Abstract
This is the first field study in which we have tested the efficacy of four different entomopathogenic fungal (EPF) formulations together in single study—i.e., Green Muscle, Green Guard, Metarhizium anisopliae, and an isolate of Beauveria bassiana (isolate WG-11)—against nymphs and adults of the desert locust, Schistocerca gregaria Forskål (Orthoptera: Acrididae). We conducted several different studies: (a) lethal bioassay against the 3rd, 5th, and adult stages under laboratory conditions; (b) sublethal effects on the reproduction, diet consumption, fecal production, and weight gain; (c) a greenhouse trial; and (d) a field cage trial. Under laboratory conditions, all EPF formulations caused significant mortality, and the highest efficacy was observed with Green Muscle, followed by Green Guard, B. bassiana, and M. anisopliae. Susceptibility was found to be greatest in 3rd-instar nymphs, followed by 5th instars, and then adults. Along with lethal effects, sublethal doses of EPF reduced the number of egg pods per female, total eggs per pod, and egg hatching, while extending nymphal developmental time and reducing adult longevity; again, Green Muscle performed better. Sublethal doses not only retarded reproduction, but also caused behavioral changes, including reductions in food consumption, fecal production, and weight gain. All EPF formulations not only produced significant mortality in laboratory conditions, but also performed very well under the greenhouse and field conditions. The maximum mortality against 3rd-instar (81.7% and 74.0%), 5th-instar (73.3% and 65.1%), and adult locusts (67.5% and 58.9%) was observed when using Green Muscle under greenhouse and field trials, respectively. The current study showed that all of the EPF formulations have the potential to reduce pest populations, and could be used in the integrated pest management program.
1. Introduction
Locust plagues are considered a major constraint in sustainable agriculture production [1,2,3]. The desert locust, Schistocerca gregaria Forskål (Orthoptera: Acrididae), has produced extensive losses of different food crops in Africa and Asia [4,5,6], especially during locust upsurges. In 2019, S. gregaria entered the province of Baluchistan in Pakistan from Iran, and then spread to different parts of Sindh, and finally to all four provinces. It was estimated that Pakistan faced a loss of PKR 353 billion and 464 billion if 25% damage occurred to Rabi (sown in winter) and Kharif crops (sown in spring), respectively (https://www.dawn.com/news/1555487; accessed on 12 April 2021). There was apprehension that, if left uncontrolled, the number of locusts would increase 500-fold by June 2020 in East Africa [7]—potentially the worst infestation in past 100 years [8]. Climate change aggravates this situation due to high temperatures and increased precipitation, which accelerate locust growth and reproduction [9]. Schistocerca gregaria has three different developmental stages: egg, nymph, and adult. Adult females lay eggs in the form of egg pods in the soil at 5–10-cm depth [10]. Egg pods are 3–4 cm long, white in color, and shaped like bananas. Egg hatching occurs in 10–14 days when it is hot, or up to 65 days when it is cool, with each egg pod consisting of 80–160 eggs [11]. Hatched eggs produce nymphs known as hoppers that have 5–6 instars, and the developmental period from the first to the last instar is 28–48 days, followed by the adult stage, which can last for several months [12,13].
Management of locust plagues depends heavily on the use of chemical insecticides [14,15]. Prior to 1980, the organochlorine insecticide dieldrin was effectively used for many years to control this plague because of its persistence. However, due to their hazardous effects on animals and the environment [4], the use of organochlorines is now banned, and locust control mainly relies on organophosphate insecticides [16] that have low persistence, making them less effective than dieldrin [17]. Between 2003 and 2005, to combat the locust outbreak, over 13 million hectares were treated using 13 million liters of chemical insecticides [18]. During the 2019–20 locust outbreak in Pakistan, the Department of Plant Protection (DPP) sprayed 150,839 L of pesticides over an area of 300,595 hectares to suppress the locust population. The effects of non-judicious, intensive, and heavy use of chemical pesticides are probably underestimated, leading to environmental problems resulting from lethal effects on the whole ecosystem [19,20].
Knowing the hazardous effects of conventional insecticides, the development of safe alternatives is essential [21,22]. The utilization of natural enemies such as insect predators and parasitoids as control methods is not likely to be effective, due to the rapid growth and highly dispersed movement of locusts [4,15]. Green technology such as biological control uses microorganisms and birds to help to reduce the locust population [9], reducing the toxic impact of pesticides on the ecosystem. Microbial biopesticides could be an effective alternative to synthetic insecticides in locust management [6,23,24]. Microbial-based control methods, including the utilization of entomopathogenic fungi (EPF), have an extra benefit in that they invade the insect host via direct contact with the insect’s integument instead of ingestion of the pathogen [23,25]. The Food and Agriculture Organization (FAO) has been working for the past 20 years in different countries on the development of biopesticides based on Metarhizium acridum (Driver and Milner) J.F. Bisch, Rehner and Humber (Hypocreales: Clavicipitaceae) to infect grasshoppers and locusts [18]. In field conditions, locusts can be exposed to M. acridum conidia in three ways: direct exposure to spray application, secondary pick-up of conidia from treated vegetation, or horizontal transmission from infected individuals during copulation and during aggregation phenomena [26]. While, there have been a number of studies on the efficacy of EPF such as M. acridum [15,26,27,28,29,30] and Beauveria bassiana (Bals.-Criv.) Vuill. (Hypocreales: Cordycipitaceae) [29,31] against S. gregaria, ours is the first to test four different formulations against S. gregaria in a single study.
In addition to lethal effects, EPF have sublethal effects that can disturb overall pest status [27,32,33]. Reduction in feeding was observed among acridid insect pests following exposure to sublethal doses of entomopathogens [32,34,35,36,37,38]. Reduced fecundity was observed in surviving adults after being exposed to sublethal doses [27,39,40]. Similar effects have also been observed in other insect pests, such as houseflies and mosquitoes [41,42,43]. This is the first study to test the effects of different EPF on the survival and longevity of different developmental stages of S. gregaria.
Many insect pests are able to thermoregulate their body temperature across different environmental conditions [44]. Acridid insects not only change their body temperature with respect to location, but also alter their body temperature (behavioral fevers) when infected with fungal conidia under field conditions. They assume basking postures or locations that elevate their body temperature above optimal temperatures for microbial growth [45,46]. Commonly, lower mortality was observed in the field conditions compared to the laboratory [47]. Consequently, greenhouse and field cage experiments were included in this study in order to determine whether locusts exposed to sunlight could thermoregulate and reduce EPF efficacy compared to the laboratory. The objective of this study was to evaluate the efficacy of two different commercial formulations of M. acridum—one of M. anisopliae, and one local strain of B. bassiana (isolate WG-11)—against 3rd- and 5th-instar nymphs and adults of S. gregaria in laboratory, greenhouse, and field trials.
2. Materials and Methods
2.1. Insect Collection and Rearing
Adults of S. gregaria were collected from a swarm in Bhakkar Punjab (Pakistan) and reared in the laboratory inside wooden cages (30 cm × 30 cm × 30 cm). The cages were made with mesh wires on three sides of cages and on the roof. The front side of each cage was fitted with a door that contained white cloth with sleeves for operations like insect introduction, diet supplementation, and cleaning. The bottom of the cage consisted of several small holes (10-cm diameter) for egg laying. Plastic cups filled with sand with appropriate moisture content were placed below the wooden cage for egg collection. The adults were provided with wheat seedlings and wheat bran as food. Three light bulbs (60 W) were placed on the top of the roof for heating, and were switched on for 6–8 h each day for thermoregulation, which enabled basking behavior, as would occur in the field. After egg laying, the small plastic cups (covered with mosquito wire mesh) were placed under the light bulb (60 W) for 6–8 h to accelerate embryonic development. Upon hatching, first-instar nymphs were released inside the cage for subsequent development [26].
2.2. Entomopathogenic Fungi and Their Culturing
The biopesticides used in this study included two commercial products based on M. acridum—Green Guard (BASF, CSIRO FI (=ARSEF 324)) and Green Muscle (Elephant Vert, IMI 330189 (=ARSEF7486))—one Metarhizium anisopliae (Metchnikoff) Sorokin (Hypocreales: Clavicipitaceae) (CQMCC No. 0877) from China, and a local strain of B. bassiana (isolate WG-11) originally isolated from soil samples collected from Lal Suhanra, Punjab, (Pakistan). Each fungal isolate was individually inoculated on a potato dextrose agar (PDA) Petri plates (100 × 20 mm), wrapped with Parafilm, and finally placed in an incubator at 25 °C with a 14:10 h (light:dark) photoperiod. After 7–10 days, fungi were harvested using a sterile scalpel, followed by the conidial suspension being placed inside a falcon tube (50 mL) containing 30 mL of 0.05% Silwet L-77 solution. Eight glass beads were added to the tube and the solution was vortexed for about 5 min for proper agitation, and the desired conidial doses were determined using hemocytometer. Conidial viability of each fungal isolate was determined by spreading 0.1 mL of solution at rate of 1 × 106 conidia/mL on Sabouraud dextrose agar with 1% yeast (SDAY) plates (two plates for each isolate) wrapped with Parafilm and placed in the incubator at 25 °C with a 14:10 h (light:dark) photoperiod for 16 h [48]. A coverslip was placed on each SDAY plate, and approximately 200 conidia were assessed for germination for one count, with a conidium considered to be germinated if the germ tube was longer than the conidia [48]. Two counts were taken from each plate, totaling four counts for each isolate [49,50].
2.3. Bioassay against 3rd- and 5th-Instar Nymphs and Adults of S. gregaria
The bioassays were conducted to assess the effect of different doses (1 × 105, 1 × 106, 1 × 107, and 1 × 108 conidia/mL) of entomopathogenic fungi against 3rd- and 5th-instar nymphs and adults (two weeks after last molt) of S. gregaria at the Department of Entomology, University of Agriculture Faisalabad, Punjab (Pakistan). Different doses of each fungal isolate were prepared in 0.05% Silwet L-77 solution. Both nymphal instars and adults were treated with a 1-mL suspension of entomopathogenic fungi using a 35-mL glass atomizer [51]. Control individuals were treated in the same fashion, but with 1 mL of 0.05% Silwet L-77. After application, individuals were transferred to (30 cm × 30 cm × 30 cm) cages and provided with wheat bran and wheat seedlings grown in pots [16]. Each dose of specific formulations/isolates represents a treatment, each treatment consisted of three replicates (total 45 individuals, 15/replication), and the experiment was conducted twice (using new individuals and new materials), giving a total of six replicates [16,28]. Mortality was determined at 24-h intervals, with the final count at 12 days post-application [52]. The environmental conditions were maintained at a 14:10 h (light:dark) photoperiod, 30 °C, and 60% relative humidity (RH) [51].
2.4. Effect of a Sublethal Dose on the Reproduction and Development of S. gregaria
The effect of a sublethal dose (1 × 104 conidia/mL) of each fungal isolate was examined against adults of S. gregaria. For this, a group of 30 adults (15 females and 15 males) was treated as described in the previous section. The cages were provided with 25-cm-diameter plastic cups filled with clean sand, and were provided with appropriate moisture to encourage egg laying. The total number of egg pods laid by each female, average number of eggs present per pod, and percentage of eggs hatching was determined. The egg pods were collected at the end of experiment from among the different treatments, and mean egg pods per female were determined using the number of females still alive on the day of first oviposition. The egg pods were dissected and the total number of eggs per pod assessed. Then, eggs were kept under optimal conditions of 27 °C, 60% RH, and total egg hatching was determined among the different treatments [53]. After egg hatching, a group of 30 first-instar nymphs was collected from each replicate and kept inside the cages (30 cm × 30 cm × 30 cm) and provided with fresh diet (wheat seedlings and wheat bran). The developmental duration of different stages (1st-, 2nd-, 3rd-, 4th-, and 5th-instar nymphs, and adults) was determined. Each treatment consisted of three replicates, and the whole experiment was repeated twice, with new individuals and materials for each repetition.
2.5. Effects of a Sublethal Dose on Diet Consumption, Weight Gain, and Frass Production of S. gregaria
The effects of a sublethal dosage (1 × 104 conidia/mL) on diet consumption, weight gain, and frass production of S. gregaria were determined. Fifth-instar nymphs were treated with a sublethal dose of EPF in a similar manner as in the above-mentioned bioassays. Individual 5th-instar nymphs were weighed and then transferred into a small plastic box and provided with a wheat seedling for feeding. Prior to feeding, diet weight was measured on weight balance and then transferred inside the small boxes for feeding. Daily unused diet was taken from the boxes and measured on the weight balance, and diet consumed was calculated by subtracting the remaining diet from the initial diet. During days 1–15 after inoculation, fecal pellets were collected daily from each cage (replicate). The fecal production per cage was oven-dried at 80 °C until constant weight (24 h) and then weighed. The fecal production per insect per day for each replicate was calculated by dividing the daily fecal production by the number of insects remaining alive on that date [34]. Insects were also weighed each day. Each treatment consisted of three replicates, with each replication containing 15 individuals (total 45 individuals per treatment), and the experiment was repeated twice, giving a total of six replicates.
2.6. Greenhouse Trial
The greenhouse experiment was conducted using nymphs (3rd- and 5th-instar) and adults of S. gregaria. The 3rd- and 5th-instar nymphs and adults were inoculated in a similar manner as in the laboratory bioassay, with 1 × 109 conidia/mL. After inoculation, each individual of each specific stage was released inside a plastic pot (12.5 cm H × 8 cm D) that contained wheat seedlings and covered with a cylindrical metal cage (30 cm H × 8 cm D). All pots with cages were kept inside trays provided with water and placed on the bench top at 1-m height. Each treatment consisted of three replicates, with 20 pots per replicate (for each stage), and each pot contained one individual of a specific stage. The experiment was repeated twice, giving a total of six replicates. Adult mortality was observed daily for 15 days [52]. In order to avoid scavenging by live locusts, their frass and dead were removed from the cages daily. Conditions were maintained at 30 °C, 16:8 h (light:dark) photoperiod, and 60% RH.
2.7. Field Trial
The effectiveness of different fungal isolates against 3rd- and 5th-instar nymphs and adults of S. gregaria was evaluated in the field cages (70 cm × 70 cm × 70 cm). These wooden cages with a door on the front were placed in the field, and 120 individuals of each stage were placed in each cage [51]. Each wooden cage served as replicate, and each treatment consisted of three replicates. As is common for field applications for Green Muscle [18,26], conidia were mixed with diesel and applied at a dose of 1 × 109 conidia/mL using a knapsack sprayer. The experiment consisted of five treatments, with three replicates (three cages) in each treatment. The whole experiment was repeated twice [26], with new individuals and materials each time. The data on the locust mortality were taken daily by removing the dead from each field cage. Untreated wheat seedlings were provided in the cages in the late afternoon so that the locusts had fresh food all night. Sometimes there was mortality in the first two days due to transport and handling; to compensate for this, any mortality that occurred in the first two days, in both the treated and untreated cages, was ignored. The experiment endpoint was day 15 after the introduction of insects and treatment application.
2.8. Statistical Analysis
In the laboratory trials, the mortality among the different developmental stages (3rd- and 5th-instar nymphs, and adults) was corrected with control mortality using Abbott’s formula [54]. The values were subjected to two-way analysis of variance (ANOVA), and treatment means were separated by Tukey’s honestly significant difference (HSD) test [55]. The mortality among different stages and intervals was found to be less than 5%. The effects on reproduction, diet consumption, frass production, and weight gain were subjected to analysis of variance (ANOVA). The mortality in greenhouse and field trials was subjected to analysis of variance (ANOVA), and treatment means were separated by Tukey’s HSD test. All of the statistical analysis was conducted using Minitab 17 software [56].
3. Results
3.1. Bioassay against 3rd- and 5th-Instar Nymphs and Adults of S. gregaria
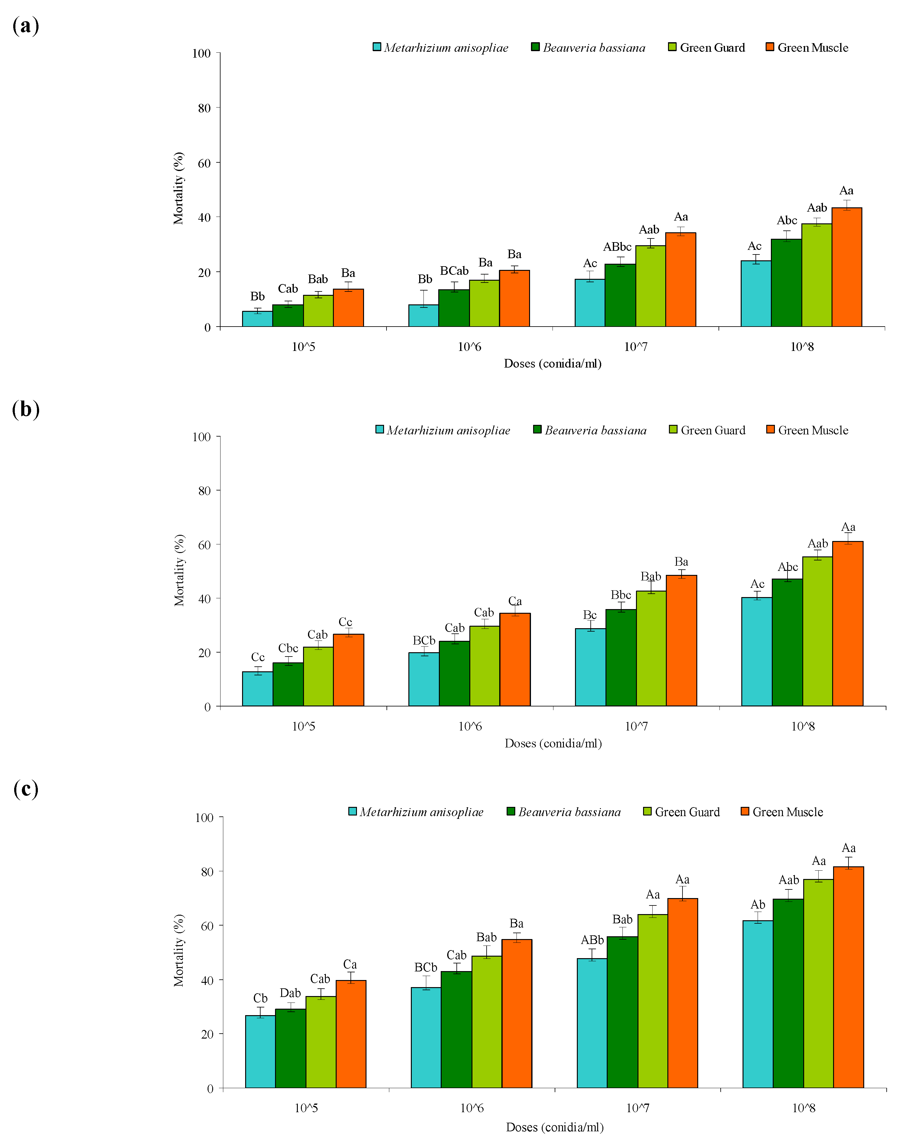
Against 3rd-instar nymphs, significant differences were observed between different EPF within each dose at 5 (F3,23 ≤ 6.05; p < 0.01), 7 (F3,23 ≤ 7.92; p < 0.01), and 12 (F3,23 ≤ 7.31; p < 0.01) days post-treatment. Within each EPF, a significant dose response was observed (F3,23 ≤ 13.6; p < 0.01 at 5 days; F3,23 ≤ 14.3; p < 0.01 at 7 days; F3,23 ≤ 17.2; p < 0.01 at 12 days) post-treatment. The mortality of the EPF at the 106 dose at 12 days ranged from 46.5 to 67.5%, while the 108 dose resulted in 65–95% mortality. The dose response was such that increasing the dose 100-fold (from 106 to 108) meant mortality was reached 5 days earlier. Green Muscle produced mortality of 68% at the 106 dose after 12 days, while similar mortality was observed at day 7 for the 108 dose (Figure 1a–c). For M. anisopliae, there was 47% mortality at 12 days at the 106 dose, and at 7 days at the 108 dose (Figure 1b,c). The time taken to reach > 50% mortality was 5 days after a 108 dose of Green Muscle, 7 days after a 107 dose of Green Guard, 7 days after a 108 dose of B. bassiana, and 12 days after a 107 dose of M. anisopliae was applied. By the end of the experiment on day 12, maximum mortality was observed with Green Muscle, followed Green Guard, B. bassiana, and M. anisopliae. Overall, mortality was greatest with Green Muscle and least with M. anisopliae at all time intervals and at all doses (Figure 1a–c).
Figure 1.
Mean mortality percentages (±SE) of 3rd-instar nymphs of S. gregaria after (a) 5 days, (b) 7 days, and (c) 12 days of treatment with various doses (105, 106, 107, and 108 conidia/mL) of Green Muscle, Green Guard, B. bassiana, or M. anisopliae. Mortality data were corrected for control mortality, which was <5%. For each subfigure: different lowercase letters indicate significant differences in mortality between each of the EPF; different uppercase letters indicate significant differences in mortality between doses (Tukey’s HSD test at p ≤ 0.05).
Clear treatment effects were observed against 5th-instar nymphs at different dose rates at 5 (F3,23 ≤ 15.1; p < 0.01), 7 (F3,23 ≤ 22.4; p < 0.01), and 12 (F3,23 ≤ 17.0; p < 0.01) days post-treatment. All of the EPFs had a significant dose response (F3,23 ≤ 4.28; p < 0.01 at 5 days; F3,23 ≤ 5.92; p < 0.01 at 7 days; F3,23 ≤ 3.88; p < 0.01 at 12 days). The dose response was such that increasing the dose 100-fold (from 106 to 108) meant mortality was reached just under 5 days earlier. The mortality due to the EPF at the 106 dose at 12 days ranged from 37.1 to 54.8%. For Green Muscle; there was 55% mortality at 12 days at a dose of 106, similar to the 61% mortality at 7 days at a dose of 108 (Figure 2b,c). Until day 5, no EPF was able to kill 50% of 5th-instar nymphs, while at 7 days of exposure only two EPF (Green Muscle and Green Guard) caused > 50% mortality at a level not statistically different from one another, with the greatest mortality from Green Muscle (Figure 2a–c).
Figure 2.
Mean mortality percentages (±SE) of 5th-instar nymphs of S. gregaria after (a) 5 days, (b) 7 days, and (c) 12 days of treatment with various doses (105, 106, 107, and 108 conidia/mL) of Green Muscle, Green Guard, B. bassiana, or M. anisopliae. Mortality data were corrected for control mortality, which was <5%. For each subfigure: different lowercase letters indicate significant differences in mortality between each of the EPF; different uppercase letters indicate significant differences in mortality between doses (Tukey’s HSD test at p ≤ 0.05).
Against adults, each dose rate of EPF produced significantly more mortality compared to the control treatment (F3,23 ≤ 7.23; p < 0.01), (F3,23 ≤ 5.53; p < 0.01), and (F3,23 ≤ 3.17; p < 0.01) at 5, 7, and 12 days after treatment, respectively. A clear dose response in terms of mortality was observed in different EPF at (F3,23 ≤ 16.6; p < 0.01) 5 days, (F3,23 ≤ 17.1; p < 0.01) 7 days, and (F3,23 ≤ 20.6; p < 0.01) 12 days post-application. Once again, the dose response was such that increasing the dose 100-fold (from 106 to 108) resulted in mortality being reached just under 5 days earlier. The mortality of the EPF at the 106 dose at 12 days ranged from 49% for Green Muscle to 34% for M. anisopliae—slightly less than the levels reached at 7 days with a 108 dose. No EPF caused 50% mortality at 5 days, and even at 7 days, only two EPF caused 50% mortality, and even then only at the highest conidial dose. After 12 days, all EPF caused > 50% mortality at the two highest conidial doses. As with treatments of 3rd- and 5th-instar nymphs, the greatest mortality was observed with Green Muscle, followed by Green Guard, B. bassiana, and M. anisopliae (Figure 3a–c).
Figure 3.
Mean mortality percentages (±SE) of S. gregaria adults after (a) 5 days, (b) 7 days, and (c) 12 days of treatment with various doses (105, 106, 107, and 108 conidia/mL) of Green Muscle, Green Guard, B. bassiana, or M. anisopliae. Mortality data were corrected for control mortality, which was <5%. For each subfigure: different lowercase letters indicate significant differences in mortality between each of the EPF; different uppercase letters indicate significant differences in mortality between doses (Tukey’s HSD test at p ≤ 0.05).
Overall, 3rd-instar nymphs were found to be more susceptible than 5th-instar nymphs or adults.
3.2. Effects of Sublethal Doses on the Reproduction and Development of S. gregaria
Sublethal doses of EPF seriously affected the reproduction capability of S. gregaria, and also retarded the growth of their offspring. The females treated with all EPF except M. anisopliae produced fewer egg pods compared to the untreated controls (F4,29 = 28.1; p < 0.01), with no significant difference between the Green Muscle and Green Guard treatments (Table 1). In addition, there were fewer eggs per pod with EPF treatments (F4,29 = 73.1; p < 0.01), with Green Muscle treatments leading to the lowest number of eggs per pod (Table 1). Of the eggs laid, hatching was lowest with the Green Muscle and Green Guard treatments, with both B. bassiana and M. anisopliae resulting in intermediate levels between the other EPF and the controls. Even though the offspring themselves were uninfected, the offspring of infected females had an increase in nymphal developmental time (F4,29 = 7.20; p < 0.01) and a reduction in adult longevity compared to the untreated controls (F4,29 = 41.2; p < 0.01).
Table 1.
Effects of applying one sublethal dose (1 × 104 conidia/mL) of Green Muscle, Green Guard, B. bassiana, or M. anisopliae to S. gregaria adults on the number of egg pods/female, number of eggs/pod, egg hatching, development time for offspring of different instars, and survival of resulting adults. Data are means ± SE, and within each column and treatment, different letters indicate significant differences (Tukey’s HSD test at p ≤ 0.05).
3.3. Effects of a Sublethal Dose on Diet Consumption, Weight Gain, and Frass Production of S. gregaria
Sublethal doses induced significant behavioral changes in fifth-instar S. gregaria, with lower diet consumption, frass production, and weight compared to controls; most effects were already seen at 3 days after infection, and were clearly evident by 6 days (Figure 4a–c). As the days progressed, diet consumption declined in the treated groups (F4,29 ≤ 19.6; p < 0.01), but increased in the untreated controls (F4,29 ≤ 6.51; p < 0.01). Except for day 12, no significant difference was observed in diet consumption between Green Muscle and Green Guard. A similar trend was observed in frass production, with significantly lower frass production in the treated groups compared to the controls (F4,29 ≤ 104; p < 0.01). Except for day 12, Green Muscle led to significantly lower frass production compared to the rest of the treatments. As days progressed, there was a decline in weight gain per day by treated locusts, while weight gain increased in the controls. Except at days 6 and 9, the effects of Green Muscle were not statistically significantly different from those of Green Guard (Figure 4a–c).
Figure 4.
Means (±SE) for (a) diet consumption, (b) frass production, and (c) observed weight of fifth-instar S. gregaria treated with a sublethal dose (1 × 104 conidia/mL) of Green Muscle, Green Guard, B. bassiana, or M. anisopliae. For each subfigure: different lowercase letters indicate significant differences between different EPF; different uppercase letters indicate significant differences between different days (Tukey’s HSD test at p ≤ 0.05).
3.4. Greenhouse Trial
In the greenhouse trial, mortality in the controls was very low, and was <10% even at 15 days post-application, while mortality from all of the EPF was much higher (Figure 5). Green Muscle caused the highest mortality of third- and fifth-instar nymphs, but for adults, mortality was similar for Green Muscle and Green Guard. Mortality was less for the other two EPF, with mortality from M. anisopliae the lowest.
Figure 5.
Mean mortality percentages (±SE) of (a) 3rd-instar, (b) 5th-instar, and (c) adult S. gregaria inoculated with 1 × 109 conidia/mL of Green Muscle, Green Guard, B. bassiana, or M. anisopliae in a greenhouse. Within each subfigure and between the treatments, different letters indicate significant differences (Tukey’s HSD test at p ≤ 0.05).
As with the laboratory assay, the greenhouse bioassay demonstrated that 3rd-instar nymphs were most susceptible, followed by 5th-instar nymphs, and then adults (Figure 5a–c).
3.5. Field Trial
For EPF sprayed with a knapsack sprayer in field cages, all of the EPF produced significantly higher mortality (F4,29 ≤ 49.6; p < 0.01 in 3rd-instar nymphs; F4,29 ≤ 69.9; p < 0.01 in 5th-instar nymphs; and F4,29 ≤ 133.0; p < 0.01 in adults) compared to untreated controls. Green Muscle caused the greatest mortality among all developmental stages, with mortality from Green Guard statistically slightly lower. As with the other assays, the field bioassay demonstrated that 3rd-instar nymphs were the most susceptible (Figure 6a–c).
Figure 6.
Mean mortality percentages (±SE) of (a) 3rd-instar, (b) 5th-instar and (c) adult S. gregaria sprayed with 1 × 109 conidia/mL of Green Muscle, Green Guard, B. bassiana, or M. anisopliae using a knapsack sprayer in field cages. Within each subfigure and between the treatments, different letters indicate significant differences (Tukey’s HSD test at p ≤ 0.05).
4. Discussion
In the present study, laboratory, greenhouse, and field trial results showed that all of the formulated products (Green Muscle, Green Guard, and M. anisopliae (CQMCC No. 0877)) and the local isolate of B. bassiana caused significant mortality of S. gregaria. Green Muscle performed best, with the greatest mortality, followed by Green Guard, B. bassiana, and M. anisopliae. Third-instar nymphs were more susceptible than fifth-instar nymphs or adults. Experiments in greenhouse and field conditions showed that all of the tested EPF have the potential to reduce pest populations under natural conditions. Previous studies showed significant efficacy of Green Muscle, Green Guard, and B. bassiana against different species of locust and grasshopper, and the present study showed that all of the EPF caused significant mortality of various stages of S. gregaria. As in our studies, 3rd-instar nymphs were found to be more susceptible to EPF by both Bashir and El Shafie [30], who treated desert locusts of various stages with M. acridum, and Youssef et al. [31], who treated desert locusts with B. bassiana and Entomophthora sp. Additive and synergistic interaction was observed when lower and higher doses of M. acridum and Paranosema locustae were tested against 5th-instar S. gregaria nymphs under laboratory conditions [28].
The current study is the first report on sublethal effects of EPF on the reproduction ability, fertility, and subsequent developmental stages of S. gregaria. Even though the applied dose was 1/10th of a dose causing 40% mortality, and 1/10,000th of the dose causing 80% mortality, infected females produced fewer egg pods and fewer eggs per pod, and fewer of the eggs that were produced actually hatched. Increased developmental duration was observed in offspring nymphs, while reduction in adult longevity was also detected. Effects on reproduction have been found in the past, but these were at a dose that was eventually lethal. Fewer egg pods per female and a lower total number of eggs per pod were observed in S. gregaria and in the lamenting grasshopper Eyprepocnemis plorans (Charpentier) when infected with B. bassiana and M. acridum [39], and in Dichroplus maculipennis (Blanchard) and Ronderosia bergi (Stål) infected with B. bassiana [40]. A 21–53% reduction in egg pods per female was observed for Moroccan locusts Dociostaurus maroccanus (Thunberg) (Orthoptera: Acrididae) infected with M. acridum (IMI 380189) and B. bassiana [53]. Fungal infection seems to utilize host resources to such an extent that there are less resources available for egg maturation [33,57]. Contrary to our findings was a report by Blanford and Thomas [27], who did not observe any sublethal effect of M. acridum (IMI 330189) on S. gregaria reproduction. Furthermore, we have for the first time detected the effect of EPF on the fertility or hatching of eggs of this species. Lower egg fertility was observed in D. maroccanus when infected with fungal isolates [53].
Sublethal EPF infections not only reduced reproductive capability, but also led to behavioral changes, including reduction in food consumption, reduced fecal production, and reduced weight. Upon infection with EPF, reduction in feeding was observed, similar to the observations of Moore et al. [35] of a reduction in diet consumption in both S. gregaria and the Central American locust S. piceifrons starting three days post-infection. Likewise, Mohammadbeigi and Port [34] observed a reduction in the diet consumption of Uvarovistia zebra (Uvarov) (Orthoptera: Tettigoniidae) infected with fungi. In the present study, infected individuals had lower fecal production compared to controls. A reduction in fecal production in D. maroccanus was observed from all of the fungal treatments except EABb 90/2-Dm [53]. Reduction in weight was observed among the different EPF compared to controls but, contrary to our findings, a previous study [30] reported no significant difference in the weight of controls and individuals treated with neem oil and M. acridum.
In this study, we observed significant efficacy of EPF not only in the laboratory, but also in the greenhouse and field experiments, despite several environmental factors that may restrict the efficacy of these pathogens under natural conditions [47]. A most important factor is ultraviolet (UV) radiation, which directly reduces pathogen survival, and also enables locusts to increase their body temperature and produce immunity against fungal infection [58]. The current study revealed that in spite of thermoregulation, all of the EPF have the ability to cause mortality, indicating their potential as biocontrol agents in the field. Our results are consistent with [15], where it was found that Green Muscle was effective in controlling locust adults, with some added advantages compared to chemicals. As with the greenhouse experiment, in field conditions these results show that EPF have great efficacy against S. gregaria. Future research will focus on investigating the compatibility of EPF with other control agents, including entomopathogenic nematodes, chemical insecticides, and botanical extracts, as these have been found to be effective against a variety of insect pests [30,49,50,59,60,61].
5. Conclusions
The present research shows that Green Muscle, Green Guard, B. bassiana, and M. anisopliae have the potential to control locusts under field conditions. In addition, there are sublethal effects on their reproductive ability and behavior, with reduction in diet consumption, frass production, and weight observed. Future research needs to explore the combination of EPF with other control agents—including chemical insecticides, microsporidia, and botanical extracts—as a means of integrated pest management of locusts in the field.
Author Contributions
Conceptualization, W.W.; research design, W.W.; methodology, W.W., M.U.G., D.H. and W.S.; data curation, W.W.; formal analysis, W.W. and M.U.; performed research, W.W. and M.U.G.; visualization, W.W.; writing—review and editing, W.W., M.U.G., D.H. and W.S.; supervision, W.W.; funding acquisition, W.W. All authors have read and agreed to the published version of the manuscript.
Funding
This study was supported by the National Disaster Management Authority (NDMA), Government of Pakistan, Islamabad, Pakistan.
Institutional Review Board Statement
Not applicable.
Informed Consent Statement
Not applicable.
Data Availability Statement
Data are contained within the article.
Acknowledgments
The authors are thankful to Atif Kamal and Murtaza Quddusi (BASF Pakistan Pvt. Ltd.) for providing Green Guard, Yann Miège (Elephant Vert, Morocco) for Green Muscle, and Zhongkang Wang (Chongqing Chongda Bio-Tech Development Ltd. Co., China) for M. anisopliae (CQMCC No. 0877). We are thankful to Tariq Butt (Swansea University, Swansea, UK) and Syed Farooq Shah (Razbio Ltd., UK) for their technical support in this study. This study was financially supported by the National Disaster Management Authority (NDMA), Government of Pakistan, Islamabad, Pakistan.
Conflicts of Interest
The authors declare no conflict of interest.
References
- Millist, N.; Abdalla, A. Benefit-cost analysis of Australian plague locust control operations for 2010–11. In ABARES Report Prepared for the Australian Plague Locust Commission; Australian Bureau of Agricultural and Resource Economics and Sciences: Canberra, Australia, 2011; p. 22. [Google Scholar]
- Latchininsky, A.V. Locusts and remote sensing: A review. J. Appl. Rem. Sens. 2013, 7, 075099. [Google Scholar] [CrossRef]
- Zhang, L.; Hunter, D.M. Management of locusts and grasshoppers in China. J. Orthop. Res. 2017, 26, 155–159. [Google Scholar] [CrossRef]
- Steedman, A. The Locust Handbook; Overseas Development National Resources Institute: London, UK, 1988. [Google Scholar]
- Showler, A.T. Desert locust, Schistocerca gregaria (Forskål) (Orthoptera: Acrididae), campaign in Tunisia, 1988. Agricul. Syst. 1993, 42, 311–325. [Google Scholar] [CrossRef]
- Zhang, L.; Lecoq, M.; Latchininsky, A.; Hunter, D. Locust and grasshopper management. Ann. Rev. Entomol. 2019, 64, 15–34. [Google Scholar] [CrossRef]
- Anonymous. Locust alarm, scientific rigour and a debate over risky disease experiments. Nature 2020, 577, 602–603. [Google Scholar] [CrossRef]
- Sharmila, D. Locust swarms in east Africa could be “a catastrophe”. Lancet 2020, 395, 547. [Google Scholar]
- Peng, W.; Ma, N.L.; Zhang, D.; Zhou, Q.; Shing, X.Y.; Khoo, C.; Yang, H.; Guan, R.; Chen, H.; Zhang, X.; et al. A review of historical and recent locust outbreaks: Links to global warming, food security and mitigation strategies. Environ. Res. 2020, 191, 110046. [Google Scholar] [CrossRef] [PubMed]
- Le Gall, M.; Overson, R.; Cease, A. A global review on locusts (Orthoptera: Acrididae) and their interactions with livestock grazing practices. Front. Ecol. Evo. 2019, 7, 263. [Google Scholar] [CrossRef]
- Shrestha, S.; Thakur, G.; Gautam, J.; Acharya, N.; Pandey, M.; Shrestha, J. Desert locust and its management in Nepal: A review. J. Agricul. Nat. Res. 2021, 4, 1–28. [Google Scholar]
- Symmons, P.M.; Cressman, K. Desert Locust Guidelines: Biology and Behaviour. Food and Agriculture Organization of the United Nations: Rome, Italy, 2001; pp. 1–25. Available online: http://www.fao.org/ag/locusts/oldsite/PDFs/DLG1e.pdf (accessed on 16 August 2021).
- FAO. Weather and Desert Locusts WMO-No. 1175; World Meteorological Organization and Food and Agriculture Organization of the United Nations: Rome, Italy, 2016; pp. 1–48. Available online: http://www.fao.org/3/i6152en/i6152en.pdf (accessed on 22 August 2021).
- FAO. Desert Locust Bulletin No. 484; Food and Agriculture Organization of the United Nations: Rome, Italy, 2019; Available online: http://www.fao.org/ag/locusts/common/ecg/2462/en/DL484e.pdf (accessed on 20 August 2021).
- Mullié, W.C.; Cheke, R.A.; Young, S.; Ibrahim, A.B.; Murk, A.J. Increased and sex-selective avian predation of desert locusts Schistocerca gregaria treated with Metarhizium acridum. PLoS ONE 2021, 16, e0244733. [Google Scholar] [CrossRef]
- Abdelatti, Z.A.S.; Hartbauer, M. Plant oil mixtures as a novel botanical pesticide to control gregarious locusts. J. Pest. Sci. 2020, 93, 341–353. [Google Scholar] [CrossRef]
- Arthurs, S. Grasshoppers and locusts as agricultural pests. In Encyclopedia of Entomology; Capinera, J.L., Ed.; Springer: Dordrecht, The Netherlands, 2008; pp. 1690–1694. [Google Scholar]
- Lecoq, M. Integrated pest management for locusts and grasshoppers: Are alternatives to chemical pesticides credible? J. Orthop. Res. 2010, 19, 131–132. [Google Scholar] [CrossRef]
- Alavanja, M.C.R.; Bonner, M.R. Occupational pesticide exposures and cancer risk: A review. J. Toxicol. Environ. Health 2012, 15, 238–263. [Google Scholar] [CrossRef]
- Köhler, H.R.; Triebskorn, R. Wildlife ecotoxicology of pesticides: Can we track effects to the population level and beyond? Science 2013, 341, 759–765. [Google Scholar] [CrossRef] [PubMed]
- Nicolopoulou-Stamati, P.; Maipas, S.; Kotampasi, C.; Stamatis, P.; Hens, L. Chemical pesticides and human health: The urgent need for a new concept in agriculture. Front. Public Health 2016, 4, 1–8. [Google Scholar] [CrossRef] [PubMed]
- Roussi, A. The battle to contain gigantic locust swarms. Nature 2020, 579, 330. [Google Scholar] [CrossRef]
- Lacey, L.A.; Shapiro-Ilan, D.I. Microbial control of insect pests in temperate orchard systems: Potential for incorporation into IPM. Annu. Rev. Entomol. 2008, 53, 121–144. [Google Scholar] [CrossRef]
- Lacey, L.A.; Grzywacz, D.; Shapiro-Ilan, D.I.; Frutos, R.; Brownbridge, M.; Goettel, M.S. Insect pathogens as biological control agents: Back to the future. J. Invertebra. Pathol. 2015, 132, 1–41. [Google Scholar] [CrossRef] [PubMed]
- Goettel, M.S.; Eilenberg, J.; Glare, T.R. Entomopathogenic fungi and their role in regulation of insect populations. In Comprehensive Molecular Insect Science; Gilbert, L.I., Iatrou, K., Gill, S., Eds.; Elsevier: Amsterdam, The Netherlands, 2005; Volume 6, pp. 361–406. [Google Scholar]
- Atheimine, M.; Bashir, M.; Ely, S.; Kane, C.; Mohamed, S.; Babah, M.; Benchekroun, M. Efficacy and persistence of Metarhizium acridum (Hypocreales: Clavicipitaceae) used against desert locust larvae, Schistocerca gregaria (Orthoptera: Acrididae), under different vegetation cover types. Inter. J. Trop. Insect Sci. 2014, 34, 106–114. [Google Scholar] [CrossRef]
- Blanford, S.; Thomas, M.B. Adult survival, maturation, and reproduction of the desert locust Schistocerca gregaria infected with the fungus Metarhizium anisopliae var acridum. J. Invertebra. Pathol. 2001, 78, 1–8. [Google Scholar] [CrossRef]
- Tounou, A.-K.; Kooyman, C.; Douro-Kpindou, O.-K.; Poehling, H.-M. Interaction between Paranosema locustae and Metarhizium anisopliae var. acridum, two pathogens of the desert locust, Schistocerca gregaria under laboratory conditions. J. Invertebra. Pathol. 2008, 97, 203–210. [Google Scholar] [CrossRef]
- Milat-Bissaad, F.Z.; Bounaceur, F.; Halouane, F.; Behidj, N.; Chebouti, N.; Doumandji-Mitiche, B. Effect of entomopathogenic fungi Beauveria bassiana and Metarhizium anisopliae var acridum on the haemolymph of the desert locust Schistocerca gregaria. Tunis. J. Plant Protect. 2011, 6, 127–132. [Google Scholar]
- Bashir, E.M.; El Shafie, H.A. Laboratory evaluation of the effects of neem (Azadirachta indica) oil and Metarhizium anisopliae against some immature stages of the desert locust Schistocerca gregaria (Forskal) (Orthoptera: Acrididae). J. Agricul. Vet. Sci. 2014, 18, 116–126. [Google Scholar]
- Youssef, N.A. Effect of certain entomopathogenic fungi and nematode on the desert locust Schistocerca gregaria (Forskal). Ann. Agricul. Sci. 2014, 59, 125–131. [Google Scholar] [CrossRef][Green Version]
- Arthurs, S.; Thomas, M.B. Effects of a mycoinsecticide on feeding and fecundity of the brown locust Locustana pardalina. Biocontrol Sci. Technol. 2000, 10, 321–329. [Google Scholar] [CrossRef]
- Roy, H.E.; Steinkraus, D.C.; Eilenberg, J.; Hajek, A.E.; Pell, J.K. Bizarre interactions and endgames: Entomopathogenic fungi and their arthropod hosts. Annu. Rev. Entomol. 2006, 51, 331–357. [Google Scholar] [CrossRef]
- Mohammadbeigi, A.; Port, G. Effect of infection by Beauveria bassiana and Metarhizium anisopliae on the feeding of Uvarovistia zebra. J. Insect. Sci. 2015, 15, 88. [Google Scholar] [CrossRef][Green Version]
- Moore, D.; Reed, M.; Le Patourel, G.; Abraham, Y.J.; Prior, C. Reduction of feeding by the desert locust, Schistocerca gregaria, after infection with Metarhizium flavoviride. J. Invertebr. Pathol. 1992, 60, 304–307. [Google Scholar] [CrossRef]
- Schmidt, F.G.V.; Conceição, P.J.; Benito, N.P.; Lopes, R.B. Susceptibility of three orthopteran species to infection by Metarhizium acridum (Hypocreales: Clavicipitaceae). Int. J. Trop. Insect Sci. 2018, 38, 1–5. [Google Scholar] [CrossRef]
- Seyoum, E.; Moore, D.; Charnley, A.K. Reduction in flight activity and food consumption by the desert locust, Schistocerca gregaria Forskål (Orth., Cyrtacanthacrinae), after infection with Metarhizium flavoviride. J. Appl. Entomol. 1994, 118, 310–315. [Google Scholar] [CrossRef]
- Thomas, M.B.; Blanford, S.; Lomer, C.J. Reduction of feeding by the variegated grasshopper, Zonocerus variegatus, following infection by the fungal pathogen, Metarhizium flavoviride. Biocontrol Sci. Technol. 1997, 7, 327–334. [Google Scholar] [CrossRef]
- El-Maghraby, M.M.A.; Gomaa, E.A.; Metaweh, H.H.; Abdelatef, G.M. Susceptibility of Schistocerca gregaria (Forskål) and Euprepocnemis plorans (Charpentier) to Metarhizium anisopliae var acridum (Metchnikoff) Soroken, Beauveria bassiana (Bals.) Vuill. and Nosema locustae Canning. Egypt. J. Biol. Pest. Control. 2009, 19, 55–61. [Google Scholar]
- Pelizza, S.A.; Mariottini, Y.; Russo, M.L.; Cabello, M.N.; Lange, C.E. Survival and fecundity of Dichroplus maculipennis and Ronderosia bergi (Orthoptera: Acrididae: Melanoplinae) following infection by Beauveria bassiana (Ascomycota: Hypocreales) under laboratory conditions. Biocontrol Sci. Technol. 2013, 23, 701–710. [Google Scholar] [CrossRef]
- Blanford, S.; Shi, W.; Christian, R.; Marden, J.H.; Koekemoer, L.L.; Brooke, B.D.; Coetzee, M.; Read, A.F.; Thomas, M.B. Lethal and pre-lethal effects of a fungal biopesticide contribute to substantial and rapid control of malaria vectors. PLoS ONE 2011, 6, e23591. [Google Scholar] [CrossRef]
- Anderson, R.D.; Blanford, S.; Thomas, M.B. House flies delay fungal infection by fevering: At a cost. Ecol. Entomol. 2013, 38, 1–10. [Google Scholar] [CrossRef]
- Acharya, N.; Rajotte, E.G.; Jenkins, N.E.; Thomas, M.B. Potential for biocontrol of house flies, Musca domestica, using fungal biopesticides. Biocontrol Sci. Technol. 2015, 25, 513–524. [Google Scholar] [CrossRef]
- Roxburgh, L.; Pinshow, B.; Prange, H.D. Temperature regulation by evaporative cooling in a desert grasshopper, Calliptamus barbarous. J. Therm. Biol. 1996, 21, 331–337. [Google Scholar] [CrossRef]
- Ouedraogo, R.M.; Cusson, M.; Goettel, M.S.; Brodeur, J. Inhibition of fungal growth in thermoregulating locusts, Locusta migratoria, infected by the fungus Metarhizium anisopliae var acridum. J. Invertebra. Pathol. 2003, 82, 103–109. [Google Scholar] [CrossRef]
- Ouedraogo, R.M.; Goettel, M.S.; Brodeur, J. Behavioral thermoregulation in the migratory locust: A therapy to overcome fungal infection. Oecologia 2004, 138, 312–319. [Google Scholar] [CrossRef]
- Foster, R.N.; Jaronski, S.; Reuter, K.C.; Black, L.R.; Schlothauer, R.; Harper, J.; Jech, L.E. Simulated aerial sprays for field cage evaluation of Beauveria bassiana and Metarhizium brunneum (Ascomycetes: Hypocreales) against Anabrus simplex (Orthoptera: Tettigoniidae) in Montana. Biocontrol Sci. Technol. 2011, 21, 1331–1350. [Google Scholar] [CrossRef]
- Inglis, G.D.; Enkerli, J.; Goettel, M.S. Laboratory techniques used for entomopathogenic fungi: Hypocreales. In Manual of Techniques in Invertebrate Pathology; Lacey, L.A., Ed.; Academic Press: London, UK, 2012; pp. 189–253. [Google Scholar]
- Usman, M.; Gulzar, S.; Wakil, W.; Wu, S.; Piñero, J.C.; Leskey, T.C.; Nixon, L.J.; Oliveira-Hofman, C.; Toews, M.D.; Shapiro-Ilan, D. Virulence of entomopathogenic fungi to Rhagoletis pomonella (Diptera: Tephritidae) and interactions with entomopathogenic nematodes. J. Econ. Entomol. 2020, 113, 2627–2633. [Google Scholar] [CrossRef]
- Gulzar, S.; Wakil, W.; Shapiro-Ilan, D.I. Combined effect of entomopathegns against Thrips tabaci Lindeman (Thysanoptera: Thripidae): Laboratory, greenhouse and field trials. Insects 2021, 12, 456. [Google Scholar] [CrossRef]
- Pelizza, S.A.; Medina, H.; Ferreri, N.A.; Elíades, L.A.; Pocco, M.A.; Stenglein, S.A.; Lange, C.E. Virulence and enzymatic activity of three new isolates of Beauveria bassiana (Ascomycota: Hypocreales) from the South American locust Schistocerca cancellata (Orthoptera: Acrididae). J. King Saud. Univer. 2020, 32, 44–47. [Google Scholar] [CrossRef]
- Dakhel, W.H.; Latchininsky, A.V.; Jaronski, S.T. Efficacy of two entomopathogenic fungi, Metarhizium brunneum, strain F52 alone and combined with Paranosema locustae against the migratory grasshopper, Melanoplus sanguinipes, under laboratory and greenhouse conditions. Insects 2019, 10, 94. [Google Scholar] [CrossRef]
- Valverde-Garcia, P.; Santiago-Alvarez, C.; Thomas, M.B.; Maranhão, E.A.A.; Garrido-Jurado, I.; Quesada-Moraga, E. Sublethal effects of mixed fungal infections on the Moroccan locust, Dociostaurus maroccanus. J. Invertebra. Pathol. 2019, 161, 61–69. [Google Scholar] [CrossRef]
- Abbott, W.S. A method of computing the effectiveness of an insecticide. J. Econ. Entomol. 1925, 18, 265–267. [Google Scholar] [CrossRef]
- Sokal, R.R.; Rohlf, F.J. Biometry; Freeman: New York, NY, USA, 1995. [Google Scholar]
- Minitab. Minitab 17 Statistical Computer Software; Minitab Inc.: State College, PA, USA, 2010. [Google Scholar]
- Kaur, S.; Harminder, P.K.; Kaur, K.; Kaur, A. Effect of different concentrations of Beauveria bassiana on development and reproductive potential of Spodoptera litura (Fabricius). J. Biopest. 2011, 4, 161–168. [Google Scholar]
- Inglis, G.D.; Johnson, D.L.; Goettel, M.S. Effects of temperature and thermoregulation on mycosis by Beauveria bassiana in grasshoppers. Biol. Control. 1996, 7, 131–139. [Google Scholar] [CrossRef]
- Wakil, W.; Ghazanfar, M.U.; Riasat, T.; Qayyum, M.A.; Ahmed, S.; Yasin, M. Effects of interactions among Metarhizium anisopliae, Bacillus thuringiensis and chlorantraniliprole on the mortality and pupation of six geographically distinct Helicoverpa armigera field populations. Phytoparasitica 2021, 41, 221–234. [Google Scholar] [CrossRef]
- Wakil, W.; Tahir, M.; Al-Sadi, A.M.; Shapiro-Ilan, D. Interactions between two invertebrate pathogens: An endophytic fungi and externally applied bacterium. Front. Microbiol. 2020, 11, 522368. [Google Scholar] [CrossRef]
- Wakil, W.; Yasin, M.; Shapiro-Ilan, D. Effect of single and combined applications of entomopathogenic fungi and nematodes against Rhynchophorus ferrugineus (Olivier). Sci. Rep. 2017, 7, 1–11. [Google Scholar] [CrossRef]
Publisher’s Note: MDPI stays neutral with regard to jurisdictional claims in published maps and institutional affiliations. |
© 2022 by the authors. Licensee MDPI, Basel, Switzerland. This article is an open access article distributed under the terms and conditions of the Creative Commons Attribution (CC BY) license (https://creativecommons.org/licenses/by/4.0/).





