Performance Parameters Optimization of a Three-Row Pneumatic Precision Metering Device for Brassica chinensis
Abstract
:1. Introduction
2. Materials and Methods
2.1. Working Principle of the Experiment Bench
2.2. Determination of the Main Parameters of the Sucking Hole
2.3. Performance Test of the Metering Device
2.3.1. Test Materials and Equipment
2.3.2. Test Method and Index
3. Results and Discussion
3.1. Test Results
3.2. Variance Analysis and Model Establishment
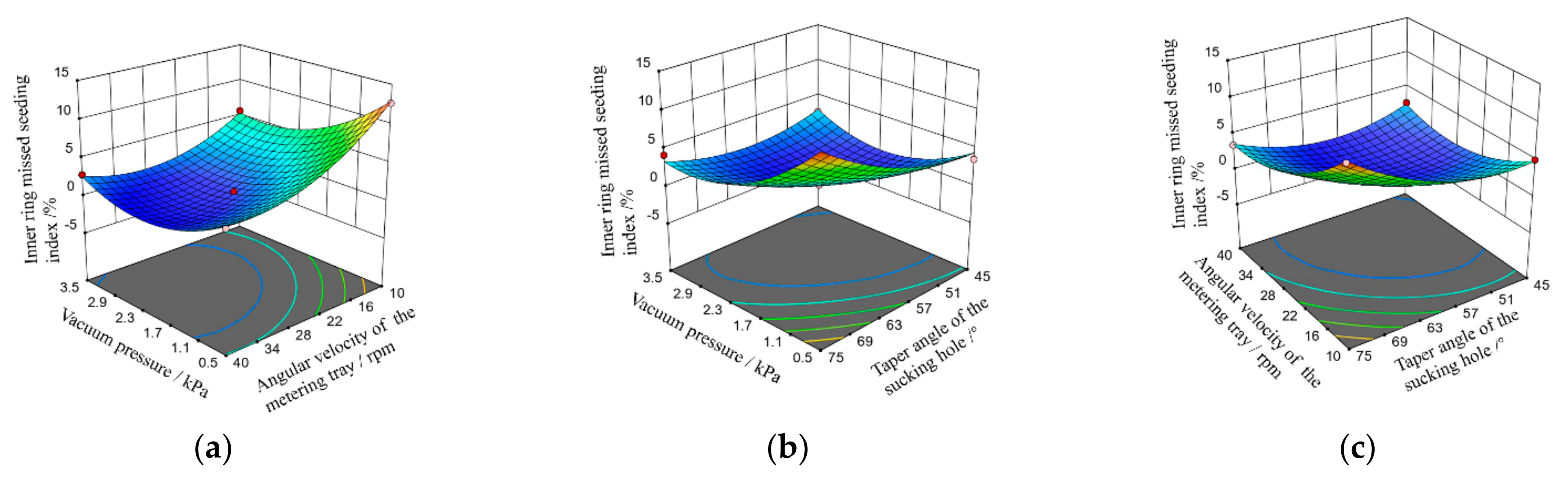
3.3. Influence of Reciprocal Factors on Performance Indicators
3.4. Parameters Optimization and Experimental Verification
3.5. Future Study Direction
4. Conclusions
Author Contributions
Funding
Institutional Review Board Statement
Informed Consent Statement
Data Availability Statement
Acknowledgments
Conflicts of Interest
References
- Ma, J.; Li, M.Y.; Wang, F.; Tang, J.; Xiong, A.S. Genome-wide analysis of Dof family transcription factors and their responses to abiotic stresses in Chinese cabbage. BMC Genom. 2015, 16, 33. [Google Scholar] [CrossRef] [PubMed] [Green Version]
- Jin, X.; Li, Q.W.; Zhao, K.X.; Zhao, B.; He, Z.T.; Qiu, Z.M. Development and test of an electric precision seeder for small-size vegetable seeds. Int. J. Agric. Biol. Eng. 2019, 12, 75–81. [Google Scholar] [CrossRef]
- Ibrahim, E.J.; Liao, Q.X.; Wang, L.; Liao, Y.T.; Yao, L. Design and experiment of multi-row pneumatic precision metering device for rapeseed. Int. J. Agric. Biol. Eng. 2018, 11, 116–123. [Google Scholar] [CrossRef] [Green Version]
- Han, D.D.; Zhang, D.X.; Jing, H.R.; Yang, L.; Cui, T.; Ding, Y.Q.; Wang, Z.D.; Wang, Y.X.; Zhang, T.L. DEM-CFD coupling simulation and optimization of an inside-filling air-blowing maize precision seed-metering device. Comput. Electron. Agric. 2018, 150, 426–438. [Google Scholar] [CrossRef]
- Zhang, K.X.; Sun, Y.Y.; Liu, L.; Liu, X.X.; Zhao, X.Y. Design and Test of Variable Diameter Pneumatic Drum Type Bean Seed Metering Device. INMATEH-Agric. Eng. 2020, 60, 9–18. [Google Scholar] [CrossRef]
- Singh, R.C.; Singh, G.; Saraswat, D.C. Optimisation of Design and Operational Parameters of a Pneumatic Seed Metering Device for Planting Cottonseeds. Biosyst. Eng. 2005, 92, 429–438. [Google Scholar] [CrossRef]
- Liu, Y.D.; Sun, X.Z. Design and Experimental Study of a Combined Pneumatic Plot Seed-metering Device for Cotton. Int. J. Eng. 2020, 33, 1652–1661. [Google Scholar] [CrossRef]
- Lei, X.L.; Hu, H.J.; Wu, W.C.; Liu, H.N.; Liu, L.Y.; Yang, W.H.; Zhou, Z.L.; Ren, W.J. Seed motion characteristics and seeding performance of a centralised seed metering system for rapeseed investigated by DEM simulation and bench testing. Biosyst. Eng. 2021, 203, 22–33. [Google Scholar] [CrossRef]
- Abdolahzare, Z.; Mehdizadeh, S.A. Real time laboratory and field monitoring of the effect of the operational parameters on seed falling speed and trajectory of pneumatic planter. Comput. Electron. Agric. 2018, 145, 187–198. [Google Scholar] [CrossRef]
- Gao, X.J.; Zhou, Z.Y.; Xu, Y.; Yu, Y.B.; Su, Y.; Cui, T. Numerical simulation of particle motion characteristics in quantitative seed feeding system. Powder Technol. 2020, 367, 643–658. [Google Scholar] [CrossRef]
- Li, Y.H.; Yang, L.; Zhang, D.X.; Cui, T.; Ding, L.; Wei, Y.N. Design and Experiment of Pneumatic Precision Seed-metering Device with Single Seed-metering Plate for Double-row. Trans. Chin. Soc. Agric. Mach. 2019, 50, 61–73. [Google Scholar] [CrossRef]
- Xue, P.; Xia, X.Y.; Gao, P.Y.; Ren, D.; Hao, Y.J.; Zheng, Z.; Zhang, J.C.; Zhu, R.X.; Hu, B.; Huang, Y.X. Double-Setting Seed-Metering Device for Precision Planting of Soybean at High Speeds. Trans. ASABE 2019, 62, 187–196. [Google Scholar] [CrossRef]
- Xing, H.; Wang, Z.M.; Luo, X.W.; He, S.Y.; Zang, Y. Mechanism modeling and experimental analysis of seed throwing with rice pneumatic seed metering device with adjustable seeding rate. Comput. Electron. Agric. 2020, 178, 105697. [Google Scholar] [CrossRef]
- Xin, Y.B.; Xing, Z.D.; Cui, T.; He, X.T.; Ding, Y.Q.; Yang, L. Design of pneumatic maize precision seed-metering device with synchronous rotating seed plate and vacuum chamber. Trans. Chin. Soc. Agric. Eng. 2017, 33, 15–23. [Google Scholar] [CrossRef]
- Xie, C.J.; Zhang, D.X.; Yang, L.; Cui, T.; Yu, T.C.; Wang, D.C.; Xiao, T.P. Experimental analysis on the variation law of sensor monitoring accuracy under different seeding speed and seeding spacing. Comput. Electron. Agric. 2021, 189, 106369. [Google Scholar] [CrossRef]
- Ding, S.P.; Bai, L.; Yao, Y.X.; Yue, B.; Fu, Z.L.; Zheng, Z.Q.; Huang, Y.X. Discrete element modelling (DEM) of fertilizer dual-banding with adjustable rates. Comput. Electron. Agric. 2018, 152, 32–39. [Google Scholar] [CrossRef]
- Yin, W.Q.; Zhao, L.; Li, H.; Hu, F.; Yu, H.M. Design and Experiment on Suction Nozzle Type Hole of Pneumatic-sheave Combined Vegetable Precision Metering Device. Trans. Chin. Soc. Agric. Mach. 2019, 50, 68–76. [Google Scholar] [CrossRef]
- Li, Y.D.; Song, Z.H.; Li, F.D.; Yan, Y.F.; Tian, F.Y.; Sun, X.Z. Design and Test of Combined Air Suction Cotton Breed Seeder. J. Eng. 2020, 2020, 7598164. [Google Scholar] [CrossRef]
- Jin, M.F.; Ding, Y.Q.; Yu, H.F.; Liu, H.T.; Jiang, Y.Z.; Fu, X.Q. Optimal Structure Design and Performance Tests of Seed metering Device with Fluted Rollers for Precision Wheat Seeding Machine. Int. Fed. Autom. Control 2018, 51, 509–514. [Google Scholar] [CrossRef]
- Li, Z.D.; Yang, W.C.; Wu, Y.Y.; He, S.; Wang, W.W.; Chen, L.Q. Performance analysis and experiments of seed filling assisted by groove-tooth of pneumatic disc precision metering device for rapeseed. Trans. Chin. Soc. Agric. Eng. 2005, 36, 57–66. [Google Scholar] [CrossRef]
- Lü, J.Q.; Yang, Y.; Li, Z.H.; Shang, Q.Q.; Li, J.C.; Liu, Z.Y. Design and experiment of an air-suction potato seed metering device. Int. J. Agric. Biol. Eng. 2016, 9, 33–42. [Google Scholar] [CrossRef]
- Shi, L.R.; Wu, J.M.; Sun, W.; Zhang, F.W.; Sun, B.G.; Liu, Q.W.; Zhao, W.Y. Simulation test for metering process of horizontal disc precision metering device based on discrete element method. Trans. Chin. Soc. Agric. Eng. 2014, 30, 40–48. [Google Scholar] [CrossRef]
- Wu, K.; Chen, J.; Lou, J.; Yu, Y.; Li, J. Design and Parameters Optimization of Pteris vittata Automatic Sowing Machine for Phytoremediation. Int. J. Eng. 2020, 33, 694–701. [Google Scholar] [CrossRef]
- Shi, L.R.; Sun, B.G.; Zhao, W.Y.; Yang, X.P.; Xin, S.L.; Wang, J.X. Optimization and Test of Performance Parameters of Elastic Air Suction Type Corn Roller Seed-metering Device. Trans. Chin. Soc. Agric. Mach. 2019, 50, 88–96. [Google Scholar] [CrossRef]
- Wang, J.W.; Qi, X.; Xu, C.S.; Wang, Z.M.; Jiang, Y.M.; Tang, H. Design Evaluation and Performance Analysis of the Inside-Filling Air-Assisted High-Speed Precision Maize Seed-Metering Device. Sustainability 2021, 13, 5483. [Google Scholar] [CrossRef]











| Parameter | Range | Mean | Standard Error |
|---|---|---|---|
| Length (mm) | 1.37–2.08 | 1.77 | 0.15 |
| Width (mm) | 1.33–1.91 | 1.68 | 0.13 |
| Thickness (mm) | 1.32–1.98 | 1.66 | 0.16 |
| Thousand seed mass (g) | 2.39–2.43 | 2.41 | 0.013 |
| Level | Factor | ||
|---|---|---|---|
| X1/kPa | X2/rpm | X3/° | |
| −1 | 0.5 | 10 | 45 |
| 0 | 2 | 25 | 60 |
| 1 | 3.5 | 40 | 75 |
| NO. | Experimental Factors | Results | |||||||
|---|---|---|---|---|---|---|---|---|---|
| X1 | X2 | X3 | Y1/% | Y2/% | Y3/% | Y4/% | Y5/% | Y6/% | |
| 1 | −1 | −1 | 0 | 82.88 | 13.21 | 84.02 | 13.12 | 83.33 | 13.31 |
| 2 | 1 | −1 | 0 | 83.21 | 4.86 | 90.56 | 4.13 | 89.98 | 3.96 |
| 3 | −1 | 1 | 0 | 83.56 | 5.56 | 86.32 | 2.84 | 86.68 | 2.68 |
| 4 | 1 | 1 | 0 | 86.65 | 2.26 | 83.37 | 3.36 | 82.84 | 3.42 |
| 5 | −1 | 0 | −1 | 85.12 | 3.56 | 98.64 | 0.37 | 98.43 | 0.41 |
| 6 | 1 | 0 | −1 | 82.45 | 2.68 | 85.46 | 4.33 | 87.41 | 4.56 |
| 7 | −1 | 0 | 1 | 83.45 | 12.89 | 98.13 | 0.82 | 98.11 | 0.75 |
| 8 | 1 | 0 | 1 | 90.32 | 4.24 | 98.73 | 0.94 | 98.25 | 1.03 |
| 9 | 0 | −1 | −1 | 92.85 | 4.98 | 83.32 | 5.68 | 83.45 | 5.43 |
| 10 | 0 | 1 | −1 | 91.21 | 2.12 | 97.96 | 0.35 | 98.14 | 0.29 |
| 11 | 0 | −1 | 1 | 89.12 | 10.12 | 92.56 | 5.11 | 93.01 | 5.36 |
| 12 | 0 | 1 | 1 | 96.12 | 3.12 | 84.12 | 3.89 | 84.33 | 3.95 |
| 13 | 0 | 0 | 0 | 98.25 | 0.46 | 82.56 | 12.65 | 82.69 | 12.35 |
| 14 | 0 | 0 | 0 | 98.46 | 0.82 | 88.91 | 12.43 | 89.46 | 12.37 |
| 15 | 0 | 0 | 0 | 97.38 | 1.2 | 95.82 | 3.53 | 96.38 | 3.61 |
| 16 | 0 | 0 | 0 | 98.25 | 0.24 | 90.68 | 2.63 | 91.46 | 2.57 |
| 17 | 0 | 0 | 0 | 98.12 | 0.21 | 97.45 | 0.51 | 96.69 | 0.48 |
| Performance Index | Source | Sum of Square | df | Mean Square | F Value | p Value |
|---|---|---|---|---|---|---|
| inner ring qualified index | Model | 641.89 | 9 | 71.32 | 121.43 | <0.0001 ** |
| X1 | 7.26 | 1 | 7.26 | 12.36 | 0.0098 ** | |
| X2 | 11.23 | 1 | 11.23 | 19.13 | 0.0033 ** | |
| X3 | 6.81 | 1 | 6.81 | 11.59 | 0.0114 * | |
| X1X2 | 1.90 | 1 | 1.90 | 3.24 | 0.1148 | |
| X1X3 | 22.75 | 1 | 22.75 | 38.74 | 0.0004 ** | |
| X2X3 | 18.66 | 1 | 18.66 | 31.77 | 0.0008 ** | |
| X12 | 464.52 | 1 | 464.52 | 790.89 | <0.0001 ** | |
| X22 | 51.98 | 1 | 51.98 | 88.50 | <0.0001 ** | |
| X32 | 21.38 | 1 | 21.38 | 36.41 | 0.0005 ** | |
| Residual | 4.11 | 7 | 0.5873 | |||
| Lack of fit | 3.42 | 3 | 1.14 | 6.58 | 0.0502 | |
| Pure Error | 0.6931 | 4 | 0.1733 | |||
| Cor Total | 646.01 | 16 | ||||
| inner ring missed seeding index | Model | 268.44 | 9 | 29.83 | 50.80 | <0.0001 ** |
| X1 | 56.07 | 1 | 56.07 | 95.51 | <0.0001 ** | |
| X2 | 50.55 | 1 | 50.55 | 86.10 | <0.0001 ** | |
| X3 | 36.25 | 1 | 36.25 | 61.75 | 0.0001 ** | |
| X1X2 | 6.38 | 1 | 6.38 | 10.86 | 0.0132 * | |
| X1X3 | 15.09 | 1 | 15.09 | 25.71 | 0.0014 ** | |
| X2X3 | 4.28 | 1 | 4.28 | 7.30 | 0.0306 * | |
| X12 | 46.47 | 1 | 46.47 | 79.14 | <0.0001 ** | |
| X22 | 27.69 | 1 | 27.69 | 47.16 | 0.0002 ** | |
| X32 | 15.76 | 1 | 15.76 | 26.84 | 0.0013 ** | |
| Residual | 4.11 | 7 | 0.5871 | |||
| Lack of fit | 3.40 | 3 | 1.13 | 6.40 | 0.0524 | |
| Pure Error | 0.7087 | 4 | 0.1772 | |||
| Cor Total | 272.55 | 16 |
| Performance Index | Source | Sum of Square | df | Mean Square | F Value | p Value |
|---|---|---|---|---|---|---|
| Middle ring qualified index | Model | 618.60 | 9 | 68.73 | 131.05 | <0.0001 ** |
| X1 | 6.86 | 1 | 6.86 | 13.09 | 0.0085 ** | |
| X2 | 11.50 | 1 | 11.50 | 21.92 | 0.0023 ** | |
| X3 | 6.55 | 1 | 6.55 | 12.49 | 0.0095 ** | |
| X1X2 | 0.5184 | 1 | 0.5184 | 0.9884 | 0.3533 | |
| X1X3 | 18.62 | 1 | 18.62 | 35.50 | 0.0006 ** | |
| X2X3 | 19.32 | 1 | 19.32 | 36.83 | 0.0005 ** | |
| X12 | 431.30 | 1 | 431.30 | 822.32 | <0.0001 ** | |
| X22 | 66.73 | 1 | 66.73 | 127.23 | <0.0001 ** | |
| X32 | 20.54 | 1 | 20.54 | 39.16 | 0.0004 ** | |
| Residual | 3.67 | 7 | 0.5245 | |||
| Lack of fit | 2.57 | 3 | 0.8579 | 3.13 | 0.1499 | |
| Pure Error | 1.10 | 4 | 0.2745 | |||
| Cor Total | 622.27 | 16 | ||||
| Middle ring missed seeding index | Model | 289.83 | 9 | 32.20 | 228.06 | <0.0001 ** |
| X1 | 40.41 | 1 | 40.41 | 286.18 | <0.0001 ** | |
| X2 | 66.01 | 1 | 66.01 | 467.48 | <0.0001 ** | |
| X3 | 39.52 | 1 | 39.52 | 279.85 | <0.0001 ** | |
| X1X2 | 8.76 | 1 | 8.76 | 62.05 | 0.0001 ** | |
| X1X3 | 16.08 | 1 | 16.08 | 113.88 | <0.0001 ** | |
| X2X3 | 10.30 | 1 | 10.30 | 72.97 | <0.0001 ** | |
| X12 | 37.60 | 1 | 37.60 | 266.31 | <0.0001 ** | |
| X22 | 30.21 | 1 | 30.21 | 213.93 | <0.0001 ** | |
| X32 | 29.53 | 1 | 29.53 | 209.16 | <0.0001 ** | |
| Residual | 0.9884 | 7 | 0.1412 | |||
| Lack of fit | 0.7009 | 3 | 0.2336 | 3.25 | 0.1423 | |
| Pure Error | 0.2875 | 4 | 0.0719 | |||
| Cor Total | 290.82 | 16 |
| Performance Index | Source | Sum of Square | df | Mean Square | F Value | p Value |
|---|---|---|---|---|---|---|
| Outer ring qualified index | Model | 600.93 | 9 | 66.77 | 187.92 | <0.0001 ** |
| X1 | 3.37 | 1 | 3.37 | 9.48 | 0.0179 * | |
| X2 | 13.11 | 1 | 13.11 | 36.89 | 0.0005 ** | |
| X3 | 2.45 | 1 | 2.45 | 6.90 | 0.0340 * | |
| X1X2 | 0.6320 | 1 | 0.6320 | 1.78 | 0.2241 | |
| X1X3 | 31.47 | 1 | 31.47 | 88.58 | <0.0001 ** | |
| X2X3 | 17.94 | 1 | 17.94 | 50.48 | 0.0002 ** | |
| X12 | 434.81 | 1 | 434.81 | 1223.72 | <0.0001 ** | |
| X22 | 50.83 | 1 | 50.83 | 143.06 | <0.0001 ** | |
| X32 | 14.76 | 1 | 14.76 | 41.53 | 0.0004 ** | |
| Residual | 2.49 | 7 | 0.3553 | |||
| Lack of fit | 0.5209 | 3 | 0.1736 | 0.3532 | 0.7905 | |
| Pure Error | 1.97 | 4 | 0.4916 | |||
| Cor Total | 603.42 | 16 | ||||
| Outer ring missed seeding index | Model | 287.86 | 9 | 31.98 | 182.45 | <0.0001 ** |
| X1 | 43.62 | 1 | 43.62 | 248.81 | <0.0001 ** | |
| X2 | 64.41 | 1 | 64.41 | 367.43 | <0.0001 ** | |
| X3 | 37.58 | 1 | 37.58 | 214.40 | <0.0001 ** | |
| X1X2 | 7.98 | 1 | 7.98 | 45.52 | 0.0003 ** | |
| X1X3 | 16.85 | 1 | 16.85 | 96.12 | <0.0001 ** | |
| X2X3 | 8.91 | 1 | 8.91 | 50.83 | 0.0002 ** | |
| X12 | 35.97 | 1 | 35.97 | 205.18 | <0.0001 ** | |
| X22 | 28.20 | 1 | 28.20 | 160.84 | <0.0001 ** | |
| X32 | 32.96 | 1 | 32.96 | 188.00 | <0.0001 ** | |
| Residual | 1.23 | 7 | 0.1753 | |||
| Lack of fit | 0.8735 | 3 | 0.2912 | 3.29 | 0.1399 | |
| Pure Error | 0.3537 | 4 | 0.0884 | |||
| Cor Total | 289.09 | 16 |
| Type | Position | Optimized Value | Actual Value |
|---|---|---|---|
| Qualified index/% | Inner ring | 95.12 | 95.05 |
| Middle ring | 94.68 | 93.98 | |
| Outer ring | 94.24 | 92.73 | |
| Missed seeding index/% | Inner ring | 3.67 | 4.12 |
| Middle ring | 3.12 | 3.56 | |
| Outer ring | 2.58 | 2.86 |
Publisher’s Note: MDPI stays neutral with regard to jurisdictional claims in published maps and institutional affiliations. |
© 2022 by the authors. Licensee MDPI, Basel, Switzerland. This article is an open access article distributed under the terms and conditions of the Creative Commons Attribution (CC BY) license (https://creativecommons.org/licenses/by/4.0/).
Share and Cite
Sun, X.; Li, H.; Qi, X.; Nyambura, S.M.; Yin, J.; Ma, Y.; Wang, J. Performance Parameters Optimization of a Three-Row Pneumatic Precision Metering Device for Brassica chinensis. Agronomy 2022, 12, 1011. https://doi.org/10.3390/agronomy12051011
Sun X, Li H, Qi X, Nyambura SM, Yin J, Ma Y, Wang J. Performance Parameters Optimization of a Three-Row Pneumatic Precision Metering Device for Brassica chinensis. Agronomy. 2022; 12(5):1011. https://doi.org/10.3390/agronomy12051011
Chicago/Turabian StyleSun, Xinping, Hua Li, Xindan Qi, Samuel Mbugua Nyambura, Jiaqiao Yin, Yunlong Ma, and Jinshuang Wang. 2022. "Performance Parameters Optimization of a Three-Row Pneumatic Precision Metering Device for Brassica chinensis" Agronomy 12, no. 5: 1011. https://doi.org/10.3390/agronomy12051011
APA StyleSun, X., Li, H., Qi, X., Nyambura, S. M., Yin, J., Ma, Y., & Wang, J. (2022). Performance Parameters Optimization of a Three-Row Pneumatic Precision Metering Device for Brassica chinensis. Agronomy, 12(5), 1011. https://doi.org/10.3390/agronomy12051011

