Tillage, Water and Nitrogen Management Strategies Influence the Water Footprint, Nutrient Use Efficiency, Productivity and Profitability of Rice in Typic Ustochrept Soil
Abstract
:1. Introduction
2. Materials and Methods
2.1. Investigational Location
2.2. Experimental Invent and Organization
2.3. Weed Management
2.4. Water Footprints
Rice Water Footprints
2.5. Nutrient Use Efficiency
2.6. Statistical Investigation
3. Results and Discussion
3.1. Soil Moisture Studies
3.2. Footprints and Productivity of Irrigation Water
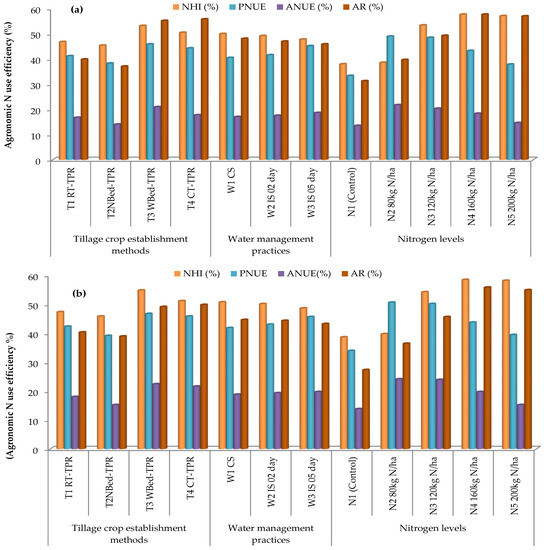
3.3. Nitrogen Use Efficiency
3.4. Yield Contributing Characteristics and Yield
3.5. Profitability
4. Conclusions
Author Contributions
Funding
Institutional Review Board Statement
Informed Consent Statement
Data Availability Statement
Acknowledgments
Conflicts of Interest
References
- IRRI. Rice Facts. Available online: http://www.sustainablerice.org/Resources/ (accessed on 1 January 2022).
- Food and Agriculture Organization of the United Nations (FAO). Energy-Smart for People and Climate; Issue Paper; FAO: Rome, Italy, 2011. [Google Scholar]
- Hoff, H. Understanding the Nexus. In Proceedings of the Bonn 2011 Conference: The Water, Energy and Food Security Nexus, Stockholm, Sweden, 16–18 November 2011; Stockholm Environment Institute (SEI): Stockholm, Sweden, 2011. [Google Scholar]
- Silalertruksa, T.; Gheewala, S.H.; Mungkung, R.; Nilsalab, P.; Lecksiwilai, N.; Sawaengsak, W. Implications of Water Use and Water Scarcity Footprint for Sustainable Rice Cultivation. Sustainability 2017, 9, 2283. [Google Scholar] [CrossRef] [Green Version]
- Hoekstra, A.Y.; Chapagain, A.K. Water footprints of nations: Water use by people as a function of their consumption pattern. Water Resour. Manag. 2007, 21, 35–48. [Google Scholar] [CrossRef]
- Johannes, H.P.; Priadi, C.R.; Herdiansyah, H.; Novalia, I. Water footprint saving through organic rice commodity. AIP Conf. Proc. 2020, 2255, 040002. [Google Scholar] [CrossRef]
- Mekonnen, M.M.; Hoekstra, A.Y. Water footprint benchmarks for crop production: A first global assessment. Ecol. Indic. 2014, 46, 214–223. [Google Scholar] [CrossRef] [Green Version]
- Pfister, S.; Bayer, P. Monthly water stress: Spatially and temporally explicit consumptive water footprint of global crop production. J. Clean. Prod. 2014, 73, 52–62. [Google Scholar] [CrossRef]
- Lovarelli, D.; Bacenetti, J.; Fiala, M. Water Footprint of crop productions: A review. Sci. Total Environ. 2016, 548–549, 236–251. [Google Scholar] [CrossRef]
- Chukalla, A.D.; Krol, M.S.; Hoekstra, A.Y. Green and blue water footprint reduction in irrigated agriculture: Effect of irrigation techniques, irrigation strategies and mulching. Hydrol. Earth Syst. Sci. 2015, 19, 4877–4891. [Google Scholar] [CrossRef] [Green Version]
- Naresh, R.K.; Timsina, J.; Dwivedi, A.; Kumar, V.; Singh, V.; Shukla, A.K.; Singh, S.P.; Gupta, R.K. Water footprint of rice from both production and consumption perspective assessment using remote sensing under subtropical India: A review. Int. Chem. Stud. 2017, 5, 343–350. [Google Scholar]
- Chapagain, A.K.; Hoekstra, A.Y. The blue, green and grey water footprint of rice from production and consumption perspectives. Ecol. Econ. 2011, 70, 749–758. [Google Scholar] [CrossRef]
- Cai, X.L.; Sharma, B.R. Integrating remote sensing, census and weather data for an assessment of rice yield, water consumption and water productivity in the Indo-Gangetic river basin. Agric. Water Manag. 2010, 97, 309–316. [Google Scholar] [CrossRef]
- Jat, M.L.; Gathala, M.K.; Ladha, J.K.; Saharawat, Y.S.; Jat, A.S.; Kumar, V.; Sharma, S.K.; Kumar, V.; Gupta, R. Evaluation of precision land levelling and double zero-till systems in the rice–Wheat rotation: Water use, productivity, proftability and soil physical properties. Soil Tillage Res. 2009, 105, 112–121. [Google Scholar] [CrossRef]
- Naresh, R.K.; Singh, S.P.; Singh, A.; Khilari, K.; Shahi, U.P.; Rathore, R.S. Evaluation of precision land leveling and permanent raised bed planting in maize–wheat rotation: Productivity, profitability, input use efficiency and soil physical properties. Indian J. Agric. Sci. 2012, 105, 112–121. [Google Scholar]
- Keys, W.P.; Barnes, E.A.; van der Ent, R.J.; Gordon, L.J. Variability of Moisture Recycling Using a Precipitation Shed Framework; Copernicus Publications on behalf of the European Geosciences Union: Göttingen, Germany, 2012. [Google Scholar]
- Zang, C.F.; Liu, J.; vander Velde, M.; Kraxner, F. Assessment of spatial and temporal patterns of green and blue water flows under natural conditions in inland river basins in North West China. Hydrol. Earth Syst. Sci. 2012, 16, 2859–2870. [Google Scholar] [CrossRef] [Green Version]
- Lal, R.; Stewart, B.A. (Eds.) Principles of Sustainable Soil Management in Agro-Ecosystems; CRC Press: Boca Raton, FL, USA, 2013; Volume 20. [Google Scholar]
- Naresh, R.K.; Gupta, R.K.; Gajendra, P.; Dhaliwal, S.S.; Kumar, D.; Kumar, V. Tillage Crop Establishment Strategies and Soil Fertility Management: Resource Use Efficiencies and Soil Carbon Sequestration in a Rice-Wheat Cropping System. Ecol. Environ. Conserv. 2015, 21, 127–134. [Google Scholar]
- Naresh, R.K.; Gupta, R.K.; Rathore, R.S.; Singh, S.P.; Dwivedi, A.; Singh, V. Effects of tillage and residue management on soil aggregation, soil carbon sequestration and yield in rice–wheat cropping system. J. Pure Appl. Microbiol. 2016, 10, 1987–2003. [Google Scholar]
- Cook, R.L.; Trlica, A. Tillage and Fertilizer Effects on Crop Yield and Soil Properties over 45 Years in Southern Illinois. Agron. J. 2016, 108, 415–426. [Google Scholar] [CrossRef] [Green Version]
- Huang, S.; Zhao, C.; Zhang, Y.; Wang, C. Nitrogen Use Efficiency in Rice, Nitrogen in Agriculture-Updates, Amanullah and Shah Fahad; IntechOpen: London, UK, 2017. [Google Scholar] [CrossRef] [Green Version]
- Lee, S. Recent Advances on Nitrogen Use Efficiency in Rice. Agronomy 2021, 11, 753. [Google Scholar] [CrossRef]
- Li, P.; Lu, J.; Wang, Y.; Wang, S.; Hussain, S.; Ren, T.; Cong, R.; Li, X. Nitrogen losses, use efficiency, and productivity of early rice under controlled-release urea. Agric. Ecosyst. Environ. 2018, 251, 78–87. [Google Scholar] [CrossRef]
- Guo, J.; Hu, X.; Gao, L.; Xie, K.; Ling, N.; Shen, Q.; Hu, S.; Guo, S. The rice production practices of high yield and high nitrogen use efficiency in Jiangsu, China. Sci. Rep. 2017, 7, 2101. [Google Scholar] [CrossRef]
- Kar, G.; Kumar, A.; Sahoo, N.; Mohapatra, S. Radiation utilization efficiency, latent heat flux and crop growth simulation in irrigated rice during post-flood period in east coast of India. Paddy Water Environ. 2013, 12, 285–297. [Google Scholar] [CrossRef]
- Derpsch, R.; Franzluebbers, A.J.; Duiker, S.W.; Reicosk, D.C.; Koeller, K.; Friedrich, T.; Sturny, W.G.; Sá, J.C.M.; Weiss, K. Why do we need to standardize no-tillage research? Soil Tillage Res. 2014, 137, 16–22. [Google Scholar] [CrossRef]
- Hoekstra, A.Y.; Chapagain, A.K. Globalization of Water: Sharing the Planet’s Freshwater Resources; Blackwell Publishing: Oxford, UK, 2008. [Google Scholar]
- Albrizio, R.; Todorovic, M.; Matic, T.; Stellacci, A.M. Comparing the interactive effects of water and nitrogen on durum wheat and barley grown in a Mediterranean environment. Field Crops Res. 2010, 115, 179–190. [Google Scholar] [CrossRef]
- Fageria, N.K.; Baligar, V.C. Enhancing nitrogen use efficiency in crop plants. Adv. Agron. 2005, 88, 97–185. [Google Scholar]
- Craswell, E.T.; Godwin, D.C. The efficiency of nitrogen fertilizers applied to cereals in different climates. Adv. Plant Nutr. 1984, 1, 1–55. [Google Scholar]
- Sandhu, S.S.; Mahal, S.S.; Vashist, K.K.; Buttar, G.S.; Brar, A.S.; Singh, M. Crop and water productivity of bed transplanted rice as influenced by various levels of nitrogen and irrigation in northwest India. Agric. Water Manag. 2012, 104, 32–39. [Google Scholar] [CrossRef]
- Ingle, A.V.; Shelke, D.K.; Aghav, V.D.; Karad, M.L. Effect of irrigation schedules and nutrient management on WUE and nutrient uptake of wheat on vertisol. J. Soils Crops 2007, 17, 188–190. [Google Scholar]
- Yadav, S.; Humphreys, E.; Kukal, S.S.; Gill, G.; Rangarajan, R. Effect of water management on dry seeded and puddled transplanted rice part 2: Water balance and water productivity. Field Crops Res. 2011, 120, 123–132. [Google Scholar] [CrossRef]
- Nalley, L.L.; Linquist, B.; Kovacs, K.F.; Anders, M.M. The economic viability of alternate wetting and drying irrigation in Arkansas rice production. Agron. J. 2015, 107, 579–587. [Google Scholar] [CrossRef] [Green Version]
- Pastor, A.V.; Ludwig, F.; Biemans, H.; Hoff, H.; Kabat, P. Accounting for environmental flow requirements in global water assessments. Hydrol. Earth Syst. Sci. Discuss. 2013, 10, 14987–15032. [Google Scholar] [CrossRef] [Green Version]
- Karimi, P.; Bastiaanssen, W.G.M.; Molden, D.; Cheema, M.J.M. Basin-wide water accounting based on remote sensing data: An application for the Indus Basin. Hydrol. Earth Syst. Sci. 2013, 17, 2473–2486. [Google Scholar] [CrossRef] [Green Version]
- Kiptala, J.K.; Mul, M.L.; Mohamed, Y.A.; van der Zaag, P. Modelling stream flow and quantifying blue water using a modified STREAM model for a heterogeneous, highly utilized and data-scarce river basin in Africa. Hydrol. Earth Syst. Sci. 2014, 18, 2287–2303. [Google Scholar] [CrossRef] [Green Version]
- Naresh, R.K.; Arup, G.; Vivak, K.; Gupta, R.K.; Singh, S.P.; Purushottam; Vineet, K.; Vikrant, K.; Mahajan, N.C.; Arun, K.; et al. Tillage Crop Establishment and Organic Inputs with Kappaphycus-Sap Effect on Soil Organic Carbon Fractions and Water Footprints. Int. J. Curr. Res. Acad. Rev. 2017, 5, 57–69. [Google Scholar]
- Mahajan, G.; Bharaj, T.S.; Timsina, J. Yield and water productivity of rice as affected by time of transplanting in Punjab, India. Agric. Water Manag. 2009, 96, 525–532. [Google Scholar] [CrossRef]
- Jat, R.K.; Sapkota, T.B.; Singh, R.G.; Jat, M.L.; Kumar, M.; Gupta, R.K. Seven years of conservation agriculture in a rice–wheat rotation of Eastern Gangetic Plains of South Asia: Yield trends and economic profitability. Field Crops Res. 2014, 164, 199–210. [Google Scholar] [CrossRef]
- Naresh, R.K.; Tomar, S.S.; Samsher, P.; Singh, S.P.; Kumar, D.; Dwivedi, A.; Kumar, V. Experiences with rice grown on permanent raised beds: Effect of water regime and planting techniques on rice yield, water use, soil properties and water productivity. Rice Sci. 2014, 21, 170–180. [Google Scholar] [CrossRef]
- Carrijo, D.R.; Lundy, M.E.; Linquist, B.A. Rice yields and water use under alternate wetting and drying irrigation: A meta-analysis. Field Crops Res. 2017, 203, 173–180. [Google Scholar] [CrossRef]
- Singh, G.; Walia, S.S. Influence of FYM, brown manuring and levels of nitrogen on yield and soil properties of direct seeded and transplanted rice. Geobios 2010, 37, 210–216. [Google Scholar]
- Kumar, S.; Sundaram, S.S.; Shivani, P.K.; Bhatt, B.P. Agronomic Management and Production Technique of Unpuddled Mechanical Transplanted Rice; Technical bulletin no. R-37/Pat-24; ICAR-RCER: Patna, India, 2015. [Google Scholar]
- Mylavarapu, K.R.S.; Li, Y.C.; Reddy, G.B.; Reddy, M.D. Impact of aerobic rice cultivation on growth, yield, and water productivity of rice–maize rotation in semiarid tropics. Agron. J. 2012, 104, 1757–1765. [Google Scholar] [CrossRef] [Green Version]
- Naresh, R.K.; Bhatt, R.; Chandra, M.S.; Laing, A.M.; Gaber, A.; Sayed, S.; Hossain, A. Soil organic carbon and system environmental footprint in sugarcane-based cropping systems are improved by precision land leveling. Agronomy 2021, 11, 1964. [Google Scholar] [CrossRef]
- Naresh, R.K.; Rathore, R.S.; Dhaliwal, S.S.; Yadav, R.B.; Kumar, D.; Singh, S.P.; Nawaz, A.; Kumar, N.; Gupta, R.K. Crop Establishment Methods: Foliar and Basal Nourishment of rice (Oryza sativa) Cultivation Affecting Growth Parameters, Water Saving, Productivity and Soil Physical Properties. Paddy Water Environ. 2015, 14, 373–386. [Google Scholar] [CrossRef]








| Treatments | BWFP (m3 t−1) | GWFP (m3 t−1) | Gr WFP (m3 t−1) | TWFP (m3 t−1) | PERC_V (m3 t−1) | TWU_V (m3 t−1) | WPIRRI (kg m−3) | WPTCW (kg m−3) | WPETC (kg m−3) |
|---|---|---|---|---|---|---|---|---|---|
| Tillage crop establishment methods | |||||||||
| T1 (RT-TPR) | 1627 | 108.8 | 2.2 | 1738.0 | 1288 | 2919.2 | 0.68 | 0.42 | 0.37 |
| T2 (NBed-TPR) | 1554 | 105.3 | 0.7 | 1659.6 | 1325 | 2646.5 | 0.65 | 0.40 | 0.39 |
| T3 (WBED-TPR) | 1588 | 107.2 | 1.8 | 1697.0 | 1303 | 2804.5 | 0.70 | 0.43 | 0.44 |
| T4 (CT-TPR) | 1782 | 109.7 | 2.7 | 1894.4 | 1265 | 3080.8 | 0.66 | 0.38 | 0.42 |
| LSD (p ≤ 0.05) | 78.70 | 1.38 | 0.03 | 24.52 | 17.56 | 37.88 | 0.08 | 0.04 | 0.04 |
| Water management practices | |||||||||
| W1 (CS) | 1674 | 109.1 | 2.2 | 1785.2 | 1315 | 3135.3 | 0.61 | 0.39 | 0.36 |
| W2 (IS 02 day) | 1638 | 107.5 | 1.9 | 1747.3 | 1296 | 2846.5 | 0.63 | 0.39 | 0.43 |
| W3 (IS 05 day) | 1601 | 106.8 | 1.6 | 1709.3 | 1274 | 2606.5 | 0.64 | 0.42 | 0.44 |
| LSD (p ≤ 0.05) | 63.67 | 1.81 | 0.03 | 29.88 | 22.54 | 51.08 | 0.08 | 0.07 | 0.07 |
| Nitrogen levels | |||||||||
| N1 (Control) | 1709 | 106.4 | 2.1 | 1817.0 | 1366 | 3006.3 | 0.46 | 0.54 | 0.32 |
| N2 (80 kg N ha−1) | 1667 | 107.2 | 2.0 | 1776.3 | 1355 | 2984.7 | 0.49 | 0.41 | 0.38 |
| N3 (120 kg N ha−1) | 1659 | 107.8 | 1.9 | 1768.3 | 1342 | 2958.2 | 0.53 | 0.39 | 0.52 |
| N4 (160 kg N ha−1) | 1633 | 108.4 | 1.8 | 1743.6 | 1223 | 2717.1 | 0.56 | 0.35 | 0.64 |
| N5 (200 kg N ha−1) | 1521 | 109.2 | 1.7 | 1631.5 | 1189 | 2647.5 | 0.55 | 0.34 | 0.63 |
| LSD (p ≤ 0.05) | NS | NS | 0.06 | 52.75 | 38.71 | 86.12 | 0.07 | 0.08 | 0.13 |
| Treatments | BWFP (m3 t−1) | GWFP (m3 t−1) | Gr WFP (m3 t−1) | TWFP (m3 t−1) | PERC_V (m3 t−1) | TWU_V (m3 t−1) | WPIRRI (kg m−3) | WPTCW (kg m−3) | WPETC (kg m−3) |
|---|---|---|---|---|---|---|---|---|---|
| Tillage crop establishment methods | |||||||||
| T1 (RT-TPR) | 1718 | 113.9 | 2.4 | 1834.0 | 1370 | 2946.5 | 0.69 | 0.41 | 0.41 |
| T2 (NBed-TPR) | 1548 | 109.5 | 1.9 | 1659.6 | 1397 | 2683.5 | 0.67 | 0.39 | 0.42 |
| T3 (WBED-TPR) | 1624 | 111.8 | 2.3 | 1738.0 | 1356 | 2837.1 | 0.72 | 0.42 | 0.44 |
| T4 (CT-TPR) | 1781 | 115.5 | 2.9 | 1899.6 | 1330 | 3094.9 | 0.68 | 0.38 | 0.42 |
| LSD (p ≤ 0.05) | 17.16 | 1.41 | 0.03 | 22.84 | 18.16 | 38.90 | 0.05 | 0.04 | 0.06 |
| Water management practices | |||||||||
| W1 (CS) | 1706 | 114.1 | 2.1 | 1821.9 | 1386 | 3048.3 | 0.40 | 0.39 | 0.42 |
| W2 (IS 02 day) | 1667 | 112.8 | 2.3 | 1782.3 | 1364 | 2877.6 | 0.42 | 0.39 | 0.45 |
| W3 (IS 05 day) | 1631 | 111.2 | 2.6 | 1744.3 | 1340 | 2745.7 | 0.43 | 0.42 | 0.46 |
| LSD (p ≤ 0.05) | 23.73 | 1.90 | 0.05 | 30.70 | 23.75 | 51.4 | NS | NS | NS |
| Nitrogen levels | |||||||||
| N1 (Control) | 1713 | 111.3 | 2.4 | 1825.2 | 1434 | 3040.4 | 0.41 | 0.53 | 0.32 |
| N2 (80 kg N ha−1) | 1695 | 112.1 | 2.3 | 1807.2 | 1423 | 3017.2 | 0.42 | 0.41 | 0.33 |
| N3 (120 kg N ha−1) | 1660 | 112.7 | 2.2 | 1774.0 | 1410 | 2989.6 | 0.54 | 0.38 | 0.34 |
| N4 (160 kg N ha−1) | 1652 | 113.3 | 2.1 | 1766.0 | 1292 | 2738.8 | 0.58 | 0.35 | 0.38 |
| N5 (200 kg N ha−1) | 1626 | 114.1 | 2.5 | 1741.3 | 1258 | 2666.7 | 0.57 | 0.36 | 0.35 |
| LSD (p ≤ 0.05) | 41.25 | NS | 0.07 | 53.43 | 40.76 | 86.74 | 0.08 | 0.07 | 0.08 |
Publisher’s Note: MDPI stays neutral with regard to jurisdictional claims in published maps and institutional affiliations. |
© 2022 by the authors. Licensee MDPI, Basel, Switzerland. This article is an open access article distributed under the terms and conditions of the Creative Commons Attribution (CC BY) license (https://creativecommons.org/licenses/by/4.0/).
Share and Cite
Tyagi, S.; Naresh, R.K.; Bhatt, R.; Chandra, M.S.; Alrajhi, A.A.; Dewidar, A.Z.; Mattar, M.A. Tillage, Water and Nitrogen Management Strategies Influence the Water Footprint, Nutrient Use Efficiency, Productivity and Profitability of Rice in Typic Ustochrept Soil. Agronomy 2022, 12, 1186. https://doi.org/10.3390/agronomy12051186
Tyagi S, Naresh RK, Bhatt R, Chandra MS, Alrajhi AA, Dewidar AZ, Mattar MA. Tillage, Water and Nitrogen Management Strategies Influence the Water Footprint, Nutrient Use Efficiency, Productivity and Profitability of Rice in Typic Ustochrept Soil. Agronomy. 2022; 12(5):1186. https://doi.org/10.3390/agronomy12051186
Chicago/Turabian StyleTyagi, Saurabh, Rama Krishna Naresh, Rajan Bhatt, Mandapelli Sharath Chandra, Abdullah A. Alrajhi, Ahmed Z. Dewidar, and Mohamed A. Mattar. 2022. "Tillage, Water and Nitrogen Management Strategies Influence the Water Footprint, Nutrient Use Efficiency, Productivity and Profitability of Rice in Typic Ustochrept Soil" Agronomy 12, no. 5: 1186. https://doi.org/10.3390/agronomy12051186
APA StyleTyagi, S., Naresh, R. K., Bhatt, R., Chandra, M. S., Alrajhi, A. A., Dewidar, A. Z., & Mattar, M. A. (2022). Tillage, Water and Nitrogen Management Strategies Influence the Water Footprint, Nutrient Use Efficiency, Productivity and Profitability of Rice in Typic Ustochrept Soil. Agronomy, 12(5), 1186. https://doi.org/10.3390/agronomy12051186

