The Invasion and Long Naturalization of Solanum elaeagnifolium affects the Soil Nematode Community: Evidence from a Comparative Study
Abstract
1. Introduction
2. Materials and Methods
2.1. Study Area
2.2. Soil Sampling
2.3. Soil Physicochemical Properties
2.4. Nematode Extraction and Identification
2.5. Nematode Functional Indices
2.6. Data Analysis
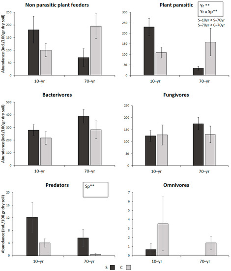
3. Results
4. Discussion
5. Conclusions
Author Contributions
Funding
Data Availability Statement
Conflicts of Interest
References
- Hierro, J.L.; Maron, J.L.; Callaway, R.M. A biogeographical approach to plant invasions: The importance of studying exotics in their introduced and native range. J. Ecol. 2005, 93, 5–15. [Google Scholar] [CrossRef]
- Soulé, M.E. The onslaught of alien species, and other challenges in the coming decades. Conserv. Biol. 1990, 4, 233–240. [Google Scholar] [CrossRef]
- Vitousek, P.M.; D’antonio, C.M.; Loope, L.L.; Rejmanek, M.; Westbrooks, R. Introduced species: A significant component of human-caused global change. N. Z. J. Ecol. 1997, 21, 1–16. Available online: https://www.researchgate.net/publication/246522062_Introduced_Species_A_Significant_Component_of_Human-Caused_Global_Change (accessed on 31 August 2022).
- Mack, R.N.; Simberloff, D.; Mark Lonsdale, W.; Evans, H.; Clout, M.; Bazzaz, F.A. Biotic invasions: Causes, epidemiology, global consequences, and control. Ecol. Appl. 2000, 10, 689–710. [Google Scholar] [CrossRef]
- McNeely, J.A. An introduction to human dimensions of invasive alien species. In The Great Reshuffling: Human Dimensions of Invasive Alien Species; IUCN: Gland, Switzerland; Cambridge, UK, 2001; pp. 5–20. [Google Scholar]
- Hulme, P.E. Biological invasions in Europe: Drivers, pressures, states, impacts and responses. In Biodiversity under Threat; Hester, R., Harrison, R., Eds.; Issues in Environmental Science and Technology; Cambridge University Press: Cambridge, UK, 2007; Volume 25, pp. 56–80. [Google Scholar]
- Bacher, S.; Blackburn, T.M.; Essl, F.; Genovesi, P.; Heikkilä, J.; Jeschke, J.M.; Jones, G.; Keller, R.; Kenis, M.; Kueffer, C. Socio-economic impact classification of alien taxa (SEICAT). Methods Ecol. Evol. 2018, 9, 159–168. [Google Scholar] [CrossRef]
- Diagne, C.; Leroy, B.; Vaissière, A.-C.; Gozlan, R.E.; Roiz, D.; Jarić, I.; Salles, J.-M.; Bradshaw, C.J.; Courchamp, F. High and rising economic costs of biological invasions worldwide. Nature 2021, 592, 571–576. [Google Scholar] [CrossRef]
- DiTomaso, J.M. Invasive weeds in rangelands: Species, impacts, and management. Weed Sci. 2000, 48, 255–265. [Google Scholar] [CrossRef]
- Simberloff, D. Non-native species do threaten the natural environment! J. Agric. Environ. Ethics 2005, 18, 595–607. [Google Scholar] [CrossRef]
- Charles, H.; Dukes, J.S. Impacts of invasive species on ecosystem services. In Biological Invasions; Nentwig, W., Ed.; Ecological Studies; Springer: Berlin, Germany, 2008; Volume 193, pp. 217–237. [Google Scholar]
- Vilà, M.; Basnou, C.; Pyšek, P.; Josefsson, M.; Genovesi, P.; Gollasch, S.; Nentwig, W.; Olenin, S.; Roques, A.; Roy, D. How well do we understand the impacts of alien species on ecosystem services? A pan-European, cross-taxa assessment. Front. Ecol. Environ. 2010, 8, 135–144. [Google Scholar] [CrossRef]
- Vilà, M.; Hulme, P.E. Non-native species, ecosystem services, and human well-being. In Impact of Biological Invasions on Ecosystem Services; Vilà, M., Hulme, P.E., Eds.; Volume Invading Nature—Springer Series in Invasion Ecology; Springer: Cham, Switzerland, 2017; Volume 12, pp. 1–14. [Google Scholar]
- Kuyper, T.W.; de Goede, R.G.M. Interactions Between Higher Plants and Soil-dwelling Organisms. In Vegetation Ecology, 2nd ed.; van der Maarel, E., Franklin, J., Eds.; John Wiley & Sons, Ltd: Hoboken, NJ, USA, 2013; pp. 260–284. [Google Scholar] [CrossRef]
- Bever, J.D.; Westover, K.M.; Antonovics, J. Incorporating the soil community into plant population dynamics: The utility of the feedback approach. J. Ecol. 1997, 85, 561–573. [Google Scholar] [CrossRef]
- Bever, J.D. Soil community feedback and the coexistence of competitors: Conceptual frameworks and empirical tests. New Phytol. 2003, 157, 465–473. [Google Scholar] [CrossRef] [PubMed]
- Callaway, R.M.; Thelen, G.C.; Rodriguez, A.; Holben, W.E. Soil biota and exotic plant invasion. Nature 2004, 427, 731–733. [Google Scholar] [CrossRef] [PubMed]
- Wolfe, B.E.; Klironomos, J.N. Breaking new ground: Soil communities and exotic plant invasion. BioScience 2005, 55, 477–487. [Google Scholar] [CrossRef]
- Reinhart, K.O.; Callaway, R.M. Soil biota and invasive plants. New Phytol. 2006, 170, 445–457. [Google Scholar] [CrossRef]
- van der Putten, W.H.; Bardgett, R.D.; Bever, J.D.; Bezemer, T.M.; Casper, B.B.; Fukami, T.; Kardol, P.; Klironomos, J.N.; Kulmatiski, A.; Schweitzer, J.A. Plant–soil feedbacks: The past, the present and future challenges. J. Ecol. 2013, 101, 265–276. [Google Scholar] [CrossRef]
- van der Putten, W.H.; Bradford, M.A.; Pernilla Brinkman, E.; van de Voorde, T.F.; Veen, G. Where, when and how plant–soil feedback matters in a changing world. Funct. Ecol. 2016, 30, 1109–1121. [Google Scholar] [CrossRef]
- Suding, K.N.; Stanley Harpole, W.; Fukami, T.; Kulmatiski, A.; MacDougall, A.S.; Stein, C.; van der Putten, W.H. Consequences of plant–soil feedbacks in invasion. J. Ecol. 2013, 101, 298–308. [Google Scholar] [CrossRef]
- Schittko, C.; Runge, C.; Strupp, M.; Wolff, S.; Wurst, S. No evidence that plant–soil feedback effects of native and invasive plant species under glasshouse conditions are reflected in the field. J. Ecol. 2016, 104, 1243–1249. [Google Scholar] [CrossRef]
- Belnap, J.; Phillips, S.L. Soil biota in an ungrazed grassland: Response to annual grass (Bromus tectorum) invasion. Ecol. Appl. 2001, 11, 1261–1275. [Google Scholar] [CrossRef]
- Ferris, H.; Venette, R.; Scow, K. Soil management to enhance bacterivore and fungivore nematode populations and their nitrogen mineralisation function. Appl. Soil Ecol. 2004, 25, 19–35. [Google Scholar] [CrossRef]
- Ferris, H.; Bongers, T. Nematode indicators of organic enrichment. J. Nematol. 2006, 38, 3. Available online: https://pubmed.ncbi.nlm.nih.gov/19259424/ (accessed on 31 August 2022). [PubMed]
- Porazinska, D.L.; Pratt, P.D.; Glblin-Davis, R.M. Consequences of Melaleuca quinquenervia invasion on soil nematodes in the Florida Everglades. J. Nematol. 2007, 39, 305. Available online: https://pubmed.ncbi.nlm.nih.gov/19259503/ (accessed on 31 August 2022). [PubMed]
- Lazzaro, L.; Mazza, G.; d’Errico, G.; Fabiani, A.; Giuliani, C.; Inghilesi, A.F.; Lagomarsino, A.; Landi, S.; Lastrucci, L.; Pastorelli, R. How ecosystems change following invasion by Robinia pseudoacacia: Insights from soil chemical properties and soil microbial, nematode, microarthropod and plant communities. Sci. Total Environ. 2018, 622, 1509–1518. [Google Scholar] [CrossRef] [PubMed]
- Knevel, I.C.; Lans, T.; Menting, F.B.; Hertling, U.M.; van der Putten, W.H. Release from native root herbivores and biotic resistance by soil pathogens in a new habitat both affect the alien Ammophila arenaria in South Africa. Oecologia 2004, 141, 502–510. [Google Scholar] [CrossRef]
- van der Putten, W.; Yeates, G.; Duyts, H.; Reis, C.S.; Karssen, G. Invasive plants and their escape from root herbivory: A worldwide comparison of the root-feeding nematode communities of the dune grass Ammophila arenaria in natural and introduced ranges. Biol. Invasions 2005, 7, 733–746. [Google Scholar] [CrossRef]
- Yeates, G.W.; Williams, P.A. Influence of three invasive weeds and site factors on soil microfauna in New Zealand. Pedobiologia 2001, 45, 367–383. [Google Scholar] [CrossRef]
- Porazinska, D.L.; Fujisaki, I.; Purcell, M.F.; Giblin-Davis, R.M. Plant invasions from a belowground nematocentric perspective. Soil Biol. Biochem. 2014, 77, 213–220. [Google Scholar] [CrossRef]
- Boyd, J.; Murray, D.; Tyrl, R. Silverleaf nightshade, Solanum elaeagnifolium, origin, distribution, and relation to man. Econ. Bot. 1984, 38, 210–217. [Google Scholar] [CrossRef]
- Mekki, M. Biology, distribution and impacts of silverleaf nightshade (Solanum elaeagnifolium Cav.). Bull. OEPP 2007, 37, 114–118. [Google Scholar] [CrossRef]
- Utah, W.; Rico, P. Datasheet on quarantine—Solanum elaeagnifolium. Bull. OEPP 2007, 37, 236–245. Available online: https://gd.eppo.int/download/doc/246_datasheet_SOLEL.pdf (accessed on 31 August 2022).
- Uludag, A.; Gbehounou, G.; Kashefi, J.; Bouhache, M.; Bon, M.C.; Bell, C.; Lagopodi, A. Review of the current situation for Solanum elaeagnifolium in the Mediterranean Basin. Bull. OEPP 2016, 46, 139–147. [Google Scholar] [CrossRef]
- Roche, C. Silverleaf Nightshade (Solanum elaeagnifolium Cav.). In PNW-Pacific Northwest Extension Publication; Cooperative Extension Service, Washington State Universitiy: Washington, DC, USA, 1991. [Google Scholar]
- Stanton, R.; Heap, J.; Carter, R.; Wu, H. Solanum elaeagnifolium Cav. In The Biology of Australian Weeds; Panetta, F., Ed.; RG and FJ Richardson: Melbourne, Australia, 2009; Volume 3, pp. 1–35. [Google Scholar]
- Chavana, J.; Singh, S.; Vazquez, A.; Christoffersen, B.; Racelis, A.; Kariyat, R.R. Local adaptation to continuous mowing makes the noxious weed Solanum elaeagnifolium a superweed candidate by improving fitness and defense traits. Sci. Rep. 2021, 11, 1–15. [Google Scholar] [CrossRef]
- Brunel, S. Pest risk analysis for Solanum elaeagnifolium and international management measures proposed. Bull. OEP 2011, 41, 232–242. [Google Scholar] [CrossRef]
- Krigas, N.; Tsiafouli, M.A.; Katsoulis, G.; Votsi, N.-E.; van Kleunen, M. Investigating the invasion pattern of the alien plant Solanum elaeagnifolium Cav. (Silverleaf Nightshade): Environmental and human-induced drivers. Plants 2021, 10, 805. [Google Scholar] [CrossRef]
- Tscheulin, T.; Petanidou, T.; Potts, S.G.; Settele, J. The impact of Solanum elaeagnifolium, an invasive plant in the Mediterranean, on the flower visitation and seed set of the native co-flowering species Glaucium flavum. Plant Ecol. 2009, 205, 77–85. [Google Scholar] [CrossRef]
- Tscheulin, T.; Petanidou, T. The presence of the invasive plant Solanum elaeagnifolium deters honeybees and increases pollen limitation in the native co-flowering species Glaucium flavum. Biol. Invasions 2013, 15, 385–393. [Google Scholar] [CrossRef]
- Tscheulin, T.; Petanidou, T.; Settele, J. Invasive weed facilitates incidence of Colorado potato beetle on potato crop. Int. J. Pest Manag. 2009, 55, 165–173. [Google Scholar] [CrossRef]
- Kashefi, J.; Lagopodi, A. New pathogens of Solanum elaeagnifolium investigated as possible biocontrol agents of the weed in Greece. In Proceedings of the Environmental Weeds and Invasive Plants, 3rd International Symposium of Environmental Weeds and Invasive Plants, Ascona, Switzerland, 2–7 October 2011. [Google Scholar]
- Ganatsas, P.; Tsitsoni, T.; Tsakaldimi, M.; Zagas, T. Reforestation of degraded Kermes oak shrublands with planted pines: Effects on vegetation cover, species diversity and community structure. New For. 2012, 43, 1–11. [Google Scholar] [CrossRef]
- Richardson, D.M.; Pyšek, P. Plant invasions: Merging the concepts of species invasiveness and community invasibility. Prog. Phys. Geogr. 2006, 30, 409–431. [Google Scholar] [CrossRef]
- Yannitsaros, A.; Economidou, E. Studies on the adventive flora of Greece. I. General remarks on some recently introduced taxa. Candollea 1974, 29, 111–119. [Google Scholar]
- Browicz, K. Nicotiana glauca and Solanum elaeagnifolium [Solanaceae]—Two xenophytes from South America and the history of their spreading in the eastern Mediterranean. Fragm. Flor. Geobot. Suppl. 1993, 2, 299–305. [Google Scholar]
- Lagoudakis, N.; Krigas, N.; Hanlidou, E.; Kokkini, S. Plant species with alkaloids in the city of Thessaloniki (N Greece): Distribution and alkaloid content. Bot. Chron. 2002, 15, 35–44. [Google Scholar]
- Krigas, N. Flora and Human Activities in the Area of Thessaloniki: Biological Approach and Historical Consideration. Ph.D. Thesis, Aristotle University of Greece, Thessaloniki, Greece, 2004. [Google Scholar]
- Krigas, N.; Kokkini, S. A survey of the alien vascular flora of the urban and suburban area of Thessaloniki, N Greece. Willdenowia 2004, 34, 81–99. Available online: http://www.jstor.org/stable/3997464 (accessed on 31 August 2022). [CrossRef]
- Arianoutsou, M.; Bazos, I.; Delipetrou, P.; Kokkoris, Y. The alien flora of Greece: Taxonomy, life traits and habitat preferences. Biol. Invasions 2010, 12, 3525–3549. [Google Scholar] [CrossRef]
- Bouyoucos, G.J. Hydrometer method improved for making particle size analyses of soils. Agron. J. 1962, 54, 464–465. [Google Scholar] [CrossRef]
- Schofield, R.; Taylor, A.W. The measurement of soil pH. Soil Sci. Soc. Am. J. 1955, 19, 164–167. [Google Scholar] [CrossRef]
- Allen, S. Chemical Analysis of Ecological Materials; Blackwell Scientific Publications: Oxford, UK, 1974. [Google Scholar]
- Jacob, J.J.; van Bezooijen, J. Manual for Practical Work in Nematology; Landbouwhogeschool Wageningen: Wageningen, The Netherlands, 1984. [Google Scholar]
- Bongers, T. Identification key: De Nematoden van Nederland. KNNV Bibliotheekuitgave 1994, 46, 408. [Google Scholar]
- Yeates, G.W.; Bongers, T.; De Goede, R.G.; Freckman, D.W.; Georgieva, S. Feeding habits in soil nematode families and genera—an outline for soil ecologists. J. Nematol. 1993, 25, 315. Available online: https://pubmed.ncbi.nlm.nih.gov/19279775/ (accessed on 31 August 2022).
- Bongers, T.; Bongers, M. Functional diversity of nematodes. Appl. Soil Ecol. 1998, 10, 239–251. [Google Scholar] [CrossRef]
- Bongers, T. The Maturity Index, the evolution of nematode life history traits, adaptive radiation and cp-scaling. Plant Soil 1999, 212, 13–22. [Google Scholar] [CrossRef]
- Bongers, T. The maturity index: An ecological measure of environmental disturbance based on nematode species composition. Oecologia 1990, 83, 14–19. [Google Scholar] [CrossRef] [PubMed]
- Ferris, H.; Bongers, T.; de Goede, R.G. A framework for soil food web diagnostics: Extension of the nematode faunal analysis concept. Appl. Soil Ecol. 2001, 18, 13–29. [Google Scholar] [CrossRef]
- Anderson, M.J. Permanova: A Fortran computer program for permutational multivariate analysis of variance. Ecol. Monogr. 2005, 83, 557–574. Available online: http://img2.timg.co.il/forums/1_124959686.pdf (accessed on 31 August 2022). [CrossRef]
- Breiman, L.; Friedman, J.H.; Olshen, R.A.; Stone, C.J. Classification and Regression Trees; Routledge: New York, NY, USA, 1984. [Google Scholar]
- Clark, L.A.; Pregibon, D. Tree-based models. In Statistical Models in S.; Hastie, T., Ed.; Routledge: New York, NY, USA, 1992. [Google Scholar]
- Friedl, M.A.; Brodley, C.E. Decision tree classification of land cover from remotely sensed data. Remote Sens. Environ. 1997, 61, 399–409. [Google Scholar] [CrossRef]
- Statistica. Data Analysis Software System; Version 7®; StatSoft, Inc.: Tulsa, OK, USA, 2004; Available online: www.statsoft.com (accessed on 30 August 2022).
- Patil, G.; Taillie, C. An overview of diversity. In Ecological Diversity in Theory and Practice; Grassle, J., Patil, G., Smith, W., Taillie, C., Eds.; International Cooperative Publishing House: Fairland, ML, USA, 1979. [Google Scholar]
- Rényi, A. On measures of entropy and information. In Proceedings of the Fourth Berkeley Symposium on Mathematical Statistics and Probability, Volume 1: Contributions to the Theory of Statistics, Berkley, CA, USA, 20 June–30 July 1961; pp. 547–562. [Google Scholar]
- Ricotta, C. From theoretical ecology to statistical physics and back: Self-similar landscape metrics as a synthesis of ecological diversity and geometrical complexity. Ecol. Modell. 2000, 125, 245–253. [Google Scholar] [CrossRef]
- Tóthmérész, B. Comparison of different methods for diversity ordering. J. Veg. Sci. 1995, 6, 283–290. [Google Scholar] [CrossRef]
- Hammer, O.; Harper, A.; Ryan, P. PAST: Paleontological statistics software package for education and data analysis. Palaeontol. Electron. 2001, 4. Available online: https://palaeo-electronica.org/2001_1/past/past.pdf (accessed on 31 August 2022).
- Travlos, I.S. Responses of invasive silverleaf nightshade (Solanum elaeagnifolium) populations to varying soil water availability. Phytoparasitica 2013, 41, 41–48. [Google Scholar] [CrossRef]
- Fitoussi, N.; Pen-Mouratov, S.; Steinberger, Y. Soil free-living nematodes as bio-indicators for assaying the invasive effect of the alien plant Heterotheca subaxillaris in a coastal dune ecosystem. Appl. Soil Ecol. 2016, 102, 1–9. [Google Scholar] [CrossRef]
- Renčo, M.; Čerevková, A.; Homolová, Z. Nematode communities indicate the negative impact of Reynoutria japonica invasion on soil fauna in ruderal habitats of Tatra National park in Slovakia. Glob. Ecol. Conserv. 2021, 26, e01470. [Google Scholar] [CrossRef]
- Keane, R.M.; Crawley, M.J. Exotic plant invasions and the enemy release hypothesis. Trends Ecol. Evol. 2002, 17, 164–170. [Google Scholar] [CrossRef]
- Hierro, J.L.; Callaway, R.M. Allelopathy and exotic plant invasion. Plant Soil 2003, 256, 29–39. [Google Scholar] [CrossRef]
- Renčo, M.; Jurová, J.; Gömöryová, E.; Čerevková, A. Long-term giant hogweed invasion contributes to the structural changes of soil nematofauna. Plants 2021, 10, 2103. [Google Scholar] [CrossRef] [PubMed]
- Sammani, A.; Shammaa, E.; Chehna, F. Qualitative and quantitative steroidal alkaloids of Solanum species distributed widely in Syria by TLC and HPLC. Int. J. Pharm. Sci. Rev. Res. 2013, 23, 23–27. Available online: https://citeseerx.ist.psu.edu/viewdoc/download?doi=10.1.1.1037.8833&rep=rep1&type=pdf (accessed on 31 August 2022).
- Chiale, C.A.; Cabrera, J.L.; Juliani, H.R. Kaempferol 3-(6 ″-cis-cinnamoylglucoside) from Solanum elaeagnifolium. Phytochemistry 1991, 30, 1042–1043. [Google Scholar] [CrossRef]
- Abdel aziz Balah, M. Herbicidal activity of constituents isolated from Solanum elaeagnifolium (Solanaceae). J. Crop Prot. 2015, 4, 487–496. Available online: https://jcp.modares.ac.ir/article-3-3802-en.html (accessed on 31 August 2022).
- Badawy, A.; Zayed, R.; Ahmed, S.; Hassanean, H. Phytochemical and pharmacological studies of Solanum elaeagnifolium growing in Egypt. J. Nat. Prod. 2013, 6, 156–167. Available online: http://www.journalofnaturalproducts.com/Volume6/22_Res_paper-21.pdf (accessed on 31 August 2022).
- Tsaballa, A.; Nikolaidis, A.; Trikka, F.; Ignea, C.; Kampranis, S.C.; Makris, A.M.; Argiriou, A. Use of the de novo transcriptome analysis of silver-leaf nightshade (Solanum elaeagnifolium) to identify gene expression changes associated with wounding and terpene biosynthesis. BMC Genom. 2015, 16, 1–15. [Google Scholar] [CrossRef][Green Version]
- Balah, M.A.; AbdelRazek, G.M. Pesticidal activity of Solanum elaeagnifolium Cav. leaves against nematodes and perennial weeds. Acta Ecol. Sin. 2020, 40, 373–379. [Google Scholar] [CrossRef]
- Wuyts, N.; Swennen, R.; De Waele, D. Effects of plant phenylpropanoid pathway products and selected terpenoids and alkaloids on the behaviour of the plant-parasitic nematodes Radopholus similis, Pratylenchus penetrans and Meloidogyne incognita. Nematology 2006, 8, 89–101. [Google Scholar] [CrossRef]
- Faizi, S.; Fayyaz, S.; Bano, S.; Yawar Iqbal, E.; Siddiqi, H.; Naz, A. Isolation of nematicidal compounds from Tagetes patula L. yellow flowers: Structure–activity relationship studies against cyst nematode Heterodera zeae infective stage larvae. J. Agric. Food Chem. 2011, 59, 9080–9093. [Google Scholar] [CrossRef] [PubMed]
- Hamouda, A.B.; Chaieb, I.; Zarrad, K.; Laarif, A. Insecticidal activity of methanolic extract of silverleaf nightshade against Tribolium castaneum. Int. J. Entomol. Res. 2015, 3, 23–28. Available online: https://esciencepress.net/journals/index.php/IJER/article/view/1002 (accessed on 31 August 2022).
- Hamouda, A.B.; Zarrad, K.; Chaieb, I. Antifeedant and insecticidal properties of Solanum elaeagnifolium extracts on the African Cotton Leafworm. Azarian J. Agric. 2015, 2, 71–74. Available online: https://www.researchgate.net/publication/301676646_Antifeedant_and_insecticidal_properties_of_Solanum_elaeagnifolium_extracts_on_the_African_Cotton_Leafworm (accessed on 31 August 2022).
- Njeh, F.; Feki, H.; Koubaa, I.; Hamed, N.; Damak, M.; Ayadi, A.; Hammami, H.; Mezghani-Jarraya, R. Molluscicidal activity of Solanum elaeagnifolium seeds against Galba truncatula intermediate host of Fasciola hepatica: Identification of β-solamarine. Pharm. Biol. 2016, 54, 726–731. [Google Scholar] [CrossRef]
- Neutel, A.-M.; Heesterbeek, J.A.; Van de Koppel, J.; Hoenderboom, G.; Vos, A.; Kaldeway, C.; Berendse, F.; De Ruiter, P.C. Reconciling complexity with stability in naturally assembling food webs. Nature 2007, 449, 599–602. [Google Scholar] [CrossRef]
- Rasmann, S.; Bauerle, T.L.; Poveda, K.; Vannette, R. Predicting root defence against herbivores during succession. Funct. Ecol. 2011, 25, 368–379. [Google Scholar] [CrossRef]
- Archidona-Yuste, A.; Wiegand, T.; Eisenhauer, N.; Cantalapiedra-Navarrete, C.; Palomares-Rius, J.E.; Castillo, P. Agriculture causes homogenization of plant-feeding nematode communities at the regional scale. J. Appl. Ecol. 2021, 58, 2881–2891. [Google Scholar] [CrossRef]
- Belnap, J.; Phillips, S.L.; Sherrod, S.K.; Moldenke, A. Soil biota can change after exotic plant invasion: Does this affect ecosystem processes? Ecology 2005, 86, 3007–3017. [Google Scholar] [CrossRef]
- Petanidou, T.; Price, M.V.; Bronstein, J.L.; Kantsa, A.; Tscheulin, T.; Kariyat, R.; Krigas, N.; Mescher, M.C.; De Moraes, C.M.; Waser, N.M. Pollination and reproduction of an invasive plant inside and outside its ancestral range. Acta Oecol. 2018, 89, 11–20. [Google Scholar] [CrossRef]
- Zhi, D.; Li, H.; Nan, W. Nematode communities in the artificially vegetated belt with or without irrigation in the Tengger Desert, China. Eur. J. Soil Biol. 2008, 44, 238–246. [Google Scholar] [CrossRef]
- Sylvain, Z.A.; Wall, D.H. Linking soil biodiversity and vegetation: Implications for a changing planet. Am. J. Bot. 2011, 98, 517–527. [Google Scholar] [CrossRef] [PubMed]




| Recently Invaded (10-yr) | Historically Invaded (70-yr) | yr | sp | yr × sp | |||
|---|---|---|---|---|---|---|---|
| S | C | S | C | ||||
| Clay (%) | 2.13 (0.15) | 2.51 (0.67) | 2.17 (0.33) | 3.17 (0.67) | ns | ns | ns |
| Silt (%) | 22.73 (2.46) | 23.33 (5.21) | 28.33 (4.70) | 25.33 (2.40) | ns | ns | ns |
| Sand (%) | 75.13 (4.50) | 74.16 (4.62) | 69.49 (4.37) | 71.49 (2.67) | ns | ns | ns |
| Water content (%) | 4.56 (0.25) | 4.92 (0.42) | 3.85 (0.31) | 2.34 (0.40) | * | ns | ns |
| pH | 8.18 (0.24) | 7.88 (0.15) | 8.11 (0.11) | 8.00 (0.02) | ns | ns | ns |
| Organic C (%) | 0.98 (0.26) | 1.55 (0.55) | 1.61 (0.73) | 0.80 (0.20) | ns | ns | ns |
| Organic N (%) | 0.20 (0.04) | 0.24 (0.05) | 0.16 (0.04) | 0.17 (0.02) | ns | ns | ns |
| C/N | 4.65 (0.52) | 6.53 (1.70) | 9.18 (2.06) | 5.07 (1.53) | ns | ns | ns |
| Recently Invaded (10yr) | Historically Invaded (70yr) | yr | sp | yr × sp | |||
|---|---|---|---|---|---|---|---|
| S | C | S | C | ||||
| Total abundance | 827.38 (107.26) | 560.02 (110.26) | 672.40 (91.16) | 767.36 (147.39) | ns | ns | ns |
| Number of genera | 19.06 (1.49) | 19.11 (1.02) | 13.44 (0.75) | 17.11 (0.92) | ** | ns | ns |
| Maturity Index | 1.83 (0.07) | 1.95 (0.06) | 1.86 (0.04) | 1.74 (0.08) | ns | ns | ns |
| Plant Parasitic Index | 2.56 (0.10) | 2.54 (0.12) | 2.40 (0.10) | 2.39 (0.08) | ns | ns | ns |
| Enrichment Index | 63.02 (5.12) | 48.38 (6.08) | 49.44 (5.47) | 66.38 (6.01) | ns | ns | * |
| Structure Index | 19.68 (5.06) | 15.33 (5.28) | 4.97 (1.85) | 12.09 (4.42) | ns | ns | ns |
| Channel Index | 26.51 (4.60) | 54.19 (12.23) | 38.69 (4.32) | 28.67 (8.11) | ns | ns | * |
| yr | sp | yr × sp | Pair–Wise Tests | |
|---|---|---|---|---|
| All genera | ** | *** | ns | |
| Non-parasitic plant feeding genera | ns | ns | ns | |
| Plant parasitic genera | * | ** | ns | |
| Bacterivorous genera | *** | *** | ns | |
| Fungivorous genera | * | * | ns | |
| Predatory genera | ns | ns | * | S–70yr ≠ C–70yr C–10yr ≠ C–70yr |
| Omnivorous genera | ns | ns | ns |
| Genus | cp Value | S–10yr | C–10yr | S–70yr | C–70yr | ||||
|---|---|---|---|---|---|---|---|---|---|
| Abund. | Partic. % | Abund. | Partic. % | Abund. | Partic. % | Abund. | Partic. % | ||
| Non-parasitic plant feeders | |||||||||
| Boleodorus | 2 | 65.77 | 7.95 | 32.33 | 5.77 | 55.63 | 7.85 | 78.85 | 10.28 |
| Filenchus | 2 | 85.07 | 10.28 | 49.31 | 8..81 | 31.16 | 4.40 | 105.86 | 13.80 |
| Malenchus | 2 | 30.26 | 3.66 | 18.07 | 3.23 | 4.09 | 0.58 | 9.40 | 1.23 |
| Tylenchus | 2 | 0.93 | 0.12 | ||||||
| Parasitic plant feeders | |||||||||
| Bitylenchus | 3 | 15.44 | 1.87 | 17.55 | 3.13 | 1.77 | 0.25 | 7.21 | 0.94 |
| Helicotylenchus | 3 | 20.08 | 2.43 | 18.61 | 3.32 | 2.55 | 0.33 | ||
| Merlinius | 3 | 19.89 | 2.40 | 12.58 | 2.25 | 4.77 | 0.67 | 95.39 | 12.43 |
| Nagelus | 3 | 0.87 | 0.11 | ||||||
| Paratylenchus | 2 | 19.40 | 2.34 | 14.99 | 2.68 | 18.52 | 2.41 | ||
| Pratylenchoides | 3 | 7.08 | 1.26 | 8.56 | 1.21 | ||||
| Pratylencus | 3 | 82.84 | 10.01 | 4.94 | 0.88 | 7.28 | 1.03 | 4.01 | 0.52 |
| Pungentus | 4 | 11.13 | 1.99 | ||||||
| Quinisulcius | 3 | 4.09 | 0.49 | 0.20 | 0.04 | ||||
| Rotylenchus | 3 | 15.13 | 1.83 | ||||||
| Scutylenchus | 3 | 51.19 | 6.19 | 18.97 | 3.39 | 16.92 | 2.39 | 29.86 | 3.89 |
| Tylenchorynchus | 3 | 1.10 | 0.13 | 2.80 | 0.50 | 1.20 | 0.16 | ||
| Bacterivores | |||||||||
| Acrobeles | 2 | 9.38 | 1.13 | 3.34 | 0.60 | 13.56 | 1.91 | 5.22 | 0.68 |
| Acrobeloides | 2 | 48.50 | 5.86 | 36.68 | 6.55 | 69.90 | 9.87 | 5.31 | 0.69 |
| Alaimus | 4 | 1.60 | 0.19 | ||||||
| Cervidellus | 2 | 2.97 | 0.36 | 3.81 | 0.68 | 2.33 | 0.33 | 0.65 | 0.08 |
| Chiloplacus | 2 | 42.50 | 5.14 | 42.01 | 7.50 | 162.35 | 22.92 | 43.35 | 5.65 |
| Chronogaster | 3 | 0.71 | 0.09 | 1.91 | 0.34 | 1.43 | 0.20 | 2.06 | 0.27 |
| Drilocephalobus | 2 | 1.41 | 0.17 | 1.30 | 0.17 | ||||
| Eucephalobus | 2 | 16.26 | 1.97 | 22.65 | 4.05 | 4.01 | 0.57 | 16.63 | 2.17 |
| Eumonnhystera | 2 | 3.80 | 0.46 | 20.68 | 3.69 | 12.33 | 1.74 | 10.25 | 1.34 |
| Geomonhystera | 2 | 6.35 | 0.77 | 8.92 | 1.59 | 12.05 | 1.57 | ||
| Heterocephalobus | 2 | 1.90 | 0.34 | 1.74 | 0.24 | 1.20 | 0.16 | ||
| Mesorhabditis | 1 | 3.73 | 0.45 | 19.55 | 3.49 | 21.83 | 3.08 | 92.06 | 12.00 |
| Monhystera | 2 | 1.11 | 0.13 | 1.20 | 0.16 | ||||
| Panagrolaimus | 1 | 78.48 | 9.49 | 9.46 | 1.69 | 70.28 | 9.92 | 51.69 | 6.74 |
| Paramphidelus | 4 | 0.71 | 0.09 | ||||||
| Pellioditis | 1 | 0.34 | 0.04 | ||||||
| Plectus | 2 | 20.20 | 2.44 | 16.75 | 2.99 | 23.95 | 3.38 | 29.96 | 3.90 |
| Prismatolaimus | 3 | 2.69 | 0.33 | 5.45 | 0.97 | 1.41 | 0.18 | ||
| Pristionchus | 1 | 1.01 | 0.18 | ||||||
| Protorhabditis | 1 | 10.53 | 1.27 | 6.24 | 1.11 | ||||
| Rhabditis | 1 | 24.73 | 2.99 | 13.36 | 2.39 | 0.46 | 0.07 | 3.26 | 0.42 |
| Wilsonema | 2 | 4.08 | 0.49 | 2.70 | 0.48 | 3.78 | 0.53 | 2.02 | 0.26 |
| Fungivores | |||||||||
| Aphelenchoides | 2 | 71.13 | 8.60 | 56.22 | 10.04 | 55.24 | 7.80 | 22.43 | 2.92 |
| Aphelenchus | 2 | 10.39 | 1.26 | 42.98 | 7.68 | 29.20 | 4.12 | 27.87 | 3.63 |
| Bursaphelenchus | 2 | 1.85 | 0.24 | ||||||
| Aprutides | 2 | 0.87 | 0.11 | 1.01 | 0.18 | ||||
| Ditylenchus | 2 | 41.29 | 4.99 | 26.47 | 4.73 | 98.29 | 13.88 | 74.33 | 9.69 |
| Tylencholaimus | 4 | 0.80 | 0.14 | 5.38 | 0.70 | ||||
| Predators | |||||||||
| Aporcelaimellus | 5 | 0.71 | 0.09 | 0.46 | 0.07 | 0.34 | 0.04 | ||
| Eudorylaimus | 4 | 1.40 | 0.25 | 1.45 | 0.20 | ||||
| Mylonchulus | 4 | 0.71 | 0.13 | ||||||
| Prionchulus | 4 | 2.52 | 0.30 | ||||||
| Thonus | 4 | 8.93 | 1.08 | 1.90 | 0.34 | 5.60 | 0.79 | ||
| Omnivores | |||||||||
| Aporcailemium | 5 | 0.19 | 0.03 | ||||||
| Laimydorus | 5 | 1.06 | 0.14 | ||||||
| Mesodorylaimus | 5 | 0.68 | 0.08 | 3.34 | 0.60 | 0.34 | 0.04 | ||
Publisher’s Note: MDPI stays neutral with regard to jurisdictional claims in published maps and institutional affiliations. |
© 2022 by the authors. Licensee MDPI, Basel, Switzerland. This article is an open access article distributed under the terms and conditions of the Creative Commons Attribution (CC BY) license (https://creativecommons.org/licenses/by/4.0/).
Share and Cite
Karmezi, M.; Krigas, N.; Argyropoulou, M.D. The Invasion and Long Naturalization of Solanum elaeagnifolium affects the Soil Nematode Community: Evidence from a Comparative Study. Agronomy 2022, 12, 2346. https://doi.org/10.3390/agronomy12102346
Karmezi M, Krigas N, Argyropoulou MD. The Invasion and Long Naturalization of Solanum elaeagnifolium affects the Soil Nematode Community: Evidence from a Comparative Study. Agronomy. 2022; 12(10):2346. https://doi.org/10.3390/agronomy12102346
Chicago/Turabian StyleKarmezi, Maria, Nikos Krigas, and Maria D. Argyropoulou. 2022. "The Invasion and Long Naturalization of Solanum elaeagnifolium affects the Soil Nematode Community: Evidence from a Comparative Study" Agronomy 12, no. 10: 2346. https://doi.org/10.3390/agronomy12102346
APA StyleKarmezi, M., Krigas, N., & Argyropoulou, M. D. (2022). The Invasion and Long Naturalization of Solanum elaeagnifolium affects the Soil Nematode Community: Evidence from a Comparative Study. Agronomy, 12(10), 2346. https://doi.org/10.3390/agronomy12102346

