Assessing Variation of Soil Quality in Agroecosystem in an Arid Environment Using Digital Soil Mapping
Abstract
:1. Introduction
2. Materials and Methods
2.1. Study Area
2.2. Field Sampling and Soil Properties Analysis
2.3. Soil Quality Index (SQI) Assessment
2.3.1. Total Data Set (TDS) and Minimum Data Set (MDS)
2.3.2. Indicator Scoring
2.3.3. Weight Assignment and SQIs
2.3.4. Soil Quality (SQ) Grades and Comparison of Indices
2.4. Spatial Prediction of SQIs
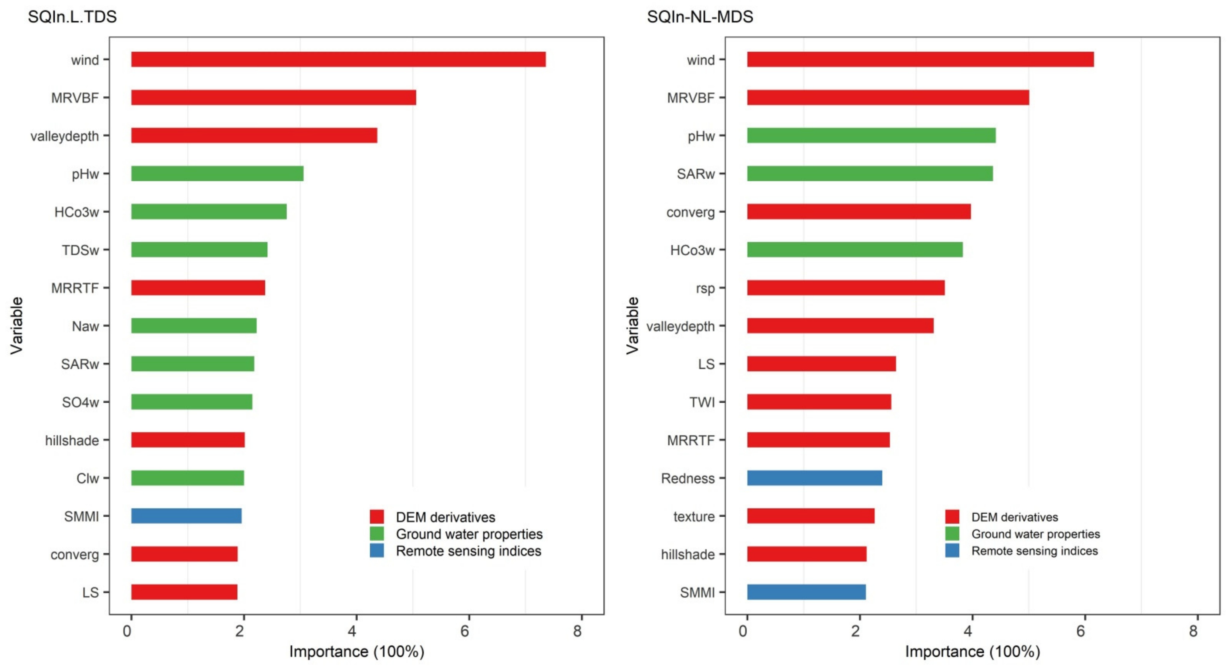
2.5. Variable Importance for Soil Quality Indicators (SQIs) Maps
2.6. Statistical Analysis
3. Results and Discussion
3.1. Descriptive Statistics of Soil Properties
3.2. Variation Changes of SQ through Different Cultivated Lands
3.2.1. TDS Indicator Method
3.2.2. MDS Indicator Method
3.3. Assessment of SQ Grades through Different Cultivated Lands
3.3.1. TDS Method
3.3.2. MDS Method
3.4. Indices Comparison and Evaluations
3.5. Prediction Map of SQ Grades
3.6. Environmental Variable Importance
4. Conclusions
Supplementary Materials
Author Contributions
Funding
Data Availability Statement
Acknowledgments
Conflicts of Interest
References
- Takoutsing, B.; Weber, J.; Aynekulu, E.; Martín, J.A.R.; Shepherd, K.; Sila, A.; Tchoundjeu, Z.; Diby, L. Assessment of soil health indicators for sustainable production of maize in smallholder farming systems in the highlands of Cameroon. Geoderma 2016, 276, 64–73. [Google Scholar] [CrossRef]
- Fathizad, H.; Ardakani, M.A.H.; Heung, B.; Sodaiezadeh, H.; Rahmani, A.; Fathabadi, A.; Scholten, T.; Taghizadeh-Mehrjardi, R. Spatio-temporal dynamic of soil quality in the central Iranian desert modeled with machine learning and digital soil assessment techniques. Ecol. Indic. 2020, 118, 106736. [Google Scholar] [CrossRef]
- Raiesi, F. A minimum data set and soil quality index to quantify the effect of land use conversion on soil quality and degradation in native rangelands of upland arid and semiarid regions. Ecol. Indic. 2017, 75, 307–320. [Google Scholar] [CrossRef]
- Ayoubi, S.; Mokhtari, J.; Mosaddeghi, M.R.; Zeraatpisheh, M. Erodibility of calcareous soils as influenced by land use and intrinsic soil properties in a semiarid region of central Iran. Environ. Monit. Assess. 2018, 190, 192. [Google Scholar] [CrossRef] [PubMed]
- Yu, P.; Liu, S.; Zhang, L.; Li, Q.; Zhou, D. Selecting the minimum data set and quantitative soil quality indexing of alkaline soils under different land uses in northeastern China. Sci. Total Environ. 2018, 616, 564–571. [Google Scholar] [CrossRef]
- Maleki, S.; Karimi, A.R.; Zeraatpisheh, M.; Poozeshi, R.; Feizi, H. Long-term cultivation effects on soil properties variations in different landforms in an arid region of eastern Iran. Catena 2021, 206, 105465. [Google Scholar] [CrossRef]
- Levi, N.; Karnieli, A.; Paz-Kagan, T. Using reflectance spectroscopy for detecting land-use effects on soil quality in drylands. Soil Tillage Res. 2020, 199, 104571. [Google Scholar] [CrossRef]
- Nabiollahi, K.; Taghizadeh-Mehrjardi, R.; Kerry, R.; Moradian, S. Assessment of soil quality indices for salt-affected agricultural land in Kurdistan Province, Iran. Ecol. Indic. 2017, 83, 482–494. [Google Scholar] [CrossRef]
- Mahmoodi-Eshkaftaki, M.; Rafiee, M.R. Optimization of irrigation management: A multi-objective approach based on crop yield, growth, evapotranspiration, water use efficiency and soil salinity. J. Clean. Prod. 2020, 252, 119901. [Google Scholar] [CrossRef]
- Martínez, F.D.G.; Castorena, E.V.G.; Uribe, V.V.E.; Alvarado, R.E.V.; Sáenz, E.O.; Castorena, M.D.C.G. Sustainability of the Soil Resource in Intensive Production with Organic Contributions. Agronomy 2022, 12, 67. [Google Scholar] [CrossRef]
- Nabiollahi, K.; Golmohamadi, F.; Taghizadeh-Mehrjardi, R.; Kerry, R.; Davari, M. Assessing the effects of slope gradient and land use change on soil quality degradation through digital mapping of soil quality indices and soil loss rate. Geoderma 2018, 318, 16–28. [Google Scholar] [CrossRef]
- Castro, F.C.; Araújoa, J.F.; dos Santos, A.M. Susceptibility to soil salinization in the quilombola community of Cupira-Santa Maria da Boa Vista-Pernambuco–Brazil. Catena 2019, 179, 175–183. [Google Scholar] [CrossRef]
- Nehrani, S.H.; Askari, M.S.; Saadat, S.; Delavar, M.A.; Taheri, M.M.; Holden, N.M. Quantification of soil quality under semiarid agriculture in the northwest of Iran. Ecol. Indic. 2020, 108, 105770. [Google Scholar] [CrossRef]
- Rahmanipour, F.; Marzaioli, R.; Bahrami, H.A.; Fereidouni, Z.; Bandarabadi, S.R. Assessment of soil quality indices in agricultural lands of Qazvin Province, Iran. Ecol. Indic. 2014, 40, 19–26. [Google Scholar] [CrossRef]
- Raiesi, F.; Kabiri, V. Identification of soil quality indicators for assessing the effect of different tillage practices through a soil quality index in a semiarid environment. Ecol. Indic. 2016, 71, 198–207. [Google Scholar] [CrossRef]
- Zeraatpisheh, M.; Bakhshandeh, E.; Hosseini, M.; Alavi, S.M. Assessing the effects of deforestation and intensive agriculture on the soil quality through digital soil mapping. Geoderma 2020, 363, 114139. [Google Scholar] [CrossRef]
- Andrews, S.S.; Karlen, D.L.; Cambardella, C.A. The Soil Management Assessment Framework. Soil Sci. Soc. Am. J. 2004, 68, 1945–1962. [Google Scholar] [CrossRef]
- Andrews, S.S.; Carroll, C.R. Designing a Soil Quality Assessment Tool for Sustainable Agroecosystem Management. Ecol. Appl. 2001, 11, 1573–1585. [Google Scholar] [CrossRef]
- Rajković, D.; Jeromela, A.M.; Pezo, L.; Lončar, B.; Zanetti, F.; Monti, A.; Špika, A.K. Yield and Quality Prediction of Winter Rapeseed—Artificial Neural Network and Random Forest Models. Agronomy 2022, 12, 58. [Google Scholar] [CrossRef]
- McBratney, A.B.; Santos, M.L.M.; Minasny, B. On digital soil mapping. Geoderma 2003, 117, 3–52. [Google Scholar] [CrossRef]
- Zeraatpisheh, M.; Ayoubi, S.; Jafari, A.; Tajik, S.; Finke, P. Digital mapping of soil properties using multiple machine learning in a semi-arid region, central Iran. Geoderma 2019, 338, 445–452. [Google Scholar] [CrossRef]
- Lamichhane, S.; Kumar, L.; Wilson, B. Digital soil mapping algorithms and covariates for soil organic carbon mapping and their implications: A review. Geoderma 2019, 352, 395–413. [Google Scholar] [CrossRef]
- Maleki, S.; Khormali, F.; Mohammadi, J.; Bogaert, P.; Bodaghabadi, M.B. Effect of the accuracy of topographic data on improving digital soil mapping predictions with limited soil data: An application to the Iranian loess plateau. Catena 2020, 195, 104810. [Google Scholar] [CrossRef]
- Banaei, M.H. The Map of Resources and Land Capability of Iran Soils; Soil and Water Research Institute: Karaj, Iran, 2000. (In Persian) [Google Scholar]
- Ganjehie, M.G.; Karimi, A.R.; Zeinadini, A.; Khorassani, R. Relationship of soil properties with yield and morphological parameters of pistachio in geomorphic surfaces of Bajestan playa, Northeastern Iran. J. Agric. Sci. Technol. 2018, 20, 417–432. [Google Scholar]
- Page, A.L.; Miller, R.H.; Keeney, D.R. Methods of soil analysis. In Chemical and Microbiological Properties, No. 9, 2nd ed.; Part 2; ASA: Madison, WI, USA, 1982; pp. 595–623. [Google Scholar]
- Nelson, D.W.; Sommers, L.E. Total carbon, organic carbon, and organic matter. In Methods of Soil Analysis, Agronomy Monograph 9, 2nd ed.; Part 2; Page, A.L., Miller, H., Keeney, D.R., Eds.; ASA: Madison, WI, USA, 1982; pp. 539–577. [Google Scholar]
- Thomas, G.W. Soil pH and Soil Acidity. In Methods of Soil Analysis, Chemical Methods; Soil Science Society of America Book Series No. 5; Part 3; Soil Science Society of America: Madison, WI, USA, 1996. [Google Scholar]
- Rhoades, J.D. Soluble salts. In Methods of Soil Analysis: Chemical and Microbiological Properties, Monograph Number 9, 2nd ed.; Part 2; Page, A.L., Miller, H., Keeney, D.R., Eds.; ASA: Madison, WI, USA, 1982; pp. 167–179. [Google Scholar]
- Gee, G.W.; Bauder, J.W. Particle size analysis. In Methods of Soil Analysis; Part 1; Klute, A., Ed.; American Society of Agronomy: Madison, WI, USA, 1986; pp. 383–411. [Google Scholar]
- Bremner, J.; Mulvaney, C. Nitrogen-total. In Methods of Soil Analysis, Chemical and Microbiological Properties; Part 2; American Society of Agronomy: Madison, WI, USA, 1982; pp. 595–624. [Google Scholar]
- Olsen, S.R.; Sommers, L.E. Phosphorus. In Methods of Soil Analysis, Chemical and Microbiological Properties; Part 2; Page, A.L., Miller, H., Keeney, D.R., Eds.; American Society of Agronomy: Madison, WI, USA, 1982; pp. 403–429. [Google Scholar]
- Knudsen, D.; Peterson, G.A.; Pratt, P.F. Lithium, sodium and potassium. In Methods of Soil Analysis, Chemical and Microbiological Properties; Part 2; Page, A.L., Miller, H., Keeney, D.R., Eds.; American Society of Agronomy: Madison, WI, USA, 1982; pp. 225–246. [Google Scholar]
- Tucker, B.B.; Kurtz, L.T. Calcium and Magnesium Determinations by EDTA Titrations. Soil Sci. Soc. Am. J. 1961, 25, 27–29. [Google Scholar] [CrossRef]
- Vasu, D.; Singh, S.K.; Ray, S.K.; Duraisami, V.P.; Tiwary, P.; Chandran, P.; Nimkar, A.M.; Anantwar, S.G. Soil quality index (SQI) as a tool to evaluate crop productivity in semiarid Deccan plateau, India. Geoderma 2016, 282, 70–79. [Google Scholar] [CrossRef]
- Andrews, S.S.; Flora, C.B.; Mitchell, J.P.; Karlen, D.L. Growers’ perceptions and acceptance of soil quality indices. Geoderma 2003, 114, 187–213. [Google Scholar] [CrossRef]
- Liebig, M.A.; Varvel, G.; Doran, J. A Simple Performance-Based Index for Assessing Multiple Agroecosystem Functions. Agron. J. Am. Soc. Agron. 2001, 93, 313–318. [Google Scholar] [CrossRef] [Green Version]
- Johnson, R.A.; Wichern, D. Applied Multivariate Statistical Analysis; Prentice-Hall: Englewood Cliffs, NJ, USA, 1992. [Google Scholar]
- Sione, S.M.J.; Wilson, M.G.; Lado, M.; González, A.P. Evaluation of soil degradation produced by rice crop systems in a Vertisol, using a soil quality index. Catena 2017, 150, 79–86. [Google Scholar] [CrossRef]
- SAS Institute, Inc. SAS/STAT User’s Guide; SAS Institute Inc.: Cary, NC, USA, 2013. [Google Scholar]
- Zeraatpisheh, M.; Jafari, A.; Bodaghabadi, M.B.; Ayoubi, S.; Taghizadeh-Mehrjardi, R.; Toomanian, N.; Kerry, R.; Xu, M. Conventional and digital soil mapping in Iran: Past, present, and future. Catena 2020, 188, 104424. [Google Scholar] [CrossRef]
- Olaya, V.F. A Gentle Introduction to Saga GIS; University of Göttingen: Göttingen, Germany, 2004; p. 208. [Google Scholar]
- Chen, Y.; Qiu, Y.; Zhang, Z.; Zhang, J.; Chen, C.; Han, J.; Liu, D. Estimating salt content of vegetated soil at different depths with Sentinel-2 data. PeerJ 2020, 8, e10585. [Google Scholar] [CrossRef] [PubMed]
- APHA. Standard Methods for the Examination of Water and Wastewater, 19th ed.; American Public Health Association: Washington, DC, USA, 1998. [Google Scholar]
- Zhi, J.; Zhang, G.; Yang, F.; Yang, R.; Liu, F.; Song, X.; Zhao, Y.; Li, D. Predicting mattic epipedons in the northeastern Qinghai-Tibetan Plateau using Random Forest. Geoderma Reg. 2017, 10, 1–10. [Google Scholar] [CrossRef]
- R Development Core Team. A Language and Environment for Statistical Computing; R Foundation for Statistical Computing: Vienna, Austria, 2015; Available online: http://www.R-project.org (accessed on 15 July 2020).
- Brungard, C.W.; Boettinger, J.L.; Duniway, M.C.; Wills, S.A.; Edwards, T.C., Jr. Machine learning for predicting soil classes in three semiarid landscapes. Geoderma 2015, 239-240, 68–83. [Google Scholar] [CrossRef] [Green Version]
- Pahlavan-Rad, M.R.; Akbarimoghaddam, A. Spatial variability of soil texture fractions and pH in a flood plain (case study from eastern Iran). Catena 2018, 160, 275–281. [Google Scholar] [CrossRef]
- Juhos, K.; Czigány, S.; Madarász, B.; Ladányi, M. Interpretation of soil quality indicators for land suitability assessment—A multivariate approach for Central European arable soils. Ecol. Indic. 2019, 99, 261–272. [Google Scholar] [CrossRef]
- Zhang, G.; Bai, J.; Xi, M.; Zhao, Q.; Lu, Q.; Jia, J. Soil quality assessment of coastal wetlands in the Yellow River Delta of China based on the minimum data set. Ecol. Indic. 2016, 66, 458–466. [Google Scholar] [CrossRef] [Green Version]
- Nie, X.; Guo, W.; Huang, B.; Zhuo, M.; Li, D.; Li, Z.; Yuan, Z. Effects of soil properties, topography and landform on the understory biomass of a pine forest in a subtropical hilly region. Catena 2019, 176, 104–111. [Google Scholar] [CrossRef]
- Emami, H.; Astaraei, A.R.; Fotovat, A. Evaluating The Effect of Organic Matter on Soil Quality Score Functions. J. Water Soil 2014, 28, 565–574. (In Persian) [Google Scholar]
- Da Silva, A.F.; Barbosa, A.P.; Zimback, C.R.L.; Landim, P.M.B.; Soares, A. Estimation of croplands using indicator kriging and fuzzy classification. Comput. Electron. Agric. 2015, 111, 565–574. [Google Scholar] [CrossRef]
- Chaudhuri, S.; McDonald, L.M.; Skousen, J.; Pena-Yewtukhiw, E.M. Soil Organic Carbon Molecular Properties: Effects of Time Since Reclamation in a Minesoil Chronosequence. Land Degrad. Dev. 2015, 26, 237–248. [Google Scholar] [CrossRef]
- Ayoubi, S.; Sadeghi, N.; Afshar, F.A.; Abdi, M.R.; Zeraatpisheh, M.; Rodrigo-Comino, J. Impacts of oak deforestation and rainfed cultivation on soil redistribution processes across hillslopes using 137Cs techniques. For. Ecosyst. 2021, 8, 237–248. [Google Scholar] [CrossRef]
- Mohammed, S.; Abdo, H.G.; Szabo, S.; Pham, Q.B.; Holb, I.J.; Linh, N.T.T.; Anh, D.T.; Alsafadi, K.; Mokhtar, A.; Kbibo, I.; et al. Estimating human impacts on soil erosion considering different hillslope inclinations and land uses in the coastal region of Syria. Water 2020, 12, 2786. [Google Scholar] [CrossRef]
- Mohammed, S.; Alsafadi, K.; Talukdar, S.; Kiwan, S.; Hennawi, S.; Alshihabi, O.; Sharaf, M.; Harsanyie, E. Estimation of soil erosion risk in southern part of Syria by using RUSLE integrating geo informatics approach. Remote Sens. Appl. Soc. Environ. 2020, 20, 100375. [Google Scholar] [CrossRef]
- Cui, G.; Lu, Y.; Zheng, C.; Liu, Z.; Sai, J. Relationship between Soil Salinization and Groundwater Hydration in Yaoba Oasis, Northwest China. Water 2019, 11, 175. [Google Scholar] [CrossRef] [Green Version]








| Variable | Unit | Mean | Minimum | Median | Maximum | StDev | CV% | Skewness | Kurtosis |
|---|---|---|---|---|---|---|---|---|---|
| EC | (dS m−1) | 7.19 | 0.14 | 5.58 | 46.60 | 6.11 | 84.94 | 2.31 | 9.39 |
| pH | - | 7.85 | 6.10 | 7.85 | 9.62 | 0.51 | 6.44 | −0.13 | 1.99 |
| SP | (%) | 30.35 | 18.00 | 29.10 | 54.23 | 5.83 | 19.21 | 0.66 | 0.94 |
| CCE | (%) | 17.55 | 2.00 | 17.25 | 45.00 | 7.59 | 43.26 | 1.10 | 3.06 |
| SOC | (%) | 0.59 | 0.02 | 0.35 | 3.06 | 0.58 | 99.24 | 1.54 | 2.04 |
| TN | (%) | 0.06 | 0.00 | 0.03 | 0.91 | 0.08 | 135.39 | 6.62 | 68.86 |
| Pav | (mg kg−1) | 11.64 | 0.20 | 8.00 | 80.00 | 12.06 | 103.66 | 2.43 | 7.92 |
| Kav | (mg kg−1) | 215.40 | 17.00 | 199.00 | 695.00 | 107.68 | 49.99 | 1.16 | 1.96 |
| Caaq | (meq L−1) | 21.91 | 1.50 | 21.40 | 73.60 | 13.54 | 61.80 | 0.83 | 1.05 |
| Mgaq | (meq L−1) | 10.54 | 0.60 | 8.00 | 56.00 | 7.94 | 75.31 | 2.50 | 9.16 |
| Naaq | (meq L−1) | 41.65 | 0.46 | 26.80 | 272.00 | 43.03 | 103.33 | 1.68 | 4.00 |
| SAR | - | 11.06 | 0.46 | 9.00 | 41.00 | 9.44 | 85.32 | 0.86 | 0.04 |
| Indicator | TDS | MDS | ||
|---|---|---|---|---|
| COM a | Weight | COM | Weight | |
| EC (dS m−1) | 0.785 | 0.079 | - | - |
| pH | 0.893 | 0.090 | 0.676 | 0.128 |
| SP (%) | 0.773 | 0.078 | - | - |
| CCE (%) | 0.857 | 0.086 | 0.875 | 0.166 |
| SOC (%) | 0.828 | 0.084 | 0.821 | 0.156 |
| TN (%) | 0.799 | 0.081 | - | - |
| Pav (mg kg−1) | 0.691 | 0.070 | - | - |
| Kav (mg kg−1) | 0.774 | 0.078 | - | - |
| Caaq (meq L−1) | 0.859 | 0.087 | 0.990 | 0.188 |
| Mgaq (meq L−1) | 0.797 | 0.080 | - | - |
| Naaq (meq L−1) | 0.929 | 0.094 | 0.940 | 0.179 |
| SAR | 0.921 | 0.093 | 0.959 | 0.182 |
| Land Cover | Pistachio | Barley | Pomegranate | Saffron | Pr > F |
|---|---|---|---|---|---|
| N | 99 | 29 | 50 | 45 | - |
| EC (dS m−1) | 9.58 a | 9.44 a | 4.13 b | 3.88 b | 0.0001 ** |
| pH | 7.74 b | 7.87 ab | 7.97 a | 7.95 ab | 0.0283 * |
| SP (%) | 29.33 b | 27.35 b | 32.60 a | 32.02 a | 0.0001 ** |
| CCE (%) | 17.69 ab | 20.04 a | 15.82 b | 17.54 ab | 0.0237 * |
| SOC (%) | 0.29 c | 0.45 c | 1.16 a | 0.70 b | 0.0001 ** |
| TN (%) | 0.03 c | 0.04 bc | 0.11 a | 0.06 b | 0.0001 ** |
| Pav (mg kg−1) | 7.16 c | 5.97 c | 21.65 a | 14.00 b | 0.0001 ** |
| Kav (mg kg−1) | 197.10 cb | 165.00 c | 260.80 a | 237.70 ab | 0.0001 ** |
| Caaq (meq L−1) | 23.63 a | 22.59 a | 16.14 b | 24.10 a | 0.007 ** |
| Mgaq (meq L−1) | 11.21 a | 10.27 a | 10.80 a | 8.94 a | 0.4577 ns |
| Naaq (meq L−1) | 59.52 a | 51.66 a | 22.91 b | 16.69 b | 0.0001 ** |
| SAR | 15.19 a | 13.42 a | 6.72 b | 5.27 b | 0.0001 ** |
| Land Cover | Pistachio | Barley | Pomegranate | Saffron |
|---|---|---|---|---|
| N | 99 | 29 | 50 | 45 |
| SQI-w-L-TDS | 0.456 b | 0.455 b | 0.539 a | 0.523 a |
| SQI-w-NL-TDS | 0.369 b | 0.370 b | 0.562 a | 0.539 a |
| SQI-n-L-TDS | 0.300 c | 0.300 c | 0.361 a | 0.345 b |
| SQI-n-NL-TDS | 0.238 b | 0.240 b | 0.370 a | 0.355 a |
| SQI-w-L-MDS | 0.544 b | 0.555 b | 0.626 a | 0.628 a |
| SQI-w-NL-MDS | 0.374 b | 0.386 b | 0.529 a | 0.564 a |
| SQI-n-L-MDS | 0.333 b | 0.374 b | 0.391 a | 0.392 a |
| SQI-n-NL-MDS | 0.223 b | 0.238 b | 0.328 a | 0.339 a |
| PCs a | PC1 | PC2 | PC3 | PC4 | PC5 |
|---|---|---|---|---|---|
| Eigenvalue | 3.46 | 2.08 | 1.38 | 1.23 | 0.99 |
| Percent | 28.90 | 17.30 | 11.50 | 10.20 | 8.10 |
| Cumulative percent | 28.90 | 46.20 | 57.70 | 68.00 | 76.10 |
| Eigenvectors | |||||
| EC (dS m−1) | 0.43 | 0.23 | 0.16 | 0.03 | 0.06 |
| pH | −0.14 | 0.03 | 0.43 | −0.48 | −0.06 |
| SP (%) | −0.15 | 0.31 | 0.19 | 0.40 | −0.40 |
| CCE (%) | 0.15 | 0.07 | −0.40 | 0.35 | 0.58 |
| SOC (%) | −0.31 | 0.40 | −0.01 | −0.28 | 0.21 |
| TN (%) | −0.27 | 0.35 | −0.03 | −0.27 | 0.31 |
| Pav (mg kg−1) | −0.28 | 0.38 | −0.04 | 0.18 | 0.17 |
| Kav (mg kg−1) | −0.12 | 0.38 | 0.18 | 0.43 | −0.21 |
| Caaq (meq L−1) | 0.25 | 0.24 | −0.44 | −0.18 | −0.44 |
| Mgaq (meq L−1) | 0.26 | 0.37 | −0.35 | −0.28 | −0.15 |
| Naaq (meq L−1) | 0.45 bc | 0.25 | 0.22 | −0.05 | 0.07 |
| SAR | 0.40 | 0.13 | 0.44 | 0.03 | 0.26 |
| Index | Indicator Method | SSF | Soil Quality Grades | ||||
|---|---|---|---|---|---|---|---|
| I (Very High) | II (High) | III (Moderate) | IV (Low) | V (Very Low) | |||
| SQIw | TDS | Linear | >0.568 | 0.506–0.568 | 0.444–0.506 | 0.382–0.444 | <0.382 |
| MDS | Linear | >0.691 | 0.608–0.691 | 0.525–0.608 | 0.442–0.525 | <0.442 | |
| TDS | Non-linear | >0.639 | 0.529–0.639 | 0.418–0.529 | 0.307–0.418 | <0.307 | |
| MDS | Non-linear | >0.718 | 0.575–0.718 | 0.432–0.575 | 0.289–0.432 | <0.289 | |
| SQIn | TDS | Linear | >0.393 | 0.347–0.393 | 0.303–0.347 | 0.258–0.303 | <0.258 |
| MDS | Linear | >0.468 | 0.407–0.468 | 0.347–0.407 | 0.286–0.347 | <0.286 | |
| TDS | Non-linear | >0.447 | 0.367–0.447 | 0.288–0.367 | 0.208–0.288 | <0.208 | |
| MDS | Non-linear | >0.478 | 0.382–0.478 | 0.287–0.382 | 0.191–0.287 | <0.191 | |
| Index | Data Set | Land Cover | Very High (I) * | High (II) | Moderate (III) | Low (IV) | Very Low (V) | |||||
|---|---|---|---|---|---|---|---|---|---|---|---|---|
| Linear ** | Non-Linear | Linear | Non-Linear | Linear | Non-Linear | Linear | Non-Linear | Linear | Non-Linear | |||
| SQIw | TDS | Total area | 9.42 | 10.76 | 27.80 | 21.52 | 41.70 | 22.42 | 16.59 | 22.87 | 4.48 | 22.42 |
| Pomegranate | 4.93 | 5.38 | 11.66 | 10.76 | 5.83 | 4.48 | 0.00 | 1.79 | 0.00 | 0.00 | ||
| Pistachio | 0.00 | 0.45 | 6.28 | 2.69 | 23.32 | 10.76 | 11.21 | 14.35 | 3.59 | 16.14 | ||
| Saffron | 4.48 | 4.48 | 8.07 | 7.17 | 6.73 | 4.93 | 0.90 | 2.69 | 0.00 | 0.90 | ||
| Barley | 0.00 | 0.45 | 1.79 | 0.90 | 5.83 | 2.24 | 4.48 | 4.04 | 0.90 | 5.38 | ||
| MDS | Total area | 6.28 | 4.04 | 31.39 | 21.08 | 39.01 | 29.15 | 18.39 | 25.11 | 4.93 | 20.63 | |
| Pomegranate | 1.35 | 0.45 | 13.00 | 7.17 | 8.07 | 10.76 | 0.00 | 4.04 | 0.00 | 0.00 | ||
| Pistachio | 0.90 | 0.90 | 7.17 | 2.24 | 18.83 | 12.11 | 13.45 | 13.45 | 4.04 | 15.70 | ||
| Saffron | 3.14 | 2.24 | 9.87 | 9.87 | 5.38 | 4.04 | 1.79 | 2.24 | 0.00 | 1.79 | ||
| Barley | 0.90 | 0.45 | 1.35 | 1.79 | 6.73 | 2.24 | 3.14 | 5.38 | 0.90 | 3.14 | ||
| SQIn | TDS | Total area | 5.38 | 4.93 | 23.32 | 21.08 | 37.67 | 20.18 | 27.35 | 29.60 | 6.28 | 24.22 |
| Pomegranate | 4.04 | 1.35 | 11.66 | 13.00 | 5.83 | 4.48 | 0.90 | 3.59 | 0.00 | 0.00 | ||
| Pistachio | 0.00 | 0.45 | 1.79 | 0.45 | 19.73 | 8.52 | 17.94 | 17.94 | 4.93 | 17.04 | ||
| Saffron | 1.35 | 3.14 | 8.52 | 6.28 | 8.52 | 5.38 | 1.79 | 4.48 | 0.00 | 0.90 | ||
| Barley | 0.00 | 0.00 | 1.35 | 1.35 | 3.59 | 1.79 | 6.73 | 3.59 | 1.35 | 6.28 | ||
| MDS | Total area | 3.59 | 4.04 | 16.14 | 8.97 | 35.87 | 30.04 | 35.87 | 28.70 | 8.52 | 28.25 | |
| Pomegranate | 2.24 | 0.45 | 4.04 | 3.59 | 12.11 | 10.31 | 4.04 | 8.07 | 0.00 | 0.00 | ||
| Pistachio | 0.00 | 0.90 | 3.59 | 0.90 | 13.45 | 9.42 | 20.18 | 12.56 | 7.17 | 20.63 | ||
| Saffron | 0.90 | 2.24 | 6.73 | 3.59 | 7.62 | 8.52 | 4.93 | 4.04 | 0.00 | 1.79 | ||
| Barley | 0.45 | 0.45 | 1.79 | 0.90 | 2.69 | 1.79 | 6.73 | 4.04 | 1.35 | 5.83 | ||
| SQI | RMSE | R2 | MAE | RMSE + SD | R2 + SD | MAE + SD | mtry |
|---|---|---|---|---|---|---|---|
| SQIw-L-TDS | 0.049 | 0.373 | 0.038 | 0.005 | 0.099 | 0.004 | 24 |
| SQIw-NL-TDS | 0.111 | 0.373 | 0.092 | 0.013 | 0.131 | 0.011 | 54 |
| SQIw-L-MDS | 0.075 | 0.174 | 0.061 | 0.009 | 0.114 | 0.008 | 31 |
| SQIw-NL-MDS | 0.146 | 0.273 | 0.120 | 0.012 | 0.116 | 0.009 | 39 |
| SQIn-L-TDS | 0.033 | 0.391 | 0.026 | 0.003 | 0.114 | 0.002 | 31 |
| SQIn-NL-TDS | 0.074 | 0.393 | 0.062 | 0.008 | 0.111 | 0.007 | 31 |
| SQIn-NL-MDS | 0.088 | 0.254 | 0.072 | 0.007 | 0.102 | 0.006 | 9 |
| SQIn-L-MDS | 0.051 | 0.152 | 0.040 | 0.004 | 0.073 | 0.003 | 9 |
Publisher’s Note: MDPI stays neutral with regard to jurisdictional claims in published maps and institutional affiliations. |
© 2022 by the authors. Licensee MDPI, Basel, Switzerland. This article is an open access article distributed under the terms and conditions of the Creative Commons Attribution (CC BY) license (https://creativecommons.org/licenses/by/4.0/).
Share and Cite
Maleki, S.; Zeraatpisheh, M.; Karimi, A.; Sareban, G.; Wang, L. Assessing Variation of Soil Quality in Agroecosystem in an Arid Environment Using Digital Soil Mapping. Agronomy 2022, 12, 578. https://doi.org/10.3390/agronomy12030578
Maleki S, Zeraatpisheh M, Karimi A, Sareban G, Wang L. Assessing Variation of Soil Quality in Agroecosystem in an Arid Environment Using Digital Soil Mapping. Agronomy. 2022; 12(3):578. https://doi.org/10.3390/agronomy12030578
Chicago/Turabian StyleMaleki, Sedigheh, Mojtaba Zeraatpisheh, Alireza Karimi, Gholamhossein Sareban, and Lin Wang. 2022. "Assessing Variation of Soil Quality in Agroecosystem in an Arid Environment Using Digital Soil Mapping" Agronomy 12, no. 3: 578. https://doi.org/10.3390/agronomy12030578
APA StyleMaleki, S., Zeraatpisheh, M., Karimi, A., Sareban, G., & Wang, L. (2022). Assessing Variation of Soil Quality in Agroecosystem in an Arid Environment Using Digital Soil Mapping. Agronomy, 12(3), 578. https://doi.org/10.3390/agronomy12030578

