Effects of Planting Density, Levels, and Forms of Nitrogen Application on the Yield and Nitrogen Utilization of Wheat following Rice in East China
Abstract
1. Introduction
2. Materials and Methods
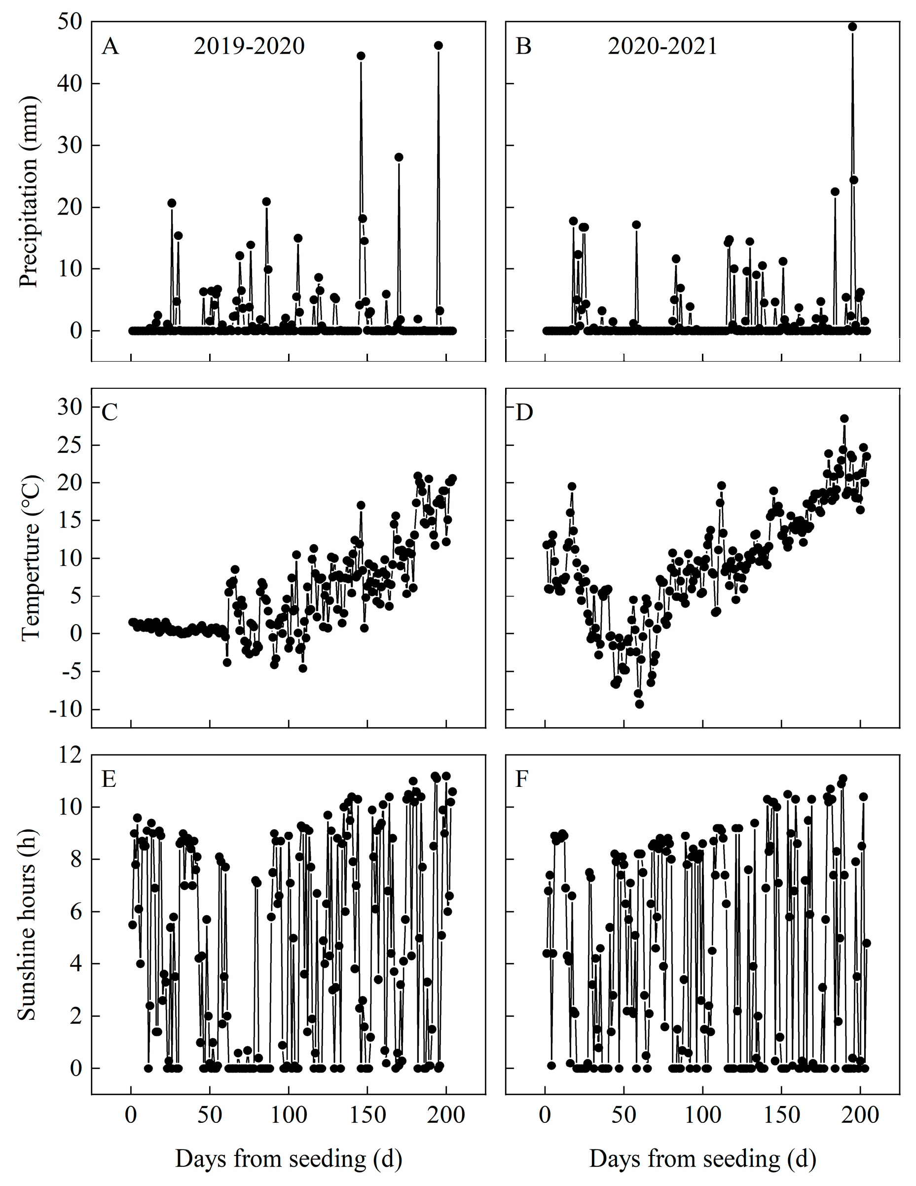
2.1. Plant Materials and Growing Conditions
2.2. Treatment
2.3. Sampling and Measurements
2.4. Data Calculation and Analysis
3. Results
3.1. Nitrogen Use Efficiency and Nitrogen Harvest Index
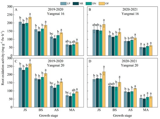
3.2. Root Oxidation Activity (ROA)
3.3. Photosynthetic Characteristics at Different Growth Stages
3.4. Dry Matter Accumulation at Different Growth Stages
3.5. Nitrogen Accumulation at Different Growth Stages
3.6. Yield, Yield Component, and Correlation Analysis
4. Discussion
4.1. Effects of Integrated Cultivation Practices on Photosynthetic Characteristics and Dry Matter Accumulation
4.2. Effects of Integrated Cultivation Practices on Root Growth
4.3. Effects of Integrated Cultivation Practices on Grain Yield and Nitrogen Uptake and Utilization
5. Conclusions
Author Contributions
Funding
Data Availability Statement
Conflicts of Interest
Appendix A
| Cultivar | Treatment † | Stem + Sheath | Leaf | Glume + Spike | |||
|---|---|---|---|---|---|---|---|
| N Remobilization (kg·ha−1) | Contribution to N in Grains (%) | N Remobilization (kg·ha−1) | Contribution to N in Grains (%) | N Remobilization (kg·ha−1) | Contribution to N in Grains (%) | ||
| Yangmai 16 | LP | 30.28 b ‡ | 27.70 a | 39.30 c | 36.00 ab | 12.75 a | 11.63 a |
| NR | 34.86 ab | 32.08 a | 33.39 d | 30.79 c | 14.33 a | 13.16 a | |
| DN | 31.24 b | 26.49 a | 43.97 b | 37.55 a | 14.39 a | 12.18 a | |
| OF | 41.60 a | 30.01 a | 49.32 a | 35.61 b | 18.50 a | 13.32 a | |
| Yangmai 20 | LP | 35.77 b | 27.55 a | 51.49 a | 39.70 a | 12.22 b | 9.41a |
| NR | 36.68 b | 29.67 a | 45.44 b | 36.77 a | 8.35 c | 6.76 b | |
| DN | 36.32 b | 27.98 a | 47.46 b | 36.61 a | 11.83 bc | 9.12 a | |
| OF | 46.69 a | 30.51 a | 55.33 a | 36.28 a | 15.89 a | 10.37 a | |
| Yield and Characteristics | Year (Y) | Cultivar (C) | Treatment (T) | Y * C | Y * T | C * T | Y * C * T |
|---|---|---|---|---|---|---|---|
| Actual yield | ** ‡ | ** | ** | ns | ns | * | ns |
| Number of panicles | ns | ** | ** | ns | ns | ns | ns |
| Spikelets per panicle | ** | ** | ** | ns | ns | ns | ns |
| Grain weight | ** | ** | ** | ** | ** | * | ** |
| REN † | ns | ** | ** | ** | ns | ns | ns |
| PFPN | * | ** | ** | ns | ns | ns | ns |
| AEN | ns | ** | ** | ns | ns | ns | ns |
| PEN | ns | ns | ** | ns | ns | ns | ns |
| Root active absorbing surface area at JS | ns | ** | ** | ns | ns | ns | ns |
| Root active absorbing surface area at BS | ** | ** | ** | ns | ns | ns | ns |
| Root active absorbing surface area at AS | ** | ** | ** | ns | ns | ns | ns |
| Root active absorbing surface area at GFS | ** | ns | ** | ns | ** | ns | ns |
| Root total absorbing surface area at JS | ** | ** | ** | ** | ns | ns | ns |
| Root total absorbing surface area at BS | ** | ** | ** | ** | ns | * | ns |
| Root total absorbing surface area at AS | ** | ** | ** | ns | ns | ns | ns |
| Root total absorbing surface area at GFS | ** | ** | ** | ns | ns | ns | ns |
| ROA at JS | ** | ** | ** | * | ns | ns | ns |
| ROA at BS | ** | ** | ** | ns | ns | ns | ns |
| ROA at AS | ** | ** | ** | ns | * | ns | ns |
| ROA at MA | ** | ** | ** | ns | ns | ns | ns |
| Pn at JS | ** | ** | ** | ** | ns | ** | ns |
| Pn at BS | ** | ** | ** | ** | ** | ** | ns |
| Pn at AS | ns | ** | ** | ** | ** | ** | ns |
| Pn at GFS | ** | ** | ** | ** | ** | ** | ns |
| Dry matter accumulation at JS | ** | ** | ** | ** | ** | ** | ns |
| Dry matter accumulation at BS | ** | ** | ** | ** | ** | ** | ns |
| Dry matter accumulation at AS | ** | ** | ** | ns | ** | ns | ns |
| Dry matter accumulation at MA | ** | ** | ** | * | ** | ns | ** |
| Nitrogen accumulation at JS | ** | ** | ** | ns | ns | ns | ns |
| Nitrogen accumulation at BS | ** | ** | ** | ns | ns | * | ns |
| Nitrogen accumulation at AS | ** | ** | ** | ns | ns | ns | ns |
| Nitrogen accumulation at MA | ** | ** | ** | ** | ns | ns | ns |



References
- Li, P.F.; Ma, B.L.; Guo, S.; Ding, T.T.; Xiong, Y.C. Bottom-up redistribution of biomass optimizes energy allocation, water use and yield formation in dryland wheat improvement. J. Sci. Food Agric. 2022, 102, 3336–3349. [Google Scholar] [CrossRef] [PubMed]
- Tong, X.J.; Li, J.; Yu, Q.; Lin, Z.H. Biophysical Controls on Light Response of Net CO2 Exchange in a Winter Wheat Field in the North China Plain. PLoS ONE 2014, 9, e89469. [Google Scholar] [CrossRef] [PubMed]
- National Bureau of Statistics of China. China Statistical Yearbook; China Statistics Press: Beijing, China, 2021.
- Zhao, X.L.; Gao, S.S.; Lu, D.J.; Wang, H.Y.; Chen, X.Q.; Zhou, J.M.; Zhang, L. Can Potassium Silicate Mineral Products Replace Conventional Potassium Fertilizers in Rice-Wheat Rotation? Agron. J. 2019, 111, 2075–2083. [Google Scholar] [CrossRef]
- Kirkegaard, J.A.; Hunt, J.R. Increasing productivity by matching farming system management and genotype in water-limited environments. J. Exp. Bot. 2010, 61, 4129–4143. [Google Scholar] [CrossRef] [PubMed]
- Qin, X.L.; Zhang, F.X.; Liu, C.; Yu, H.; Cao, B.G.; Tian, S.Q.; Liao, Y.C.; Siddique, K.H.M. Wheat yield improvements in China: Past trends and future directions. Field Crops Res. 2015, 177, 117–124. [Google Scholar] [CrossRef]
- Wang, Q.; Li, F.R.; Zhao, L.; Zhang, E.H.; Shi, S.L.; Zhao, W.Z.; Song, W.X.; Vance, M.M. Effects of irrigation and nitrogen application rates on nitrate nitrogen distribution and fertilizer nitrogen loss, wheat yield and nitrogen uptake on a recently reclaimed sandy farmland. Plant Soil 2010, 337, 325–339. [Google Scholar] [CrossRef]
- Ma, Q.; Wang, M.Y.; Zheng, G.L.; Yao, Y.; Tao, R.R.; Zhu, M.; Ding, J.F.; Li, C.Y.; Guo, W.S.; Zhu, X.K. Twice-split application of controlled-release nitrogen fertilizer met the nitrogen demand of winter wheat. Field Crops Res. 2021, 267, 108163. [Google Scholar] [CrossRef]
- Luo, L.C.; Hui, X.L.; Wang, Z.H.; Zhang, X.; Xie, Y.H.; Gao, Z.Q.; Chai, S.X.; Lu, Q.L.; Li, T.L.; Sun, M.; et al. Multi-site evaluation of plastic film mulch and nitrogen fertilization for wheat grain yield, protein content and its components in semiarid areas of China. Field Crops Res. 2019, 240, 86–94. [Google Scholar] [CrossRef]
- Malinas, A.; Vidican, R.; Rotar, I.; Malinas, C.; Moldovan, C.M.; Proorocu, M. Current Status and Future Prospective for Nitrogen Use Efficiency in Wheat (Triticum aestivum L.). Plants 2022, 11, 217. [Google Scholar] [CrossRef]
- Barraclough, P.B.; Howarth, J.R.; Jones, J.; Lopez-Bellido, R.; Parmar, S.; Shepherd, C.E.; Hawkesford, M.J. Nitrogen efficiency of wheat: Genotypic and environmental variation and prospects for improvement. Eur. J. Agron. 2010, 33, 1–11. [Google Scholar] [CrossRef]
- Duncan, E.G.; O’Sullivan, C.A.; Roper, M.M.; Biggs, J.S.; Peoples, M.B. Influence of co-application of nitrogen with phosphorus, potassium and sulphur on the apparent efficiency of nitrogen fertiliser use, grain yield and protein content of wheat: Review. Field Crops Res. 2018, 226, 56–65. [Google Scholar] [CrossRef]
- Food and Agriculture Organization (FAO). Available online: https://www.fao.org/3/a0800e/a0800e00.htm (accessed on 22 April 2021).
- Gao, S.C.; Zhang, S.Q.; Yuan, L.; Li, Y.T.; Wen, Y.C.; Xu, J.K.; Hu, S.W.; Zhao, B.Q. Humic Acids Incorporated into Urea at Different Proportions Increased Winter Wheat Yield and Optimized Fertilizer-Nitrogen Fate. Agronomy 2022, 12, 1526. [Google Scholar] [CrossRef]
- Gaju, O.; DeSilva, J.; Carvalho, P.; Hawkesford, M.J.; Griffiths, S.; Greenland, A.; Foulkes, M.J. Leaf photosynthesis and associations with grain yield, biomass and nitrogen-use efficiency in landraces, synthetic-derived lines and cultivars in wheat. Field Crops Res. 2016, 193, 1–15. [Google Scholar] [CrossRef]
- Mueller, N.D.; Gerber, J.S.; Johnston, M.; Ray, D.K.; Ramankutty, N.; Foley, J.A. Closing yield gaps through nutrient and water management. Nature 2013, 494, 390. [Google Scholar] [CrossRef]
- Zhao, H.B.; Si, L.Z. Effects of topdressing with nitrogen fertilizer on wheat yield, and nitrogen uptake and utilization efficiency on the Loess Plateau. Acta Agric. Scand. Sect. B-Soil Plant Sci. 2015, 65, 681–687. [Google Scholar] [CrossRef]
- Li, C.; Wang, X.S.; Guo, Z.K.; Huang, N.; Hou, S.B.; He, G.; Batchelor, W.D.; Siddique, K.H.M.; Wang, Z.H.; Zhang, D. Optimizing nitrogen fertilizer inputs and plant populations for greener wheat production with high yields and high efficiency in dryland areas. Field Crops Res. 2022, 276, 108374. [Google Scholar] [CrossRef]
- Yang, Q.L.; Zheng, F.X.; Jia, X.C.; Liu, P.; Dong, S.T.; Zhang, J.W.; Zhao, B. The combined application of organic and inorganic fertilizers increases soil organic matter and improves soil microenvironment in wheat-maize field. J. Soils Sediments 2020, 20, 2395–2404. [Google Scholar] [CrossRef]
- Gai, X.P.; Liu, H.B.; Liu, J.; Zhai, L.M.; Yang, B.; Wu, S.X.; Ren, T.Z.; Lei, Q.L.; Wang, H.Y. Long-term benefits of combining chemical fertilizer and manure applications on crop yields and soil carbon and nitrogen stocks in North China Plain. Agric. Water Manag. 2018, 208, 384–392. [Google Scholar] [CrossRef]
- Yang, Y.J.; Lei, T.; Du, W.; Liang, C.L.; Li, H.D.; Lv, J.L. Substituting chemical fertilizer nitrogen with organic manure and comparing their nitrogen use efficiency and winter wheat yield. J. Agric. Sci. 2020, 158, 262–268. [Google Scholar] [CrossRef]
- Chen, H.; Deng, A.X.; Zhang, W.J.; Li, W.; Qi, Y.Q.; Yang, T.M.; Zheng, C.Y.; Cao, C.F.; Chen, F. Long-term inorganic plus organic fertilization increases yield and yield stability of winter wheat. Crop J. 2018, 6, 589–599. [Google Scholar] [CrossRef]
- Giroto, A.S.; Guimares, G.G.F.; Ribeiro, C. A Novel, Simple Route to Produce Urea:Urea-Formaldehyde Composites for Controlled Release of Fertilizers. J. Polym. Environ. 2018, 26, 2448–2458. [Google Scholar] [CrossRef]
- Dai, X.L.; Zhou, X.H.; Jia, D.Y.; Xiao, L.L.; Kong, H.B.; He, M.R. Managing the seeding rate to improve nitrogen-use efficiency of winter wheat. Field Crops Res. 2013, 154, 100–109. [Google Scholar] [CrossRef]
- Zhang, X.Q.; Du, S.Z.; Xu, Y.J.; Cao, C.F.; Chen, H. Reducing N Application by Increasing Plant Density Based on Evaluation of Root, Photosynthesis, N Accumulation and Yield of Wheat. Agronomy 2021, 11, 1080. [Google Scholar] [CrossRef]
- Liu, Y.; Liao, Y.C.; Liu, W.Z. High nitrogen application rate and planting density reduce wheat grain yield by reducing filling rate of inferior grain in middle spikelets. Crop J. 2021, 9, 412–426. [Google Scholar] [CrossRef]
- Ramasamy, S.; Ten Berge, H.F.M.; Purushothaman, S. Yield formation in rice in response to drainage and nitrogen application. Field Crops Res. 1997, 51, 65–82. [Google Scholar] [CrossRef]
- Gao, J.; Shi, J.; Dong, S.; Liu, P.; Zhao, B.; Zhang, J. Grain yield and root characteristics of summer maize (Zea mays L.) under shade stress conditions. J. Agron. Crop Sci. 2017, 203, 562–573. [Google Scholar] [CrossRef]
- Zhang, H.; Jing, W.J.; Zhao, B.H.; Wang, W.L.; Xu, Y.J.; Zhang, W.Y.; Gu, J.F.; Liu, L.J.; Wang, Z.Q.; Yang, J.C. Alternative fertilizer and irrigation practices improve rice yield and resource use efficiency by regulating source-sink relationships. Field Crops Res. 2021, 265, 108124. [Google Scholar] [CrossRef]
- Przulj, N.; Momcilovic, V. Dry matter and nitrogen accumulation and use in spring barley. Plant Soil Environ. 2003, 49, 36–47. [Google Scholar] [CrossRef]
- Tao, Z.Q.; Ma, S.K.; Chang, X.H.; Wang, D.M.; Wang, Y.J.; Yang, Y.S.; Zhao, G.C.; Yang, J.C. Effects of tridimensional uniform sowing on water consumption, nitrogen use, and yield in winter wheat. Crop J. 2019, 7, 480–493. [Google Scholar] [CrossRef]
- Kodur, S.; Shrestha, U.B.; Maraseni, T.N.; Deo, R.C. Environmental and economic impacts and trade-offs from simultaneous management of soil constraints, nitrogen and water. J. Clean. Prod. 2019, 222, 960–970. [Google Scholar] [CrossRef]
- Tian, Z.W.; Liu, X.X.; Gu, S.L.; Yu, J.H.; Zhang, L.; Zhang, W.W.; Jiang, D.; Cao, W.X.; Dai, T.B. Postponed and reduced basal nitrogen application improves nitrogen use efficiency and plant growth of winter wheat. J. Integr. Agric. 2018, 17, 2648–2661. [Google Scholar] [CrossRef]
- Nehe, A.S.; Misra, S.; Murchie, E.H.; Chinnathambi, K.; Tyagi, B.S.; Foulkes, M.J. Nitrogen partitioning and remobilization in relation to leaf senescence, grain yield and protein concentration in Indian wheat cultivars. Field Crops Res. 2020, 251, 107778. [Google Scholar] [CrossRef] [PubMed]
- He, J.N.; Shi, Y.; Zhao, J.Y.; Yu, Z.W. Strip rotary tillage with subsoiling increases winter wheat yield by alleviating leaf senescence and increasing grain filling. Crop J. 2020, 8, 327–340. [Google Scholar] [CrossRef]
- Ma, Q.; Sun, Q.; Zhang, X.B.; Li, F.J.; Ding, Y.G.; Tao, R.R.; Zhu, M.; Ding, J.F.; Li, C.Y.; Guo, W.S.; et al. Controlled-release nitrogen fertilizer management influences grain yield in winter wheat by regulating flag leaf senescence post-anthesis and grain filling. Food Energy Secur. 2022, 11, e361. [Google Scholar] [CrossRef]
- Ruan, L.; Zhang, J.; Xin, X.; Miller, A.J.; Tong, Y. Elymus dahuricus H+-PPase EdVP1 enhances potassium uptake and utilization of wheat through the development of root system. J. Soil Sci. Plant Nutr. 2013, 13, 716–729. [Google Scholar] [CrossRef]
- Xin, W.; Zhang, L.N.; Zhang, W.Z.; Gao, J.P.; Yi, J.; Zhen, X.X.; Du, M.; Zhao, Y.Z.; Chen, L.Q. An Integrated Analysis of the Rice Transcriptome and Metabolome Reveals Root Growth Regulation Mechanisms in Response to Nitrogen Availability. Int. J. Mol. Sci. 2019, 20, 5893. [Google Scholar] [CrossRef]
- Xin, W.; Liu, H.L.; Zhao, H.W.; Wang, J.G.; Zheng, H.L.; Jia, Y.; Yang, L.M.; Wang, X.P.; Li, J.M.; Li, X.W.; et al. The Response of Grain Yield and Root Morphological and Physiological Traits to Nitrogen Levels in Paddy Rice. Front. Plant Sci. 2021, 12, 1826. [Google Scholar] [CrossRef]
- Ning, P.; Li, S.; Li, X.X.; Li, C.J. New maize hybrids had larger and deeper post-silking root than old ones. Field Crops Res. 2014, 166, 66–71. [Google Scholar] [CrossRef]
- Xu, X.; Pang, D.W.; Chen, J.; Luo, Y.L.; Zheng, M.J.; Yin, Y.P.; Li, Y.X.; Li, Y.; Wang, Z.L. Straw return accompany with low nitrogen moderately promoted deep root. Field Crops Res. 2018, 221, 71–80. [Google Scholar] [CrossRef]
- Liu, W.X.; Wang, J.R.; Wang, C.Y.; Ma, G.; Wei, Q.R.; Lu, H.F.; Xie, Y.X.; Ma, D.Y.; Kang, G.Z. Root Growth, Water and Nitrogen Use Efficiencies in Winter Wheat Under Different Irrigation and Nitrogen Regimes in North China Plain. Front. Plant Sci. 2018, 9, 1798. [Google Scholar] [CrossRef]
- Gao, Y.M.; Zhang, M.; Yao, C.S.; Liu, Y.Q.; Wang, Z.M.; Zhang, Y.H. Increasing seeding density under limited irrigation improves crop yield and water productivity of winter wheat by constructing a reasonable population architecture. Agric. Water Manag. 2021, 253, 106951. [Google Scholar] [CrossRef]
- Dai, X.L.; Xiao, L.L.; Jia, D.Y.; Kong, H.B.; Wang, Y.C.; Li, C.X.; Zhang, Y.; He, M.R. Increased plant density of winter wheat can enhance nitrogen-uptake from deep soil. Plant Soil 2014, 384, 141–152. [Google Scholar] [CrossRef]
- Li, G.H.; Gu, R.; Xu, K.; Guo, B.W.; Dai, Q.G.; Huo, Z.Y.; Wei, H.Y. Split application of a mixture of controlled-release and common urea for improving quality and agronomic and economic performance in wheat production. Crop Sci. 2021, 61, 4402–4415. [Google Scholar] [CrossRef]
- Zhang, G.X.; Liu, S.J.; Dong, Y.J.; Liao, Y.C.; Han, J. A nitrogen fertilizer strategy for simultaneously increasing wheat grain yield and protein content: Mixed application of controlled-release urea and normal urea. Field Crops Res. 2022, 277, 108405. [Google Scholar] [CrossRef]
- Wu, L.F.; Han, X.W.; Islam, S.; Zhai, S.N.; Zhao, H.; Zhang, G.S.; Cui, G.Z.; Zhang, F.; Han, W.L.; You, X.S.; et al. Effects of Sowing Mode on Lodging Resistance and Grain Yield in Winter Wheat. Agronomy 2021, 11, 1378. [Google Scholar] [CrossRef]
- Xiao, Z.L.; Wu, H.; Gu, H.Z.; Zhang, W.Y.; Gu, J.F.; Liu, L.L.; Wang, Z.Q.; Yang, J.C.; Zhang, H. Effect of different integrated cultivation modes on yield, agronomic and photosynthetic characteristics of wheat following rice stubble. J. Triticeae Crops 2022, 42, 988–1000. [Google Scholar] [CrossRef]
- Li, J.P.; Wang, Y.Q.; Zhang, M.; Liu, Y.; Xu, X.X.; Lin, G.; Wang, Z.M.; Yang, Y.M.; Zhang, Y.H. Optimized micro-sprinkling irrigation scheduling improves grain yield by increasing the uptake and utilization of water and nitrogen during grain filling in winter wheat. Agric. Water Manag. 2019, 211, 59–69. [Google Scholar] [CrossRef]
- Yang, J.W.; Shi, Y.G.; Shi, H.W.; Wang, Y.B.; Guan, W.H.; Yan, X.; Wang, S.G.; Sun, D.Z. Screening of Wheat (Triticum aestivum L.) Varieties with High Nitrogen Use Efficiency under Rainfed and Irrigated Conditions. Turk. J. Field Crops 2019, 24, 121–131. [Google Scholar] [CrossRef]







| Treatment † | N Application | Basic Seedling (104·ha−1) | Basic Application of Organic Fertilizer (kg·ha−1) | |
|---|---|---|---|---|
| Overall Amount (kg·ha−1) | Proportion | |||
| NB | 0 | 0 | 240 | 0 |
| LP | 240 | 6:1:3 | 240 | 0 |
| NR | 216 | 5:1:2:2 | 240 | 0 |
| DN | 216 | 5:1:2:2 | 192 | 0 |
| OF | 216 | 5:1:2:2 | 192 | 1800 |
| Year/Cultivar | Treatment † | REN ‡ (%) | PFPN (kg·kg−1) | AEN (kg·kg−1) | PEN (kg·kg−1) | NHI |
|---|---|---|---|---|---|---|
| 2019–2020/Yangmai 16 | LP | 34.29 b § | 24.33 b | 10.01 b | 29.17 b | 0.67 b |
| NR | 35.51 b | 25.32 bc | 9.42 b | 26.47 b | 0.69 ab | |
| DN | 36.53 b | 27.41 b | 11.51 b | 31.53 b | 0.74 ab | |
| OF | 45.27 a | 34.18 a | 18.28 a | 40.54 a | 0.75 a | |
| 2019–2020/Yangmai 20 | LP | 33.78 b | 29.06 c | 11.63 bc | 34.42 ab | 0.74 c |
| NR | 34.78 b | 29.67 c | 10.30 c | 29.79 b | 0.74 bc | |
| DN | 36.68 b | 32.94 b | 13.58 b | 37.20 ab | 0.76 b | |
| OF | 47.98 a | 38.18 a | 18.81 a | 39.19 a | 0.79 a | |
| 2020–2021/Yangmai 16 | LP | 31.65 c | 25.03 c | 10.50 b | 33.18 b | 0.67 c |
| NR | 34.23 b | 26.38 c | 10.24 b | 29.94 b | 0.67 c | |
| DN | 33.44 bc | 29.49 b | 13.34 b | 39.79 ab | 0.73 b | |
| OF | 43.64 a | 36.18 a | 20.04 a | 45.92 a | 0.76 a | |
| 2020–2021/Yangmai 20 | LP | 38.09 b | 30.84 c | 12.19 c | 32.13 bc | 0.71 c |
| NR | 38.19 b | 31.82 c | 11.10 c | 29.15 c | 0.71 c | |
| DN | 38.87 b | 36.11 b | 15.40 b | 39.58 ab | 0.74 b | |
| OF | 49.64 a | 42.08 a | 21.36 a | 43.13 a | 0.77 a |
Publisher’s Note: MDPI stays neutral with regard to jurisdictional claims in published maps and institutional affiliations. |
© 2022 by the authors. Licensee MDPI, Basel, Switzerland. This article is an open access article distributed under the terms and conditions of the Creative Commons Attribution (CC BY) license (https://creativecommons.org/licenses/by/4.0/).
Share and Cite
Xiao, Z.; Gu, H.; Wu, H.; Jing, W.; Zhu, K.; Zhang, W.; Gu, J.; Liu, L.; Qian, X.; Wang, Z.; et al. Effects of Planting Density, Levels, and Forms of Nitrogen Application on the Yield and Nitrogen Utilization of Wheat following Rice in East China. Agronomy 2022, 12, 2607. https://doi.org/10.3390/agronomy12112607
Xiao Z, Gu H, Wu H, Jing W, Zhu K, Zhang W, Gu J, Liu L, Qian X, Wang Z, et al. Effects of Planting Density, Levels, and Forms of Nitrogen Application on the Yield and Nitrogen Utilization of Wheat following Rice in East China. Agronomy. 2022; 12(11):2607. https://doi.org/10.3390/agronomy12112607
Chicago/Turabian StyleXiao, Zhilin, Hanzhu Gu, Hao Wu, Wenjiang Jing, Kuanyu Zhu, Weiyang Zhang, Junfei Gu, Lijun Liu, Xiaoqing Qian, Zhiqin Wang, and et al. 2022. "Effects of Planting Density, Levels, and Forms of Nitrogen Application on the Yield and Nitrogen Utilization of Wheat following Rice in East China" Agronomy 12, no. 11: 2607. https://doi.org/10.3390/agronomy12112607
APA StyleXiao, Z., Gu, H., Wu, H., Jing, W., Zhu, K., Zhang, W., Gu, J., Liu, L., Qian, X., Wang, Z., Yang, J., & Zhang, H. (2022). Effects of Planting Density, Levels, and Forms of Nitrogen Application on the Yield and Nitrogen Utilization of Wheat following Rice in East China. Agronomy, 12(11), 2607. https://doi.org/10.3390/agronomy12112607

