Ridge-Furrow Mulching Enhances Capture and Utilization of Rainfall for Improved Maize Production under Rain-Fed Conditions
Abstract
:1. Introduction
2. Materials and Methods
2.1. Site Description
2.2. Experimental Design and Field Management
2.3. Data Collection and Measurements
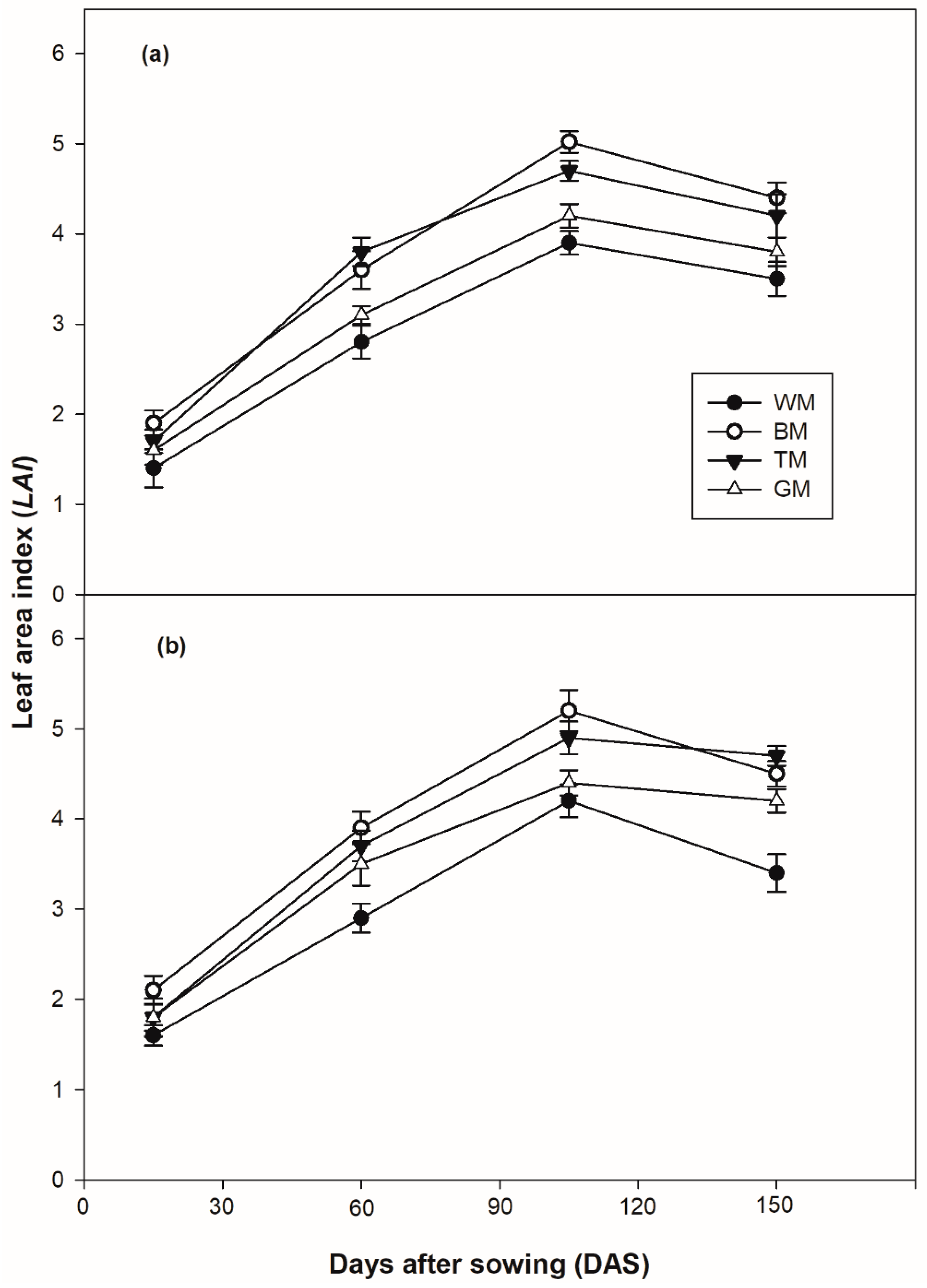
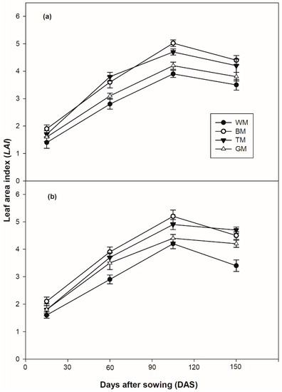
- Growth and yield traits: The number of plants grown in each plot was calculated from a selected area until a steady and constant number of plants was obtained. The mean days taken to emergence were determined from the time of sowing. Plant height and 1000-grain weight were measured from five indiscriminately selected plants from each plot at maturity and then the average was recorded. The leaf area from five consecutive plants randomly selected from a line in each plot was measured at 30, 60, 90 and 120 days after sowing [25] with the help of a leaf area meter (CI-202, CID, Bio-Science, Camas, WA, USA). The following formula was used to calculate the leaf area index (LAI):
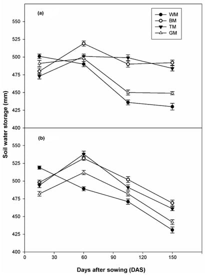
- Soil moisture: In every maize growing period, the water content in the soil was recorded at 30, 60, 90 and 120 days after sowing (DAS) to 100 cm soil depth at 20 cm intervals. By using a soil auger, the samples were arbitrarily collected at three locations in the middle of the furrow for every treatment [25]. The self-sealing plastic bags were used to collect the soil samples from the field. Upon arrival in the laboratory, each sample was placed directly in an aluminum box. To obtain fresh weights, all soil samples were weighed within one hour of collection and dried at 105 °C to obtain a constant weight. The soil moisture was then calculated in the 0–100 cm soil from every plot and then estimated for the total soil water storage.
- Physiological traits: Net photosynthetic rate, transpiration rate and leaf stomatal conductance were recorded from five randomly selected flag leaves of maize plants from each treatment separately using a portable infrared gas analyzer (CI-340 Portable Photosynthesis System, CID Biosciences, Camas, WA, USA). The readings were taken between 9:00 am to 11:00 am.
- Economic analysis: For economic analysis, the whole cost of production was estimated by the expenses incurred on all agronomic operations during both years and their average was determined. To determine the benefit–cost ratio, the total income of grains and stover was recorded [26].
2.4. Statistical Analysis
3. Results
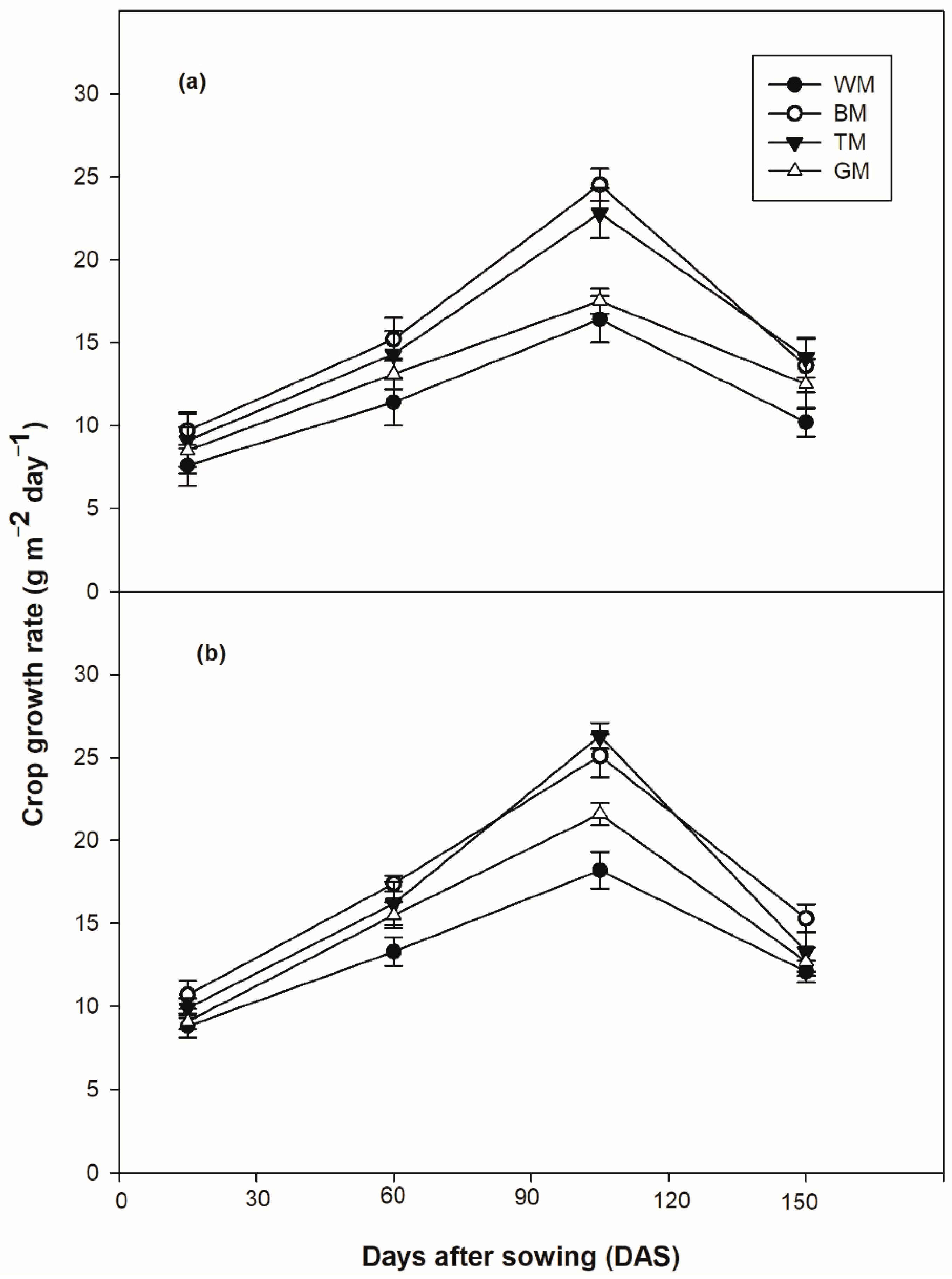
3.1. Plant Growth and Yield Attributes
3.2. Physiological Attributes
3.3. Economic Analysis
4. Discussion
5. Conclusions
6. Implication
Author Contributions
Funding
Institutional Review Board Statement
Data Availability Statement
Acknowledgments
Conflicts of Interest
References
- Hanjra, M.A.; Qureshi, M.E. Global water crisis and future food security in an era of climate change. Food Policy 2010, 35, 365–377. [Google Scholar] [CrossRef]
- Basso, B.; Antle, J. Digital agriculture to design sustainable agricultural systems. Nat. Sustain. 2020, 3, 254–256. [Google Scholar] [CrossRef]
- Piao, S.; Ciais, P.; Huang, Y.; Shen, Z.; Peng, S.; Li, J.; Zhou, L.; Liu, H.; Ma, Y.; Ding, Y. The impacts of climate change on water resources and agriculture in China. Nature 2010, 467, 43–51. [Google Scholar] [CrossRef] [PubMed]
- Madushanki, R.; Wirasagoda, H.; Halgamuge, M. Adoption of the Internet of Things (IoT) in agriculture and smart farming towards urban greening: A review. Int. J. Advan. Comp. Sci. Appl. 2019, 10, 11–28. [Google Scholar] [CrossRef] [Green Version]
- Wasaya, A.; Abbas, T.; Yasir, T.A.; Sarwar, N.; Aziz, A.; Javaid, M.M.; Akram, S. Mitigating drought stress in sunflower (Helianthus annuus L.) through exogenous application of β-aminobutyric acid. J. Soil Sci. Plant Nutr. 2021, 21, 936–948. [Google Scholar] [CrossRef]
- Rockström, J.; Lannerstad, M.; Falkenmark, M. Assessing the water challenge of a new green revolution in developing countries. Proc. Natl. Acad. Sci. USA 2007, 104, 6253–6260. [Google Scholar] [CrossRef] [Green Version]
- Sarwar, R.A.; Ashraf, M.; Javaid, M.M. Response of foliar-applied nutrient solution with and without soil-applied fertilizers on growth and yield of mung bean. J. Plant Nutr. 2018, 41, 1083–1093. [Google Scholar] [CrossRef]
- Lobell, D.B.; Burke, M.B.; Tebaldi, C.; Mastrandrea, M.D.; Falcon, W.P.; Naylor, R.L. Prioritizing climate change adaptation needs for food security in 2030. Science 2008, 319, 607–610. [Google Scholar] [CrossRef]
- Dinar, A.; Tieu, A.; Huynh, H. Water scarcity impacts on global food production. Glob. Food Secur. 2019, 23, 212–226. [Google Scholar] [CrossRef] [Green Version]
- Zhao, H.; Xiong, Y.-C.; Li, F.-M.; Wang, R.-Y.; Qiang, S.-C.; Yao, T.-F.; Mo, F. Plastic film mulch for half growing-season maximized WUE and yield of potato via moisture-temperature improvement in a semi-arid agroecosystem. Agric. Water Manag. 2012, 104, 68–78. [Google Scholar] [CrossRef]
- Mak-Mensah, E.; Zhang, D.; Zhou, X.; Zhao, X.; Wang, X.; Zhao, W.; Wang, Q.; Ahiakpa, J.K. Effect of co-application of ridge-furrow rainwater harvesting and mulching on fodder yield, quality, and soil desiccation in alfalfa (Medicago sativa) production. J. Soil Sci. Plant Nutr. 2022, 22, 1–16. [Google Scholar] [CrossRef]
- Li, F.M.; Li, X.G.; Javaid, M.M.; Ashraf, M.; Zhang, F. Ridge-furrow plastic film mulching farming for sustainable dryland agriculture on the Chinese loess plateau. Agron. J. 2020, 112, 3284–3294. [Google Scholar] [CrossRef]
- Javaid, M.M.; Waheed, H.; Nazami, N.; Ashraf, M.; Li, F.-M.; Tanveer, A. Response of chickpea to foliar supply of Hoagland’s solution under rain-fed condition. Semin. Ciências Agrárias 2020, 41, 3053–3066. [Google Scholar] [CrossRef]
- Li, X.Y.; Gong, J.D.; Wei, X.H. In-situ rainwater harvesting and gravel mulch combination for corn production in the dry semi-arid region of China. J. Arid Environ. 2000, 46, 371–382. [Google Scholar] [CrossRef]
- Xie, Z.K.; Wang, Y.J.; Li, F.M. Effect of plastic mulching on soil water use and spring wheat yield in arid region of northwest China. Agric. Water Manag. 2005, 75, 71–83. [Google Scholar] [CrossRef]
- Zhang, J.; Sun, J.; Duan, A.; Wang, J.; Shen, X.; Liu, X. Effects of different planting patterns on water use and yield performance of winter wheat in the Huang-Huai-Hai plain of China. Agric. Water Manag. 2007, 92, 41–47. [Google Scholar] [CrossRef]
- Siddique, K.H.; Johansen, C.; Turner, N.C.; Jeuffroy, M.-H.; Hashem, A.; Sakar, D.; Gan, Y.; Alghamdi, S.S. Innovations in agronomy for food legumes. A review. Agron. Sustain. Dev. 2012, 32, 45–64. [Google Scholar] [CrossRef] [Green Version]
- Ren, X.; Jia, Z.; Chen, X. Rainfall concentration for increasing corn production under semiarid climate. Agric. Water Manag. 2008, 95, 1293–1302. [Google Scholar] [CrossRef]
- Wang, Q.; Zhang, D.; Zhou, X.; Mak-Mensah, E.; Zhao, X.; Zhao, W.; Wang, X.; Stellmach, D.; Liu, Q.; Li, X. Optimum planting configuration for alfalfa production with ridge-furrow rainwater harvesting in a semiarid region of China. Agric. Water Manag. 2022, 266, 107594. [Google Scholar] [CrossRef]
- Turner, N.C. Agronomic options for improving rainfall-use efficiency of crops in dryland farming systems. J. Exp. Bot. 2004, 55, 2413–2425. [Google Scholar] [CrossRef] [Green Version]
- Farooq, N.; Sarwar, G.; Abbas, T.; Bessely, L.; Nadeem, M.A.; Javaid, M.M.; Matloob, A.; Naseem, M.; Ikram, N.A. Effect of drying-rewetting durations in combination with synthetic fertilizers and crop residues on soil fertility and maize production. Pak. J. Bot. 2020, 52, 2051–2058. [Google Scholar] [CrossRef]
- Niu, J.Y.; Gan, Y.T.; Huang, G.B. dynamics of root growth in spring wheat mulched with plastic film. Crop Sci. 2004, 44, 1682–1688. [Google Scholar] [CrossRef]
- Kong, M.; Jia, Y.; Gu, Y.-J.; Han, C.-L.; Song, X.; Shi, X.-Y.; Siddique, K.H.; Zdruli, P.; Zhang, F.; Li, F.-M. How Film Mulch Increases the Corn Yield by Improving the Soil Moisture and Temperature in the Early Growing Period in a Cool, Semi-Arid Area. Agronomy 2020, 10, 1195. [Google Scholar] [CrossRef]
- Shahzad, T.; Ashraf, M.; Javaid, M.M.; Waheed, H.; Abbas, T.; Sattar, F. influence of field soil drought stress on some key physiological, yield and quality traits of selected newly-developed hexaploid bread wheat (Triticum aestivum L.) cultivars. Sains Malays. 2018, 47, 2625–2635. [Google Scholar] [CrossRef]
- Zheng, J.; Fan, J.; Zhou, M.; Zhang, F.; Liao, Z.; Lai, Z.; Yan, S.; Guo, J.; Li, Z.; Xiang, Y. Ridge-furrow plastic film mulching enhances grain yield and yield stability of rainfed maize by improving resources capture and use efficiency in a semi-humid drought-prone region. Agric. Water Manag. 2022, 269, 107654. [Google Scholar] [CrossRef]
- Abid, A.; Hussain, M.; Habib, H.S.; Kiani, T.T.; Anees, M.A.; Rahman, M.A. Foliar spray surpasses soil application of potassium for maize production under rainfed conditions. Turk. J. Field Crops 2016, 21, 36–43. [Google Scholar]
- Steel, R.; Torrie, J.; Dicky, D. Principles and Procedures of Statistics. Multiple Comparisons, 3rd ed.; McGraw Hill: New York, NY, USA, 1997; pp. 178–198. [Google Scholar]
- Deng, H.L.; Xiong, Y.C.; Zhang, H.J.; Li, F.Q.; Zhou, H.; Wang, Y.C.; Deng, Z.R. Maize productivity and soil properties in the Loess Plateau in response to ridge-furrow cultivation with polyethylene and straw mulch. Sci. Rep. 2019, 9, 1–13. [Google Scholar]
- Mwale, S.; Azam-Ali, S.; Massawe, F. Growth and development of bambara groundnut (Vigna subterranea) in response to soil moisture: Dry matter and yield. Eur. J. Agron. 2007, 26, 345–353. [Google Scholar] [CrossRef]
- Zhou, L.M.; Li, F.M.; Jin, S.L.; Song, Y. How two ridges and the furrow mulched with plastic film affect soil water, soil temperature and yield of maize on the semiarid Loess Plateau of China. Field Crops Res. 2009, 113, 41–47. [Google Scholar] [CrossRef]
- Li, X.Y.; Gong, J.D.; Gao, Q.Z.; Li, F.R. Incorporation of ridge and furrow method of rainfall harvesting with mulching for crop production under semiarid conditions. Agric. Water Manag. 2001, 50, 173–183. [Google Scholar] [CrossRef]
- Szota, C.; McCarthy, M.; Sanders, G.; Farrell, C.; Fletcher, T.; Arndt, S.; Livesley, S. Tree water-use strategies to improve stormwater retention performance of biofiltration systems. Water Res. 2018, 144, 285–295. [Google Scholar] [CrossRef] [PubMed]
- Ma, S.; Wang, Q.; Luo, X. Effect of climate change on maize (Zea mays) growth and yield based on stage sowing. Acta Ecol. Sin. 2008, 28, 2131–2139. [Google Scholar]
- Lu, H.; Xia, Z.; Fu, Y.; Wang, Q.; Xue, J.; Chu, J. Response of soil temperature, moisture, and spring maize (Zea mays L.) root/shoot growth to different mulching materials in semi-arid areas of northwest China. Agronomy 2020, 10, 453. [Google Scholar] [CrossRef] [Green Version]
- Wang, Y.; Xie, Z.; Malhi, S.S.; Vera, C.L.; Zhang, Y.; Wang, J. Effects of rainfall harvesting and mulching technologies on water use efficiency and crop yield in the semi-arid Loess Plateau, China. Agric. Water Manag. 2009, 96, 374–382. [Google Scholar] [CrossRef]
- Zhu, P.; Zhuang, Q.; Archontoulis, S.V.; Bernacchi, C.; Müller, C. Dissecting the nonlinear response of maize yield to high temperature stress with model-data integration. Glob. Change Biol. 2019, 25, 2470–2484. [Google Scholar] [CrossRef]
- Wijewardana, C.; Henry, W.B.; Hock, M.W.; Reddy, K.R. Growth and physiological trait variation among corn hybrids for cold tolerance. Canad. J. Plant Sci. 2016, 96, 639–656. [Google Scholar] [CrossRef] [Green Version]
- Javaid, M.M.; Wang, X.; Florentine, S.K.; Ashraf, M.; Mahmood, A.; Li, F.-M.; Fiaz, S. Effects on photosynthetic response and biomass productivity of Acacia longifolia subspecies longifolia under elevated CO2 and water-limited regimes. Front. Plant Sci. 2022, 13, 817730. [Google Scholar] [CrossRef]
- Jia, Y.; Li, F.-M.; Wang, X.-L.; Yang, S.-M. Soil water and alfalfa yields as affected by alternating ridges and furrows in rainfall harvest in a semiarid environment. Field Crops Res. 2006, 97, 167–175. [Google Scholar] [CrossRef]
- Gu, C.; Liu, Y.; Mohamed, I.; Zhang, R.; Wang, X.; Nie, X.; Jiang, M.; Brooks, M.; Chen, F.; Li, Z. Dynamic changes of soil surface organic carbon under different mulching practices in citrus orchards on sloping land. PLoS ONE 2016, 11, e0168384. [Google Scholar] [CrossRef] [Green Version]








| Treatments | Days Taken to Emergence | Plant Height (cm) | 1000-Grain Weight (g) | |||
|---|---|---|---|---|---|---|
| 2017 | 2018 | 2017 | 2018 | 2017 | 2018 | |
| WM | 6.7 a | 6.5 a | 169.2 d | 171.5 b | 237.5 c | 243.2 c |
| BM | 4.2 b | 4.2 b | 186.5 a | 188.2 a | 276.5 a | 285.5 a |
| TM | 4.7 b | 4.5 b | 181.2 b | 187.0 a | 260.0 b | 278.0 ab |
| GM | 5.2 b | 5.0 b | 174.2 c | 177.0 b | 252.0 b | 260 bc |
| HSD (0.05) | 1.16 | 1.38 | 4.51 | 5.53 | 10.47 | 19.27 |
| Treatments | Grain Yield (t ha−1) | Biological Yield (t ha−1) | Harvest Index (%) | |||
|---|---|---|---|---|---|---|
| 2017 | 2018 | 2017 | 2018 | 2017 | 2018 | |
| WM | 3.73 c | 3.65 c | 8.55 c | 8.66 c | 43.7 b | 42.1 b |
| BM | 4.94 a | 4.92 a | 10.27 a | 10.42 a | 48.0 a | 47.2 a |
| TM | 4.71 a | 4.76 a | 9.83 ab | 10.21 a | 47.9 a | 46.6 a |
| GM | 4.11 b | 4.08 b | 9.46 b | 9.37 b | 46.4 b | 43.5 b |
| HSD (0.05) | 0.36 | 0.36 | 0.58 | 0.53 | 3.13 | 2.69 |
| Parameter | Mean Sum of Square | F-Value | p-Value (0.05) | |||
|---|---|---|---|---|---|---|
| 2017 | 2018 | 2017 | 2018 | 2017 | 2018 | |
| Leaf area index at 30 DAS | 0.17 | 0.17 | 8.67 | 5.67 | 0.003 | 0.012 |
| Leaf area index at 60 DAS | 0.77 | 0.75 | 23.2 | 24.9 | <0.001 | <0.001 |
| Leaf area index at 90 DAS | 1.00 | 0.84 | 37.1 | 19.3 | <0.001 | <0.001 |
| Leaf area index at 120 DAS | 0.65 | 1.31 | 21.7 | 39.2 | <0.001 | <0.001 |
| Crop growth rate (gm−2 day−1) at 30 DAS | 2.92 | 2.91 | 44.9 | 54.7 | <0.001 | <0.001 |
| Crop growth rate (gm−2 day−1) at 60 DAS | 10.54 | 12.82 | 148.00 | 46.8 | <0.001 | <0.001 |
| Crop growth rate (gm−2 day−1) at 90 DAS | 62.34 | 52.68 | 156.00 | 152.00 | <0.001 | <0.001 |
| Crop growth rate (gm−2 day−1) at 120 DAS | 12.30 | 7.42 | 46.70 | 47.10 | <0.001 | <0.001 |
| Soil water storage at 30 DAS | 599.72 | 2222.56 | 3.03 | 11.6 | 0.071 | 0.007 |
| Soil water storage at 60 DAS | 575.83 | 3043.23 | 2.51 | 32.2 | 0.108 | <0.001 |
| Soil water storage at 90 DAS | 3749.06 | 650.72 | 32.6 | 7.97 | <0.001 | 0.003 |
| Soil water storage at 120 DAS | 3479.50 | 2562.75 | 12.4 | 40.5 | 0.006 | <0.001 |
| Net photosynthesis rate (µmol m−2 s−1) | 11.21 | 17.69 | 13.1 | 23.7 | <0.001 | <0.001 |
| Transpiration rate (mmol m−2 s−1) | 2.19 | 3.77 | 22.4 | 27.2 | <0.001 | <0.001 |
| Leaf stomatal conductance (mmol m−2 s−1) | 23,631.9 | 3.77 | 18.2 | 27.2 | <0.001 | <0.001 |
| Particulars | WM | BM | TM | GM |
|---|---|---|---|---|
| Fertilizer cost | 258 | 258 | 258 | 258 |
| Seed cost | 97 | 97 | 97 | 97 |
| Mulching material cost | - | 109 | 109 | 58 |
| Common cost a | 238 | 238 | 238 | 238 |
| Total cost | 593 | 702 | 702 | 651 |
| Grain yield (t ha−1) | 3.69 | 4.93 | 4.73 | 4.09 |
| Grain yield revenue (USD) | 1069 | 1429 | 1371 | 1185 |
| Fodder yield (t ha−1) | 8.60 | 10.34 | 10.02 | 9.41 |
| Fodder yield revenue (USD) | 415 | 499 | 484 | 454 |
| Gross income (USD) | 1484 | 1928 | 1855 | 1639 |
| Net benefit (USD) | 891 | 1226 | 1153 | 988 |
| Benefit-cost ratio | 1.50 | 1.74 | 1.64 | 1.51 |
| Net income differences (USD) | 00 | 335 | 262 | 97 |
Publisher’s Note: MDPI stays neutral with regard to jurisdictional claims in published maps and institutional affiliations. |
© 2022 by the authors. Licensee MDPI, Basel, Switzerland. This article is an open access article distributed under the terms and conditions of the Creative Commons Attribution (CC BY) license (https://creativecommons.org/licenses/by/4.0/).
Share and Cite
Javaid, M.M.; AlGwaiz, H.I.M.; Waheed, H.; Ashraf, M.; Mahmood, A.; Li, F.-M.; Attia, K.A.; Nadeem, M.A.; AlKahtani, M.D.F.; Fiaz, S.; et al. Ridge-Furrow Mulching Enhances Capture and Utilization of Rainfall for Improved Maize Production under Rain-Fed Conditions. Agronomy 2022, 12, 1187. https://doi.org/10.3390/agronomy12051187
Javaid MM, AlGwaiz HIM, Waheed H, Ashraf M, Mahmood A, Li F-M, Attia KA, Nadeem MA, AlKahtani MDF, Fiaz S, et al. Ridge-Furrow Mulching Enhances Capture and Utilization of Rainfall for Improved Maize Production under Rain-Fed Conditions. Agronomy. 2022; 12(5):1187. https://doi.org/10.3390/agronomy12051187
Chicago/Turabian StyleJavaid, Muhammad Mansoor, Hussah I. M. AlGwaiz, Hasnain Waheed, Muhammad Ashraf, Athar Mahmood, Feng-Min Li, Kotb A. Attia, Muhammad Ather Nadeem, Muneera D. F. AlKahtani, Sajid Fiaz, and et al. 2022. "Ridge-Furrow Mulching Enhances Capture and Utilization of Rainfall for Improved Maize Production under Rain-Fed Conditions" Agronomy 12, no. 5: 1187. https://doi.org/10.3390/agronomy12051187
APA StyleJavaid, M. M., AlGwaiz, H. I. M., Waheed, H., Ashraf, M., Mahmood, A., Li, F.-M., Attia, K. A., Nadeem, M. A., AlKahtani, M. D. F., Fiaz, S., Nadeem, M., & Ahmad, H. B. (2022). Ridge-Furrow Mulching Enhances Capture and Utilization of Rainfall for Improved Maize Production under Rain-Fed Conditions. Agronomy, 12(5), 1187. https://doi.org/10.3390/agronomy12051187

