Genetic Analysis of Agronomic and Fall Armyworm-Resistance Traits in Maize Hybrids with Varying Levels of Resistance to Stem Borers
Abstract
1. Introduction
2. Materials and Methods
2.1. Germplasm
2.2. Location of Experimental Sites
2.3. Field Layout and Experimental Design Used for the Study
2.4. Evaluation under Naturally Infested and Protected Conditions
2.5. Evaluation under Fall Armyworm Artificially Infested and Protected Conditions
2.6. Data Collection
2.7. Fall Armyworm Damage Rating
2.8. Data Analysis
3. Results
3.1. Variation among Maize Genotypes for Grain Yield, Agronomic and FAW-Tolerant Traits
3.2. Agronomic Performance and Stability of Maize Genotypes under the Various Test Conditions
3.3. Genetic Component Estimates for Grain Yield, Agronomic and FAW-Tolerant Traits
3.4. GCA and SCA Estimates for Agronomic and FAW-Resistant Traits
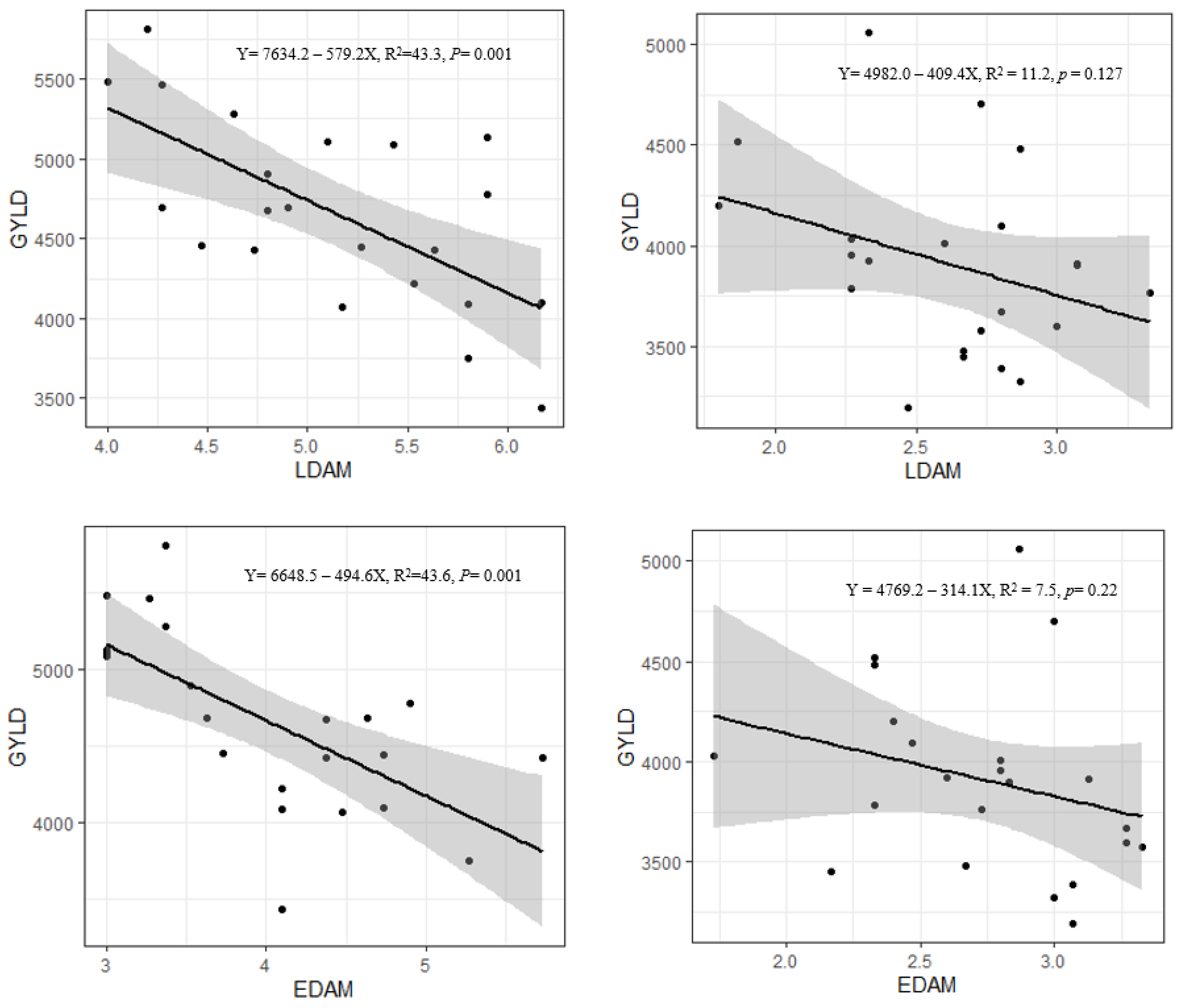
3.5. Relationship between Grain Yield, Agronomic and Fall Armyworm Tolerance Traits
4. Discussion
5. Conclusions
Supplementary Materials
Author Contributions
Funding
Acknowledgments
Conflicts of Interest
References
- Ranum, P.; Pena-Rosas, J.P.; Garcia-Casal, M.N. Maize production, utilization, and consumption. Ann. N. Y. Acad. Sci. USA 2014, 1312, 105–112. [Google Scholar] [CrossRef] [PubMed]
- Shiferaw, B.; Prasanna, B.M.; Hellin, J.; Bänziger, M. Crops that feed the world 6. Past successes and future challenges to the role played by maize in global food security. Food Secur. 2011, 3, 307–327. [Google Scholar] [CrossRef]
- Assefa, F.; Ayalew, D. Status and control measures of fall armyworm (Spodoptera frugiperda) infestations in maize fields in Ethiopia: A review. Cogent Food Agric. 2019, 5, 1641902. [Google Scholar] [CrossRef]
- Ajala, S.O.; Odiyi, A.C.; Thé, C.; Olaoye, G. Population cross diallel of maize genotypes with varying levels of resistance to the pink stalk borer (Sesamia calamistis: Hampson) and the sugarcane borer (Eldana saccharina: Walker). Maydica 2008, 53, 79–86. [Google Scholar]
- Murenga, M.; Derera, J.; Mugo, S.; Tongoona, P. Responses to S1 recurrent selection for resistance to two stem borers; Busseola fusca, and Chilo partellus in two tropical maize populations. Euphytica 2015, 206, 711–723. [Google Scholar]
- Nagoshi, R.N.; Fleischer, S.; Meagher, R.L.; Hay-Roe, M.; Khan, A.; Murúa, M.G.; Silvie, P.; Clorinda, V.C.; Westbrook, J. Fall armyworm migration across the Lesser Antilles and the potential for genetic exchanges between North and South American populations. PLoS ONE 2017, 12, e0171743. [Google Scholar]
- Tefera, T.; Mugo, S.; Beyene, Y. Developing and deploying insect resistant maize varieties to reduce pre-and post-harvest food losses in Africa. Food Secur. 2016, 8, 211–220. [Google Scholar] [CrossRef]
- Goergen, G.; Kumar, P.L.; Sankung, S.B.; Togola, A.; Tamò, M. First Report of Outbreaks of the Fall Armyworm Spodoptera frugiperda (J E Smith) (Lepidoptera, Noctuidae), a New Alien Invasive Pest in West and Central Africa. PLoS ONE 2016, 11, e0165632. [Google Scholar] [CrossRef]
- Williams, W.P.; Windham, G.L.; Matthews, G.A.; Buckley, P.M. Diallel analysis for aflatoxin accumulation and fall armyworm leaf-feeding damage in maize. J. Crop Improv. 2018, 32, 254–263. [Google Scholar] [CrossRef]
- FAO. The Global Action for Fall Armyworm Control: Action Framework 2020–2022; Working Together to Tame the Global Threat; FAO: Rome, Italy, 2020. [Google Scholar] [CrossRef]
- Cruz, I.; Figueiredo, M.L.C.; Silva, R.B.; Foster, J.E. Efficiency of chemical pesticides to control Spodoptera frugiperda and validation of pheromone trap as a pest management tool in maize crop. Rev. Bras. Milho E Sorgo 2010, 9, 20–27. [Google Scholar] [CrossRef]
- Israni, B.; Wouters, F.C.; Luck, K.; Seibel, E.; Ahn, S.J.; Paetz, C.; Reinert, M.; Vogel, H.; Erb, M.; Heckel, D.G.; et al. The Fall Armyworm Spodoptera frugiperda Utilizes Specific UDP-Glycosyl transferases to Inactivate Maize Defensive Benzoxazinoids. Front. Physiol. 2020, 11, 604754. [Google Scholar] [CrossRef] [PubMed]
- Oloyede-Kamiyo, Q.O.; Odeyemi, O.O. Early detection of sources of resistance to the fall armyworm in some tropically-adapted maize varieties in Southern Nigeria. Acta Agric. Slov. 2021, 117, 1–8. [Google Scholar] [CrossRef]
- Eschen, R.; Beale, T.; Bonnin, J.M.; Constantine, K.L.; Duah, S.; Finch, E.A.; Makale, F.; Nunda, W.; Ogunmodede, A.; Pratt, C.F.; et al. Towards estimating the economic cost of invasive alien species to African crop and livestock production. CABI Agric. Biosci. 2021, 2, 18. [Google Scholar] [CrossRef]
- Huesing, J. Fall Armyworm in Africa: A Guide for Integrated Pest Management. SDSN carbon-free e-conference. In Proceedings of the Responding to Fall Armyworm in Africa, Washington, DC, USA, 22–26 October 2017. [Google Scholar]
- Kumar, R.; Jindal, J. Economic evaluation of biorational and conventional insecticides for the control of maize stem borer, Chilo partellus (Swinhoe) in Zea mays. J. Appl. Nat. Sci. 2015, 7, 644–648. [Google Scholar] [CrossRef]
- Pimentel, D.; Burgess, M. Small amounts of pesticides reaching target insects. Environ. Dev. Sustain. 2012, 14, 1–2. [Google Scholar] [CrossRef]
- Munees, A.; Mohammad, S.K. Assessment of plant growth promoting activities of rhizobacterium Pseudomonas putia under insecticide-stress. Microbiol. J. 2011, 1, 11. [Google Scholar]
- Zhang, W.J.; Jiang, F.B.; Ou, J.F. Global pesticide consumption and pollution: With China as a focus. Proc. Int. Acad. Ecol. Environ. Sci. 2011, 1, 125–144. [Google Scholar]
- Hua, J.; Relyea, R.A. East coast vs West coast: Effects of an insecticide in communities containing different amphibian assemblages. Freshw. Sci. 2012, 31, 787–799. [Google Scholar] [CrossRef]
- Gouse, M.; Pray, C.; Kirsten, J.F.; Schimmelpfennig, D. A GM subsistence crop in Africa: The case of Bt white maize in S Africa. Int. J. Biotechnol. 2005, 7, 84–94. [Google Scholar] [CrossRef]
- Baudron, F.; Zaman-Allah, M.A.; Chaipa, I.; Chari, N.; Chinwada, P. Understanding the factors influencing fall armyworm (Spodoptera frugiperda J.E. Smith) damage in African smallholder maize fields and quantifying its impact on yield. A case study in Eastern Zimbabwe. Crop Prot. 2019, 120, 141–150. [Google Scholar] [CrossRef]
- Yu, S.J.; Nguyen, S.N.; Abo-Elghar, G.E. Biochemical characteristics of insecticide resistance in the fall armyworm, Spodoptera frugiperda (J. E. Smith). Pestic. Biochem. Physiol. 2003, 77, 1–11. [Google Scholar] [CrossRef]
- Carvalho, R.A.; Omoto, C.; Field, L.M.; Williamson, M.S.; Bass, C. Investigating the molecular mechanisms of organophosphate and pyrethroid resistance in the fall armyworm Spodoptera frugiperda. PLoS ONE 2013, 8, e62268. [Google Scholar] [CrossRef] [PubMed]
- Ajala, S.O.; Aroga, R.; Odiyi, A.; Olaoye, G. Screening and breeding for resistance to maize stem borers Sesamia calamistis and Eldana saccharina in West and Central Africa. Afr. Crop. Sci. Conf. Proceeeding 2009, 9, 559–564. [Google Scholar]
- Oliveira, N.C.; Suzukawa, A.K.; Pereira, C.B.; Santos, H.V.; Hanel, A.; De Albuquerque, F.A.; Scapim, C.A. Popcorn genotypes resistance to fall armyworm. Ciência Rural St. Maria 2018, 48, 1–6. [Google Scholar] [CrossRef]
- Davis, F.M.; Williams, W.P. Visual Rating Scales for Screening Whorl-Stage Corn for Resistance to Fall Armyworm; Mississippi Agricultural & Forestry Experiment Station, Technical Bulletin 186; Mississippi State University: Mississippi, MS, USA, 1992. [Google Scholar]
- Abel, C.A.; Wilson, R.L.; Wiseman, B.R.; White, W.H.; Davis, F.M. Conventional resistance of experimental maize lines to corn eanvorm (Lepidoptera: Noctuidae), fall armyworm (Lepidoptera: Noctuidae), southwestern corn borer (Lepidoptera: Crambidae), and sugarcane borer (Lepidoptera: Crambidae). J. Econ. Entomol. 2000, 93, 982–988. [Google Scholar] [CrossRef]
- Ni, X.; Da, K.; Buntin, G.D.; Brown, S.L. Physiological basis of fall armyworm (Lepidoptera: Noctuidae) resistance in seedlings of maize inbred lines with varying levels of silk maysin. Fla. Entomol. 2008, 91, 537–545. [Google Scholar] [CrossRef]
- Prasanna, B.M.; Bruce, A.; Winter, S.; Otim, M.; Asea, G.; Sevgan, S.; Ba, M.; Berg, J.; Beiriger, R.; Gichuru, L.; et al. Host plant resistance to fall armyworm. In Fall Armyworm in Africa: A Guide for Integrated Pest Management, 1st ed.; Prasanna, B.M., Huesing, J.E., Eddy, R., Peschke, V.M., Eds.; CIMMYT: Mexico City, Mexico, 2018. [Google Scholar]
- Williams, W.P.; Davis, F.M.; Buckley, P.M.; Hedin, P.A.; Baker, G.T.; Luthe, D.S. Factors associated with resistance to fall armyworm (Lepidoptera: Noctuidae) and southwestern corn borer (Lepidoptera: Crambidae) in corn at different vegetative stages. J. Econ. Entomol. 1998, 91, 1471–1480. [Google Scholar] [CrossRef]
- Williams, W.P.; Buckley, P.M.; Davis, F.M. Vegetative phase change in maize and its association with resistance to fall armyworm. Maydica 2000, 45, 215–219. [Google Scholar]
- Brooks, T.D.; Willcox, M.C.; Williams, W.P.; Buckley, P.M. Quantitative trait loci conferring resistance to fall armyworm and southwestern corn borer leaf feeding damage. Crop Sci. 2005, 45, 2430–2434. [Google Scholar] [CrossRef]
- Prasanna, B.M.; Bruce, A.; Beyene, Y.; Makumbi, D.; Manje, G.; Asim, M.; Martinelli, S.; Head, G.P.; Parimi, S. Host plant resistance for fall armyworm management in maize: Relevance, status and prospects in Africa and Asia. Theor. Appl. Genet. 2022, 1–20. [Google Scholar] [CrossRef]
- Prasanna, B.M.; Joseph, E.; Huesing, V.M.; Peschke, R. Host Plant Resistance in Maize to Fall Armyworm. In Fall Armyworm in Asia: A Guide for Integrated Pest Management; CIMMYT: Mexico City, Mexico, 2021; pp. 100–113. [Google Scholar]
- Kamweru, I.; Anani, B.Y.; Beyene, Y.; Makumbi, D.; Adetimirin, V.O.; Prasanna, B.M.; Gowda, M. Genomic Analysis of Resistance to Fall Armyworm (Spodoptera frugiperda) in CIMMYT Maize Lines. Genes 2022, 13, 251. [Google Scholar] [CrossRef] [PubMed]
- Ni, X.Z.; Chen, Y.G.; Hibbard, B.E.; Wilson, J.P.; Williams, W.P.; Buntin, G.D.; Ruberson, J.R.; Li, X.C. Foliar resistance to fall armyworm in corn germplasm lines that confer resistance to root- and ear-feeding insects. Fla. Entomol. 2011, 94, 971–981. [Google Scholar] [CrossRef]
- Matova, P.M.; Kamutando, C.N.; Kutywayo, D.; Magorokosho, C.; Labuschagne, M. Fall Armyworm Tolerance of Maize Parental Lines, Experimental Hybrids, and Commercial Cultivars in Southern Africa. Agronomy 2022, 12, 1463. [Google Scholar] [CrossRef]
- Widstrom, N.W.; Wiseman, B.R.; McMillian, W.W. Resistance among some maize inbreds and single crosses to fall armworm injury. Crop Sci. 1972, 12, 290–292. [Google Scholar] [CrossRef]
- Wiseman, B.R.; Davis, F.M. Plant resistance to the fall armyworm. Fla. Entomol. 1972, 62, 123–130. [Google Scholar] [CrossRef]
- Kasoma, C.; Shimelis, H.; Laing, M.D.; Shayanowako, A.; Mathew, I. Combining ability of maize genotypes for fall armyworm (Spodoptera frugiperda J.E. Smith) resistance, yield and yield-related traits. Crop Prot. 2021, 149, 105762. [Google Scholar] [CrossRef]
- Rahman, H.; Ali, A.; Shah, Z.; Iqbal, M.; Noor, M.; Amanullah, J. Line × tester analysis for grain yield and yield related traits in maize variety Sarhad-White. Pak. J. Bot. 2013, 45, 383–387. [Google Scholar]
- Kamara, M.M.; El-Degwy, I.S.; Koyama, H. Estimating combining ability of some maize inbred lines using line × tester mating design under two nitrogen levels. Aust. J. Crop Sci. 2014, 8, 1336–1342. [Google Scholar]
- Ajala, S.O.; Olayiwola, M.O.; Job, A.O.; Olaniyan, A.B.; Gedil, M. Assessment of heterotic patterns of tropical low-nitrogen-tolerant maize inbred lines using testcross performance, morphological traits and SNP markers. Plant Breed. 2020, 139, 1113–1124. [Google Scholar] [CrossRef]
- Ngumbi, E.N. How Changes in Weather Patterns Could Lead to More Insect Invasions. The Conversation. 2020. Available online: https://theconversation.com/how-changes-in-weather-patterns-could-lead-to-more-insect-invasions-131917 (accessed on 2 September 2022).
- Aghughu, O. Combining Ability of Inbred Lines from Two Different Maize (Zea mays L.) Breeding Programmes. Ph.D. Thesis, Obafemi Awolowo University, Ile-Ife, Nigeria, 1989. [Google Scholar]
- Hallauer, A.R.; Carena, M.J.; Miranda, J.B. Quantitative Genetics in Maize Breeding; Springer Science+ Business Media: New York, NY, USA, 2010. [Google Scholar]
- Dhliwayo, T.; Pixley, K.; Menkir, A.; Warburton, M. Combining ability, genetic distances, and heterosis among elite CIMMYT and IITA tropical maize inbred lines. Crop Sci. 2009, 49, 1201–1210. [Google Scholar] [CrossRef]
- Adebayo, M.A.; Menkir, A.; Blay, E.; Gracen, V.; Danquah, E.; Hearne, S. Genetic analysis of drought tolerance in adapted× exoticcrosses of maize inbred lines under managed stress conditions. Euphytica 2014, 196, 261–270. [Google Scholar] [CrossRef]
- Badu-Apraku, B.; Fakorede, M.A.B.; Gedil, M.; Talabi, A.O.; Annor, B.; Oyekunle, M.; Akinwale, R.O.; Fasanmade, T.Y.; Akaogu, I.C.; Aderounmu, M. Heterotic responses among crosses of IITA and CIMMYT early white maize inbred lines under multiple stress environments. Euphytica 2015, 206, 245–262. [Google Scholar] [CrossRef]
- Olayiwola, M.O.; Ajala, S.O.; Ariyo, O.J.; Ojo, D.K.; Gedil, M. Heterotic grouping of tropical maize inbred lines and their hybrid performance under stem borer infestation and low soil nitrogen condition in West and Central Africa. Euphytica 2021, 217, 14. [Google Scholar] [CrossRef]
- Ajala, S.O.; Kling, J.G.; Schulthess, F.; Cardwell, K.; Odiyi, A. Progress in breeding for resistance to maize stem borers Sesamia calamistis and Eldana saccharina in West and Central Africa. In Proceedings of the Seventh Eastern and Southern Africa Regional Maize Conference, Nairobi, Kenya, 11–15 February 2001; pp. 49–54. [Google Scholar]
- Mwololo, J.K.; Munyiri, S.W.; Segmagn, K.; Mungo, S.; Okori, P. Genetic diversity analysis in tropical maize germplasm for stem borer and storage pest resistance using molecular markers and phenotypic traits. Mol. Plant Breed. 2015, 6, 1–22. [Google Scholar] [CrossRef]
- CIMMYT. Maize Inbred Lines Released by CIMMYT. A Compilation of 497 CIMMYT Maize Lines (CMLs) CML 1- CML 497; CIMMYT: Veracruz, Mexico, 2005; 65p. [Google Scholar]
- Kim, S.K.; Guthrie, W.D.; Hallauer, A.R.; Russell, W.A.; Brewbaker, J.L.; Hongs, C.S. Evaluation of Tropical and Subtropical Corn Lines for Resistance to Second-Generation European Corn Borer (Lepidoptera: Pyralidae). J. Econ. Entomol. 1989, 82, 1245–1250. [Google Scholar] [CrossRef]
- Borrero, J.C.; Pandey, S.; Ceballos, H. Performance and stability of tropical maize hybrids developed from lines with different levels of inbreeding. Maydica 1992, 37, 251–258. [Google Scholar]
- Anyanda, G.N.; Bruce, A.Y.; Makumbi, D.; Ahonsi, M.; Kahuthia-Gathu, R.; Namikoye, E.S.; Beyene, Y.; Prasanna, B.M. Reproductive potential of fall armyworm Spodoptera frugiperda (J.E. Smith) and effects of feeding on diverse maize genotypes under artificial infestation. Front. Insect Sci. 2022, 2, 950815. [Google Scholar] [CrossRef]
- SAS Institute. SAS System for Windows, release 9.3; SAS Institute Inc.: Cary, NC, USA, 2012. [Google Scholar]
- Pacheco, A.; Vargas, M.; Alvarado, G.; Rodriguez, F.; Lopez, M.; Crossa, J.; Burgueno, J. User’s Manual of GEA-R (Genotype by Environment Analysis with R); CIMMYT: Veracruz, Mexico, 2015; 42p. [Google Scholar]
- R Core Team. R: A Language and Environment for Statistical Computing; R Foundation for Statistical Computing: Vienna, Austria, 2022; Available online: https://www.R.-project.org (accessed on 30 August 2022).
- Badu-Apraku, B.; Oyekunle, M.; Fakorede, M.A.B.; Vroh, I.; Akinwale, R.O.; Aderounmu, M. Combining ability, heterotic patterns and genetic diversity of extra-early yellow inbreds under contrasting environments. Euphytica 2013, 192, 413–433. [Google Scholar] [CrossRef]
- Gutierrez-Gaitan, M.A.; Cortez-Mendoza, H.; Wathika, E.N.; Gardner, C.O.; Oyervides-Garcia, M.; Hallauer, A.R. Testcross Evaluation of Mexican Maize Populations1. Crop Sci. 1986, 26, 99. [Google Scholar] [CrossRef]
- Anjorin, F.B.; Odeyemi, O.O.; Akinbode, O.A.; Kareem, K.T. Fall armyworm Spodoptera frugiperda)(J.E Smith) (Lepidoptera: Noctuidae) infestation: Maize yield depression and physiological basis of tolerance. J. Crop Prot. Res. 2022, 62, 12–21. [Google Scholar] [CrossRef]




| Genotype | Source Population/Pedigree | Origin | Reaction to Stem Borers | Reaction to Fall Armyworm |
|---|---|---|---|---|
| Lines | ||||
| TZBR Comp 1-WC2 | TZBR Comp 1 | IITA | Resistant [4,52] | Tolerant [13] |
| TZBR Comp 2-WC2 | TZBR Comp 2 | IITA | Resistant [4,52] | Tolerant [13] |
| TZBR Eld.4-WC2 | TZBR Eld. 4 | IITA | Resistant [4,52] | Tolerant [13] |
| AMATZBR-WC4 | AMATZBR | IITA | Resistant [4,52] | Tolerant [13] |
| AWR-SYN-W2 | AWR-SYN-W | IITA | Resistant (Ajala et al. unpublished) | Tolerant [35] |
| TZB-SR | TZB | IITA | Unknown | Unknown |
| Testers | ||||
| CKSBL10060 | CML311/MBR C3 Bc F3-1-1-1-B-B-B-B-B-B | CIMMYT | Resistant [53] | Tolerant [34] |
| CML 331 | (SUWAN8422)/(P47/MP78-518)-#-183-1-2-1-2-2-B Subtropical Recy. W | CIMMYT | Resistant [54] | Tolerant [54] |
| 1393 | Guana Caste 7729 x TZSR | IITA | Resistant [55] | Tolerant (Ajala et al. unpublished) |
| Checks | ||||
| TZBR Comp 1-WC2/TZBR Comp 2-WC2 | IITA | Resistant | Tolerant (Ajala et al. unpublished) | |
| Sammaz 22 | M0826-1 | IITA | Unknown | Unknown |
| Source | DF | Grain Yield | Days to Anthesis | Days to Silking | Anthesis-Silking Interval | Plant Height | Plant Aspect | Husk Cover | Ear Aspect | Leaf Damage | Ear Damage |
|---|---|---|---|---|---|---|---|---|---|---|---|
| Artificial infestation | |||||||||||
| ENVIRONMENT (ENV) | 1 | 74,932.03 | 0.20 | 0.00 | 0.15 | 65.66 | 0.01 | 0.03 | 0.00 | 0.59 | 0.00 |
| REP (ENV) | 4 | 1,299,077 ** | 22.35 *** | 10.59 *** | 2.79 * | 1375.82 *** | 1.45 ** | 0.27 | 0.03 | 27.41 *** | 1.20 * |
| GENOTYPE | 17 | 2,328,014.04 *** | 14.81 *** | 18.12 *** | 3.06 *** | 1526.50 *** | 0.52 * | 0.90 *** | 1.45 *** | 3.11 *** | 4.17 *** |
| TESTER (GCA) | 2 | 11,730,910 *** | 75.28 ** | 97.98 ** | 10.80 ** | 9763.77 *** | 0.88 | 0.27 | 6.67 ** | 20.01 ** | 11.68 ** |
| LINE (GCA) | 5 | 1,778,583 *** | 7.82 *** | 8.91 *** | 3.31 *** | 493.52 *** | 0.64 *** | 1.00 *** | 0.71 *** | 1.01 ** | 3.35 *** |
| LINE × TESTER (SCA) | 10 | 722,150.70 *** | 6.20 *** | 6.75 *** | 1.39 *** | 395.54 *** | 0.38 *** | 0.97 *** | 0.78 *** | 0.78 *** | 3.08 *** |
| ENV× GENOTYPE | 17 | 15,589.37 | 0.08 | 0.11 | 0.08 | 6.48 | 0.03 | 0.03 | 0.02 | 0.08 | 0.03 |
| ENV × TESTER | 2 | 15,236.34 | 0.02 | 0.15 | 0.06 | 4.18 | 0.08 | 0.04 | 0.01 | 0.16 | 0.01 |
| ENV × LINE | 5 | 9402.01 | 0.11 | 0.06 | 0.07 | 11.81 | 0.02 | 0.01 | 0.01 | 0.06 | 0.01 |
| ENV × LINE × TESTER | 10 | 18,753.65 | 0.08 | 0.13 | 0.10 | 4.27 | 0.02 | 0.03 | 0.02 | 0.07 | 0.04 |
| ERROR | 68 | 276,698.50 | 0.97 | 1.39 | 0.86 | 69.15 | 0.28 | 0.31 | 0.28 | 0.74 | 0.39 |
| Natural infestation | |||||||||||
| ENV | 4 | 58,893,022.60 *** | 70.95 *** | 42.06 *** | 12.34 *** | 9623.22 *** | 15.15 *** | 1.00 * | 18.10 *** | 14.82 *** | 10.92 *** |
| REP (ENV) | 10 | 3,282,784.70 ** | 4.90 | 6.86 | 0.78 | 423.64 | 3.10 *** | 1.30 *** | 2.35 *** | 1.64 | 1.91 * |
| GENOTYPE | 17 | 2,927,356.80 * | 50.55 *** | 50.11 *** | 0.61 | 910.52 * | 1.06 | 1.88 ** | 0.96 | 2.50 ** | 1.27 |
| TESTER (GCA) | 2 | 8,120,494.40 ** | 289.95 ** | 280.39 ** | 1.50 | 2251.46 * | 3.09 * | 6.73 ** | 1.34 | 0.19 | 0.38 |
| LINE (GCA) | 5 | 872,709.90 | 17.57 ** | 23.48 ** | 0.96 | 941.40 * | 0.68 | 1.24 ** | 1.41 * | 0.93 | 1.36 |
| LINE × TESTER (SCA) | 10 | 2,835,253.60 * | 14.48 * | 13.93 * | 0.25 | 492.57 | 0.77 | 1.43 *** | 0.50 | 4.00 *** | 1.43 |
| ENV × GENOTYPE | 62 | 2,006,522.40 * | 7.91 *** | 9.08 *** | 1.31 ** | 501.55 | 0.75 | 0.77 *** | 0.68 | 1.04 | 1.88 *** |
| ENV × LINE | 20 | 1,838,760.20 | 4.06 | 5.47 | 1.64 ** | 556.42 | 0.78 | 0.87 ** | 0.40 | 1.24 | 1.17 |
| ENV × TESTER | 8 | 3,464,363.60 ** | 22.01 *** | 24.55 *** | 1.10 | 420.52 | 0.39 | 0.55 | 1.84 ** | 1.24 | 0.97 |
| ENV × LINE × TESTER | 34 | 1,788,890.30 | 6.51 ** | 7.46 ** | 1.06 | 486.10 | 0.82 | 0.73 ** | 0.55 | 0.87 | 2.50 *** |
| ERROR | 158 | 1,299,887.10 | 3.35 | 3.77 | 0.79 | 399.33 | 0.77 | 0.36 | 0.55 | 0.90 | 0.98 |
| Protected condition. | |||||||||||
| ENV | 6 | 19,891,295.00 *** | 158.63 *** | 184.84 *** | 9.62 *** | 4361.45 *** | 10.65 *** | 34.81 *** | 23.68 *** | ||
| REP (ENV) | 14 | 1,622,444.90 | 5.80 | 6.28 | 1.99 | 921.48 *** | 1.25 *** | 1.23 *** | 0.99 ** | ||
| GENOTYPE | 17 | 3,460,751.80 * | 52.93 *** | 59.86 *** | 2.26 | 1212.89 *** | 1.78 ** | 1.65 *** | 1.81 *** | ||
| TESTER (GCA) | 2 | 7,268,464.30 | 307.88 ** | 359.98 *** | 2.39 | 6039.88 ** | 0.99 | 3.57 | 1.27 | ||
| LINE (GCA) | 5 | 237,9961.20 | 46.83 ** | 45.90 * | 2.42 | 586.19 * | 1.58 | 2.83 * | 1.18 | ||
| LINE ×TESTER (SCA) | 10 | 3,239,604.50 * | 5.00 | 6.82 | 2.15 | 560.83 | 2.03 ** | 0.68 | 2.23 ** | ||
| ENV × GENOTYPE | 102 | 1,719,106.20 ** | 9.18 *** | 10.31 *** | 1.92 | 336.36 ** | 0.81 *** | 0.72 *** | 0.94 * | ||
| ENV × TESTER | 12 | 4,333,152.60 *** | 27.22 *** | 26.93 *** | 2.99 ** | 712.55 *** | 0.96 ** | 1.07 *** | 1.31 *** | ||
| ENV × LINE | 30 | 1,398,100.40 | 10.09 *** | 9.92 *** | 1.85 * | 231.16 | 1.08 *** | 0.94 *** | 0.99 *** | ||
| ENV × LINE × TESTER | 60 | 1,356,799.80 * | 5.11 | 7.17 ** | 1.74 * | 313.73 | 0.64 *** | 0.54 | 0.84 *** | ||
| ERROR | 238 | 984,151.60 | 4.29 | 4.19 | 1.22 | 229.44 | 0.34 | 0.42 | 0.41 |
| Genetic Component | Grain Yield AI NI PC | Days to Anthesis AI NI PC | Days to Silking AI NI PC | Plant Height AI NI PC | Plant Aspect AI NI PC | ||||||||||
|---|---|---|---|---|---|---|---|---|---|---|---|---|---|---|---|
| σ2A | 1,402,358.28 | 289,854.87 | 331,741.45 | 9.34 | 12.30 | 8.33 | 11.33 | 11.84 | 9.44 | 979.92 | 119.05 | 166.96 | 0.19 | 0.07 | 0.18 |
| σ2D | 331,782.88 | 148,443.07 | 301,695.12 | 3.60 | 3.39 | 0.00 | 3.75 | 2.41 | 0.00 | 225.95 | 0.00 | 52.31 | 0.10 | 0.00 | 0.20 |
| H2 | 0.98 | 0.77 | 0.88 | 0.99 | 0.97 | 0.95 | 0.99 | 0.96 | 0.95 | 0.99 | 0.78 | 0.93 | 0.88 | 0.58 | 0.91 |
| h2 | 0.98 | 0.51 | 0.46 | 0.71 | 0.76 | 0.95 | 0.71 | 0.80 | 0.95 | 0.81 | 0.78 | 0.71 | 0.58 | 0.58 | 0.43 |
| Husk cover AI NI PC_ | Ear aspect AI NI PC_ | Leaf damage AI NI | Ear damage AI NI_ | ||||||||||||
| σ2A | 0.43 | 0.32 | 0.18 | 0.82 | 0.08 | 0.17 | 1.67 | 0.42 | 2.57 | 0.00 | |||||
| σ2D | 0.40 | 0.17 | 0.03 | 0.35 | 0.00 | 0.18 | 0.12 | 0.46 | 1.84 | 0.00 | |||||
| H2 | 0.95 | 0.90 | 0.86 | 0.97 | 0.66 | 0.89 | 0.95 | 0.93 | 0.99 | 0.00 | |||||
| h2 | 0.49 | 0.59 | 0.75 | 0.68 | 0.64 | 0.43 | 0.88 | 0.44 | 0.58 | 0.00 | |||||
| Tester | Grain Yield AI NI PC | Days to Anthesis AI NI PC | Days to Silking AI NI PC | Plant Aspect AI NI PC | ||||||||
|---|---|---|---|---|---|---|---|---|---|---|---|---|
| 1393 | 530 *** | 41.58 | 35.92 | 0.45 * | 0.46 | 0.65 | 10.08 *** | 3.19 | 0.75 | 0.17 *** | 0.00 | 0.08 |
| CML331 | −600 *** | −367.85 * | −256.12 | 1.16 *** | 1.73 *** | 1.13 ** | −19.00 *** | −7.25 *** | 1.19 ** | −0.02 | 0.22 *** | 0.02 |
| CKSBL10060 | 70 * | 326.27 | 220.20 | −1.62 *** | −2.10 *** | −1.78 *** | 8.92 *** | 3.31 | −1.93 *** | −0.14 ** | −0.21 ** | −0.10 |
| SE (0.05) | 28.7 | 160.30 | 151.70 | 0.18 | 0.40 | 0.38 | 0.36 | 1.76 | 0.38 | 0.03 | 0.05 | 0.07 |
| Husk cover AI NI PC | Ear aspect AI NI PC | Leaf damage AI NI | Ear damage AI NI | |||||||||
| 1393 | 0.08 | −0.21 ** | −0.16 * | −0.43 *** | 0.00 | 0.06 | −0.77 *** | −0.01 | −0.56 *** | 0.01 | ||
| CML331 | −0.09 | 0.29 *** | 0.18 * | 0.43 *** | 0.14 | 0.06 | 0.72 *** | 0.00 | 0.58 *** | 0.00 | ||
| CKSBL10060 | 0.02 | −0.05 | −0.02 | −0.01 | −0.13 | −0.12 | 0.05 | 0.01 | −0.02 | −0.01 | ||
| SE (0.05) | 0.05 | 0.06 | 0.07 | 0.05 | 0.12 | 0.08 | 0.04 | 0.14 | 0.05 | 0.08 | ||
| Line | Grain Yield AI NI PC | Days to Anthesis AI NI PC | Plant Height AI NI PC | Plant Aspect AI NI PC | ||||||||
|---|---|---|---|---|---|---|---|---|---|---|---|---|
| AWR SYN-W2 | 390 *** | 23.94 | 55.06 | −0.69 *** | −0.71 * | −1.08 ** | −3.56 *** | 1.17 | −0.45 | −0.02 | 0.09 | 0.00 |
| AMATZBR-WC4 | 190 *** | −338.22 | −252.05 | −0.42 ** | 0.51 | 0.46 | −1.83 * | 3.30 | 0.69 | −0.18 *** | −0.15 | −0.22 |
| TZBR Eld. 4-WC2 | −520 *** | 218.87 | -5.55 | 0.78 *** | 0.05 | 0.28 | −6.65 *** | −5.05 | −1.96 | 0.07 | −0.06 | −0.04 |
| TZB-SR | 120 ** | −67.57 | −160.11 | −0.24 | −0.65 * | −0.99 ** | 3.82 *** | 8.33 * | 4.89 ** | 0.31 *** | 0.16 | −0.09 |
| TZBR Comp 1-WC2 | −150 *** | 240.63 | 57.02 | −0.30 * | −0.24 | 0.24 | 0.33 | −0.51 | −4.14 * | −0.21 *** | −0.02 | 0.18 |
| TZBR Comp 2-WC2 | −30 | −77.66 | 305.63 * | 0.88 *** | 1.09 *** | 1.10 ** | 7.89 *** | −5.25 | 0.97 | 0.03 | −0.04 | 0.18 |
| SE (0.05) | 33.3 | 228.61 | 136.64 | 0.14 | 0.27 | 0.35 | 0.84 | 3.21 | 1.76 | 0.04 | 0.12 | 0.12 |
| Husk cover AI NI PC | Ear aspect AI NI PC | Leaf damage AI NI | Ear damage AI NI | |||||||||
| AWR SYN-W2 | −0.31 *** | 0.18 | −0.03 | 0.01 | 0.17 | 0.04 | −0.13 | 0.23 | 0.24*** | 0.30 | ||
| AMATZBR-WC4 | 0.15 ** | −0.11 | −0.17 | −0.26 ** | −0.27 ** | −0.15 | 0.31 ** | −0.01 | −0.39 *** | −0.40 ** | ||
| TZBR Eld. 4-WC2 | −0.27 *** | −0.17 | 0.00 | 0.28 *** | 0.17 | 0.02 | 0.23 * | −0.21 | −0.03 | 0.08 | ||
| TZB-SR | 0.06 | 0.02 | −0.28 * | −0.14 | 0.07 | −0.17 | 0.05 | −0.13 | −0.57 *** | 0.03 | ||
| TZBR Comp 1-WC2 | 0.27 *** | 0.20 | 0.26 * | 0.16 * | −0.28 ** | 0.18 | −0.29 * | −0.10 | 0.61 *** | −0.15 | ||
| TZBR Comp 2-WC2 | 0.09 | −0.15 | 0.22 * | −0.05 | 0.08 | 0.09 | −0.17 | 0.19 | 0.15 * | 0.04 | ||
| SE (0.05) | 0.04 | 0.13 | 0.11 | 0.06 | 0.09 | 0.12 | 0.09 | 0.17 | 0.05 | 0.15 | ||
| Line × Tester | Grain Yield AI NI PC | Days to Anthesis AI NI PC | Plant Height_ AI NI PC | Plant Aspect AI NI PC | ||||||||
|---|---|---|---|---|---|---|---|---|---|---|---|---|
| AWR SYN-W2/1393 | 190 *** | −234.55 | 479.28 * | −0.34 * | 0.72 | 0.44 | 2.07 | 3.67 | 6.19 * | −0.08 | −0.18 | −0.18 |
| AWR SYN-W2/CML331 | 290 *** | 415.26 | −246.38 | 0.88 *** | −0.02 | 0.01 | 8.05 *** | 4.67 | −3.04 | −0.16 * | 0.00 | 0.11 |
| AWR SYN-W2/CKSBL10060 | −480 *** | −180.71 | −232.89 | −0.54 ** | −0.79 | −0.45 | −10.13 *** | −7.59 | −3.14 | 0.23 *** | 0.17 | 0.08 |
| AMATZBR-WC4/1393 | 30 | 552.52 * | 169.23 | 0.39 * | −1.70 *** | −0.63 | 1.13 | −7.40 | 4.90 | −0.02 | 0.13 | 0.47 *** |
| AMATZBR-WC4/CML331 | −200 *** | −92.46 | 143.69 | −0.69 *** | 1.47 ** | −0.16 | −8.20 *** | 5.54 | 0.66 | 0.27 *** | 0.00 | −0.05 |
| AMATZBR-WC4/CKSBL10060 | 160 ** | −460.07 | −312.92 | 0.30 | 0.97 | 0.79 | 7.07 *** | 5.42 | −5.56 | −0.24 *** | −0.23 | −0.42 ** |
| TZBR Eld. 4-WC2/1393 | −30 | −176.11 | −313.83 | −0.18 | −0.90 | 0.36 * | 0.26 | −1.38 | −1.45 | −0.27 *** | −0.03 | −0.27 * |
| TZBR Eld. 4-WC2/CML331 | −140 * | −498.04 | 161.41 | 0.75 *** | −0.18 | −0.22 | −3.87 * | 2.86 | −0.81 | 0.02 | −0.24 | 0.29 * |
| TZBR Eld. 4-WC2/CKSBL10060 | 170 ** | 674.15 * | 152.42 | −0.57 ** | 0.99 * | −0.14 | 3.61 * | −0.74 | 2.26 | 0.24 *** | 0.25 | −0.02 |
| TZB-SR/1393 | −70 | −333.79 | −306.71 | −1.60 *** | 0.60 | 0.00 | −10.75 *** | −0.08 | −2.13 | −0.04 | 0.09 | 0.19 |
| TZB-SR/CML331 | −130 * | −270.22 | −248.30 | 0.76 *** | 1.30 ** | 0.52 | 1.70 | 3.67 | −1.62 | 0.14 * | 0.14 | 0.02 |
| TZB-SR/CKSBL10060 | 210 *** | 604.00 * | 555.01 ** | 0.84 *** | −0.78 | −0.52 | 9.05 *** | −4.27 | 3.75 | −0.10 | −0.10 | −0.21 |
| TZBR Comp 1-WC2/1393 | 400 *** | 397.19 | 260.07 | 0.64 *** | 1.12 * | −0.28 | 8.22 *** | 2.06 | −1.52 | 0.01 | 0.13 | −0.17 |
| TZBR Comp 1-WC2/CML331 | −200 *** | 53.00 | 171.40 | −0.34 * | −0.29 | 0.00 | −1.89 | −3.68 | 5.38 | −0.07 | −0.15 | −0.18 |
| TZBR Comp 1-WC2/CKSBL10060 | −200 *** | −450.19 | −431.46 * | −0.29 | −0.92 | 0.28 | −6.33 *** | 2.37 | −3.86 | 0.06 | 0.01 | 0.35 ** |
| TZBR Comp 2-WC2/1393 | −520 *** | −205.27 | −288.04 | 1.09 *** | 0.12 | 0.11 | −0.94 | 1.14 | −5.99 * | 0.40 *** | −0.12 | −0.04 |
| TZBR Comp 2-WC2/CML331 | 380 *** | 392.44 | 18.20 | −1.35 *** | −1.29 * | −0.15 | 4.21 * | −6.71 | −0.56 | −0.21 ** | 0.33 | −0.18 |
| TZBR Comp 2-WC2/CKSBL10060 | 150 ** | −187.18 | 269.84 | 0.26 | 1.08* | 0.04 | −3.27 | 6.31 | 6.55 * | −0.19 ** | −0.23 | 0.23 |
| SE (0.05) | 53.2 | 276.72 | 189.52 | 0.17 | 0.49 | 0.37 | 1.65 | 4.24 | 2.87 | 0.06 | 0.17 | 0.13 |
| Husk plant AI NI PC | Ear aspect AI NI PC | Leaf damage AI NI_ | Ear damage AI NI_ | |||||||||
| AWR SYN-W2/1393 | −0.36 *** | 0.10 | −0.12 | −0.12 | 0.09 | −0.46 ** | −0.03 | −0.01 | −0.37 *** | −0.53 ** | ||
| AWR SYN-W2/CML331 | −0.08 | −0.13 | 0.18 | 0.02 | −0.18 | 0.19 | 0.18 | 0.24 | 0.02 | 0.44 * | ||
| AWR SYN-W2/CKSBL10060 | 0.44 *** | 0.00 | −0.06 | 0.09 | 0.08 | 0.27 | −0.15 | −0.23 | 0.35 *** | 0.09 | ||
| AMATZBR-WC4/1393 | 0.39 ** | 0.05 | 0.12 | 0.52 *** | 0.06 | 0.11 | −0.41 ** | 0.23 | 0.16* | 0.34 | ||
| AMATZBR-WC4/CML331 | −0.27 * | 0.56 *** | −0.05 | 0.02 | 0.04 | −0.07 | 0.00 | −0.36 * | 0.49 *** | −1.04 *** | ||
| AMATZBR-WC4/CKSBL10060 | −0.12 | −0.55 ** | −0.07 | −0.54 *** | −0.15 | −0.04 | 0.41 ** | −0.03 | −0.65 *** | 0.47 * | ||
| TZBR Eld. 4-WC2/1393 | −0.66 *** | 0.12 | 0.14 | −0.03 | −0.05 | −0.10 | −0.32 * | −0.03 | 0.16 * | −0.21 | ||
| TZBR Eld. 4-WC2/CML331 | 0.52 *** | −0.51 ** | −0.30 * | −0.26 * | −0.05 | 0.23 | 0.09 | 0.09 | −0.51 *** | 0.07 | ||
| TZBR Eld. 4-WC2/CKSBL10060 | 0.14 | 0.36 * | 0.16 | 0.28 * | 0.08 | −0.13 | 0.23 | −0.05 | 0.35 *** | 0.15 | ||
| TZB-SR/1393 | 0.38 ** | −0.01 | −0.04 | 0.13 | −0.15 | 0.34 * | 0.22 | 0.21 | 0.44 *** | 0.30 | ||
| TZB-SR/CML331 | −0.18 | 0.21 | −0.01 | −0.10 | −0.20 | −0.40 ** | −0.10 | −0.80 *** | 0.03 | 0.07 | ||
| TZB-SR/CKSBL10060 | −0.19 | −0.03 | 0.05 | −0.03 | 0.31 * | 0.06 | −0.13 | 0.26 | −0.47 *** | −0.34 | ||
| TZBR Comp 1-WC2/1393 | 0.17 | −0.06 | −0.11 | −0.54 *** | 0.00 | −0.16 | −0.08 | −0.61 *** | −1.11 *** | −0.41 * | ||
| TZBR Comp 1-WC2/CML331 | −0.13 | −0.09 | −0.03 | 0.13 | 0.20 | −0.10 | 0.24 | 0.84 *** | 0.02 | 0.53 ** | ||
| TZBR Comp 1-WC2/CKSBL10060 | −0.04 | 0.11 | 0.13 | 0.41 *** | −0.21 | 0.26 | −0.16 | −0.23 | 1.08 *** | −0.12 | ||
| TZBR Comp 2-WC2/1393 | 0.08 | −0.17 | 0.01 | 0.04 | 0.11 | 0.27 | 0.61 *** | 0.23 | 0.72 *** | 0.48 ** | ||
| TZBR Comp 2-WC2/CML331 | 0.15 | 0.27 | 0.20 | 0.18 | 0.11 | 0.15 | −0.41 *** | −0.51 *** | −0.06 | −0.44 * | ||
| TZBR Comp 2-WC2/CKSBL10060 | −0.23 | −0.13 | −0.21 | −0.22 * | −0.23 | −0.41 ** | −0.20 | 0.28 | −0.66 *** | −0.03 | ||
| SE (0.05) | 0.12 | 0.16 | 0.12 | 0.11 | 0.14 | 0.15 | 0.12 | 0.15 | 0.07 | 0.30 | ||
| Grain Yield | Days to Anthesis | Days to Silking | Anthesis-Silking Interval | Plant Height | Plant Aspect | Husk Cover | Ear Aspect | Leaf Damage | Ear Damage | |
|---|---|---|---|---|---|---|---|---|---|---|
| Grain yield | - | −0.01 | −0.15 | −0.30 ** | 0.64 *** | 0.02 | 0.06 | −0.61 *** | −0.45 *** | −0.66 *** |
| Days to anthesis | −0.01 | - | 0.89 *** | −0.03 | −0.07 | 0.24 ** | 0.07 | 0.04 | −0.19 * | −0.18 * |
| Days to silking | −0.06 | 0.94 *** | - | 0.42 *** | −0.24 ** | 0.15 | 0.16 | 0.11 | −0.03 | −0.06 |
| Anthesis-silking interval | −0.14 ** | −0.18 ** | 0.16 ** | - | −0.39 *** | −0.14 | 0.23 ** | 0.16 | 0.32 ** | 0.24 ** |
| Plant height | 0.28 *** | −0.15 ** | −0.16 ** | −0.02 | - | 0.15 | 0.04 | −0.38 *** | −0.63 *** | −0.43 *** |
| Plant aspect | −0.19 ** | 0.16 ** | 0.14 ** | −0.06 | −0.21 ** | - | −0.09 | 0.02 | −0.29 ** | −0.11 |
| Husk cover | −0.08 | 0.00 | 0.00 | −0.02 | −0.09 | 0.30 *** | - | 0.01 | 0.11 | −0.04 |
| Ear aspect | −0.32 *** | 0.06 | 0.10 | 0.11 * | −0.22 *** | 0.45 *** | 0.11 * | - | 0.22 ** | 0.67 *** |
| Leaf damage | −0.32 *** | −0.13 * | −0.06 | 0.21 ** | −0.09 | −0.09 | −0.06 | 0.13 * | - | 0.27 ** |
| Ear damage | −0.13 * | 0.03 | 0.08 | 0.17 ** | 0.01 | −0.13 * | 0.30 *** | 0.04 | 0.30 *** | - |
| Grain yield | ||||||||||
| Days to anthesis | −0.05 | |||||||||
| Days to silking | −0.11 * | 0.93 *** | ||||||||
| Anthesis-silking interval | −0.16 *** | −0.09 | 0.28 *** | |||||||
| Plant height | 0.30 *** | −0.18 *** | −0.16 *** | 0.04 | ||||||
| Plant aspect | 0.02 | 0.05 | 0.03 | −0.06 | −0.09 * | |||||
| Husk cover | −0.06 | −0.23 *** | −0.24 *** | −0.04 | 0.02 | 0.28 *** | ||||
| Ear aspect | −0.26 *** | 0.07 | 0.08 | 0.02 | −0.33 *** | 0.38 *** | 0.26 *** |
Publisher’s Note: MDPI stays neutral with regard to jurisdictional claims in published maps and institutional affiliations. |
© 2022 by the authors. Licensee MDPI, Basel, Switzerland. This article is an open access article distributed under the terms and conditions of the Creative Commons Attribution (CC BY) license (https://creativecommons.org/licenses/by/4.0/).
Share and Cite
Job, A.; Iseghohi, I.; Abe, A.; Yahaya, M.; Olayiwola, R.; Akinwale, R.; Obisesan, O.; Igyuve, M. Genetic Analysis of Agronomic and Fall Armyworm-Resistance Traits in Maize Hybrids with Varying Levels of Resistance to Stem Borers. Agronomy 2022, 12, 3042. https://doi.org/10.3390/agronomy12123042
Job A, Iseghohi I, Abe A, Yahaya M, Olayiwola R, Akinwale R, Obisesan O, Igyuve M. Genetic Analysis of Agronomic and Fall Armyworm-Resistance Traits in Maize Hybrids with Varying Levels of Resistance to Stem Borers. Agronomy. 2022; 12(12):3042. https://doi.org/10.3390/agronomy12123042
Chicago/Turabian StyleJob, Anthony, Innocent Iseghohi, Ayodeji Abe, Muhammad Yahaya, Richard Olayiwola, Richard Akinwale, Oluwafemi Obisesan, and Moses Igyuve. 2022. "Genetic Analysis of Agronomic and Fall Armyworm-Resistance Traits in Maize Hybrids with Varying Levels of Resistance to Stem Borers" Agronomy 12, no. 12: 3042. https://doi.org/10.3390/agronomy12123042
APA StyleJob, A., Iseghohi, I., Abe, A., Yahaya, M., Olayiwola, R., Akinwale, R., Obisesan, O., & Igyuve, M. (2022). Genetic Analysis of Agronomic and Fall Armyworm-Resistance Traits in Maize Hybrids with Varying Levels of Resistance to Stem Borers. Agronomy, 12(12), 3042. https://doi.org/10.3390/agronomy12123042

