Assessing the Importance of Natural Regulating Mechanisms in Weed Management: The Case of Weed Seed Predation in a Winter Wheat Field and in Adjacent Semi-Natural Habitat in Northern Hungary
Abstract
1. Introduction
2. Materials and Methods
2.1. Study Site and Experimental Setup
2.2. Assessment of Seed Predation
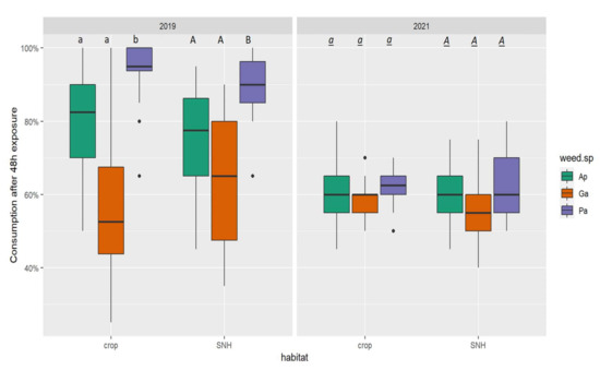
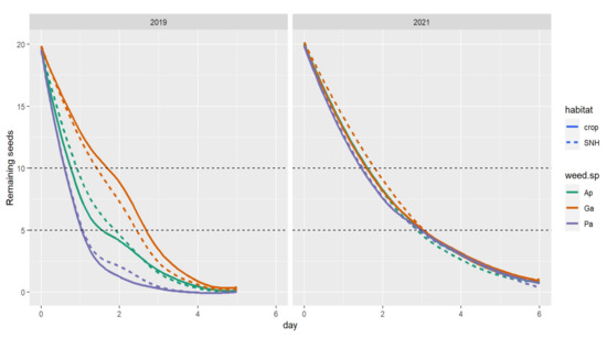
3. Results
4. Discussion
5. Conclusions
Author Contributions
Funding
Data Availability Statement
Acknowledgments
Conflicts of Interest
References
- FAO. Glossary of phytosanitary terms. FAO Plant Prot. Bull. 1990, 38, 5–23. [Google Scholar]
- FAO. Glossary of Phytosanitary Terms; ISPM 5; IPPC; FAO: Rome, Italy, 1995. [published 1996]. [Google Scholar]
- IPPC. International Plant Protection Convention; IPPC; FAO: Rome, Italy, 1997. [Google Scholar]
- CPM. Report of Seventh Session of the Commission on Phytosanitary Measures; IPPC; FAO: Rome, Italy, 2012. [Google Scholar]
- Zimdahl, R. Definition of plant competition. In Weed–Crop Competition: A Review, 2nd ed.; Blackwell Publishing Professional: Ames, IA, USA, 2004; pp. 6–8. [Google Scholar]
- FAO: Food and Agriculture Organization of the United Nations Statistics Division. Reuters 2021: German Cabinet Approves Legislation to Ban Glyphosate from 2024; FAO: Rome, Italy, 2021. [Google Scholar]
- Reuters. Available online: https://www.reuters.com/article/us-germany-farming-lawmakingidUSKBN2AA1GF (accessed on 10 September 2021).
- Bohan, D.A.; Boursault, A.; Brooks, D.R.; Petit, S. National-scale regulation of the weed seedbank by carabid predators. J. Appl. Ecol. 2011, 48, 888–898. [Google Scholar] [CrossRef]
- Rotteveel, A. Directive 2009/128/EC on the sustainable use of pesticides. In Fourth European Workshop on Standardized Procedure for the Inspection of Sprayers in Europe; SPISE: Lana (South Tyrol), Italy, 2012; pp. 21–27. [Google Scholar]
- Altieri, M.A.; Letourneau, D.K. Vegetation management and biological control in agroecosystems. Crop Prot. 1982, 1, 405–430. [Google Scholar] [CrossRef]
- Thomas, M.; Wratten, S.; Sotherton, N. Creation of ‘island’ habitats in farmland to manipulate populations of beneficial arthropods: Predator densities and emigration. J. Appl. Ecol. 1991, 28, 906–917. [Google Scholar] [CrossRef]
- Collins, K.; Boatman, N.; Wilcox, A.; Holland, J. A 5-year comparison of overwintering polyphagous predator densities within a beetle bank and two conventional hedge banks. Ann. Appl. Biol. 2003, 143, 63–71. [Google Scholar] [CrossRef]
- Green, R.; Osborne, P.; Sears, E. The distribution of passerine birds in hedgerows during the breeding season in relation to characteristics of the hedgerow and adjacent farmland. J. Appl. Ecol. 1994, 31, 677–692. [Google Scholar] [CrossRef]
- Brust, G.E.; House, G.J. Weed seed destruction by arthropods and rodents in low-input soybean agroecosystems. Am. J. Altern. Agric. 1988, 3, 19–25. [Google Scholar] [CrossRef]
- Westerman, P.; Wes, J.; Kropff, M.; Van der Werf, W. Annual losses of weed seeds due to predation in organic cereal fields. J. Appl. Ecol. 2003, 40, 824–836. [Google Scholar] [CrossRef]
- Holland, J.M.; Bianchi, F.J.; Entling, M.H.; Moonen, A.C.; Smith, B.M.; Jeanneret, P. Structure, function and management of semi-natural habitats for conservation biological control.: A review of European studies. Pest Manag. Sci. 2016, 72, 1638–1651. [Google Scholar] [CrossRef]
- Griffiths, G.J.; Holland, J.M.; Bailey, A.; Thomas, M.B. Efficacy and economics of shelter habitats for conservation biological control. Biol. Control 2008, 45, 200–209. [Google Scholar] [CrossRef]
- Firbank, L.; Bradbury, R.B.; McCracken, D.I.; Stoate, C. Delivering multiple ecosystem services from Enclosed Farmland in the UK. Agric. Ecosyst. Environ. 2013, 166, 65–75. [Google Scholar] [CrossRef]
- Begg, G.S.; Cook, S.M.; Dye, R.; Ferrante, M.; Franck, P.; Lavigne, C.; Lövei, G.L.; Mansion-Vaquie, A.; Pell, J.K.; Petit, S. A functional overview of conservation biological control. Crop Prot. 2017, 97, 145–158. [Google Scholar] [CrossRef]
- Losey, J.E.; Vaughan, M. The economic value of ecological services provided by insects. Bioscience 2006, 56, 311–323. [Google Scholar] [CrossRef]
- Garren, J.M.; Strauss, S.Y. Population-level compensation by an invasive thistle thwarts biological control from seed predators. Ecol. Appl. 2009, 19, 709–721. [Google Scholar] [CrossRef]
- Westerman, P.R.; Liebman, M.; Menalled, F.D.; Heggenstaller, A.H.; Hartzler, R.G.; Dixon, P.M. Are many little hammers effective? Velvetleaf (Abutilon theophrasti) population dynamics in two-and four-year crop rotation systems. Weed Sci. 2005, 53, 382–392. [Google Scholar] [CrossRef]
- Petit, S.; Cordeau, S.; Chauvel, B.; Bohan, D.A.; Guillemin, J.-P.; Steinberg, C. Biodiversity-based options for arable weed management. A review. Agron. Sustain. Dev. 2018, 38, 48. [Google Scholar] [CrossRef]
- Sarabi, V. Factors that influence the level of weed seed predation: A review. Weed Biol. Manag. 2019, 19, 61–74. [Google Scholar] [CrossRef]
- Hulme, P.; Benkman, C.; Herrera, C.; Pellmyr, O. Granivory. Plant–Animal Interactions: An Evolutionary Approach; Herrera, C.M., Pellmyr, O., Eds.; Blackwell: Oxford, UK, 2002; Volume 26, pp. 132–154. [Google Scholar]
- Kolb, A.; Ehrlen, J.; Eriksson, O. Ecological and evolutionary consequences of spatial and temporal variation in pre-dispersal seed predation. Perspect. Plant Ecol. Evol. Syst. 2007, 9, 79–100. [Google Scholar] [CrossRef]
- Honěk, A.; Martinkova, Z.; Jarosik, V. Ground beetles (Carabidae) as seed predators. Eur. J. Entomol. 2003, 100, 531–544. [Google Scholar] [CrossRef]
- Holland, J.M.; Perry, J.N.; Winder, L. The within-field spatial and temporal distribution of arthropods in winter wheat. Bull. Entomol. Res. 1999, 89, 499–513. [Google Scholar] [CrossRef]
- Hough-Goldstein, J.; Vangessel, M.; Wilson, A. Manipulation of weed communities to enhance ground-dwelling arthropod populations in herbicide-resistant field corn. Environ. Entomol. 2004, 33, 577–586. [Google Scholar] [CrossRef]
- Cromar, H.E.; Murphy, S.D.; Swanton, C.J. Influence of tillage and crop residue on post-dispersal predation of weed seeds. Weed Sci. 1999, 47, 184–194. [Google Scholar] [CrossRef]
- Gallandt, E.R.; Molloy, T.; Lynch, R.P.; Drummond, F.A. Effect of cover-cropping systems on invertebrate seed predation. Weed Sci. 2005, 53, 69–76. [Google Scholar] [CrossRef]
- Zhang, J.; Drummond, F.A.; Liebman, M.; Hartke, A. Insect Predation of Seeds and Plant Population Dynamics; Maine Agricultural and Forest Experiment Station Technical Bulletin; University of Maine: Orano, ME, USA, 1997; Volume 163, 32p. [Google Scholar]
- Cardina, J.; Norquay, H.M.; Stinner, B.R.; McCartney, D.A. Post-dispersal predation of velvetleaf (Abutilon theophrasti) seeds. Weed Sci. 1996, 44, 534–539. [Google Scholar] [CrossRef]
- Tooley, A.; Froud-Williams, R.; Boatman, N.; Hollandj, J. Laboratory studies of weed seed predation by carabid beetles. In Proceedings of the Brighton Crop Protection Conference Weeds, Brighton, UK, 15 November 1999; pp. 571–572. [Google Scholar]
- Mittelbach, G.G.; Gross, K.L. Experimental studies of seed predation in old-fields. Oecologia 1984, 65, 7–13. [Google Scholar] [CrossRef]
- Hulme, P.E. Post-dispersal seed predation in grassland: Its magnitude and sources of variation. J. Ecol. 1994, 82, 645–652. [Google Scholar] [CrossRef]
- Menalled, F.D.; Marino, P.C.; Renner, K.A.; Landis, D.A. Post-dispersal weed seed predation in Michigan crop fields as a function of agricultural landscape structure. Agric. Ecosyst. Environ. 2000, 77, 193–202. [Google Scholar] [CrossRef]
- Osman, M.; Szalai, M.; Zalai, M.; Dorner, Z.; Kiss, J. Measurement of post-dispersal invertebrate seed predation of some relevant weed species in maize fields in Hungary: An ecosystem service provided in crop fields contributing to weed management. Plant Prot. Sci. 2022, 58, 351–359. [Google Scholar] [CrossRef]
- Davis, A.S.; Daedlow, D.; Schutte, B.J.; Westerman, P.R. Temporal scaling of episodic point estimates of seed predation to long-term predation rates. Methods Ecol. Evol. 2011, 2, 682–890. [Google Scholar] [CrossRef]
- Shields, M.W.; Johnson, A.C.; Pandey, S.; Cullen, R.; González-Chang, M.; Wratten, S.D.; Gurr, G.M. History, current situation and challenges for conservation biological control. Biol. Control 2019, 131, 25–35. [Google Scholar] [CrossRef]
- Menalled, F.D.; Smith, R.G.; Dauer, J.T.; Fox, T.B. Impact of agricultural management on carabid communities and weed seed predation. Agric. Ecosyst. Environ. 2007, 118, 49–54. [Google Scholar] [CrossRef]
- Saska, P.; Van der Werf, W.; De Vries, E.; Westerman, P. Spatial and temporal patterns of carabid activity-density in cereals do not explain levels of predation on weed seeds. Bull. Entomol. Res. 2008, 98, 169–181. [Google Scholar] [CrossRef] [PubMed]
- Davis, A.; Raghu, S. Weighing abiotic and biotic influences on weed seed predation. Weed Res. 2010, 50, 402–412. [Google Scholar] [CrossRef]
- Baraibar, B.; Carrión, E.; Recasens, J.; Westerman, P.R. Unravelling the process of weed seed predation: Developing options for better weed control. Biol. Control 2011, 56, 85–90. [Google Scholar] [CrossRef]
- Hatvani, A.; Kádár, F.; Kiss, J.; Peter, G. Habitat preference of carabids (Coleoptera: Carabidae) in Central Hungary in winter wheat field and in adjacent habitats. IOBC Wprs Bull. 2001, 24, 87–90. [Google Scholar]
- Kiss, J.; Kadar, F.; Toth, I.; Kozma, E.; Toth, F. Occurrence of predatory arthropods in winter wheat and in the field edge. Ecologie 1994, 25, 127–132. [Google Scholar]
- Kromp, B. Carabid beetles in sustainable agriculture: A review on pest control efficacy, cultivation impacts and enhancement. Agric. Ecosyst. Environ. 1999, 74, 187–228. [Google Scholar] [CrossRef]
- Saska, P.; Vodde, M.; Heijerman, T.; Westerman, P.; van der Werf, W. The significance of a grassy field boundary for the spatial distribution of carabids within two cereal fields. Agric. Ecosyst. Environ. 2007, 122, 427–434. [Google Scholar] [CrossRef]
- Kiss, J.; Kádár, F.; Kozma, E.; Tóth, I. Importance of various habitats in agricultural landscape related to integrated pest management: A preliminary study. Landsc. Urban Plan. 1993, 27, 191–198. [Google Scholar] [CrossRef]
- FAOSTAT. Food and Agriculture Organization of the United Nations Statistics Division; FAO: Rome, Italy, 2020. [Google Scholar]
- Ichihara, M.; Maruyama, K.; Yamashita, M.; Sawada, H.; Inagaki, H.; Asai, M. Quantifying the ecosystem service of non-native weed seed predation in traditional terraced paddy fields. Weed Biol. Manag. 2021, 21, 192–201. [Google Scholar] [CrossRef]
- Booman, G.C.; Laterra, P.; Comparatore, V.; Murillo, N. Post-dispersal predation of weed seeds by small vertebrates: Interactive influences of neighbor land use and local environment. Agric. Ecosyst. Environ. 2009, 129, 277–285. [Google Scholar] [CrossRef]
- Deroulers, P.; Bretagnolle, V. The consumption pattern of 28 species of carabid beetles (Carabidae) to a weed seed, Viola arvensis. Bull. Entomol. Res. 2019, 109, 229–235. [Google Scholar] [CrossRef] [PubMed]
- Faraway, J.J. Extending the Linear Model with R: Generalized Linear, Mixed Effects and Nonparametric Regression Models; Chapman and Hall; CRC: New York, NY, USA, 2016. [Google Scholar]
- Cleveland, W.S.; Grosse, E.; & Shyu, W.M. Local regression models. In Statistical Models in S; Chambers, J.M., Hastie, T.J., Eds.; Wadsworth & Brooks; Cole: Pacific Grove, CA, USA, 1992; Chapter 8; p. 608. [Google Scholar]
- Trichard, A.; Ricci, B.; Ducourtieux, C.; Petit, S. The spatio-temporal distribution of weed seed predation differs between conservation agriculture and conventional tillage. Agric. Ecosyst. Environ. 2014, 188, 40–47. [Google Scholar] [CrossRef]
- Carbonne, B.; Bohan, D.A.; Petit, S. Key carabid species drive spring weed seed predation of Viola arvensis. Biol. Control 2020, 141, 104148. [Google Scholar] [CrossRef]
- Harrison, S.K.; Regnier, E.E.; Schmoll, J.T. Post dispersal predation of giant ragweed (Ambrosia trifida) seed in no-tillage corn. Weed Sci. 2003, 51, 955–964. [Google Scholar] [CrossRef]
- Mauchline, A.; Watson, S.; Brown, V.; Froud-Williams, R. Post-dispersal seed predation of non-target weeds in arable crops. Weed Res. 2005, 45, 157–164. [Google Scholar] [CrossRef]
- Jonason, D.; Smith, H.G.; Bengtsson, J.; Birkhofer, K. Landscape simplification promotes weed seed predation by carabid beetles (Coleoptera: Carabidae). Landsc. Ecol. 2013, 28, 487–494. [Google Scholar] [CrossRef]
- Gaba, S.; Deroulers, P.; Bretagnolle, F.; Bretagnolle, V. Lipid content drives weed seed consumption by ground beetles (Colopterea, Carabidae) within the smallest seeds. Weed Res. 2019, 59, 170–179. [Google Scholar] [CrossRef]
- Moles, A.T.; Warton, D.I.; Westoby, M. Do small-seeded species have higher survival through seed predation than large-seeded species? Ecology 2003, 84, 3148–3161. [Google Scholar] [CrossRef]
- Meiss, H.; Le Lagadec, L.; Munier-Jolain, N.; Waldhardt, R.; Petit, S. Weed seed predation increases with vegetation cover in perennial forage crops. Agric. Ecosyst. Environ. 2010, 138, 10–16. [Google Scholar] [CrossRef]
- Westerman, P.R.; Borza, J.K.; Andjelkovic, J.; Liebman, M.; Danielson, B. Density-dependent predation of weed seeds in maize fields. J. Appl. Ecol. 2008, 45, 1612–1620. [Google Scholar] [CrossRef]
- Ichihara, M.; Maruyama, K.; Yamashita, M.; Sawada, H.; Inagaki, H.; Ishida, Y.; Asai, M. Quantifying the ecosystem service of non-native weed seed predation provided by invertebrates and vertebrates in upland wheat fields converted from paddy fields. Agric. Ecosyst. Environ. 2011, 140, 191–198. [Google Scholar] [CrossRef]
- González, E.; Seidl, M.; Kadlec, T.; Ferrante, M.; Knapp, M. Distribution of ecosystem services within oilseed rape fields: Effects of field defects on pest and weed seed predation rates. Agric. Ecosyst. Environ. 2020, 295, 106894. [Google Scholar] [CrossRef]




| Year | Weed Species | After 3 Days | After 4 Days | After 5 Days | After 6 Days |
|---|---|---|---|---|---|
| 2019 | Apera spica-venti | 25% | 55% | 90% | NA |
| Galium aparine | 8% | 33% | 75% | NA | |
| Papaver rhoeas | 73% | 95% | 100% | NA | |
| 2021 | Apera spica-venti | 0% | 3% | 18% | 43% |
| Galium aparine | 0% | 0% | 5% | 30% | |
| Papaver rhoeas | 0% | 0% | 15% | 58% |
| Year | Weed Species | Cons. ± SD Day3 | Cons. ± SD Day4 | Cons. ± SD Day5 | Cons. ± SD Day6 |
|---|---|---|---|---|---|
| 2019 | Apera spica-venti | 18.35 ± 1.27 a | 19.50 ± 0.6 A | 19.9 ± 0.3 α | NA |
| Galium aparine | 17.10 ± 1.66 a | 18.95 ± 1.22 A | 19.75 ± 0.44 α | NA | |
| Papaver rhoeas | 19.62 ± 0.77 b | 19.95 ± 0.22 A | 20 ± 0.0 α | NA | |
| 2021 | Apera spica-venti | 15.10 ± 1.37 a | 17.23 ± 1.23 A | 18.45 ± 1.04 α | 19.25 ± 0.74 Ά |
| Galium aparine | 14.82 ± 1.43 a | 16.92 ± 1.12 A | 18.2 ± 0.85 α | 19.08 ± 0.73 Ά | |
| Papaver rhoeas | 15.18 ± 1.24 a | 16.82 ± 1.13 A | 18.48 ± 1.04 α | 19.45 ± 0.75 Ά |
Publisher’s Note: MDPI stays neutral with regard to jurisdictional claims in published maps and institutional affiliations. |
© 2022 by the authors. Licensee MDPI, Basel, Switzerland. This article is an open access article distributed under the terms and conditions of the Creative Commons Attribution (CC BY) license (https://creativecommons.org/licenses/by/4.0/).
Share and Cite
Osman, M.G.A.; Szalai, M.; Zalai, M.; Dorner, Z.; Kiss, J. Assessing the Importance of Natural Regulating Mechanisms in Weed Management: The Case of Weed Seed Predation in a Winter Wheat Field and in Adjacent Semi-Natural Habitat in Northern Hungary. Agronomy 2022, 12, 2666. https://doi.org/10.3390/agronomy12112666
Osman MGA, Szalai M, Zalai M, Dorner Z, Kiss J. Assessing the Importance of Natural Regulating Mechanisms in Weed Management: The Case of Weed Seed Predation in a Winter Wheat Field and in Adjacent Semi-Natural Habitat in Northern Hungary. Agronomy. 2022; 12(11):2666. https://doi.org/10.3390/agronomy12112666
Chicago/Turabian StyleOsman, Mohammed Gaafer Abdelgfar, Márk Szalai, Mihály Zalai, Zita Dorner, and Jozsef Kiss. 2022. "Assessing the Importance of Natural Regulating Mechanisms in Weed Management: The Case of Weed Seed Predation in a Winter Wheat Field and in Adjacent Semi-Natural Habitat in Northern Hungary" Agronomy 12, no. 11: 2666. https://doi.org/10.3390/agronomy12112666
APA StyleOsman, M. G. A., Szalai, M., Zalai, M., Dorner, Z., & Kiss, J. (2022). Assessing the Importance of Natural Regulating Mechanisms in Weed Management: The Case of Weed Seed Predation in a Winter Wheat Field and in Adjacent Semi-Natural Habitat in Northern Hungary. Agronomy, 12(11), 2666. https://doi.org/10.3390/agronomy12112666

