.; Wu, J.; Zhang, J.; Pan, X.; Gao, C.; Wang, Y.; He, F. Effects of tillage and mulching measures on soil moisture and temperature, photosynthetic characteristics and yield of winter wheat. Agric. Water Manag. 2018, 201, 299–308. [Google Scholar] [CrossRef]
- Li, Y.; Li, Z.; Cui, S.; Jagadamma, S.; Zhang, Q. Residue retention and minimum tillage improve physical environment of the soil in croplands: A global meta-analysis. Soil Tillage Res. 2019, 194, 104292. [Google Scholar] [CrossRef]
- Liu, S.; Li, J.; Zhang, X. Simulations of Soil Water and Heat Processes for No Tillage and Conventional Tillage Systems in Mollisols of China. Land 2022, 11, 417. [Google Scholar] [CrossRef]
- Singh, B. Are Nitrogen Fertilizers Deleterious to Soil Health? Agronomy 2018, 8, 48. [Google Scholar] [CrossRef] [Green Version]
- Zhong, Y.; Wang, X.; Yang, J.; Zhao, X.; Ye, X. Exploring a suitable nitrogen fertilizer rate to reduce greenhouse gas emissions and ensure rice yields in paddy fields. Sci. Total Environ. 2016, 565, 420–426. [Google Scholar] [CrossRef]
- Lian, Y.; Meng, X.; Yang, Z.; Wang, T.; Ali, S.; Yang, B.; Zhang, P.; Han, Q.; Jia, Z.; Ren, X. Strategies for reducing the fertilizer application rate in the ridge and furrow rainfall harvesting system in semiarid regions. Sci. Rep. Cetacean Res. 2017, 7, 2644. [Google Scholar] [CrossRef] [Green Version]
- Altermann, M.; Rinklebe, J.; Merbach, I.; Körschens, M.; Langer, U.; Hofmann, B. Chernozem—Soil of the Year 2005. J. Plant Nutr. Soil Sci. 2005, 168, 725–740. [Google Scholar] [CrossRef]
- Horton, R.; Wierenga, P.J.; Nielsen, D.R. Evaluation of Methods for Determining the Apparent Thermal Diffusivity of Soil Near the Surface. Soil Sci. Soc. Am. J. 1983, 47, 25–32. [Google Scholar] [CrossRef]
- R Core Team. A Language and Environment for Statistical Computing; R Core Team: Vienna, Austria, 2013. [Google Scholar]
- Zhan, M.-J.; Xia, L.; Zhan, L.; Wang, Y. Recognition of Changes in Air and Soil Temperatures at a Station Typical of China’s Subtropical Monsoon Region (1961–2018). Adv. Meteorol. 2019, 2019, 6927045. [Google Scholar] [CrossRef] [Green Version]
- Park, K.; Kim, Y.; Lee, K.; Kim, D. Development of a Shallow-Depth Soil Temperature Estimation Model Based on Air Temperatures and Soil Water Contents in a Permafrost Area. Appl. Sci. 2020, 10, 1058. [Google Scholar] [CrossRef] [Green Version]
- Hu, Q.; Feng, S. A Daily Soil Temperature Dataset and Soil Temperature Climatology of the Contiguous United States. J. Appl. Meteorol. 2003, 42, 1139–1156. [Google Scholar] [CrossRef]
- Fang, X.; Luo, S.; Lyu, S. Observed soil temperature trends associated with climate change in the Tibetan Plateau, 1960–2014. Theor. Appl. Climatol. 2019, 135, 169–181. [Google Scholar] [CrossRef] [Green Version]
- Pokladníková, H.; RožnovSký, J.; STředa, T. Evaluation of soil temperatures at agroclimatological station Pohořelice. Soil Water Res. 2008, 3, 223–230. [Google Scholar] [CrossRef] [Green Version]
- Florides, G.A.; Kalogirou, S.A. Annual ground temperature measurements at various depths. In Proceedings of the CLIMA 2005, Lausanne, Switzerland, 9–12 October 2005. [Google Scholar]
- Dec, D.; Dörner, J.; Horn, R. Effect of soil management on their thermal properties. J. Soil Sci. Plant Nutr. 2009, 9, 26–39. [Google Scholar] [CrossRef]
- Awe, G.O.; Reichert, J.M.; Wendroth, O.O. Temporal variability and covariance structures of soil temperature in a sugarcane field under different management practices in southern Brazil. Soil Tillage Res. 2015, 150, 93–106. [Google Scholar] [CrossRef]
- Singh, R.K.; Sharma, R.V. Numerical analysis for ground temperature variation. Geotherm. Energy 2017, 5, 22. [Google Scholar] [CrossRef] [Green Version]
- Zhao, H.; Xiong, Y.-C.; Li, F.-M.; Wang, R.-Y.; Qiang, S.-C.; Yao, T.-F.; Mo, F. Plastic film mulch for half growing-season maximized WUE and yield of potato via moisture-temperature improvement in a semi-arid agroecosystem. Agric. Water Manag. 2012, 104, 68–78. [Google Scholar] [CrossRef]
- Zapata, D.; Rajan, N.; Mowrer, J.; Casey, K.; Schnell, R.; Hons, F. Long-term tillage effect on with-in season variations in soil conditions and respiration from dryland winter wheat and soybean cropping systems. Sci. Rep. 2021, 11, 2344. [Google Scholar] [CrossRef] [PubMed]
- Liang, H.; Hu, K.; Qin, W.; Zuo, Q.; Zhang, Y. Modelling the effect of mulching on soil heat transfer, water movement and crop growth for ground cover rice production system. Field Crops Res. 2017, 201, 97–107. [Google Scholar] [CrossRef]
- Abu-Hamdeh, N.H.; Reeder, R.C. Soil Thermal Conductivity Effects of Density, Moisture, Salt Concentration, and Organic Matter. Soil Sci. Soc. Am. J. 2000, 64, 1285–1290. [Google Scholar] [CrossRef]
- Sharratt, B.S. Corn stubble height and residue placement in the northern US Corn Belt: Part I. Soil physical environment during winter. Soil Tillage Res. 2002, 64, 243–252. [Google Scholar] [CrossRef]
- Hou, X.; Li, R. Interactive effects of autumn tillage with mulching on soil temperature, productivity and water use efficiency of rainfed potato in loess plateau of China. Agric. Water Manag. 2019, 224, 105747. [Google Scholar] [CrossRef]
- Wang, Y.; Chen, S.; Sun, H.; Zhang, X. Effects of different cultivation practices on soil temperature and wheat spike differentiation. Cereal Res. Commun. 2009, 37, 575–584. [Google Scholar] [CrossRef]
Publisher’s Note: MDPI stays neutral with regard to jurisdictional claims in published maps and institutional affiliations. |
© 2022 by the authors. Licensee MDPI, Basel, Switzerland. This article is an open access article distributed under the terms and conditions of the Creative Commons Attribution (CC BY) license (https://creativecommons.org/licenses/by/4.0/).