Environmental and Animal-Related Parameters and the Emissions of Ammonia and Methane from an Open-Sided Free-Stall Barn in Hot Mediterranean Climate: A Preliminary Study
Abstract
1. Introduction
2. Materials and Methods
2.1. Experimental Barn and Period of Investigation
2.2. Measurement of Gas Concentrations and Climatic Parameters
2.3. Barn Management and Behavioural Activity Recordings
2.4. Air Exchange Rate and Emissions Calculations via Indirect Method
2.5. Data Analyses
3. Results and Discussion
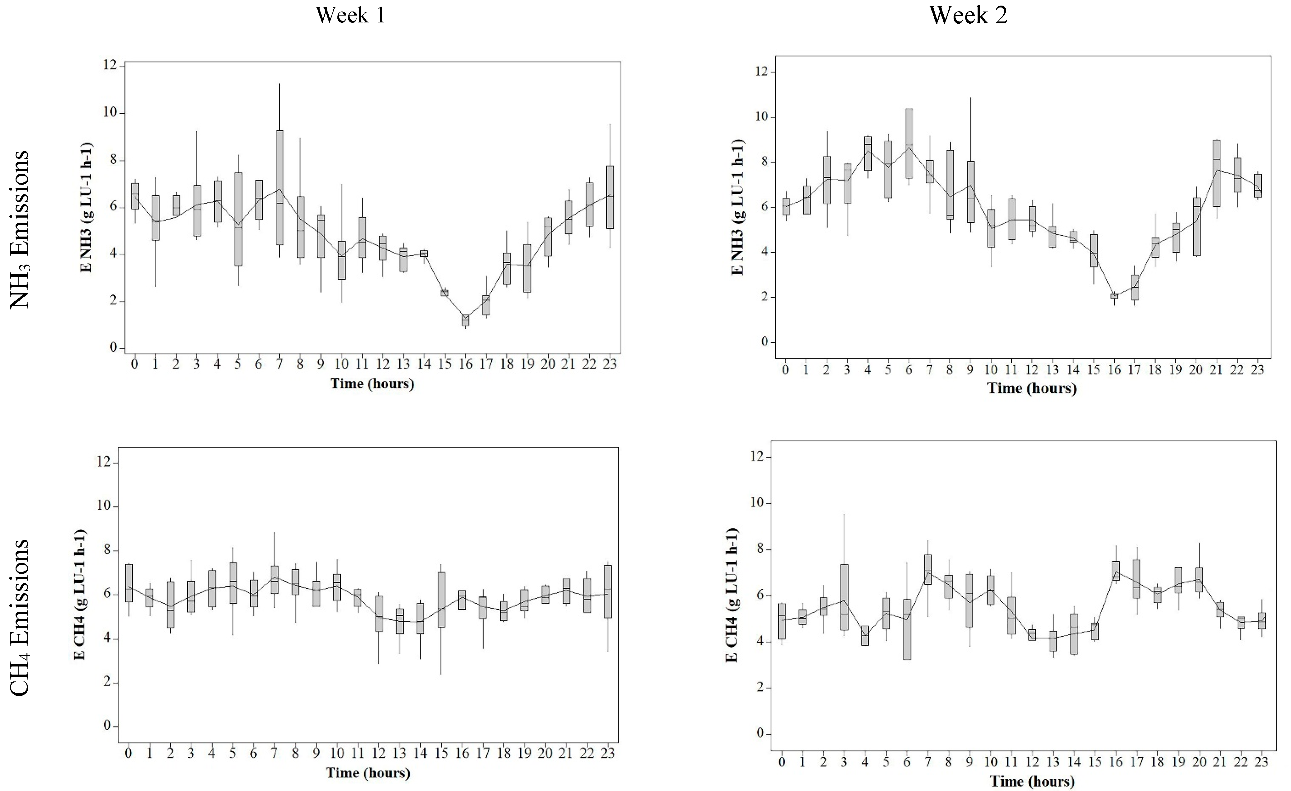
3.1. Daily NH3 and CH4 Emissions
3.2. Influence of THI on NH3 and CH4 Emissions
3.3. Influence of Cow Activity on NH3 and CH4 Emissions
4. Conclusions
Author Contributions
Funding
Institutional Review Board Statement
Informed Consent Statement
Data Availability Statement
Acknowledgments
Conflicts of Interest
References
- EEA. European Union Emission Inventory Report 1990–2017 under the UNECE Convention on Long-Range Transboundary Air Pollution (LRTAP). In EEA Technical Report; EEA: Copenhagen, Denmark, 2019. [Google Scholar]
- FAO. Climate change and the global dairy cattle sector. In The Role of the Dairy Cattle Sector in a Low-Carbon Future; Global Agenda for Sustainable Livestock: Manhattan, KS, USA, 2019. [Google Scholar]
- Janke, D.; Willink, D.; Ammon, C.; Hempel, S.; Schrade, S.; Demeyer, P.; Hartung, E.; Amon, B.; Ogink, N.; Amon, T. Calculation of ventilation rates and ammonia emissions: Comparison of sampling strategies for a naturally ventilated dairy barn. Biosyst. Eng. 2020, 198, 15–30. [Google Scholar] [CrossRef]
- Hempel, S.; Menz, C.; Pinto, S.; Galán, E.; Janke, D.; Estellés, F.; Müschner-Siemens, T.; Wang, X.; Heinicke, J.; Zhang, G.; et al. Heat stress risk in European dairy cattle husbandry under different climate change scenarios—uncertainties and potential impacts. Earth Syst. Dyn. 2019, 10, 859–884. [Google Scholar] [CrossRef]
- Ramón-Moragues, A.; Carulla, P.; Mínguez, C.; Villagrá, A.; Estellés, F. Dairy Cows Activity under Heat Stress: A Case Study in Spain. Animals 2021, 11, 2305. [Google Scholar] [CrossRef]
- Arcidiacono, C. Engineered Solutions for Animal Heat Stress Abatement in Livestock Buildings. 2018. Available online: https://cigrjournal.org/index.php/Ejounral/article/view/4705 (accessed on 10 August 2021).
- D’Emilio, A.; Porto, S.M.; Cascone, G.; Bella, M.; Gulino, M. Mitigating heat stress of dairy cows bred in a free-stall barn by sprinkler systems coupled with forced ventilation. J. Agric. Eng. 2017, 48, 190–195. [Google Scholar] [CrossRef]
- Honig, H.; Miron, J.; Lehrer, H.; Jackoby, S.; Zachut, M.; Zinou, A.; Portnick, Y.; Moallem, U. Performance and welfare of high-yielding dairy cows subjected to 5 or 8 cooling sessions daily under hot and humid climate. J. Dairy Sci. 2012, 95, 3736–3742. [Google Scholar] [CrossRef]
- Porto, S.M.; D’Emilio, A.; Cascone, G. On the influence of the alternation of two different cooling systems on dairy cow daily activities. J. Agric. Eng. 2017, 48, 21–27. [Google Scholar] [CrossRef][Green Version]
- Saha, C.K.; Ammon, C.; Berg, W.; Loebsin, C.; Fiedler, M.; Brunsch, R.; Von Bobrutzki, K. The effect of external wind speed and direction on sampling point concentrations, air change rate and emissions from a naturally ventilated dairy building. Biosyst. Eng. 2013, 114, 267–278. [Google Scholar] [CrossRef]
- Ngwabie, N.; Jeppsson, K.-H.; Gustafsson, G.; Nimmermark, S. Effects of animal activity and air temperature on methane and ammonia emissions from a naturally ventilated building for dairy cows. Atmos. Environ. 2011, 45, 6760–6768. [Google Scholar] [CrossRef]
- Poteko, J.; Zähner, M.; Schrade, S. Effects of housing system, floor type and temperature on ammonia and methane emissions from dairy farming: A meta-analysis. Biosyst. Eng. 2019, 182, 16–28. [Google Scholar] [CrossRef]
- Hempel, S.; Saha, C.K.; Fiedler, M.; Berg, W.; Hansen, C.; Amon, B.; Amon, T. Non-linear temperature dependency of ammonia and methane emissions from a naturally ventilated dairy barn. Biosyst. Eng. 2016, 145, 10–21. [Google Scholar] [CrossRef]
- Bohmanova, J.; Misztal, I.; Cole, J. Temperature-Humidity Indices as Indicators of Milk Production Losses due to Heat Stress. J. Dairy Sci. 2007, 90, 1947–1956. [Google Scholar] [CrossRef]
- Hoffmann, G.; Herbut, P.; Pinto, S.; Heinicke, J.; Kuhla, B.; Amon, T. Animal-related, non-invasive indicators for determining heat stress in dairy cows. Biosyst. Eng. 2020, 199, 83–96. [Google Scholar] [CrossRef]
- Liu, J.; Li, L.; Chen, X.; Lu, Y.; Wang, D. Effects of heat stress on body temperature, milk production, and reproduction in dairy cows: A novel idea for monitoring and evaluation of heat stress—A review. Asian-Australas. J. Anim. Sci. 2019, 32, 1332–1339. [Google Scholar] [CrossRef] [PubMed]
- Calegari, F.; Calamari, L.; Frazzi, E. Misting and fan cooling of the rest area in a dairy barn. Int. J. Biometeorol. 2011, 56, 287–295. [Google Scholar] [CrossRef] [PubMed]
- Frazzi, E.; Calamari, L.; Calegari, F.; Stefanini, L. Behavior of dairy cows in response to different barn cooling systems. Trans. ASAE 2000, 43, 387–394. [Google Scholar] [CrossRef]
- Bava, L.; Tamburini, A.; Penati, C.; Riva, E.; Mattachini, G.; Provolo, G.; Sandrucci, A. Effects of feeding frequency and environmental conditions on dry matter intake, milk yield and behaviour of dairy cows milked in conventional or automatic milking systems. Ital. J. Anim. Sci. 2012, 11, 230–235. [Google Scholar] [CrossRef]
- Provolo, G.; Riva, E. One year study of lying and standing behaviour of dairy cows in a frestall barn in italy. J. Agric. Eng. 2009, 40, 27–34. [Google Scholar] [CrossRef]
- ISPRA. Italian Greenhouse Gas Inventory 1990–2019. In National Inventory Report 2021; ISPRA: Rome, Italy, 2021. [Google Scholar]
- Overton, M.; Sischo, W.; Temple, G.; Moore, D. Using Time-Lapse Video Photography to Assess Dairy Cattle Lying Behavior in a Free-Stall Barn. J. Dairy Sci. 2002, 85, 2407–2413. [Google Scholar] [CrossRef]
- König, M.; Hempel, S.; Janke, D.; Amon, B.; Amon, T. Variabilities in determining air exchange rates in naturally ventilated dairy buildings using the CO2 production model. Biosyst. Eng. 2018, 174, 249–259. [Google Scholar] [CrossRef]
- Ngwabie, N.; Jeppsson, K.-H.; Nimmermark, S.; Swensson, C.; Gustafsson, G. Multi-location measurements of greenhouse gases and emission rates of methane and ammonia from a naturally-ventilated barn for dairy cows. Biosyst. Eng. 2009, 103, 68–77. [Google Scholar] [CrossRef]
- Ogink, N.; Mosquera, J.; Calvet, S.; Zhang, G. Methods for measuring gas emissions from naturally ventilated livestock buildings: Developments over the last decade and perspectives for improvement. Biosyst. Eng. 2013, 116, 297–308. [Google Scholar] [CrossRef]
- CIGR. Climatization of animal houses. In 4th Report of Working Group: Heat and Moisture Production at Animal and House Levels; Pedersen, S., Sallvik, K., Eds.; CIGR: Liege, Belgium, 2002. [Google Scholar]
- Hempel, S.; König, M.; Menz, C.; Janke, D.; Amon, B.; Banhazi, T.M.; Estellés, F.; Amon, T. Uncertainty in the measurement of indoor temperature and humidity in naturally ventilated dairy buildings as influenced by measurement technique and data variability. Biosyst. Eng. 2018, 166, 58–75. [Google Scholar] [CrossRef]
- D’Urso, P.; Arcidiacono, C.; Valenti, F.; Cascone, G. Assessing Influence Factors on Daily Ammonia and Greenhouse Gas Concentrations from an Open-Sided Cubicle Barn in Hot Mediterranean Climate. Animals 2021, 11, 1400. [Google Scholar] [CrossRef]
- Mazur, K.; Roman, K.; Wardal, W.J.; Borek, K.; Barwicki, J.; Kierończyk, M. Emission of harmful gases from animal production in Poland. Environ. Monit. Assess. 2021, 193, 1–9. [Google Scholar] [CrossRef]
- Saha, C.; Ammon, C.; Berg, W.; Fiedler, M.; Loebsin, C.; Sanftleben, P.; Brunsch, R.; Amon, T. Seasonal and diel variations of ammonia and methane emissions from a naturally ventilated dairy building and the associated factors influencing emissions. Sci. Total Environ. 2014, 468–469, 53–62. [Google Scholar] [CrossRef] [PubMed]
- Mendes, L.B.; Pieters, J.G.; Snoek, D.; Ogink, N.W.M.; Brusselman, E.; Demeyer, P. Reduction of ammonia emissions from dairy cattle cubicle houses via improved management- or design-based strategies: A modeling approach. Sci. Total Environ. 2017, 574, 520–531. [Google Scholar] [CrossRef] [PubMed]
- Herbut, P.; Angrecka, S. Relationship between THI level and dairy cows’ behaviour during summer period. Ital. J. Anim. Sci. 2017, 17, 226–233. [Google Scholar] [CrossRef]
- De Pablo, P.; Tateo, A.; Zezza, F.; Corrente, M.; Centoducati, P. Influence of free-stall flooring on comfort and hygiene of dairy cows during warm climatic conditions. J. Dairy Sci. 2006, 89, 4583–4595. [Google Scholar] [CrossRef]
- Zetouni, L.; Difford, G.; Lassen, J.; Byskov, M.; Norberg, E.; Løvendahl, P. Is rumination time an indicator of methane production in dairy cows? J. Dairy Sci. 2018, 101, 11074–11085. [Google Scholar] [CrossRef] [PubMed]
- Ngwabie, N.M.; VanderZaag, A.; Jayasundara, S.; Wagner-Riddle, C. Measurements of emission factors from a naturally ventilated commercial barn for dairy cows in a cold climate. Biosyst. Eng. 2014, 127, 103–114. [Google Scholar] [CrossRef]
- Mendes, L.; Edouard, N.; Ogink, N.; Van Dooren, H.J.C.; FerreiraTinôco, I.D.F.; Mosquera, J. Spatial variability of mixing ratios of ammonia and tracer gases in a naturally ventilated dairy cow barn. Biosyst. Eng. 2015, 129, 360–369. [Google Scholar] [CrossRef]
- Bell, M.; Craigon, J.; Saunders, N.; Goodman, J.R.; Garnsworthy, P. Does the diurnal pattern of enteric methane emissions from dairy cows change over time? Animals 2018, 12, 2065–2070. [Google Scholar] [CrossRef] [PubMed]
- D’Urso, P.R.; Arcidiacono, C. Effect of the Milking Frequency on the Concentrations of Ammonia and Greenhouse Gases within an Open Dairy Barn in Hot Climate Conditions. Sustainability 2021, 13, 9235. [Google Scholar] [CrossRef]
- Abeni, F.; Galli, A. Monitoring cow activity and rumination time for an early detection of heat stress in dairy cow. Int. J. Biometeorol. 2017, 61, 417–425. [Google Scholar] [CrossRef]
- Beauchemin, K. Invited review: Current perspectives on eating and rumination activity in dairy cows. J. Dairy Sci. 2018, 101, 4762–4784. [Google Scholar] [CrossRef] [PubMed]



| System | Area | Activation Time |
|---|---|---|
| Fans | Feeding area | 8.30–9.00 |
| Sprinkler system with fans | Feeding area | 9.00–11.00 |
| Fogging system with fans | Resting area | 11.00–16.00 |
| Sprinkler system with fans | Feeding area | 16.00–17.00 |
| Sprinkler system with fans | Feeding area | 18.30–20.00 |
| Fans | Resting area | 20.00–1.00 |
| v | THI | CLI | CSI | CFI | ||||||
|---|---|---|---|---|---|---|---|---|---|---|
| Hour | W1 | W2 | W1 | W2 | W1 | W2 | W1 | W2 | W1 | W2 |
| 0 | 0.51 | 0.82 | 68.5 | 71.2 | 0.68 | 0.68 | 0.16 | 0.18 | 0.15 | 0.14 |
| 1 | 0.58 | 0.61 | 69.8 | 69.9 | 0.66 | 0.66 | 0.23 | 0.21 | 0.11 | 0.13 |
| 2 | 0.55 | 0.45 | 68.5 | 69.2 | 0.69 | 0.62 | 0.15 | 0.13 | 0.16 | 0.25 |
| 3 | 0.45 | 0.36 | 67.6 | 68.9 | 0.69 | 0.65 | 0.20 | 0.21 | 0.10 | 0.14 |
| 4 | 0.47 | 0.34 | 67.6 | 67.4 | 0.78 | 0.77 | 0.16 | 0.17 | 0.06 | 0.06 |
| 5 | 0.34 | 0.31 | 66.9 | 67.0 | - | - | - | - | - | - |
| 6 | 0.35 | 0.29 | 66.9 | 67.3 | - | - | - | - | - | - |
| 7 | 0.37 | 0.33 | 70.2 | 70.9 | 0.11 | 0.15 | 0.14 | 0.17 | 0.75 | 0.68 |
| 8 | 0.54 | 0.38 | 74.1 | 75.2 | 0.08 | 0.26 | 0.44 | 0.42 | 0.47 | 0.32 |
| 9 | 0.57 | 0.51 | 77.1 | 77.1 | 0.26 | 0.23 | 0.11 | 0.26 | 0.63 | 0.52 |
| 10 | 1.12 | 1.23 | 77.4 | 78.3 | 0.42 | 0.61 | 0.28 | 0.23 | 0.30 | 0.16 |
| 11 | 1.25 | 1.28 | 77.0 | 79.4 | 0.70 | 0.82 | 0.22 | 0.16 | 0.08 | 0.01 |
| 12 | 1.18 | 1.21 | 78.6 | 80.6 | 0.60 | 0.71 | 0.29 | 0.26 | 0.11 | 0.02 |
| 13 | 1.16 | 1.21 | 78.9 | 80.8 | 0.58 | 0.73 | 0.34 | 0.13 | 0.08 | 0.14 |
| 14 | 1.18 | 1.16 | 79.0 | 81.1 | 0.48 | 0.68 | 0.30 | 0.23 | 0.22 | 0.09 |
| 15 | 0.82 | 0.62 | 79.0 | 80.5 | 0.27 | 0.10 | 0.16 | 0.10 | 0.58 | 0.80 |
| 16 | 0.65 | 0.46 | 78.3 | 79.8 | 0.08 | 0.09 | 0.14 | 0.30 | 0.78 | 0.61 |
| 17 | 0.92 | 0.49 | 77.8 | 78.6 | - | - | - | - | - | - |
| 18 | 0.78 | 0.38 | 77.1 | 77.9 | - | - | - | - | - | - |
| 19 | 0.56 | 0.40 | 75.8 | 77.1 | 0.22 | 0.28 | 0.23 | 0.32 | 0.55 | 0.41 |
| 20 | 0.38 | 0.34 | 73.1 | 75.8 | 0.54 | 0.46 | 0.31 | 0.27 | 0.15 | 0.27 |
| 21 | 0.95 | 1.11 | 71.6 | 73.9 | 0.68 | 0.71 | 0.27 | 0.19 | 0.06 | 0.10 |
| 22 | 0.71 | 1.02 | 70.4 | 72.6 | 0.56 | 0.72 | 0.32 | 0.20 | 0.12 | 0.08 |
| 23 | 0.68 | 0.93 | 69.9 | 71.7 | 0.63 | 0.69 | 0.25 | 0.15 | 0.12 | 0.16 |
| Mean | 0.71 | 0.68 | 73.4 | 74.7 | 0.49 | 0.53 | 0.24 | 0.21 | 0.28 | 0.25 |
| W1 | W2 | |||||||
|---|---|---|---|---|---|---|---|---|
| Gas Emissions | p Value | Groups | Mean | SD | p Value | Groups | Mean | SD |
| NH3 | 0.0001 | THI ≤ 72 | 6.18 a | 1.47 | 0.0001 | THI ≤ 72 | 7.37 a | 1.31 |
| 72 < THI ≤ 78 | 4.37 b | 1.62 | 72 < THI ≤ 78 | 5.94 b | 1.88 | |||
| 78 < THI < 84 | 3.02 c | 1.21 | 78 < THI < 84 | 4.44 c | 1.39 | |||
| CH4 | 0.0001 | THI ≤ 72 | 6.19 a | 1.01 | 0.001 | 72 < THI ≤ 78 | 6.06 a | 0.96 |
| 72 < THI ≤ 78 | 5.98 a | 0.73 | THI ≤ 72 | 5.33 b | 1.18 | |||
| 78 < THI < 84 | 5.11 b | 1.07 | 78 < THI < 84 | 5.23 b | 1.26 | |||
| W1 | W2 | |||||||
|---|---|---|---|---|---|---|---|---|
| Gas Emissions | p Value | Groups | Mean | SD | p Value | Groups | Mean | SD |
| NH3 | 0.0001 | cleaning | 6.14 a | 2.36 | 0.0001 | cleaning | 6.99 a | 1.405 |
| lying | 5.40 a | 1.41 | lying | 6.37 a | 1.42 | |||
| activity | 3.73 b | 1.82 | activity | 5.15 b | 2.29 | |||
| CH4 | 0.008 | cleaning | 6.61 a | 0.97 | 0.0001 | cleaning | 6.73 a | 0.91 |
| activity | 5.85 b | 0.98 | activity | 5.96 b | 1.14 | |||
| lying | 5.69 b | 1.01 | lying | 4.89 c | 0.93 | |||
Publisher’s Note: MDPI stays neutral with regard to jurisdictional claims in published maps and institutional affiliations. |
© 2021 by the authors. Licensee MDPI, Basel, Switzerland. This article is an open access article distributed under the terms and conditions of the Creative Commons Attribution (CC BY) license (https://creativecommons.org/licenses/by/4.0/).
Share and Cite
D'Urso, P.R.; Arcidiacono, C.; Cascone, G. Environmental and Animal-Related Parameters and the Emissions of Ammonia and Methane from an Open-Sided Free-Stall Barn in Hot Mediterranean Climate: A Preliminary Study. Agronomy 2021, 11, 1772. https://doi.org/10.3390/agronomy11091772
D'Urso PR, Arcidiacono C, Cascone G. Environmental and Animal-Related Parameters and the Emissions of Ammonia and Methane from an Open-Sided Free-Stall Barn in Hot Mediterranean Climate: A Preliminary Study. Agronomy. 2021; 11(9):1772. https://doi.org/10.3390/agronomy11091772
Chicago/Turabian StyleD'Urso, Provvidenza Rita, Claudia Arcidiacono, and Giovanni Cascone. 2021. "Environmental and Animal-Related Parameters and the Emissions of Ammonia and Methane from an Open-Sided Free-Stall Barn in Hot Mediterranean Climate: A Preliminary Study" Agronomy 11, no. 9: 1772. https://doi.org/10.3390/agronomy11091772
APA StyleD'Urso, P. R., Arcidiacono, C., & Cascone, G. (2021). Environmental and Animal-Related Parameters and the Emissions of Ammonia and Methane from an Open-Sided Free-Stall Barn in Hot Mediterranean Climate: A Preliminary Study. Agronomy, 11(9), 1772. https://doi.org/10.3390/agronomy11091772

