Abstract
The phototaxis of insects is closely related to light source factors, such as spectrum and light intensity. The cane grub, Exolontha castanea Chang (Coleoptera: Melolonthidae), is an important underground pest of sugarcane in Guangxi province of China. To clarify the effect of spectral sensitivity and light intensity response on the phototactic behavior of E. castanea, the phototactic behavior responses of male and female adults to 13 monochromatic lights in the wavelength range of 365–630 nm and different light intensities were measured. We found that both male and female adults had positive phototaxis to 13 monochromatic lights. The phototactic response rate of males and females at ultraviolet and violet light was the highest in the wavelength range of 365–420 nm. Among them, the most sensitive spectrum of females and males was at 365 nm and 420 nm, respectively. From the intensity response of phototactic behavior to different spectrum, the G1 (strong phototaxis) response rates of females at 365 nm and males at 420 nm were the highest. In addition, the phototactic response rate of females and males increased with the light intensity, showing a significant positive correlation. This study showed that the spectrum and light intensity were the key factors affecting the phototactic behavior of E. castanea. The sensitive spectrum of males and females were different, with a similar trend in phototaxis.
1. Introduction
Sugarcane is the major sugar crop in China, contributing more than 90% of the sugar produced nationally [1]. Guangxi province is the largest sugarcane production region in China, which constitutes more than 60% of the total cultivated area of China [2]. The contribution of Guangxi has made China the third biggest sugar producer in the world [1,3]. Sugarcane is affected by biotic and abiotic stressors, and under the sugarcane agro-ecosystem, arthropod pests are among the key constraints that impact sugarcane yield and quality [4,5,6,7]. Underground pests are the big group of sugarcane pests in China, such as grubs [8,9], longhorn beetles [10], and termites [11] with economic damage on both the plant and ratoon stages. Under severe pest outbreak, significant economic losses to sugarcane yield and sugar quality can be observed.
The cane grub, Exolontha castanea Chang (Coleoptera: Melolonthidae), is an important underground pest of sugarcane that is mainly distributed in Guangxi and Hainan provinces of China and in northern Vietnam [6,8]. This pest mainly damages sugarcane at the larval stage (white grub) by feeding voraciously on sugarcane roots and stools in the soil, resulting in short stunted plants and yellow leaves. In case of severe infestation, sugarcane plants ultimately dry off and die, resulting in cane lodging and finally crop losses at harvest [12]. Recently, infestation of E. castanea has been increasing, and it has become more serious in Laibin, Liuzhou, and Chongzuo cities in Guangxi. Especially in 2010, the population density of E. castanea larvae in the field reached 315,000 individuals/ha in Laibin, causing serious economic loss [12]. For a long time, chemical pesticides have been the main method to control cane grubs under sugarcane field conditions in China [13,14]. However, this strategy is not eco-friendly because of the inappropriate control timing and the mismatch of combined pesticides. In addition, due to the long-term and often excessive use of chemical pesticides, negative effects such as insect resistance, adverse side effects on humans, natural enemies, and pollution of soil and water, the use of environmentally sound tactics has raised greater attention [15,16].
Light trap is a technology that uses the phototaxis of pests to attract and kill pests [17,18,19]. It is one of the reliable and important measures of eco-friendly control of pest populations within the fields especially for adult beetles of the order Coleoptera [20,21]. At present, light trapping technology has been widely used in the monitoring and control of agricultural and forestry pests in several parts of the world with positive and promising results [22,23,24]. Previous studies have shown that most species of scarab beetles on sugarcane have strong phototaxis to light traps [25,26]. Due to these facts, light trapping has very wide popularization and application prospects in the control of sugarcane scarab beetles. Our previous light trapping experiments in the field showed that adults of E. castanea had positive phototaxis, but the phototaxis of males and females were very different. Females accounted for more than 95% of the total adults trapped. However, this phenomenon was independent of the number of male and female individuals in the natural population [27]. At present, the mechanism of phototaxis difference between males and females of E. castanea is not clear.
There were many previous studies on the sexual differences of insect phototaxis. For example, the females of Holotrichia oblita Hope, Holotrichia parallela Motschulsky, and Serica orientalis Motschulsky had stronger phototaxis than the males [28,29]. In contrast, the males of Ostrinia furnacalis (Guenée) and Spodoptera exigua (Hübner) had stronger phototaxis than the females [30,31]. Previous studies showed that the phototaxis difference between males and females was related to compound eye structure, opsin gene, age, mating status, flight ability, light source etc. [32,33,34]. Among them, the difference of sensitive spectrum between male and female adults is the main factor leading to the sexual difference of insect phototaxis [35,36,37].
Spectrum and light intensity are classified as important light source factors affecting the phototaxis of insects [38,39]. Different species of insects have different spectral ranges and sensitive wavelengths [40,41]. Generally, the phototaxis of insects increases with the increase in light intensity [18,39], while some insects show the opposite behavioral response [29,42]. Here, to understand the effects of spectral sensitivity and light intensity on the phototactic behavior of male and female adults of E. castanea, and whether the sexual differences of their phototaxis are related to light source factors (spectrum and light intensity), its response to 13 monochromatic lights and different light intensities were measured in this study. It is expected to pave the way and develop the research and development of light trapping and provide a technical solution for effective control of this pest.
2. Materials and Methods
2.1. Insects Source
In May 2020, adults of E. castanea were collected by light trap with a 450W self-ballasted high-pressure mercury vapor lamp (Shanghai Yaming Lighting Co., Ltd., Shanghai, China) from sugarcane fields (23°40′20″ N, 108°58′17″ E) in Qianjiang Town, Laibin City, Guangxi, China. The individuals were placed in a plastic box (length 35 cm, width 23 cm, height 11 cm) containing soil with 18% water content to lay eggs. After hatching, larvae were fed on pieces of sugarcane stalks (Cultivar ROC 22), which were changed every 10 days. When the larvae were matured, they were reared in transparent glass bottles (diameter 6 cm, height 10 cm), individually. These bottles were observed every day to check pupation and emergence. Ten to fifteen days after emergence, female and male adults were selected for our tests.
2.2. Soil Preparation as Feeding Source
Soil samples were taken from the same sugarcane field where E. castanea were collected, and they were air-dried and sterilized at 120 °C (dry heat) in a blast-drying oven (DHG-9146A, Shanghai Jinghong Experimental Equipment Co., Ltd., Shanghai, China) for 8 h. In addition, pure water was used to prepare the soil with 18% water content.
2.3. Optical Path System
The optical path system consisted of an analog sunlight xenon lamp source (CEL-S500, Beijing China Education Au-light Co., Ltd., Beijing, China). The light source was a high-pressure xenon lamp (HPXL) of 500 W. At the light outlet, UVREF (ultraviolet reflection filter) or VISREF (visible reflection filter) with monochromatic filters (QD type, Beijing China Education Au-light Co., Ltd., Beijing, China) of different wavelengths were used to obtain monochromatic lights of 365 nm, 380 nm, 400 nm, 420 nm, 435 nm, 450 nm, 475 nm, 500 nm, 520 nm, 550 nm, 578 nm, 600 nm, and 630 nm, respectively (Figure 1a). The light intensity was adjusted by controlling the resistance of the power supply device and measured with an Illuminometer (GM1030, Shenzhen Jumaoyuan Technology Co., Ltd., Shenzhen, Guangdong, China). The light intensity of the experiment was set as 50 lux for the phototactic reaction experiment of different spectra.
Figure 1.
Optical path system and response device of phototactic behavior of Exolontha castanea adults. (a) Optical path system; (b) Response device of phototactic behavior. G1 indicates the strong phototaxis of adults (i.e., the adults fly toward the light source and out of the device through the hole), G2 indicates the medium phototaxis of adults (i.e., the adults fly toward the light source but stop halfway), and G3 indicates the weak phototaxis of adults (i.e., the adults climb to the light area but do not fly toward the light source).
2.4. Phototactic Behavior Reaction Device
The phototactic behavior reaction device of E. castanea adults was made with cardboard. It had an L-shaped split structure and was divided into three parts, namely, a phototactic reaction chamber (length 120 cm, width 40 cm, height 40 cm), a photophobic reaction chamber (length 120 cm, width 40 cm, height 40 cm), and an activity chamber (length 40 cm, width 40 cm, height 40 cm) (Figure 1b). To better simulate a dark environment, a black sponge cloth was glued on the inner wall of the device. Movable baffles were arranged at both ends of the activity chamber. A light hole (diameter 22 cm) was arranged at the top of the phototactic reaction chamber, and a light source was placed 35 cm away from the light hole. Then, we covered the light source and the top of the phototactic reaction chamber with nylon gauze to prevent insects from escaping. In addition, in order to determine the reaction intensity of phototactic behavior of insects, the phototactic reaction chamber was divided into three parts (indicating three grades) according to the distance from the light source, namely:
Grade 1 (G1): strong phototaxis (i.e., the adults fly toward the light source and out of the device through the light hole).
Grade 2 (G2): medium phototaxis (i.e., the adults fly toward the light source but stop halfway).
Grade 3 (G3): weak phototaxis (i.e., the adults climb to the light area but do not fly toward the light source).
2.5. Effect of Spectrum on Phototactic Behavior of Males and Females
The experiment was carried out in a dark room at a temperature of 28 ± 1 °C and a relative humidity of 60 ± 5%. According to the activity habits of adults, this experiment was conducted from 18:30 to 22:30 every day. To make the status of compound eye of insects tested consistent, insects were dark adapted for 2 h before the experiment. There were 13 monochromatic light treatments from 365 to 630 nm (Figure 1a). Ten insects (females and males tested separately) were used in each group with six replicates. Insects once tested were not reused. During the experiment, the insects were placed in the activity chamber for 10 min, and then, the movable baffles at both ends were pulled out. The duration of each illumination lasted 20 min. The number of insects in the phototactic reaction chamber, photophobic reaction chamber, and activity chamber were counted, and the response rate of phototactic behavior and photophobic behavior were calculated. To reduce the experimental error, only insects of the same sex were tested on the same day, and the next day, another sex to the same monochromatic light was tested. To eliminate the influence of odor, ethanol was sprayed on the inner wall of the device after experiments every day.
2.6. Effect of Light Intensity on Phototactic Behavior of Males and Females
According to the above experimental results in Section 2.5, the sensitive wavelengths of female and male were 365 nm and 420 nm, respectively. According to the light intensity range of the two-wavelength monochromatic light (the light intensity range was 8–115 lux at 365 nm and 17–320 lux at 420 nm), three kinds of light intensity were set, respectively: (1) light intensity at 365 nm with 10 lux, 50 lux, and 100 lux; and (2) light intensity at 420 nm was 20 lux, 100 lux, and 300 lux. Ten insects were tested in each group and replicated six times. The insects tested once were not reused. The method was the same as above.
2.7. Statistical Analyses
All data were analyzed using SPSS 22.0 (SPSS Inc., Chicago, IL, USA). The data were checked for normality and homoscedasticity before performing ANOVA. Data were analyzed by Tukey’s HSD (honestly significant difference) test (one-way ANOVA) when they met the normal distribution and homogeneity of variance at the 0.05 level, otherwise by Kruskal–Wallis one-way ANOVA (k samples) (independent samples, nonparametric tests). Briefly, the phototactic response rates of females and males to different spectra and light intensities were tested by Tukey’s HSD. The photophobic response rates and phototactic response intensity (G1, G2, and G3) of females and males to different spectra were tested by Kruskal–Wallis. The spectral sensitivity of females and males were compared by t-test (independent samples, when data met the normal distribution) or Mann–Whitney U test (independent samples, when data did not meet the normal distribution). Correlation analysis between the light intensity and phototactic response rate of females and males was performed by Pearson correlation analysis.
3. Results
3.1. Spectral Sensitivity of Females and Males
Females had positive phototaxis to 13 monochromatic light with wavelengths ranging from 365 to 630 nm, and the phototactic response rate decreases gradually with the increase in wavelength (Figure 2a). The response rate of phototactic behavior showed significant difference among different wavelengths, ranging from 30.00% to 88.33% (F = 10.036; df = 12,65; p < 0.001). It could be seen that females were sensitive to 365–420 nm ultraviolet and violet light, and in this wavelength range, the phototactic response rates were more than 70%. Among them, the highest was at 365 nm, up to 88.33%. The response rate for green, yellow, and red light at 520–630 nm was relatively lower. With the exception of 500 nm, females had a certain negative phototaxis to other spectra, and the response rates of photophobic behavior were less than 20% (Figure 2c).
Figure 2.
Behavioral responses of females and males of Exolontha castanea to different wavelengths. (a) Phototactic behavior of females; (b) Phototactic behavior of males; (c) Photophobic behavior of females; (d) Photophobic behavior of males. (a,b) Data are means ± SE, different lowercase letters indicate significant differences between wavelengths (Tukey’s HSD test, p < 0.05). (c,d) The upper and lower sides of the box plot are 75% and 25% quantiles, respectively. The line in the middle of the box represents the median of the data. The square are mean. Different lowercase letters indicate significant differences between wavelengths (Kruskal–Wallis test, p < 0.05).
Similar to females, males also had significantly different (F = 10.976; df = 12,65; p < 0.001) phototactic behavior response to 13 monochromatic light, the response rates ranged from 31.67% to 93.33% (Figure 2b). Males were sensitive to ultraviolet, violet, and blue light at 365–435 nm, and the phototactic response rate was more than 70%. Different from females, the phototactic response rate of males first increased and then decreased gradually with the increase in wavelength, and they were most sensitive to violet light at 420 nm with the highest response rate reaching 93.33% (compared to 365 nm for females). In addition, males had negative phototaxis at 365 nm, 380 nm, 475 nm, 500 nm, 520 nm, and 550 nm, and the response rate of photophobic behavior was very low, less than 5%, with no significant difference among all wavelength treatments (χ2 = 18.782; df = 12; p = 0.094) (Figure 2d).
3.2. Phototactic Response Intensity of Females and Males
Reaction intensities of females to light of different spectra were different. In the ultraviolet light and violet light region of 365–420 nm, the G1 (strong phototaxis) response rates were above 20%, and the response rate at 365 nm was the highest, up to 30.00%, which were significantly different from those of other treatments (χ2 = 51.365; df = 12; p < 0.001) (Figure 3a). However, there was no G1 behavior at the green and yellow light region of 520–578 nm. With the exception for 630 nm, the G2 (medium phototaxis) response rates of other spectral treatments ranged from 10% to 25%, with no significant difference (p > 0.05) (Figure 3c). Similar to G1, the reaction rate of G3 decreased gradually with the increase in wavelength and was the highest at 365 nm (χ2 = 24.764; df = 12; p = 0.016) (Figure 3e). In addition, in the ultraviolet and violet regions of 365–435 nm (except 400 nm), the reaction rates of G3 were higher than those of G1 and G2, indicating the weak phototaxis of more insects.
Figure 3.
Phototactic reaction intensity of females and males of Exolontha castanea to different wavelengths. (a) G1 of females; (b) G1 of males; (c) G2 of females; (d) G2 of males; (e) G3 of females; (f) G3 of males. The upper and lower sides of the box plot are 75% and 25% quantiles, respectively. The line in the middle of the box represents the median of the data. The square are mean. Different lowercase letters indicate significant differences between wavelengths (Kruskal–Wallis test, p < 0.05).
Unlike females, males had G1, G2, and G3 phototactic behavior to all monochromatic light. The phototactic response rate of G1 first increased and then decreased with the increase in wavelength, with the highest response rate of 45% at 420 nm (Figure 3b). This was significantly different from that of monochromatic light at other wavelengths (χ2 = 30.732; df = 12; p = 0.002). In each spectral treatment, the phototactic response rate of G2 (except for 600 nm) and G3 ranged from 10% to 35%, and there was no significant difference between different wavelength treatments (p > 0.05) (Figure 3d,f).
3.3. Comparison of Spectral Sensitivity between Males and Females at the Same Spectrum
We compared the difference of G1, G2, G3, and total phototactic response rate between males and females at different spectra (Figure 4). The total phototactic response rates of both males and females at 365 nm (t = 3.297; p = 0.008) and 450 nm (t = −2.607; p = 0.026) were significantly different. At 365 nm, the phototactic response rate of females was higher (88.33%) than that of males (71.67%), but an opposite trend was evident at 450 nm spectra. By comparing the response rate of G1, it can be seen that there were significant difference between the phototactic response rates of males and females at 420 nm (t = −3.081; p = 0.012), 450 nm (Z = −2.091; p = 0.041), and 520 nm (Z = −2.739; p = 0.015); the phototactic response rate of males was significantly higher than that of females. In summary, females were more sensitive to ultraviolet light, while males were more sensitive to violet light.
Figure 4.
Comparative p-value heatmap of phototactic responses of females and males at different wavelengths. * significant at p < 0.05 level, ** significant at p < 0.01 level by t-test or Mann–Whitney U test. + The phototactic response rate of females was higher than that of males, − on the contrary.
3.4. Effects of Light Intensity on Phototactic Behavior of Females
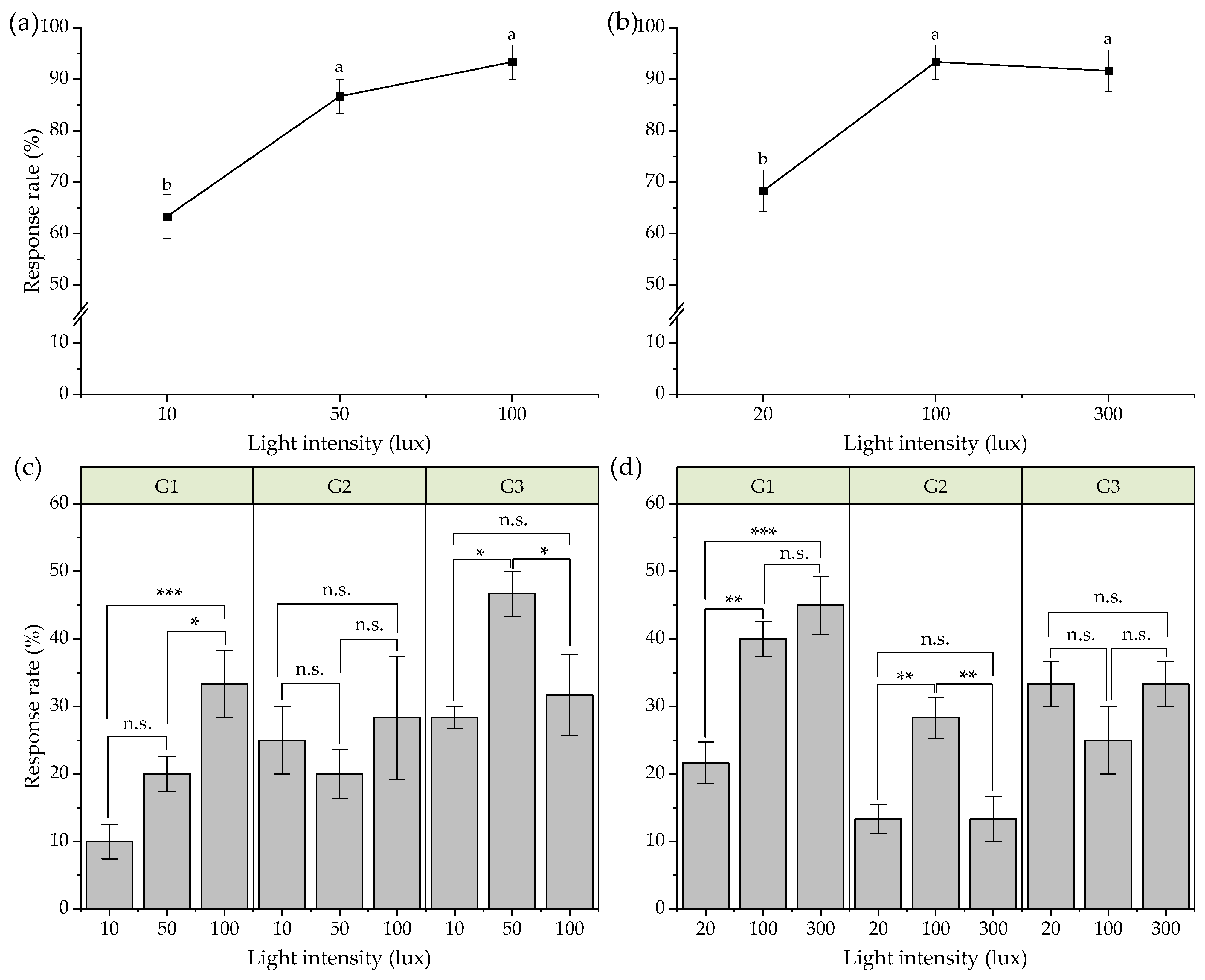
Under the light intensity of 10 lux, 50 lux, and 100 lux at 360 nm, the phototactic response rate of females increased with the light intensity, showing a very significant positive correlation (r = 0.786; p < 0.001) (Figure 5a). The highest response rate was 93.33% at 100 lux; the lowest was 63.33% at 10 lux, which was significantly different from that of the other two light intensity treatments (F = 18.611; df = 2,15; p < 0.001) (Figure 6a).
Figure 5.
Correlation analysis between light intensity and phototactic response rate of adults. (a) females; (b) males. * significant at p < 0.05 level, ** significant at p < 0.01 level, *** significant at p < 0.001 level by Pearson correlation analysis.
Figure 6.
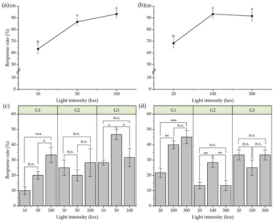
Phototactic behavioral responses of females and males to different light intensities. Phototactic rate (a) and phototactic reaction intensity (c) of females to different light intensities at 365 nm; phototactic rate (b) and phototactic reaction intensity (d) of males to different light intensities at 420 nm. (a,b) Data are means ± SE, different lowercase letters indicate significant differences between light intensity (Tukey’s HSD, p < 0.05); (c,d) data are means ± SE, * significant at p < 0.05 level, ** significant at p < 0.01 level, *** significant at p < 0.001 level, n.s. no significant difference, by Tukey’s HSD test.
The phototactic response rate of G1 of females increased with light intensity, showing a very significant positive correlation (r = 0.769; p < 0.001) (Figure 5a). Among them, the response rate at 100 lux was the highest (33.33%), which was significantly different from other light intensity treatments (F = 10.882; df = 2,15; p = 0.001) (Figure 6c).
3.5. Effects of Light Intensity on Phototactic Behavior of Males
The light intensity shows a significant positive correlation with the total phototactic response of males (r = 0.544; p = 0.020) (Figure 5b). The phototactic response rates at 100 lux and 300 lux were 93.33% and 91.67%, respectively (Figure 6b). The response rate of 20 lux was the lowest (68.33%), which was significantly different from the other two light intensity treatments (F = 13.562; df = 2,15; p < 0.001).
Under the three light intensities, the phototactic response rate of G1 of males increased with light intensity, showing a very significant positive correlation (r = 0.676; p = 0.002) (Figure 5b). The phototactic response rate at 300 lux was the highest (45%) and at 20 lux was the lowest (21.67%), which was significantly different from other light intensity treatments (F = 13.145; df = 2,15; p = 0.001). There was no significant difference among light intensities of G3 (p > 0.05) (Figure 6d).
4. Discussion
Light source is an important external factor stimulating insects to phototaxis, and the sensitivity of insects to light was highly wavelength-dependent [38,43]. The majority of insects are trichromatic vision, and there are three photoreceptors in their compound eyes, i.e., ultraviolet light sensitive, green light sensitive, and blue light sensitive, so that it is more sensitive to the light of these three bands [44,45]. The results of this study showed that female and male adults of E. castanea had positive phototaxis to 365–630 nm monochromatic light and were sensitive to ultraviolet and violet light in the range of 365–420 nm, which was similar to that of other species of scarab beetles [28,46,47].
In this study, we found that females had the highest phototactic response rate at 365 nm, while males had the highest phototactic response rate at 420 nm. Moreover, the phototaxis of females was stronger than that of males in the ultraviolet region of 365 nm and 380 nm, while the phototaxis of males was stronger than that of females in the violet and blue light region of 400–450 nm. By comparison, we found that there were significant sexual differences in phototaxis between females and males at 365 nm, 420 nm, and 450 nm. It can also be considered that the difference of sensitive spectra is one of the reasons for their sexual differences in phototaxis. Whether the difference of phototaxis between male and female adults of E. castanea is related to compound eye structure, photosensitive mechanism, and opsin needs to be further studied in the future. On the other hand, we found that the difference of phototaxis between females and males in this study was not as large as that in the field [27], which may be related to the development, flight ability, mating status, and living habits of males and females. It needs to be confirmed by further research.
By observing the trajectory of the phototactic behavior of insects, it is found that moths fly close to the light source in spiral mode [48], while scarab beetles fly in a straight line close to the light [49,50]. We also found that adults of E. castanea flew in a straight line close to the light source during light trapping in the field. However, some adults did not fly to the lamp, staying on the leaves of the light-irradiated area, which may be related to the intensity of the individual phototactic behavior response. Therefore, in this study, the phototactic reaction intensity was analyzed by measuring the displacement distance of male and female adults in the phototactic reaction chamber, and this method was similar to Baliota et al. 2021 [51]. The phototactic reaction chamber was divided into three grades in this study, i.e., G1, G2, and G3. During the experiment, it could be concluded that most female and male adults crawled from the activity chamber to the G3 reaction chamber and then remained in a static state with no intention to fly to the lamp. It showed that their phototaxis was relatively weak. G2 showed that the adults had the intention to fly to the lamp, but they stopped halfway. More importantly, G1 showed that adults have strong phototaxis and can fly straight toward the light source. The results of this study showed that the G1 phototaxis response rate of females and males was high at 365–420 nm, which makes it more clear that males and females were more sensitive to light in this wavelength range.
Light intensity is also an important factor affecting the phototactic behavior of insects. Under the same spectrum, insects prefer a light source with strong light intensity [39,52]. In this study, we also found the same behavior for E. castanea adults. The phototactic response rate of females and males of E. castanea increased with the increasing light intensity. In addition, the response rate of G1 of males and females increased with light intensity.
Finally, this study was carried out in the laboratory, and the environmental conditions and the status of insects tested were undoubtedly different from those in the actual field. Therefore, there is a need for further experimental verification in the field for the light-trapping conditions of E. castanea at the sensitive spectrum in the future.
5. Conclusions
In this study, we tested the phototactic behavior of male and female adults of E. castanea under 13 monochromatic light at 365–630 nm. It was concluded that the males and females had a certain positive phototaxis to 13 kinds of monochromatic light, and the phototactic response was higher in the ultraviolet and violet regions of 365–420 nm. Moreover, the phototactic response rate of females was the highest at 365 nm, while that of males was the highest at 420 nm, indicating that their sensitive spectra were different. In addition, light intensity plays an important role in the phototaxis of adults. Under the same spectrum, the phototactic response rate of females and males increased with the increase in light intensity. In conclusion, we believe that spectrum and light intensity are the key factors affecting the phototactic behavior of adults of E. castanea. From the perspective of application, light trapping can be used as an important measure for green control of this pest in the field.
Author Contributions
Conceptualization, X.-K.S., W.L. and C.-H.H.; methodology, X.-K.S., W.L. and J.-L.W.; formal analysis, X.-K.S.; investigation, X.-K.S., X.-H.P. and J.-L.W.; data curation, X.-K.S.; writing—original draft preparation, X.-K.S. and X.-H.P.; writing—review and editing, X.-K.S., J.-L.W., C.-H.H., F.-R.G. and A.N.; supervision, C.-H.H.; project administration, X.-K.S.; funding acquisition, X.-K.S. and C.-H.H. All authors have read and agreed to the published version of the manuscript.
Funding
This research was funded by the Natural Science Foundation of Guangxi Province (2020GXNSFAA259016), the Agriculture Research System of China (CARS-170305), and the Guangxi Academy of Agriculture Sciences Foundation (GNK2021YT003).
Institutional Review Board Statement
Not applicable.
Informed Consent Statement
Not applicable.
Data Availability Statement
The datasets used and/or analyzed during the current study are available from the corresponding author on reasonable request.
Conflicts of Interest
The authors declare no conflict of interest.
References
- Li, Y.R.; Yang, L.T. Sugarcane agriculture and sugar industry in China. Sugar Tech 2015, 17, 1–8. [Google Scholar] [CrossRef]
- Li, B.Y. The present situation, problems and countermeasures of sugarcane cultivation in Guangxi. Chin. J. Trop. Agric. 2018, 38, 119–127. [Google Scholar]
- Li, Y.R. Innovation and prospect of sugarcane in Guangxi. J. Guangxi Agric. 2019, 34, 1–7. [Google Scholar]
- Goebel, F.R.; Sallam, N. New pest threats for sugarcane in the new bioeconomy and how to manage them. Curr. Opin. Env. Sust. 2011, 3, 81–89. [Google Scholar] [CrossRef]
- Rossato, J.A.S.; Costa, G.H.G.; Madaleno, C.L.; Mutton, M.J.R.; Higley, L.G.; Fernandes, O.A. Characterization and impact of the sugarcane borer on sugarcane yield and quality. Agron. J. 2013, 105, 643–648. [Google Scholar] [CrossRef]
- Huang, C.H.; Wang, B.H. Management of Sugarcane Diseases and Pests; Guangxi Science and Technology Press: Nanning, China, 2014; pp. 2–164. [Google Scholar]
- Huang, C.H.; Shang, X.K.; Wei, J.L.; Pan, X.H. Investigation on the species of sugarcane borers in sugarcane planting areas of Guangxi. Plant Prot. 2021, 47, 186–190. [Google Scholar]
- Gong, H.L.; An, Y.X. Underground Insect Pests of Sugar Crops in China; Jinan University Press: Guangzhou, China, 2010; pp. 7–65. [Google Scholar]
- Long, X.Z.; Yu, Y.H.; Peng, M.G.; Zeng, X.R.; Wei, D.W.; Wang, Z.Y.; Zeng, T.; Jiang, X.D. Occurrence and damage of cockchafer in sugarcane planting areas of Guangxi and its comprehensive prevention strategy. J. South. Agric. 2015, 46, 1038–1041. [Google Scholar]
- Yu, Y.H.; Zeng, T.; Wei, D.W.; Zeng, X.R.; Li, L.F.; Wang, Z.Y. Damage status of Dorysthenes granulosus (Thomson) and its control strategies in Guangxi sugarcane region. Guangxi Agric. Sci. 2006, 37, 545–547. [Google Scholar]
- Deng, T.J.; Zhang, Y.J.; Lu, Y.Y.; Zhang, W.J.; Liu, L.H. Sugarcane damages caused by termite and dominant termite populations in Guangxi. J. South. Agric. 2017, 48, 1009–1013. [Google Scholar]
- Shang, X.K.; Huang, C.H.; Ouyang, J.; Wei, X.; Pan, Z.L.; Pan, X.H.; Wei, J.L.; Wang, B.H. Damage and control of Exolontha castanea Chang in Laibin sugarcane area of Guangxi. Plant Prot. 2016, 42, 193–196. [Google Scholar]
- Shang, X.K.; Huang, C.H.; Wang, B.H. Research progress on chemical control of sugarcane beetles in China. J. South. Agric. 2011, 42, 1229–1232. [Google Scholar]
- Xie, J.J.; Yang, J.X.; Yang, C.Q.; Zhou, R.Q.; Wu, G.; Chen, S.; Luo, Q.W. Effects of 4% imidacloprid-bisultap granule on sugarcane pests and the effects on sugarcane yield. Chin. Plant Prot. 2021, 41, 83–85. [Google Scholar]
- Gong, H.L.; Sun, D.L.; Chen, L.J.; Zhao, H.H.; An, Y.X. Monitoring and management of insecticide resistance in Alissonotum impressicolle Arrow. Sugarcane Canesugar 2016, 4, 23–31. [Google Scholar]
- Tang, F.H.M.; Lenzen, M.; McBratney, A.; Maggi, F. Risk of pesticide pollution at the global scale. Nat. Geosci. 2021, 14, 206–210. [Google Scholar] [CrossRef]
- Baker, G.H.; Tann, C.R.; Fitt, G.P. A tale of two trapping methods: Helicoverpa spp. (Lepidoptera, Noctuidae) in pheromone and light traps in Australian cotton production systems. Bull. Entomol. Res. 2011, 101, 9–23. [Google Scholar] [CrossRef]
- Sang, W.; Huang, Q.Y.; Wang, X.P.; Guo, S.H.; Lei, C.L. Progress in research on insect phototaxis and future prospects for pest light-trap technology in China. Chin. J. Appl. Entomol. 2019, 56, 907–916. [Google Scholar]
- Pan, H.; Liang, G.; Lu, Y. Response of different insect groups to various wavelengths of light under field conditions. Insects 2021, 12, 427. [Google Scholar] [CrossRef]
- Wei, J.; Kong, D.S.; Sun, M.H.; Hui, X.H.; Zhao, Y.L. The influence of peanut grubs occurrence degree by frequency trembler grid lamps in peanut field. Chin. Plant Prot. 2008, 28, 17–19. [Google Scholar]
- Chong, J.H.; Hinson, K.R. A comparison of trap types for assessing diversity of Scarabaeoidea on South Carolina golf courses. J. Econ. Entomol. 2015, 108, 2383–2396. [Google Scholar] [CrossRef][Green Version]
- Shimoda, M.; Honda, K. Insect reactions to light and its applications to pest management. Appl. Entomol. Zool. 2013, 48, 413–421. [Google Scholar] [CrossRef]
- Erler, F.; Bayram, Y. Efficacy of mass trapping of tomato moth, Tuta absoluta (Meyrick, 1917) (Lepidoptera: Gelechiidae), using a new-designed light trap in reducing leaf and fruit damages in greenhouse-grown tomatoes. J. Plant Dis. Protect. 2021, 128, 1177–1185. [Google Scholar] [CrossRef]
- Specht, A.; Sosa-Gómez, D.R.; Rios, D.A.M.; Claudino, V.C.M.; Paula-Moraes, S.V.; Malaquias, J.V.; Silva, F.A.M.; Roque-Specht, V.F. Helicoverpa armigera (Hübner) (Lepidoptera: Noctuidae) in Brazil: The big outbreak monitored by light traps. Neotrop. Entomol. 2021, 50, 53–67. [Google Scholar] [CrossRef] [PubMed]
- Wu, S.R.; Xiong, G.R.; Yang, B.P.; Zhan, R.L.; Cai, W.W.; Yang, N.B.; Li, G.P.; Zhang, S.Z. Population dynamics of phototactic insect in the sugarcane producing regions of Hainan province. Chin. J. Trop. Crops. 2013, 34, 2430–2435. [Google Scholar]
- Shang, X.K.; Huang, C.H.; Pan, X.H.; Wei, J.L.; Yang, Z.W.; Chen, J.X. Species composition and occurrence dynamics of scarabs under light traps in Beihai sugarcane area of Guangxi. J. Plant Prot. 2017, 44, 693–694. [Google Scholar]
- Shang, X.K.; Wei, J.L.; Liu, W.; Pan, X.H.; Huang, C.H.; Nikpay, A.; Goebel, F.R. Investigating population dynamics and sex structure of Exolontha castanea Chang (Coleoptera: Melolonthidae) using light traps in sugarcane fields in China. Sugar Tech 2022, 1–8. [Google Scholar] [CrossRef]
- Qu, Q.; Qu, M.J.; Chen, J.F.; Zhao, Z.Q.; Niu, H.L.; Zhou, Q.; Yu, S.L. The influence of spectral and sexual differences on phototaxis action of several kinds of beetles. Chin. Bull. Entomol. 2010, 47, 512–516. [Google Scholar]
- Lü, F.; Hai, X.X.; Fan, F.; Zhou, X.; Liu, S. The phototactic behavior of oriental brown chafer Serica orientalis to different monochromatic lights and light intensities. J. Plant Prot. 2016, 43, 656–661. [Google Scholar]
- Xu, L. Research on the Phototaxis of Harmonia axyridis, Ostrinia furnacalis and Bemisia tabaci. Master’s Thesis, Hunan Agricultural University, Changsha, China, 2016. [Google Scholar]
- Cheng, W.J.; Zheng, X.L.; Wang, P.; Zhou, L.L.; Si, S.Y.; Wang, X.P. Male-biased capture in light traps in Spodoptera exigua (Lepidoptera: Noctuidae): Results from the studies of reproductive activities. J. Insect Behav. 2016, 29, 368–378. [Google Scholar] [CrossRef]
- Meyer-Rochow, V.B.; Lau, T.F.S. Sexual dimorphism in the compound eye of the moth Operophtera brumata (Lepidoptera, Geometridae). Invertebr. Biol. 2008, 127, 201–216. [Google Scholar] [CrossRef]
- Cheng, W.J.; Zheng, X.L.; Wang, P.; Lei, C.L.; Wang, X.P. Sexual difference of insect phototactic behavior and related affecting factors. Chin. J. Appl. Ecol. 2011, 22, 3351–3357. [Google Scholar]
- Wen, C.; Ji, Y.C.; Zhang, G.Y.; Tan, S.B.; Wen, J.B. Phototactic behaviour of Eucryptorrhynchus scrobiculatus and E. brandti (Coleoptera: Curculionidae) adults. Biocontrol Sci. Technol. 2018, 28, 544–561. [Google Scholar] [CrossRef]
- Wei, G.S.; Zhang, Q.W.; Zhou, M.Z.; Wu, W.G. Studies on the phototaxis of Helicoverpa armigera Hubner. Acta Biophys. Sin. 2000, 16, 89–94. [Google Scholar]
- Miljeteig, C.; Olsen, A.J.; Båtnes, A.S.; Jenssen, B.M. Sex and life stage dependent phototactic response of the marine copepod Calanus finmarchicus (Copepoda: Calanoida). J. Exp. Mar. Biol. Ecol. 2014, 451, 16–24. [Google Scholar] [CrossRef]
- Liu, Q.; Gao, H.H.; Liu, S.; Zhai, Y.F.; Wei, G.S.; Yu, Y. A comparative study on the phototaxis behaviors of Drosophila suzukii and D. melanogaster. J. Plant Prot. 2019, 46, 499–500. [Google Scholar]
- Kim, K.N.; Huang, Q.Y.; Lei, C.L. Advances in insect phototaxis and application to pest management: A review. Pest Manag. Sci. 2019, 75, 3135–3143. [Google Scholar] [CrossRef]
- Kecskeméti, S.; Geösel, A.; Fail, J.; Egri, Á. In search of the spectral composition of an effective light trap for the mushroom pest Lycoriella ingenua (Diptera: Sciaridae). Sci. Rep. 2021, 11, 12770. [Google Scholar] [CrossRef]
- Fakhari, H.; Karimzadeh, J.; Moharramipour, S.; Ahadiyat, A.; Doranian, D. Phototactic behavior of Trialeurodes vaporariorum Westwood (Hemiptera: Aleyrodidae) under visible wavelengths. J. Asia-Pac. Entomol. 2020, 23, 1181–1187. [Google Scholar] [CrossRef]
- Wang, Q.Z.; Guo, Z.; Zhang, J.T.; Chen, Y.S.; Zhou, J.Y.; Pan, Y.L.; Liu, X.P. Phototactic behavioral response of the ectoparasitoid beetle Dastarcus helophoroides (Coleoptera: Bothrideridae): Evidence for attraction by near-infrared light. J. Econ. Entomol. 2021, 114, 1549–1556. [Google Scholar] [CrossRef]
- Yang, X.Y. Study on Microstructure of the Compound Eye and Phototactic Behavior of Athetis lepigone. Master’s Thesis, Agricultural University of Hebei, Baoding, China, 2015. [Google Scholar]
- Johansen, N.S.; Vänninen, I.; Pinto, D.M.; Nissinen, A.I.; Shipp, L. In the light of new greenhouse technologies: 2. Direct effects of artificial lighting on arthropods and integrated pest management in greenhouse crops. Ann. Appl. Biol. 2011, 159, 1–27. [Google Scholar] [CrossRef]
- Jing, X.F.; Lei, C.L. Advances in research on phototaxis of insects and the mechanism. Entomol. Knowl. 2004, 41, 198–202. [Google Scholar]
- Warrant, E.; Nilsson, D.E. Invertebrate Vision; Cambridge University Press: Cambridge, UK, 2006; pp. 1–42. [Google Scholar]
- Jiang, Y.L.; Guo, Y.Y.; Wu, Y.Q.; Li, T.; Duan, Y.; Miao, J.; Gong, Z.J.; Huang, Z.J. Spectral sensitivity of the compound eyes of Anomala corpulenta Motschulsky (Coleoptera: Scarabaeoidea). J. Integr. Agr. 2015, 14, 706–713. [Google Scholar] [CrossRef]
- Xu, Y.L.; Pan, H.S.; Liang, G.M.; Yang, Y.Z.; Lu, Y.H. Field evaluation of light-emitting diodes with different wavelengths as traps of Anomala corpulenta and Holotrichia parallela. Xinjiang Agric. Sci. 2020, 57, 2028–2033. [Google Scholar]
- Chen, N.S. The nature of phototactic behavior and the principle of navigation of insects in Noctuidae. Entomol. Knowl. 1979, 24, 193–200. [Google Scholar]
- Liu, L.C. Preliminary study on phototactic behavior of insects. J. Nanjing Agric. Univ. 1982, 2, 52–59. [Google Scholar]
- Sang, W.; Zhu, Z.Z.; Lei, C.L. Review of phototaxis in insects and an introduction to the light stress hypothesis. Chin. J. Appl. Entomol. 2016, 53, 915–920. [Google Scholar]
- Baliota, G.V.; Athanassiou, C.G.; Cohnstaedt, L.W. Response of phosphine-resistant and esusceptible Lasioderma serricorne adults to different light spectra. J. Stored Prod. Res. 2021, 92, 101808. [Google Scholar] [CrossRef]
- Jiang, Y.L.; Wu, Y.Q.; Li, T.; Gong, Z.J.; Duan, Y.; Miao, J.; Guo, Y.Y. Behavioural responses of Anomala corpulenta Motschulsky (Coleoptera: Scarabaeoidea) to different spectral light. Acta Entomol. Sin. 2015, 58, 1146–1150. [Google Scholar]
Publisher’s Note: MDPI stays neutral with regard to jurisdictional claims in published maps and institutional affiliations. |
© 2022 by the authors. Licensee MDPI, Basel, Switzerland. This article is an open access article distributed under the terms and conditions of the Creative Commons Attribution (CC BY) license (https://creativecommons.org/licenses/by/4.0/).





