Early and Total Yield Enhancement of the Globe Artichoke Using an Ecofriendly Seaweed Extract-Based Biostimulant and PK Fertilizer
Abstract
1. Introduction
2. Materials and Methods
2.1. Soil Analysis
2.2. Preparation of Seaweed Extract Formulation
- ○
- The seaweed extract was first mixed in equal ratios.
- ○
- The mixture was added to the humic substances in solution form and stirred well in a ratio of 3:1 v/v.
- ○
- This formula was stored at −20 °C until use.
2.3. Treatments
2.4. Data Collection
2.5. Mineral Nutrient Analyses
2.6. Inulin Content
2.7. Total Phenols Content
2.8. Statistical Analysis
3. Results and Discussion
3.1. Growth Parameters
3.2. Yield Parameters
3.2.1. Head Characteristics
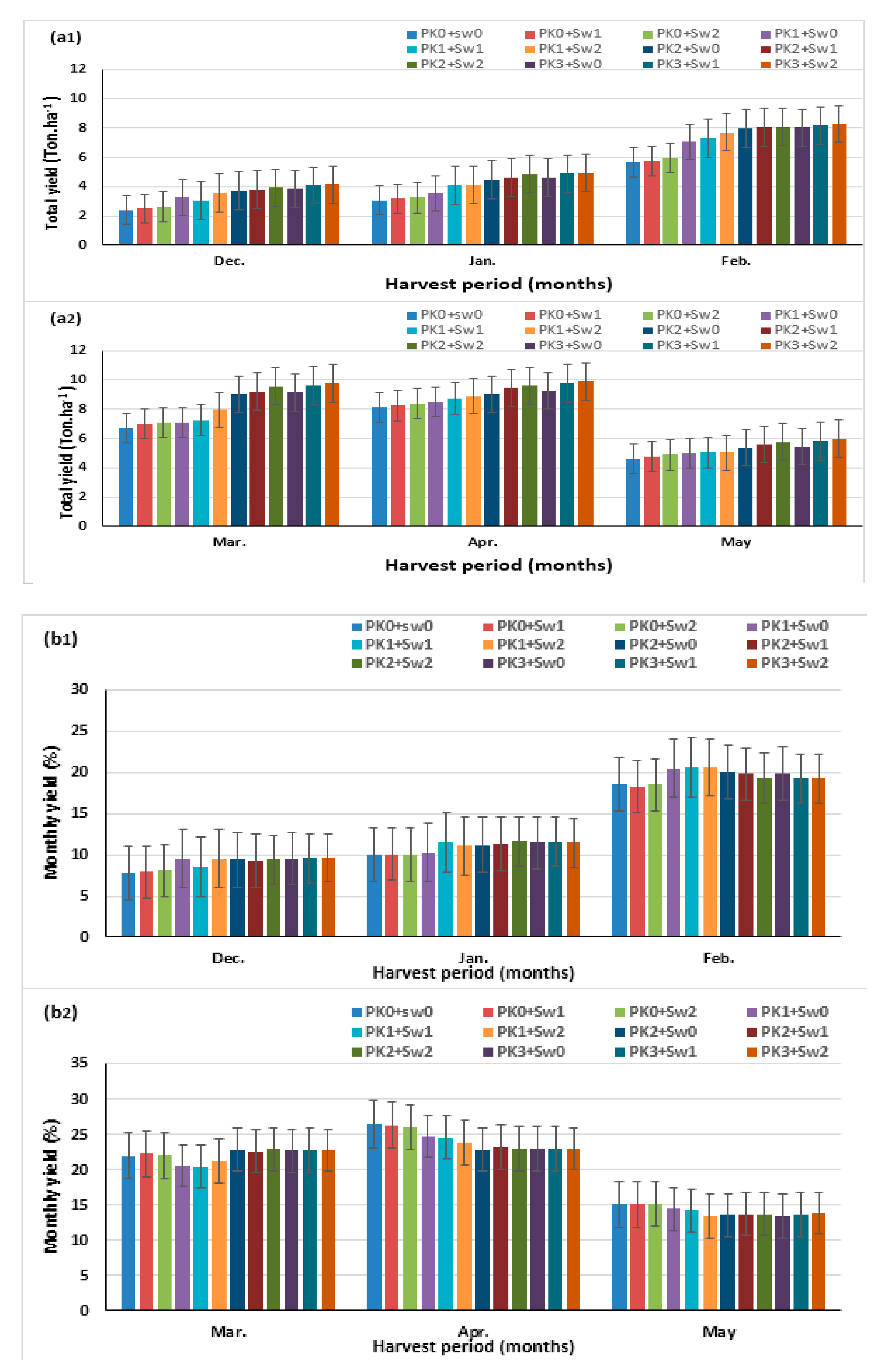
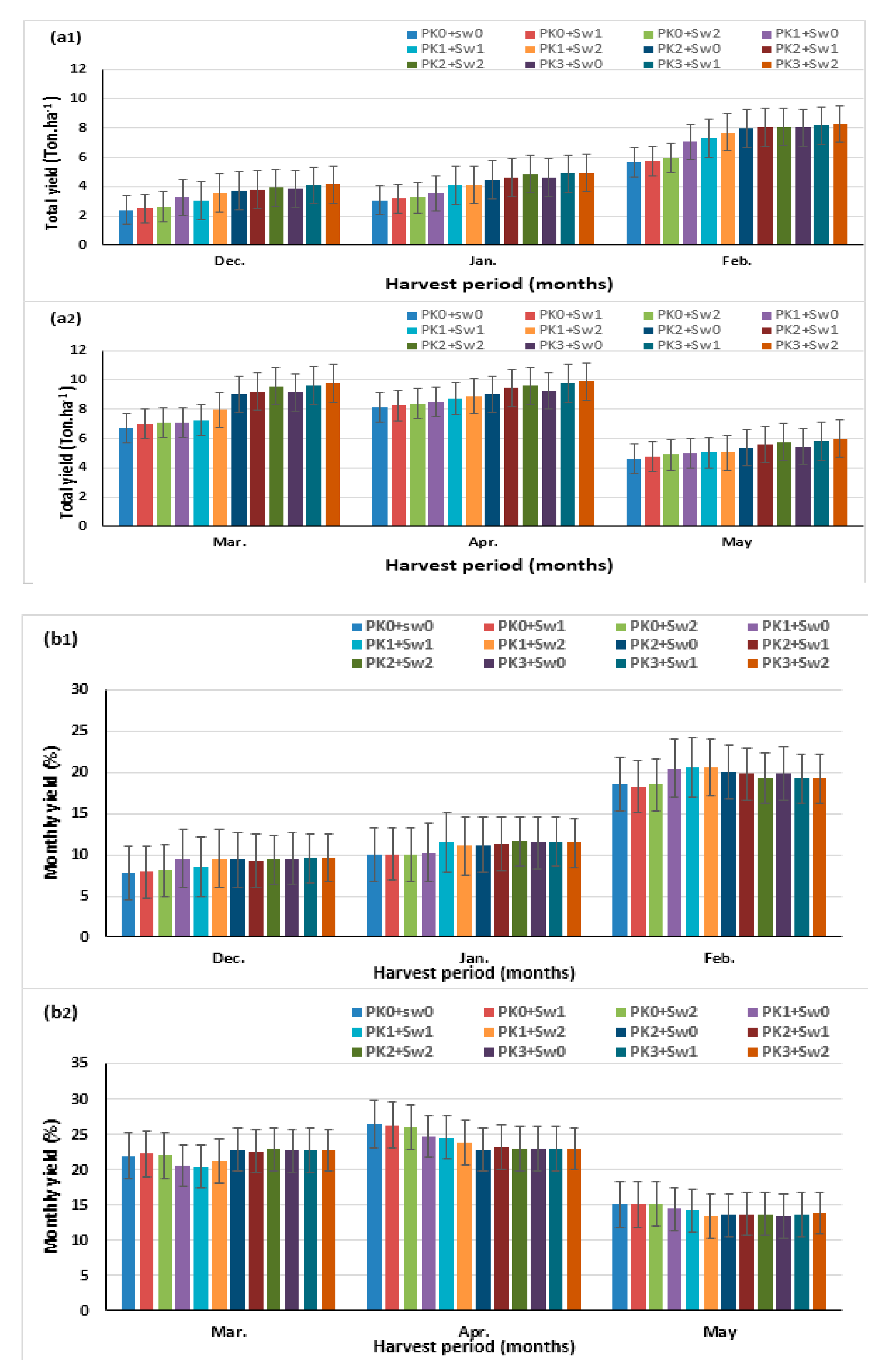
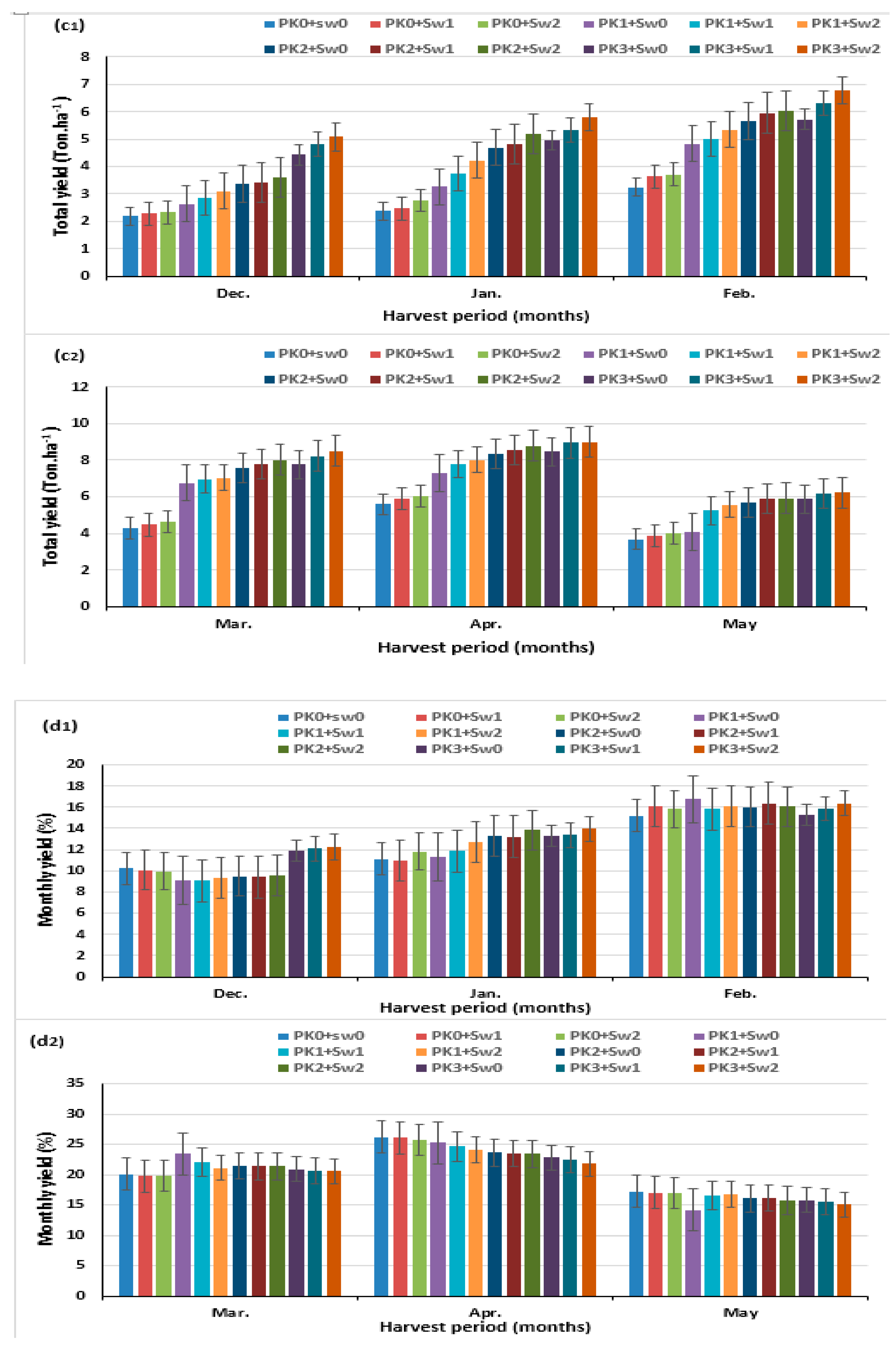
3.2.2. Early and Total Yield Pattern
3.2.3. Head Quality
4. Conclusions
Author Contributions
Funding
Institutional Review Board Statement
Informed Consent Statement
Data Availability Statement
Acknowledgments
Conflicts of Interest
References
- Ghoneim, I.M. Effect of biofertilizer types under varying nitrogen levels on vegetative growth, head yield and quality of globe artichoke (Cynara scolymus, L.). J. Agric. Environ. Sci. Alex. Univ. Egypt. 2005, 4, 1–23. [Google Scholar]
- Anwar, R.S.M.; Mahmoud, M.A.; Naglaa Hussien, H. Effect of irrigation and potassium fertilizer on vegetative growth, yield and quality of globe artichoke plants under sandy soil conditions. J. Plan. Prod. Mans. Univ. 2017, 8, 1275–1284. [Google Scholar] [CrossRef]
- Nouraya, A.-C.; Robin, P.; Menasseri-Aubry, S.; Corson, M.S.; Sévère, J.P.; Collet, J.; Morvan, M.T. Fate of Nitrogen from Artichoke (Cynara cardunculus L. var. scolymus (L.)) Crop Residues: A Review and Lysimeter Study. Nitrogen 2021, 2, 41–61. [Google Scholar] [CrossRef]
- Ierna, A.; Mauro, R.P.; Mauromicale, G. Improved yield and nutrient efficiency in two globe artichoke genotypes by balancing nitrogen and phosphorus supply. Agron. Sustain. Dev. 2012, 32, 773–780. [Google Scholar] [CrossRef]
- Saleh, S.A.; Zaki, M.F.; Tantawy, A.S.; Salama, Y.A.M. Response of artichoke productivity to different proportions of nitrogen and potassium fertilizers. Int. J. Chem. Technol. Res. 2016, 9, 25–33. [Google Scholar]
- Ryan, J.; Masri, S.; Ceccarelli, S.; Grando, S.; Ibrikci, H. Differential responses of barley landraces and improved barley cultivars to nitrogen–phosphorus fertilizer. J. Plan. Nutr. 2008, 31, 381–393. [Google Scholar] [CrossRef]
- Memon, K.S. Soil and fertilizer phosphorus. In Soil Sciences; Basher, E., Bantel, R., Eds.; National Book Foundation: Islamabad, Pakistan, 1996; pp. 291–314. [Google Scholar]
- Wissuwa, M.; Yano, M.; Ae, N. Mapping of QTLs for phosphorus-deficiency tolerance in rice (Oryza sativa L.). Theor. Appl. Genet. 1998, 97, 777–783. [Google Scholar] [CrossRef]
- Mohamed, M.H.M.; Ali, M.M.E. Effect of phosphorus fertilizer sources and foliar spray with some growth stimulants on vegetative growth, productivity and quality of globe artichoke. Int. J. Plant Soil Sci. 2016, 13, 1–15. [Google Scholar] [CrossRef]
- Foti, S.; Mauromicale, G.; Ierna, A. Response of seed-grown globe artichoke to different levels of nitrogen fertilization and water supplies. In Proceedings of the IV International Congress on Artichoke, Valenzano, Bari, Italy, 17–21 October 2000; Volume 681, pp. 237–242. [Google Scholar]
- Saleh, S. Physiological Responses of Artichoke Plants to Irrigation and Fertilization under Special Recognition of Salinity. Ph.D. Thesis, Technics University Munich, Munich, Germany, 2003. [Google Scholar]
- Shehata, S.M.; Heba, S.A.; Abou El-Yazied, A.; El-Gizawy, A.M. Effect of foliar spraying with amino acids and seaweed extract on growth chemical constitutes, yield and its quality of celeriac Plant. Eur. J. Sci. Res. 2011, 58, 257–265. [Google Scholar]
- Omar, A.; Ramsubhag, A.; Jayaraman, J. Biostimulant properties of Seaweed Extract in Plants: Implications towards Sustainable Crop Production. Plants 2021, 10, 531. [Google Scholar]
- Wally, O.S.D.; Wally, O.S.; Critchley, A.T.; Hiltz, D.; Craigie, J.S.; Han, X.; Zaharia, L.I.; Abrams, S.R.; Prithiviraj, B. Reg-ulation of phytohormone biosynthesis and accumulation in Arabidopsis following treatment with commercial extract from the marine macroalga Ascophyllum nodosum. J. Plant Growth Regul. 2013, 32, 324–339, Erratum in 2013, 32, 340–341. [Google Scholar] [CrossRef]
- Saif Eldeen, U.M.; Shokr, M.M.B.; Shotoury, R.S.E.L. Effect of foliar spray with seaweed extract and chitozan on earliness and productivity of globe artichoke. J. Plant Prod. Man. Univ. 2014, 5, 1197–1207. [Google Scholar] [CrossRef]
- Abdel Nabi, H.M.A.; Samar, M.A.; Qwaider, A.F.S. Effect of Organic, Bio Fertilization and Foliar Spraying Treatments on Artichoke. J. Plan. Prod. Mans. Univ. 2017, 8, 559–567. [Google Scholar] [CrossRef][Green Version]
- Hassan Shimaa, M.; Ashour, M.; Sakai, N.; Zhang, L.; Hassanien, H.A.; Gaber, A.; Ammarr, A.G. Impact of Seaweed Liquid Extract Biostimulant on Growth, Yield, and Chemical Composition of Cucumber (Cucumis sativus). Agriculture 2021, 11, 320. [Google Scholar] [CrossRef]
- Selvam, G.G.; Sivakumar, K. Influence of seaweed extract as an organic fertilizer on the growth and yield of Arachis hypogea L. and their elemental composition using SEM–Energy Dispersive Spectroscopic analysis. Asian Pac. J. Reprod. 2014, 3, 18–22. [Google Scholar] [CrossRef]
- Battacharyya, D.; Babgohari, M.Z.; Rathor, P.; Prithiviraj, B. Seaweed extracts as biostimulants in horticulture. Sci. Hortic. 2015, 196, 39–48. [Google Scholar] [CrossRef]
- Campobenedetto, C.; Agliassa, C.; Mannino, G.; Vigliante, I.; Secchi, F.; Bertea, C.M. A Biostimulant Based on Seaweed (Ascophyllum nodosum and Laminaria digitata) and Yeast Extract Mitigates Water Stress Effects on Tomato (Solanum lycopersicum L.). Agriculture 2021, 11, 557. [Google Scholar] [CrossRef]
- Mannino, G.; Campobenedetto, C.; Vigliante, I.; Contartese, V.; Gentile, C.; Bertea, C.M. The Application of a Plant Biostimulant Based on Seaweed and Yeast Extract Improved Tomato Fruit Development and Quality. Biomolecules 2020, 10, 1662. [Google Scholar] [CrossRef]
- Ramya, S.S.; Vijayanand, N.; Rathinavel, S. Foliar application of liquid biofertilizer of brown alga Stoechospermum marginatum on growth, biochemical and yield of (Solanum melongena). Int. J. Recycl Org. Waste Agric. 2015, 4, 167–173. [Google Scholar] [CrossRef]
- Page, A.L.; Miller, R.H.; Keeney, D.R. Methods of Soil Analysis. In Part 2. Chemical and Microbiological Properties; American Society of Agronomy, Soil Science Society of America: Madison, WI, USA, 1982; Volume 2. [Google Scholar]
- Aleem, A.A. The Marine Algae of Alexandria, Egypt; Privately Published: Alexandria, Egypt, 1993; p. 139. [Google Scholar]
- Braune, W. Meeresalgen: Ein Farbbildführer zu Verbereit en Grün-, Braun-und Rotalgen der Weltmeere; A.R.G. Gantner Verlag: Ruggell, Liechtenstein, 2008; p. 596. Available online: http://www.worldcat.org/oclc/647022550 (accessed on 13 July 2021).
- Pempkowiak, J.; Kozuch, J.; Southon, T. The influence of structural features of marine humic substances on the accumulation rates of cadmium by a blue musse lMytilusedulis. Environ. Int. 1994, 20, 291–395. [Google Scholar] [CrossRef]
- Van Zomeren, A.; Comans, R.N.J. Measurement of humic and fulvic acid concentrations and dissolution properties by a rapid batch procedure. Environ. Sci. Technol. 2007, 41, 6755–6761. [Google Scholar] [CrossRef]
- Hartree, E.F. Determination of protein: A modification of the Lowry method that gives a linear photometric response. Anal. Riochem. 1972, 48, 422–427. [Google Scholar] [CrossRef]
- De Pádua, M.; Fontoura, P.S.G.; Mathias, A.L. Chemical composition of Ulvaria oxysperma (Kützing) Bliding, Ulva lactuca (Linnaeus) and Ulva fascita (Delile). Braz. Archves Biol. Technol. 2004, 47, 49–55. [Google Scholar] [CrossRef]
- Okimasu, S. On the estimation of alginic acid in seaweeds by the method of colloid titration. J. Agric. Chem. Soc. Jpn. 1958, 22, 63–68. [Google Scholar] [CrossRef]
- Levine, M.; Dhariwal, K.R.; Welch, R.W.; Wang, Y.; Park, J.B. Determination of optimal vitamin C requirements in humans. Am. J. Clin. Nutr. 1995, 62, 1347S–1356S. [Google Scholar] [CrossRef] [PubMed]
- Chapman, H.D.; Pratt, P.F. Methods of Analysis for Soils, Plants and Water; University of California, Division of Agricultural Sciences: Berkeley, CA, USA, 1961. [Google Scholar]
- Araya, S.; Suporn, N.; Jogloy, S.; Patanothai, A.; Srijaranai, S. A simplified spectrophotometric for the determination of inulin in Jerusalem artichoke tubers. Eur. Food Res. Technol. 2011, 233, 609–616. [Google Scholar]
- Association of Official Analytical Chemists (AOAC). Official Methods of Analysis of AOAC International; AOAC International: Gaithersburg, MD, USA, 2012. [Google Scholar]
- Statistical Package for Social Sciences. SPSS Software Version 22.0; SPSS Inc.: Chicago, IL, USA, 2018. [Google Scholar]
- Steel, R.G.D.; Torrie, J.H. Procedures of Statistics, 2nd ed.; McGraw Hill Book Co., Inc.: New York, NY, USA, 1984. [Google Scholar]
- Marschner, P. Mineral Nutrition of Higher Plants, 3rd ed.; Academic Press: London, UK, 2012; pp. 178–189. [Google Scholar]
- Wahid, F.; Sharif, M.; Fahad, S.; Adnan, M.; Khan, I.A.; Aksoy, E.; Ali, A.; Sultan, T.; Alam, M.; Saeed, M. Arbuscular mycorrhizal fungi improve the growth and phosphorus uptake of mung bean plants fertilized with composted rock phosphate fed dung in alkaline soil environment. J. Plant Nutr. 2019, 42, 1760–1769. [Google Scholar] [CrossRef]
- Ierna, A.; Mauromicale, G.; Licandro, P. Yield and harvest time of globe artichoke in relation to nitrogen and phosphorus fertilization. ActaHort 2006, 700, 115–120. [Google Scholar]
- Mzibra, A.; Aasfar, A.; Mehdi, K.; Farrie, Y.; Boulif, R.; Kadmiri, I.M.; Bamouh, A.; Allal, D. Improving Growth, Yield, and Quality of Tomato Plants (Solanum lycopersicum L.) by The Application of Moroccan Seaweed-Based Biostimulants Under Greenhouse Conditions. Agronomy 2021, 11, 1373. [Google Scholar] [CrossRef]
- Petropoulos, S.A. Practical applications of plant biostimulants in greenhouse vegetable crop production. Agronomy 2020, 10, 1569. [Google Scholar] [CrossRef]
- Sayed, S.M.; Abd El-Dayem, H.M.; El-Desouky, S.A.; Khedr, Z.M.; Samy, M.M. Effect of silicon and algae extract foliar application on growth and early yield of globe artichoke plants. Plant Biotechnol. 2018, 56, 207–214. [Google Scholar]
- Madian, G.K.I.; Abido, A.I.A.; Yousry, M.M.; Abou El Fadl, N.I. Globe artichoke yield and quality as affected by foliar application of seaweed extract and cooling periods of crown pieces. J. Adv. Agric. Res. 2020, 25, 48–65. [Google Scholar]
- Ezz El-Din, A.A.; Aziz, E.E.; Hendawy, S.F.; Omer, E.A. Impact of phosphorus nutrition and number of cuttings on growth, yield and active constituents of artichoke. Intr. J. Acad. Res. 2010, 2, 240–244. [Google Scholar]
- Elia, A.; Conversa, G. Mineral nutrition aspects in artichoke growing. Acta Hortic. 2007, 630, 239–249. [Google Scholar] [CrossRef]
- Drobek, M.; Frac, M.; Cybulska, J. Plant Biostimulants: Importance of the Quality and Yield of Horticultural Crops and the Improvement of Plant Tolerance to Abiotic Stress—A Review. Agronomy 2019, 9, 335. [Google Scholar] [CrossRef]
- Venkatesan, K.; Selvakumari, P. Seasonal Influence of Seaweed Gel on Growth and Yield of Tomato (Solanum lycopersicum Mill.) Hybrid COTH 2. Int. J. Curr. Microbiol. Appl. Sci. 2017, 6, 55–66. [Google Scholar] [CrossRef]
- Shukla, P.; Mantin, E.; Adil, M.; Bajpai, S.; Critchley, A.; Prithiviraj, B. Ascophyllum nodosum-based biostimulants: Sustainable applications in agriculture for the stimulation of plant growth, stress tolerance, and disease management. Front. Plant Sci. 2019, 10, 655. [Google Scholar] [CrossRef]
- Hashmath, I.H.; Naga, K.; Tony, A. The effect of seaweed extract on tomato plant growth, productivity and soil. J. Appl. Phycol. 2021, 33, 1305–1314. [Google Scholar]
- Tony, A.; Scott, W.M.; Pia, C.W. Applications of seaweed extract in Australian agriculture: Past, present and future. J. Appl. Phycol. 2015, 27, 2007–2015. [Google Scholar]
- La Bella, S.; Consentino, B.B.; Rouphael, Y.; Ntatsi, G.; De Pasquale, C.; Iapichino, G.; Sabatino, L. Impact of Ecklonia maxima Seaweed Extract and Mo Foliar Treatments on Biofortification, Spinach Yield, Quality and NUE. Plants 2021, 10, 1139. [Google Scholar] [CrossRef] [PubMed]
- Mohamadpoor, G.; Farzaneh, S.; Khomari, S.; Seyed Sharif, R. Effect of application humic acid and seaweed extract on growth and yield of Quinoa under drought stress. J. Crops Improv. 2021. [Google Scholar] [CrossRef]
- Lola-Luz, T.; Hennequart, F.; Gaffney, M. Effect on yield, total phenolic, total flavonoid and total isothiocyanate content of two broccoli cultivars (Bassica oleraceae var italica) following the application of a commercial brown seaweed extract (Ascophyllum nodosum). Agric. Food Sci. 2014, 23, 28–37. [Google Scholar] [CrossRef]
- Hong, D.D.; Hien, H.M.; Son, P.N. Seaweeds from Vietnam used for functional food, medicine and biofertilizer. J. Appl. Phycol. 2007, 19, 817–826. [Google Scholar] [CrossRef]
- Pohl, A.; Kalisz, A.; Sekara, A. Seaweed extracts’ multifactorial action: Influence on physiological and biochemical status of Solanaceae plants. Acta Agrobot. 2019, 72, 1–11. [Google Scholar] [CrossRef]
- Radames, T.V.; Ludy, S.A.; Manue, F.H.; Pablo, P.R.; Miguel, A.G.R.; Rocío de Carmen, A.C.; Cirilo, V.V. Effect of seaweed aqueous extract and compost on vegetative growth, yield, and nutrition quality of cucumber (Cucumis sativus L.) Fruit. Agronomy 2018, 8, 264. [Google Scholar] [CrossRef]
- Canellas, L.P.; Olivares, F.L.; Aguiar, N.O.; Jones, D.L.; Nebbiosoc, A.; Mazzei, P.; Piccolo, A. Humic and fulvic acids as biostimulants in horticulture. Sci. Hort. 2015, 196, 15–27. [Google Scholar] [CrossRef]
- Elsharkawy, G.A.; Hassan, H.S.; Ibrahim, H.A.H. Effect of promoting diazo-trophic bacteria and seaweed extract formula on growth, yield and quality of Pea (Pisum sativum L.) plants. Alex. Sci. Exch. J. 2019, 40, 203–217. [Google Scholar]










| Seasons of Experiments | 2016–2017 | 2017–2018 | |
|---|---|---|---|
| Physical | Texture | Clay Loam | Clay Loam |
| Chemical | pH | 8.11 | 8.09 |
| EC (dSm−1) | 2.64 | 2.87 | |
| Total N (%) | 0.18 | 0.14 | |
| Phosphorus (ppm) | 0.28 | 0.30 | |
| K+ (m eq L−1) | 0.35 | 0.31 | |
| Ca++ (m eq L−1) | 2.11 | 2.17 | |
| HCO3 (m eq L−1) | 1.29 | 1.35 | |
| Parameter | Value |
|---|---|
| Odor | Humic to seaweed-like odor |
| Color | Dark brown |
| Texture | Dense (near to oily) |
| Humus (Humic acid + fulvic acid) | 10% (w/v) |
| Alginic acid | 10% (w/v) |
| Suspended matter | <15% |
| Total protein | 1 g L−1 |
| Total carbohydrates | 30% (w/v) |
| Total lipids | 5–7% (w/v) |
| Vitamin C | 4 mg L−1 |
| Total N content | 0.16% |
| P | 111.6 mg L−1 |
| K | 7.56 mg L−1 |
| Mg | 25.3 mg L−1 |
| Fe | 120.1 mg L−1 |
| Mn | 60.0 µg L−1 |
| Zn | 42.0 µg L−1 |
| Ash | 10% (w/v) |
| pH | 5–6 |
| Treatments | Plant Height (cm) | No. Leaves Plant−1 | Foliage DM (%) | |
|---|---|---|---|---|
| PK Levels | Seaweed Extract Rate | Season 1 | ||
| Control | Control | 68.88 ± 1.15 g | 17.40 + 2.20 e | 48.66 + 1.17 i |
| SW1 | 73.66 + 3.05 f | 17.67 ± 1.44 e | 52.00 ± 2.01 h | |
| SW2 | 77.33 ± 2.30 e | 19.00 ± 1.21 d | 52.56 ± 1.15 gh | |
| PK1 | Control | 78.67 ± 2.33 e | 19.63 ± 2.30 d | 53.36 ± 1.14 fg |
| SW1 | 83.32 ± 3.06 d | 19.93 ± 2.75 d | 54.00 ± 0.51 ef | |
| SW2 | 84.65 ± 1.16 cd | 20.21 ± 0.52 cd | 54.66 ± 1.13 de | |
| PK2 | Control | 90.00 ± 2.01 b | 21.43 ± 1.71 bc | 54.33 ± 1.15 e |
| SW1 | 93.00 ± 2.02 a | 21.83 ± 1.33 b | 56.00 ± 2.01 bc | |
| SW2 | 94.01 ± 1.15 a | 23.73 ± 2.01 a | 58.00 ± 0.11 a | |
| PK3 | Control | 83.67 ± 1.17 cd | 23.53 ± 1.10 a | 55.34 ± 1.15 cd |
| SW1 | 85.34 ± 1.18 c | 23.73 ± 2.21 a | 55.68 ± 1.17 bc | |
| SW2 | 88.35 ± 3.06 b | 24.43 ± 1.28 a | 56.38 ± 1.17 b | |
| Season 2 | ||||
| Control | Control | 66.64 ± 306 i | 16.50 ± 1.38 h | 47.66 ± 1.16 h |
| SW1 | 67.63 ± 1.15 hi | 17.83 ± 1.51 gh | 49.66 ± 1.15 g | |
| SW2 | 68.70 ± 1.17 h | 18.46 ± 2.00 fgh | 50.56 ± 3.01 fg | |
| PK1 | Control | 72.64 ± 1.19 g | 19.53 ± 2.64 efg | 51.67 ± 1.13 ef |
| SW1 | 75.00 ± 2.00 f | 20.46 ± 4.95 def | 52.33 ± 1.15 de | |
| SW2 | 81.32 ± 3.01 e | 20.86 ± 2.10 cde | 53.37 ± 1.15 cd | |
| PK2 | Control | 88.00 ± 2.10 c | 20.85 ± 1.33 cde | 53.46 ± 1.17 cd |
| SW1 | 92.00 ± 2.21 b | 23.00 ± 1.03 ab | 55.70 ± 1.15 b | |
| SW2 | 95.67 ± 1.16 a | 23.43 ± 1.13 ab | 57.33 ± 1.15 a | |
| PK3 | Control | 87.02 ± 2.01 cd | 22.40 ± 2.50 bcd | 52.45 ± 1.16 de |
| SW1 | 86.03 ± 2.12 d | 22.73 ± 1.17 abc | 54.00 ± 2.01 c | |
| SW2 | 92.00 ± 4.31 b | 24.51 ± 0.53 a | 54.04 ± 2.00 c | |
| Treatments | Number Head Plant−1 | Head Fresh Weight (g) | Head Diameter (cm) | |
|---|---|---|---|---|
| PK Levels | Seaweed Extract Rate | Season 1 | ||
| Control | Control | 8.60 ± 0.20 f | 330.33 ± 0.51 g | 8.15 ± 0.01 a |
| SW1 | 8.76 ± 0.23 f | 332.66 ± 0.43 fg | 8.18 ± 0.02 a | |
| SW2 | 9.03 ± 0.11 e | 336.01 ± 0.34 ef | 8.20 ± 0.01 a | |
| PK1 | Control | 9.22 ± 0.04 d | 339.35 ± 0.61 de | 8.22 ± 0.01 a |
| SW1 | 9.25 ± 0.02 cd | 341.34 ± 0.62 d | 8.23 ± 0.01 a | |
| SW2 | 9.27 ± 0.01 cd | 342.40 ± 0.23 cd | 8.23 ± 0.02 a | |
| PK2 | Control | 9.30 ± 0.01 cd | 341.66 ± 0.54 d | 8.24 ± 0.01 a |
| SW1 | 9.32 ± 0.05 bcd | 349.37 ± 0.63 b | 8.26 ± 0.01 a | |
| SW2 | 9.35 ± 0.01 bc | 350.66 ± 0.43 ab | 8.28 ± 0.02 a | |
| PK3 | Control | 9.38 ± 0.05 b | 344.00 ± 0.63 cd | 8.18 ± 0.02 a |
| SW1 | 9.38 ± 0.05 b | 347.04 ± 0.41 bc | 8.20 ± 0.03 a | |
| SW2 | 9.48 ± 0.05 a | 354.67 ± 0.43 a | 8.22 ± 0.02 a | |
| Season 2 | ||||
| Control | Control | 7.33 ± 0.11 g | 283.33 ± 0.45 f | 8.14 ± 0.02 a |
| SW1 | 7.38 ± 0.01 g | 291.41 ± 0.43 f | 8.15 ± 0.02 a | |
| SW2 | 7.42 ± 0.01 g | 293.00 ± 0.65 f | 8.18 ± 0.01 a | |
| PK1 | Control | 7.49 ± 0.01 f | 318.67 ± 0.43 e | 8.20 ± 0.01 a |
| SW1 | 8.80 ± 0.05 e | 326.01 ± 0.54 de | 8.24 ± 0.01 a | |
| SW2 | 8.83 ± 0.05 e | 328.00 ± 0.62 de | 8.26 ± 0.03 a | |
| PK2 | Control | 9.01 ± 0.05 d | 338.29 ± 0.34 cd | 8.29 ± 0.01 a |
| SW1 | 9.24 ± 0.01 c | 345.33 ± 0.33 bc | 8.31 ± 0.05 a | |
| SW2 | 9.42 ± 0.05 b | 358.69 ± 0.53 a | 8.32 ± 0.01 a | |
| PK3 | Control | 9.53 ± 0.01 b | 351.33 ± 0.34 ab | 8.29 ± 0.01 a |
| SW1 | 9.65 ± 0.01 a | 358.68 ± 0.22 a | 8.30 ± 0.01 a | |
| SW2 | 9.72 ± 0.01 a | 357.66 ± 0.25 ab | 8.31 ± 0.01 a | |
| Treatments | Nitrogen (%) | Phosphorus (%) | Potassium (%) | Inulin (%) | Total Phenols (mg Gallic Acid 100 g−1 fw) | |
|---|---|---|---|---|---|---|
| PK Levels | Seaweed Extract Rate | Season 1 | ||||
| Control | Control | 2.83 ± 0.06 fg | 0.38 ± 0.01 a | 2.94 ± 1.05 k | 1.50 ± 0.1 k | 154.21 ± 0.72 l |
| SW1 | 2.96 ± 0.04 d | 0.39 ± 0.01 a | 2.97 ± 0.51 j | 1.56 ± 0.3 j | 162.67 ± 0.61 k | |
| SW2 | 2.99 ± 0.02 cd | 0.39 ± 0.01 a | 3.03 ±0.87 i | 1.59 ± 0.1 j | 176.35 ± 0.30 j | |
| PK1 | Control | 3.02 ± 0.04 c | 0.40 ± 0.01 a | 3.12 ± 0.41 h | 1.64 ± 0.8 i | 182.91 ± 0.52 i |
| SW1 | 3.20 ± 0.05 b | 0.41 ± 0.02 a | 3.22 ± 0.40 g | 1.68 ± 0.4 h | 194.36 ± 0.91 h | |
| SW2 | 3.23 ± 0.05 b | 0.41 ± 0.01 a | 3.28 ± 0.20 f | 1.73 ± 0.5 g | 203.34 ± 0.98 g | |
| PK2 | Control | 3.02 ± 0.06 c | 0.42 ± 0.01 a | 3.38 ± 0.30 e | 1.84 ± 0.3 f | 211.32 ± 0.30 f |
| SW1 | 3.24 ± 0.05 ab | 0.42 ± 0.02 a | 3.44 ± 0.81 d | 1.93 ± 0.7 e | 221.67 ± 0.57 e | |
| SW2 | 3.29 ± 0.03 a | 0.43 ± 0.01 a | 3.46 ± 0.11 d | 1.98 ± 0.3 d | 230.35 ± 0.11 d | |
| PK3 | Control | 2.78 ± 0.13 g | 0.44 ± 0.01 a | 3.55 ± 0.21 c | 2.16 ± 0.6 c | 236.10 ± 0.21 c |
| SW1 | 2.87 ± 0.50 ef | 0.46 ± 0.01 a | 3.58 ± 0.35 b | 2.27 ± 0.1 b | 242.01 ± 0.52 b | |
| SW2 | 2.89 ± 0.03 e | 0.48 ± 0.03 a | 3.63 ± 0.21 a | 2.31 ± 0.9 a | 252.67 ± 0.50 a | |
| Season 2 | ||||||
| Control | Control | 2.92 ± 0.05 f | 0.38 ± 0.01 a | 2.98 ± 1.15 g | 1.66 ± 0.6 k | 167.21 ± 0.52 l |
| SW1 | 2.95 ± 0.05 f | 0.40 ± 0.01 a | 3.15 ± 2.02 f | 1.72 ± 0.6 j | 173.71 ± 0.83 k | |
| SW2 | 2.97 ± 0.04 e | 0.40 ± 0.01 a | 3.24 ± 4.03 e | 1.79 ± 0.7 i | 180.28 ± 0.36 j | |
| PK1 | Control | 3.15 ± 0.06 c | 0.41 ± 0.01 a | 3.27 ± 5.03 e | 1.84 ± 0.9 h | 186.87 ± 0.41 i |
| SW1 | 3.25 ± 0.06 b | 0.43 ± 0.01 a | 3.38 ± 4.61 d | 1.91 ± 0.9 g | 197.32 ± 0.42 h | |
| SW2 | 3.34 ± 0.08 a | 0.43 ± 0.01 a | 3.41 ± 4.16 d | 1.94 ± 0.9 fg | 204.31 ± 0.61 g | |
| PK2 | Control | 3.17 ± 0.05 c | 0.44 ± 0.02 a | 3.52 ± 3.29 abc | 1.97 ± 0.9 f | 214.68 ± 0.91 f |
| SW1 | 3.24 ± 0.07 b | 0.46 ± 0.01 a | 3.48 ± 1.82 c | 2.05 ± 0.8 e | 225.03 ± 0.10 e | |
| SW2 | 3.30 ± 0.02 a | 0.48 ± 0.02 a | 3.50 ± 1.15 bc | 2.10 ± 0.1 d | 236.11 ± 0.11 d | |
| PK3 | Control | 2.91 ± 0.02 f | 0.49 ± 0.02 a | 3.56 ± 2.41 a | 2.35 ± 0.8 c | 256.65 ± 0.41 c |
| SW1 | 3.02 ± 0.05 de | 0.52 ± 0.03 a | 3.55 ± 1.10 ab | 2.53 ± 0.7 b | 263.64 ± 0.61 b | |
| SW2 | 3.05 ± 0.07 d | 0.53 ± 0.03 a | 3.56 ± 2.42 ab | 2.58 ± 0.9 a | 271.73 ± 0.31 a | |
Publisher’s Note: MDPI stays neutral with regard to jurisdictional claims in published maps and institutional affiliations. |
© 2021 by the authors. Licensee MDPI, Basel, Switzerland. This article is an open access article distributed under the terms and conditions of the Creative Commons Attribution (CC BY) license (https://creativecommons.org/licenses/by/4.0/).
Share and Cite
Elsharkawy, G.A.; Ibrahim, H.A.H.; Salah, A.H.; Akrami, M.; Ali, H.M.; Abd-Elkader, D.Y. Early and Total Yield Enhancement of the Globe Artichoke Using an Ecofriendly Seaweed Extract-Based Biostimulant and PK Fertilizer. Agronomy 2021, 11, 1819. https://doi.org/10.3390/agronomy11091819
Elsharkawy GA, Ibrahim HAH, Salah AH, Akrami M, Ali HM, Abd-Elkader DY. Early and Total Yield Enhancement of the Globe Artichoke Using an Ecofriendly Seaweed Extract-Based Biostimulant and PK Fertilizer. Agronomy. 2021; 11(9):1819. https://doi.org/10.3390/agronomy11091819
Chicago/Turabian StyleElsharkawy, Gehan A., H. A. H. Ibrahim, Alaa H. Salah, Mohammad Akrami, Hayssam M. Ali, and Doaa Y. Abd-Elkader. 2021. "Early and Total Yield Enhancement of the Globe Artichoke Using an Ecofriendly Seaweed Extract-Based Biostimulant and PK Fertilizer" Agronomy 11, no. 9: 1819. https://doi.org/10.3390/agronomy11091819
APA StyleElsharkawy, G. A., Ibrahim, H. A. H., Salah, A. H., Akrami, M., Ali, H. M., & Abd-Elkader, D. Y. (2021). Early and Total Yield Enhancement of the Globe Artichoke Using an Ecofriendly Seaweed Extract-Based Biostimulant and PK Fertilizer. Agronomy, 11(9), 1819. https://doi.org/10.3390/agronomy11091819

