Incidence and Distribution of Four Viruses Causing Diverse Mosaic Diseases of Sugarcane in China
Abstract
:1. Introduction
2. Materials and Methods
2.1. Survey Area and Leaf Sample Collection
2.2. Total RNA Extraction and RT-PCR Detection
2.3. Cloning and Sequencing of PCR Products
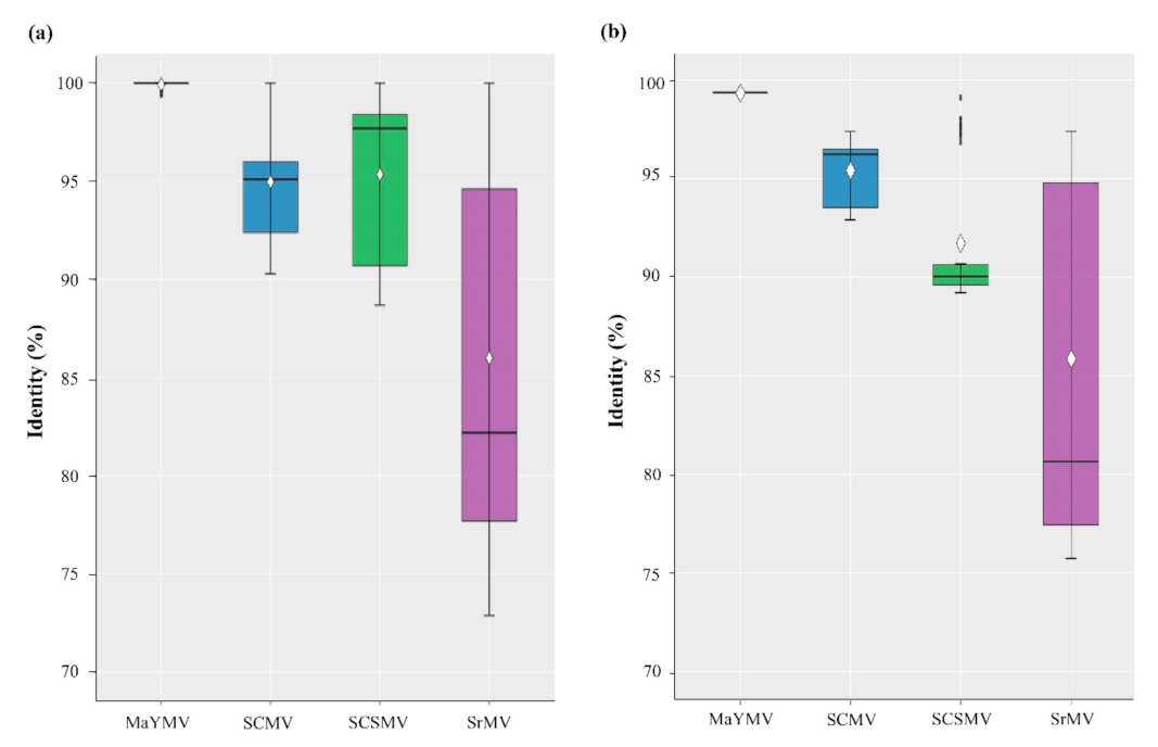
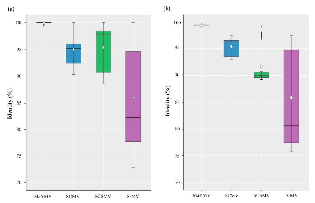
2.4. Sequence Alignment and Identity Analysis
3. Results
3.1. Mosaic Symptoms on Leaves
3.2. RT-PCR Detection and Confirmation of Virus Identities
3.3. Distribution Frequency of Four Viruses in Various Provinces
3.4. Mixed Infection by Four Viruses in Leaf Samples
4. Discussion
5. Conclusions
Supplementary Materials
Author Contributions
Funding
Institutional Review Board Statement
Informed Consent Statement
Data Availability Statement
Conflicts of Interest
References
- Aono, A.H.; Pimenta, R.J.G.; Garcia, A.L.B.; Correr, F.H.; Hosaka, G.K.; Carrasco, M.M.; Cardoso-Silva, C.B.; Mancini, M.C.; Sforca, D.A.; Santos, L.B.; et al. The wild sugarcane and sorghum kinomes: Insights into expansion, diversification, and expression patterns. Front. Plant Sci. 2021, 12, 668623. [Google Scholar] [CrossRef]
- Viswanathan, R.; Rao, G.P. Disease scenario and management of major sugarcane diseases in India. Sugar Tech. 2011, 13, 336–353. [Google Scholar] [CrossRef]
- Koike, H.; Gillaspie, J.R. Mosaic. In Disease of Sugarcane Major Disease, Ricaud, C., Egan, B.T., Gillaspie, A.G., Eds.; Elsevier: Amsterdam, The Netherlands, 1989; pp. 301–322. [Google Scholar]
- Grisham, M.P. Mosaic. In A Guide to Sugarcane Diseases; Rott, P., Bailey, R.A., Comstock, J.C., Croft, B.J., Saumtally, A.S., Eds.; CIRAD/ISSCT; La Librairie du Cirad: Montepellier, France, 2000; pp. 249–254. [Google Scholar]
- Bagyalakshmi, K.; Viswanathan, R. Development of a scoring system for sugarcane mosaic disease and genotyping of sugarcane germplasm for mosaic viruses. Sugar Tech. 2021, 23, 1105–1117. [Google Scholar] [CrossRef]
- Rott, P.; Fernandez, E.; Girard, J.C. Mosaic diseases in sugarcane. In Characterization, Diagnosis & Management of Plant Viruses Volume 1: Industrial Crops; Rao, G.P., Kanura, S.M.P., Lenardon, S.L., Eds.; Studium Press: Houston, TX, USA, 2008; pp. 99–110. [Google Scholar]
- Sun, S.R.; Chen, J.S.; Yang, J.; Huang, X.C.; Huang, M.T.; Gao, S.J. First report of maize yellow mosaic virus infecting sugarcane in China. Plant Dis. 2019, 103, 2482. [Google Scholar] [CrossRef]
- Sun, S.R.; Chen, J.S.; He, E.Q.; Huang, M.T.; Fu, H.Y.; Lu, J.J.; Gao, S.J. Genetic variability and molecular evolution of maize yellow mosaic virus populations from different geographic origins. Plant Dis. 2021, 105, 896–903. [Google Scholar] [CrossRef]
- Nithya, K.; VishnuVardhan, J.; Balasaravanan, S.; Vishalakshi, D.; Kaverinathan, K.; Viswanathan, R. First report of Maize yellow mosaic virus (MaYMV) infecting sugarcane in India and its molecular characterization. Australas. Plant Pathol. 2021, 50, 633–638. [Google Scholar] [CrossRef]
- Chen, S.; Jiang, G.Z.; Wu, J.X.; Liu, Y.; Qian, Y.J.; Zhou, X.P. Characterization of a novel polerovirus infecting maize in China. Viruses 2016, 8, 120. [Google Scholar] [CrossRef] [Green Version]
- Luo, Q.; Ahmad, K.; Fu, H.Y.; Wang, J.D.; Chen, R.K.; Gao, S.J. Genetic diversity and population structure of Sorghum mosaic virus infecting Saccharum spp. hybrids. Ann. Appl. Biol. 2016, 169, 398–407. [Google Scholar] [CrossRef]
- Liang, S.S.; Luo, Q.; Chen, R.K.; Gao, S.J. Advances in researches on molecular biology of viruses causing sugarcane mosaic. J. Plant Prot. 2017, 44, 363–370. [Google Scholar]
- Martelli, G.P.; Agranovsky, A.A.; Bar-Joseph, M.; Boscia, D.; Candresse, T.; Coutts, R.H.A.; Dolja, V.V.; Hu, J.S.; Jelkmann, W.; Karasev, A.V.; et al. Family Closteroviridae. In Virus Taxonomy: Ninth Report of the International Committee on Taxonomy of Viruses; King, A.M.Q., Adams, M.J., Carstens, E.B., Lefkowitz, E.J., Eds.; Elsevier: London, UK, 2012; pp. 987–1001. [Google Scholar]
- Lockhart, B.E.L.; Autrey, L.J.C. Mild mosaic. In A Guide to Sugarcane Diseases; Rott, P., Bailey, R.A., Comstock, J.C., Croft, B.J., Saumtally, A.S., Eds.; CIRAD/ISSCT; La Librairie du Cirad: Montepellier, France, 2000; pp. 245–248. [Google Scholar]
- Viswanathan, R.; Parameswari, B.; Nithya, K. Molecular characterization of sugarcane viruses and their diagnostics. In Crop Improvement through Microbial Biotechnology; Prasad, R., Gill, S.S., Tuteja, N., Eds.; Elsevier: Amsterdam, The Netherlands, 2018; pp. 175–193. [Google Scholar]
- Gonçalves, M.C.; Ramos, A.; Nascimento, T.; Harakava, R.; Lopes, J.R.S. Aphid transmission of maize yellow mosaic virus: An emerging polerovirus. Trop Plant Pathol. 2020, 45, 544–549. [Google Scholar] [CrossRef]
- Croft, B.J.; Randles, J.W. Striate mosaic. In A Guide to Sugarcane Diseases; Croft, B.J., Randles, J.W., Eds.; CIRAD/ISSCT; La Librairie du Cirad: Montepellier, France, 2000; pp. 265–267. [Google Scholar]
- Viswanathan, R.; Balamuralikrishnan, M.; Karuppaiah, R. Characterization and genetic diversity of Sugarcane streak mosaic virus causing mosaic in sugarcane. Virus Genes. 2008, 36, 553–564. [Google Scholar] [CrossRef] [PubMed]
- Filloux, D.; Fernandez, E.; Comstock, J.C.; Dimitre, M.; Philippe, R.; Rott, P.C. Viral metagenomic-based screening of sugarcane from Florida reveals occurrence of six sugarcane-infecting viruses and high prevalence of sugarcane yellow leaf virus. Plant Dis. 2018, 102, 2317–2323. [Google Scholar] [CrossRef] [PubMed] [Green Version]
- Perera, M.F.; Filippone, M.P.; Ramallo, C.J.; Cuenya, M.I.; Castagnaro, A.P. Genetic diversity among viruses associated with sugarcane mosaic disease in Tucumán, Argentina. Phytopathology 2009, 99, 38–49. [Google Scholar] [CrossRef]
- Goncąlves, M.C.; Pinto, L.R.; Souza, S.C.; Landell, M.G.A. Virus diseases of sugarcane: A constant challenge to sugarcane breeding in Brazil. Funct. Plant Sci. Biotechnol. 2012, 6, 108–116. [Google Scholar]
- Chen, Y.H.; Zhou, Z.J.; Lin, Q.Y.; Xie, L.H. A preliminary report on strains of sugarcane mosaic virus. J. Fujian Agric. For. Univ. 1988, 17, 44–48. [Google Scholar]
- Chen, J.; Chen, J.; Adams, M.J. Characterisation of potyviruses from sugarcane and maize in China. Arch. Virol. 2002, 147, 1237–1246. [Google Scholar] [CrossRef]
- Xu, D.L.; Zhou, G.H.; Xie, Y.J.; Mock, R.; Li, R. Complete nucleotide sequence and taxonomy of Sugarcane streak mosaic virus, member of a novel genus in the family Potyviridae. Virus Genes. 2010, 40, 432–439. [Google Scholar] [CrossRef] [PubMed]
- Wang, X.Y.; Li, W.F.; Huang, Y.K.; Zhang, R.Y.; Shan, H.L.; Yin, J.; Lou, Z.M. Molecular detection and phylogenetic analysis of viruses causing mosaic symptoms in new sugarcane varieties in China. Eur. J. Plant Pathol. 2017, 148, 1–10. [Google Scholar] [CrossRef]
- Jiang, J.X.; Xie, Y.; Que, H.Y. Molecular identification of the pathogen of sugarcane mosaic disease in Jiangxi province. Acta Phytopathol. Sin. 2009, 39, 203–206. [Google Scholar]
- Wang, K.L.; Deng, Q.Q.; Dou, Z.M.; Wang, M.Q.; Chen, J.W.; Shen, W.K. Molecular detection of viral diseases in chewing cane (Saccharum officinarum) from southern China. Int. J. Agric. Biol. 2018, 20, 655–660. [Google Scholar] [CrossRef]
- Xu, D.L.; Park, J.W.; Mirkov, T.E.; Zhou, G.H. Viruses causing mosaic disease in sugarcane and their genetic diversity in southern China. Arch. Virol. 2008, 153, 1031–1039. [Google Scholar] [CrossRef] [PubMed]
- Sorho, F.; Sereme, D.; Kouamé, K.D.; Koné, N.; Yao, K.J.E.; Ouattara, M.M.; Tapsoba, W.P.; Ouattara, B.; Kone, D. First report of Sugarcane streak mosaic virus (SCSMV) infecting sugarcane in Côte d’Ivoire. Plant Dis. 2021, 105, 519. [Google Scholar] [CrossRef] [PubMed]
- Xie, Y.; Wang, M.; Xu, D.; Li, R.; Zhou, G. Simultaneous detection and identification of four sugarcane viruses by one-step RT-PCR. J. Virol. Methods 2009, 162, 64–68. [Google Scholar] [CrossRef] [PubMed]
- Alegria, O.M.; Royer, M.; Bousalem, M.; Chatenet, M.; Peterschmitt, M.; Girard, J.C.; Rott, P. Genetic diversity in the coat protein coding region of eighty-six sugarcane mosaic virus isolates from eight countries, particularly from Cameroon and Congo. Arch. Virol. 2003, 148, 357–372. [Google Scholar] [CrossRef] [PubMed]
- Fu, W.L.; Sun, S.R.; Fu, H.Y.; Chen, R.K.; Su, J.W.; Gao, S.J. A one-step real-time RT-PCR assay for the detection and quantitation of Sugarcane streak mosaic virus. BioMed Res. Int. 2015, 2105, 569131. [Google Scholar]
- Kumar, S.; Stecher, G.; Tamura, K. MEGA7: Molecular evolutionary genetics analysis version 7.0 for bigger datasets. Mol. Biol. Evol. 2016, 33, 1870–1874. [Google Scholar] [CrossRef] [PubMed] [Green Version]
- Hall, T.A. BioEdit: A user-friendly biological sequence alignment editor and analysis program for Windows 95/98/NT. Nucleic Acids Symp. Ser. 1999, 41, 95–98. [Google Scholar]
- Singhal, P.; Nabi, S.U.; Yadav, M.K.; Dubey, A. Mixed infection of plant viruses: Diagnostics, interactions and impact on host. J. Plant Dis. Prot. 2021, 128, 353–368. [Google Scholar] [CrossRef]
- Xu, Z.Y.; Lv, B.L.; Li, P.; Zhou, W.L.; Tang, Y.; Tang, J.H.; Qin, B.X.; Meng, J.R.; Wen, R.H.; Chen, B.S. Disease survey and identification of viruses in sugarcane in Guangxi. J. South Agric. 2014, 45, 1957–1962. [Google Scholar]
- Zhou, Y. Molecular Identification and Genetic Diversity Analysis of Sugarcane Mosaic Pathogeny in Yunnan Province. Master Thesis, CAAS, Beijing, China, 2014. [Google Scholar]
- Grisham, M.P.; Pan, Y.B. A genetic shift in the virus strains that cause mosaic in Louisiana sugarcane. Plant Dis. 2007, 91, 453–458. [Google Scholar] [CrossRef] [Green Version]
- IFAS. Available online: https://edis.ifas.ufl.edu/ (accessed on 1 December 2021).
- Fernandez, E.; Ferdinand, R.; Filloux, D.; Guinet, I.; Julian, C.; Rott, P.; Roumagnac, P.; Daugrois, J.-H. Improvements in virus detection at CIRAD’s sugarcane quarantine using both viral metagenomics and PCR-based approaches. Sugar Tech. 2020, 22, 498–503. [Google Scholar] [CrossRef]
- Thompson, N.; Randles, J.W. The genome organisation and taxonomy of sugarcane striate mosaic associated virus. Arch. Virol. 2001, 146, 1441–1451. [Google Scholar] [CrossRef] [PubMed]



| Province | No. of Samples Tested | SrMV | SCMV | SCSMV | MaYMV |
|---|---|---|---|---|---|
| Fujian | 99 | 84 (84.8%) | 56 (56.6%) | 60 (60.6%) | 27 (27.3%) |
| Guangdong | 45 | 25 (55.6%) | 23 (51.1%) | 16 (35.6%) | 0 |
| Guangxi | 173 | 113 (65.3%) | 8 (4.6%) | 58 (33.5%) | 1 (0.6%) |
| Guizhou | 170 | 111 (65.3%) | 43 (25.3%) | 11 (6.5%) | 0 |
| Hainan | 51 | 30 (58.8%) | 7 (13.7%) | 19 (37.3%) | 0 |
| Sichuan | 181 | 135 (74.6%) | 68 (37.6%) | 35 (19.3%) | 18 (9.9%) |
| Yunnan | 81 | 77 (95.0%) | 30 (37.0%) | 46 (56.8%) | 0 |
| Zhejiang | 101 | 57 (56.4%) | 66 (65.3%) | 28 (27.7%) | 0 |
| Total | 901 | 632 (70.1%) | 301 (33.4%) | 273 (30.3%) | 46 (5.1%) |
| Province | No. of Samples Tested | No Infection by Any Four Viruses a | Single Infection by Any Four Viruses a | Mixed Infection by Two or More Viruses b | ||||||||||
|---|---|---|---|---|---|---|---|---|---|---|---|---|---|---|
| (1) + (2) | (1) + (3) | (1) + (4) | (2) + (3) | (2) + (4) | (3) + (4) | (1) + (2)+ (3) | (1) + (2) + (4) | (1) + (3) + (4) | (2) + (3) + (4) | (1) + (2)+ (3) + (4) | ||||
| Fujian | 99 | 3 (3.0%) | 11 (11.1%) | 21 (21.2%) | 16 (16.2%) | 6 (6.1%) | 5 (5.1%) | 0 | 0 | 17 (17.2%) | 1 (1.0%) | 8 (8.1%) | 2 (2.0%) | 9 (9.1%) |
| Guangdong | 45 | 19 (42.2%) | 2 (4.4%%) | 8 (17.8%) | 1 (2.2%) | 0 | 1 (2.2%) | 0 | 0 | 14 (31.1%) | 0 | 0 | 0 | 0 |
| Guangxi | 173 | 39 (22.5) | 91 (52.6%) | 5 (2.9%) | 35 (20.2%) | 0 | 0 | 0 | 0 | 3 (1.7%) | 0 | 0 | 0 | 0 |
| Guizhou | 170 | 43 (25.3%) | 94 (55.3%) | 26 (15.3%) | 1 (0.6%) | 0 | 1 (0.6%) | 0 | 0 | 5 (2.9%) | 0 | 0 | 0 | 0 |
| Hainan | 51 | 14 (27.5%) | 22 (43.1%) | 1 (2.0%) | 8 (15.7%) | 0 | 2 (3.9%) | 0 | 0 | 4 (7.8%) | 0 | 0 | 0 | 0 |
| Sichuan | 181 | 29 (16.0%) | 81 (44.8%) | 30 (16.6%) | 10 (5.5%) | 3 (1.7%) | 0 | 1 (0.6%) | 0 | 21 (11.6%) | 2 (1.1%) | 0 | 0 | 4 (2.2%) |
| Yunnan | 81 | 1 (1.2%) | 19 (23.5%) | 17 (21.0%) | 31 (38.3%) | 0 | 1 (1.2%) | 0 | 0 | 12 (14.8%) | 0 | 0 | 0 | 0 |
| Zhejiang | 101 | 22 (21.8%) | 27 (26.7%) | 24 (23.8%) | 1 (1.0%) | 0 | 7 (6.9%) | 0 | 0 | 20 (19.8%) | 0 | 0 | 0 | 0 |
| Total | 901 | 170 (18.9%) | 347 (38.5%) | 132 (14.7%) | 103 (11.4%) | 9 (1.0%) | 17 (1.9%) | 1 (0.1%) | 0 | 96 (10.7%) | 3 (0.3%) | 8 (0.9%) | 2 (0.2%) | 13 (1.4%) |
Publisher’s Note: MDPI stays neutral with regard to jurisdictional claims in published maps and institutional affiliations. |
© 2022 by the authors. Licensee MDPI, Basel, Switzerland. This article is an open access article distributed under the terms and conditions of the Creative Commons Attribution (CC BY) license (https://creativecommons.org/licenses/by/4.0/).
Share and Cite
He, E.-Q.; Bao, W.-Q.; Sun, S.-R.; Hu, C.-Y.; Chen, J.-S.; Bi, Z.-W.; Xie, Y.; Lu, J.-J.; Gao, S.-J. Incidence and Distribution of Four Viruses Causing Diverse Mosaic Diseases of Sugarcane in China. Agronomy 2022, 12, 302. https://doi.org/10.3390/agronomy12020302
He E-Q, Bao W-Q, Sun S-R, Hu C-Y, Chen J-S, Bi Z-W, Xie Y, Lu J-J, Gao S-J. Incidence and Distribution of Four Viruses Causing Diverse Mosaic Diseases of Sugarcane in China. Agronomy. 2022; 12(2):302. https://doi.org/10.3390/agronomy12020302
Chicago/Turabian StyleHe, Er-Qi, Wen-Qing Bao, Sheng-Ren Sun, Chun-Yu Hu, Jian-Sheng Chen, Zheng-Wang Bi, Yuan Xie, Jia-Ju Lu, and San-Ji Gao. 2022. "Incidence and Distribution of Four Viruses Causing Diverse Mosaic Diseases of Sugarcane in China" Agronomy 12, no. 2: 302. https://doi.org/10.3390/agronomy12020302
APA StyleHe, E.-Q., Bao, W.-Q., Sun, S.-R., Hu, C.-Y., Chen, J.-S., Bi, Z.-W., Xie, Y., Lu, J.-J., & Gao, S.-J. (2022). Incidence and Distribution of Four Viruses Causing Diverse Mosaic Diseases of Sugarcane in China. Agronomy, 12(2), 302. https://doi.org/10.3390/agronomy12020302

