Abstract
Intercropping legumes with cereals for forage production is a practical multi-cropping technique to increase yield and improve land use efficiency. In a 3-year cropping sequence, alfalfa (Medicago sativa L.) intercropped with corn (Zea mays L.) may increase overall economic yield and land sustainability over either crop alone. The objective of this study was to assess overall productivity of a corn-alfalfa intercropping system and its effect on weed community. The study was conducted near Boone, IA, USA, from 2016 to 2018 and repeated from 2017 to 2019 to assess the effect of five treatments: alfalfa only, corn only, corn intercropped with alfalfa, corn intercropped with alfalfa with prohexadione (PHX) applied to alfalfa at the V8 corn stage, and spring-seeded alfalfa (corn in the seeding year followed by planting alfalfa the following year) on system productivity. Corn grain yield decreased by 23 to 26% when intercropped with alfalfa; PHX application did not affect corn or alfalfa yield. Alfalfa stand density under corn was reduced by 36 to 68% compared with alfalfa alone in the seeding year. Alfalfa forage yield in the first production year was the same among intercropped treatments and sole alfalfa. However, spring-seeded alfalfa had two to three times less yield than other treatments. Alfalfa stem density was greater in sole alfalfa than the intercropped studies in the seeding year, with fewer stems in successive production years. Alfalfa forage yield strongly correlated with stem density, stem height, and stage at harvest in the seeding year and first harvest of the first production year. Weed density inconsistently correlated with alfalfa biomass. In conclusion, establishing alfalfa in intercropping with corn can skip alfalfa low-yielding seeding year. Based on the findings of our experiment, future research on corn-alfalfa intercropping should focus on screening drought tolerant corn hybrids with vigorous root systems. Using an early-maturing corn hybrid, coupled with management practices such as appropriate N fertilization, may improve corn yield and the chances of success for this intercropping system.
1. Introduction
Multi-cropping techniques, such as legume and cereal intercropping for forage production, can improve resource utilization efficiency and increase overall crop system yield [1,2]. Growing crops in mixed stands can be more productive than monocultures [3] mainly because of better nutrient use efficiency, improved light use, enhanced weed control, pest suppression, and reduced water run-off [4,5]. Previous studies have shown that cumulative yield of legume-cereal intercropping systems is consistently greater than either crop when grown individually in a monoculture [3,4,5,6]. Intercropping alfalfa with corn can increase corn grain production and alfalfa forage biomass production, as well as greater natural resources conservation than either crop alone [6]. In a corn-alfalfa intercrop, alfalfa fixes atmospheric N2 and improves the N economy of the cropping system by N credit contributions [7], reducing corn N requirements following the termination of the alfalfa crop [8,9]. Alfalfa N credits to the following silage corn crop can increase silage corn yield [10].
Growing alfalfa in rotation with silage corn as a source of high protein feed was once a common practice among dairy farmers in the Upper Midwest; however, alfalfa production following silage corn acreage has significantly decreased due to the low productivity in the alfalfa seeding year. To reintroduce alfalfa within a silage corn rotation, an increase in alfalfa production during the alfalfa-seeding year is needed. However, intercropping alfalfa in the corn year may be a viable alternative to increasing alfalfa productivity in the alfalfa-seeding year [11,12,13]. In a conventional corn-alfalfa rotation system, a lack of vegetation or groundcover between the corn harvest and alfalfa establishment after alfalfa seeding, the following spring, can increase soil erosion and nutrient losses from run-off [14]. In addition to forage production, integrating alfalfa into the cropping system at an earlier point in the rotation can achieve cover crop benefits to improve infiltration, reducing surface run-off and soil nutrient loss [15,16] following corn harvest.
Establishing adequate alfalfa stands in a corn-alfalfa intercrop is critical for the success of the intercropping system. The timing of alfalfa seeding can affect alfalfa seedling establishment under the corn canopy. Several studies have shown that intercropping alfalfa as early as corn planting have resulted in excellent alfalfa stands [17,18,19]; however, these studies included corn hybrids with lower growth and yield potential than modern hybrids and may not be directly comparable. Alfalfa establishment under the corn canopy can be affected by the amount of photosynthetically active radiation (PAR) reaching the actively growing alfalfa. Corn canopy at tasseling can intercept 80–90% of the incident PAR, thus allowing only 10% of PAR to reach the alfalfa [20]. Reduced PAR availability can decrease the development of the extensive root system in alfalfa and affect aboveground biomass accumulation of the plant [21]. Conversely, intercropped alfalfa can strongly compete with corn for nutrients, moisture, and other resources in a resource-limited environment and decrease corn yield [22,23,24]. Corn in an alfalfa intercrop may therefore require greater N fertilization than a corn monocrop to achieve similar yield because of nutrient competition with the alfalfa roots [25].
Growth regulators such as prohexadione calcium (Apogee, BASF Corp., Research Triangle Park, NC, USA) have been evaluated to improve alfalfa survival under the row crop canopy as well as alleviating competition between alfalfa and corn by suppressing alfalfa growth [11,26,27]. Prohexadione (PHX) is an inhibitor of gibberellic acid biosynthesis, which reduces internode elongation [28], resulting in increased alfalfa leaf:stem and improved stand density under the silage corn canopy [11,27,29]. The use of PHX improved the alfalfa fall stem density in the alfalfa seeding year compared with intercropped alfalfa without PHX application [11]. Application of PHX was also reported to increase the first-year yield of alfalfa established as an intercrop with corn the previous year, compared with alfalfa seeded in spring [11].
Considerable losses in crop production occur from weed pressure and the resulting competion with the crop for nutrients, water, and light [30]. While previous reports document inconsistent responses specifically in alfalfa forage yield to weed pressure [31], alfalfa establishment stand density, stand longevity, and particularly forage quality [32] may be negatively affected by weed pressure. To maximize alfalfa forage production and alfalfa quality, an effective, selective weed control program should target the observed weed community, especially prior to alfalfa seeding, so that stand establishment is not compromised.
Marginal alfalfa productivity in the seeding year, coupled with the risk of soil and nutrient losses associated with conventional silage-corn production, provides an opportunity for using corn as a companion crop for alfalfa establishment. Our hypothesis is that, in a corn-alfalfa intercropping system, corn would serve as a companion crop to alfalfa during alfalfa establishment; alfalfa would potentially reduce weeds as a cover crop after corn grain harvest, with the potential to enhance productivity from full forage production with alfalfa the following year. With the availability of glyphosate-tolerant corn and alfalfa and the use of growth regulators [29], corn-alfalfa intercropping has renewed potential for adoption in the Upper Midwest.
The objective of this study was to determine the overall productivity of a corn-alfalfa intercropping system and to assess the impact of the weed community during successive years of alfalfa production.
2. Materials and Methods
2.1. Site Description
A 3-year corn-alfalfa intercropping study was conducted from 2016 to 2018 at the Sorenson research farm in Boone, IA, USA (42°00′ N, 93°44′ W). The entire study was repeated at a second site from 2017 to 2019 in a different field on the same research farm. Experiments were located on soils dominated by Clarion loam (fine-loamy, mixed, superactive, mesic Typic Hapludolls) and Webster clay loam (fine-loamy, mixed, superactive, mesic Typic Endoaquolls) [33]. Weather data including monthly precipitation and temperature along with long-term weather history were obtained from the Iowa Environmental Mesonet Network weather station (Ames-8-WSW) located closest to the research sites [34]. Soil pH and available P and K levels were maintained based on the baseline soil test results obtained at the beginning of each study (Table 1).
Table 1.
Corn planting and alfalfa seeding and proxehadione (PHX) application dates for corn-alfalfa intercropping experiment conducted from 2016–2018 at Boone, IA, USA.
2.2. Plot Design and Management
The experiment design was a randomized complete block with four replicates. Each replicate included five treatments: (T1) alfalfa alone; (T2) corn alone; (T3) alfalfa intercropped into corn; (T4) alfalfa interseeded into corn with an application of prohexadione [calcium, 1-(4-carboxy-2,6-dioxocyclohexylidene)propan-1-olate]; and (T5) spring-seeded alfalfa check. Each plot was 7.6 m × 3.1 m with either corn only, alfalfa only, or four rows of corn and 16 rows of alfalfa both seeded on the same date, depending on the assigned treatment. Corn (DeKalb DKC57-75RIB, 107 RM) was planted at 80,000 plants ha−1 using a four-row planter (Kinze Manufacturing, Inc., Williamsburg, IA, USA). Glyphosate-tolerant alfalfa (Pioneer 54QR04 (RR) germination: 84%; hard seed: 3%; fall dormancy) was planted at 15 kg ha−1 PLS using a small seed grain drill with 15 cm row spacing (ALMACO, Nevada, IA, USA). Prohexadione calcium (Apogee, BASF Corp., Research Triangle Park, NC, USA), an anti-gibberellic hormone, was applied at a rate of 0.5 kg a.i. ha−1 over the alfalfa, but under the corn canopy at the V8 corn stage [35] and alfalfa at 20 cm height. The PHX solution was prepared using ammonium sulfate (1.12 kg ha−1), citric acid (0.94 kg ha−1), and crop oil concentrate (2.3 L ha–1) with water and was applied at 187 L ha−1. Dates of corn, alfalfa planting, and application of PHX are presented in Table 1.
The herbicide EPTC (S-ethyldipropylthiocarbamate) at 6.35 kg a.i. ha−1 (preplant) along with glyphosate (isopropylamine salt of N-(phosphonomethyl)glycine) at the rate of 0.84–0.91 kg a.e. ha−1 was applied for weed control. All the plots were fertilized before planting by broadcasting 168-112-100 kg ha−1 of N-P-K in the form of urea, diammonium phosphate, and muriate of potash.
Alfalfa plots were sprayed with dimethoate (0,0-dimethyl-S-[N-methylcarbamoyl)methyl] phosphorodithioate) at 585 mL a.i. ha−1 twice in the seeding year and three times in the full production year to control potato leafhoppers (Empoasca fabae Harris).
2.3. Data Collection and Analysis
2.3.1. Soil Sampling
Prior to the start of each experiment in 2016 and 2017, baseline soil samples (0–15 cm depth) were collected across each replicate (composite of six cores) and analyzed for pH, organic matter, and available P and K. Additional soil samples (each consisting of a three-core composite) were also collected from each plot from 0 to 15 and 15 to 60 cm depths in late fall of the seeding year of each experiment following corn harvest. The available soil P and K were determined using the Olsen method [36] and the Mehlich-3 tests [37], respectively. Soil NO3-N concentration was determined by the transnitration of salicylic acid method [38]. Baseline soil test results are shown in Table 2. All soil samples were analyzed by the North Dakota State University Soil testing lab.
Table 2.
Baseline soil test values (0–15 cm) and soil information for study site at Boone, IA, USA in 2016 and 2017 a.
2.3.2. Corn Early Growth, Density, and Harvest
At the time of PHX application, R1 corn developmental stage, and before corn harvest, corn leaf area index (LAI) measurements were collected using a Decagon AccuPAR leaf area meter (Decagon Devices Inc., Pullman, WA, USA). Four readings of LAI were collected from the middle two plot rows and averaged to calculate a mean LAI reading for each plot. Corn plant height at PHX application and before corn harvest was determined by measuring corn height (ground to extended top leaf tip) from five random plants in the middle-two rows of each plot. Corn plant density (plants ha−1) was also measured at PHX application and before corn harvest. In each plot, corn plants from 1-linear m were cut 6–8 cm from the ground and fresh weight was recorded. After weighing the corn plants, two corn plants were selected, weighed separately (fresh weight), and then placed in a forced-air dryer (50 °C) until a constant weight was achieved. Once dried, the whole plant was weighed, and the harvest index was calculated by weighing the grain separately according to the following equation:
HI = corn grain yield (kg DM ha−1)/corn biomass yield (kg DM ha−1)
Corn grain yield was determined by harvesting two center rows in each plot using a John Deere 9450 combine, and the yield was reported at 15.5% moisture.
2.3.3. Alfalfa Growth Measurements and Harvest
In each plot, a 1 m2 area was marked from which alfalfa was hand harvested for dry matter determination, after which the remainder of the plot was mowed and forage removed. In the seeding year, alfalfa was manually harvested once from a 1 m2 area in each plot before corn was harvested for grain with a combine. In the first and second full production year of alfalfa, four cuttings were manually harvested from 1 m2 area in each plot. However, spring-seeded alfalfa was only harvested twice in the year it was seeded, excepting 2017 due to dry conditions when only one harvest was obtained. Alfalfa biomass samples were placed in a paper bag and dried in a forced air drier at 50 °C for five days and then weighed. Targeted harvest stages for alfalfa cuttings were early bud for first cutting, 10% bloom for the second cutting, and 20–30% bloom for cuttings three and four [39]. Alfalfa was not harvested if stem height was shorter than 40.6 cm. Dates of alfalfa cutting are presented in Table 3.
Table 3.
Harvest dates of alfalfa and corn for studies conducted from 2016 to 2019 at Boone, IA, USA.
At each alfalfa harvest, six measurements from random placements in each plot were taken to estimate the mean alfalfa stem height. Stem density of alfalfa was also measured at each alfalfa harvest by counting the total number of stems (>2.5 cm height) in a 1 m2 subsample within the same harvest area of each plot. Alfalfa growth stage was determined at the same time across treatments [39]. Due to dry summer conditions in 2017 (Figure 1), only three cuttings of alfalfa were harvested from all alfalfa treatments from the study started in 2016, and only one cutting was obtained from the 2017 spring-seeded alfalfa. In 2018, the first production year for the study started in 2017, four cuttings of alfalfa were obtained for sole and intercropped treatments while the spring-seeded alfalfa treatment was only harvested twice. Four cuttings of alfalfa from each treatment were harvested in the second production year of alfalfa in 2018 and 2019.

Figure 1.
(A) Monthly mean air temperature for 2016, 2017, 2018, 2019, and long-term average for Ames, IA, USA, and (B) total precipitation for 2016, 2017, 2018, 2019, and long-term average for Ames, IA, USA.
2.3.4. Weed Community and Density
Weed density and weed community composition was assessed in the seeding year at the time of corn harvest and in the first and second production year of alfalfa in the spring and fall. Each year, weed data were collected before the first in-season herbicide application or at first harvest of alfalfa as well as in fall before last harvest of alfalfa by counting the total number of weeds and classifying weeds per species from five randomly thrown 0.1 m2 circular quadrats. Total weed density and weed density for each species per 1 m2 were determined by multiplying with a factor of two for each plot.
2.4. Statistical Analysis
Analysis of variance and mean comparisons were conducted using the Mixed Procedure of SAS [40]. Site-years and treatments were considered fixed while blocks were considered random. Mean comparisons were performed at the p ≤ 0.05 probability level. Due to the observed variability in experimental years, data were analyzed separately for each site-year. Custom contrast statements were used to make specific pairwise comparisons. Alfalfa yield and total system yield were each linearly regressed against weed density at each cutting and across spring and fall cuttings. Alfalfa yield was regressed against alfalfa stem density and stem height at harvest within each cutting in each year and across years. The r-squared was derived as the coefficient of determination for each regression performed.
3. Results and Discussion
3.1. Weather Conditions
Mean temperature in 2017 and 2018 spring (March–May) was similar to the 30-year average, whereas the average spring temperature was slightly greater than the 30-year average in 2016 (Figure 1). April and May 2018 were considerably drier than the long-term average. Summer temperatures (June–August) were consistent with the long-term average; however, summer of 2017 and 2019 was very dry receiving 22 and 12 cm less rainfall than the long-term average, respectively. June and August in 2018 were very wet and received 15 and 9 cm, respectively, more precipitation than the long-term average. Fall temperatures (September–November) in 2016 and 2017 were slightly warmer than the long-term average. Fall precipitation was greater in all study years except 2017. Mean winter temperatures (December–February) were similar to the long-term trailing average except in 2017, which was 4 °C warmer. Overall, winter precipitation through snow and rainfall accumulation did not vary greatly.
3.2. Corn Leaf Area Index, Plant Height, and Plant Density
In the study started in 2016, the leaf area index (LAI) at the early vegetative stage of corn (V8) was less for corn intercropped with alfalfa (LAI = 1.1) than sole corn (LAI = 1.5) (Table 4), suggesting early season stress on corn growth from alfalfa. However, LAI for the intercropped treatments and corn-only treatment was the same at later stages of corn growth (R1 and pre-harvest). While there was no difference in corn plant height and plant density at the V8 corn stage, intercropped alfalfa reduced plant height at physiological maturity of corn by 16 cm compared with the control treatment.
Table 4.
Corn leaf area index (LAI), plant height (Ht), and plant density in response to alfalfa intercropping treatments at three corn growth stages (V8, R1, harvest (R6) for experiments started in 2016 and 2017 at Boone, IA, USA.
In the study started in 2017, LAI was 24% less for the corn in the corn-alfalfa treatment at the R1 growth stage than the control. The LAI in intercropped corn-alfalfa with PHX was 31 and 20% less at R1 and before corn harvest, respectively, than the corn-only treatment; it is possible that the PHX growth regulator treatment enhanced alfalfa vigor and the resulting competition with corn. This is consistent with previous results, where corn LAI was reduced in a corn-legume intercropping system compared with a corn monocrop [41]. Corn plant height at the V8 corn growth stage and at harvest was less in 2017 in the intercropped treatments (with and without PHX) than corn only. The mean corn plant height in the intercropped system at the V8 corn stage was 29 cm shorter than the corn-only treatment, and corn plant height in the intercropped system with and without PHX was reduced by 22 and 29 cm at harvest, respectively (Table 5).
Table 5.
Corn aboveground biomass, grain yield at 15.5% moisture and HI in response to alfalfa intercropping treatments for experiments started in 2016 and 2017 at Boone, IA, USA.
Intercropped alfalfa may reduce the red:far red light ratio in the early vegetative corn growth stages, resulting in increased corn plant height and low shoot:root ratio [42]. The reduction in plant height at early corn growth stage (V8) suggests soil nutrients and water competition from intercropped alfalfa, and not as a result of the phytochrome mediated red:far red competition typical response. However, nutrients and soil gravimetric water concentration were not measured; it is possible that a shade avoidance response and etiolation in corn-alfalfa treatments in earlier corn vegetative stages (prior to corn stage V8) occurred, affecting the early season corn crop growth rate, and was superseded by a competition for nutrients and water at the time the corn plant heights were recorded [43]. Although alfalfa has a much deeper root profile, alfalfa competes with corn for soil moisture in the shallow soil profile during periods of moisture stress [44]. Given the greater water requirements of alfalfa, competition for moisture from the alfalfa likely reduced water availability for corn and therefore corn biomass accumulation and crop growth rate.
3.3. Corn Harvest Index, Aboveground Biomass, and Grain Yield
The corn harvest index (HI) in both 2016 and 2017 was not affected by alfalfa intercropping. Corn harvest index was 66 and 64 in 2016 and 2017, respectively (Table 5). These HI values were within the range of values reported by previous studies [45,46]. Aboveground biomass and grain yield in 2016 were not different (p ≤ 0.05) across treatments in 2016 at 29 and 13.6 Mg ha−1, respectively. In contrast to 2016, for the study established in 2017, corn aboveground biomass and grain yield were 24% and 24.5% less, respectively, when intercropped with alfalfa (with or without PHX application). Corn grain yield did not correlate significantly with alfalfa stem density or alfalfa yield in either of the alfalfa seeding years of 2016 and 2017 (results not presented).
The application of PHX did not affect the aboveground biomass or grain yield between the intercropped treatments in 2017. Similar findings were reported in Wisconsin, where application of PHX on alfalfa had little or no effect on corn plant height and grain yield when alfalfa was intercropped with silage corn [29]. Reductions in corn biomass and grain yield in 2017 were likely the result of a drier summer and inadequate soil moisture availability (Figure 1). In an intercropping study with corn, alfalfa was 3–5 times more competitive than corn and could dramatically increase its root growth and nutrient uptake capacity to compete with corn for available moisture and nutrients [46], thus compounding the effects of an inadequate precipitation during the corn growing season in 2017.
3.4. Soil Profile NO3-N
Residual fall soil profile NO3-N in the top 60 cm was significantly less in solo alfalfa as compared with corn only or corn intercropped with alfalfa in the seeding year 2016 (Table 6). However, in the fall of 2017, the residual soil profile NO3-N with the solo alfalfa treatment was the same as that in the corn-only and intercropped treatments (Table 6). In a simulation study, intercropping alfalfa with corn reduced up to 74% of total NO3-N loss through runoff water [16]; however, in our study, intercropping corn with alfalfa had no effect on residual NO3-N in the seeding year. These results indicate that the solo alfalfa treatment overall had greater uptake of soil NO3-N and helped reduce the residual nitrate in the soil.
Table 6.
Residual soil NO3-N in late fall for seeding year of alfalfa in 2016 and 2017.
3.5. Alfalfa Stem Height, Growth Stage, Stem Density, and Biomass
In the seeding year, alfalfa stem height in solo alfalfa and intercropped alfalfa treatments were the same when measured at the V8 corn stage, at 12 and 20 cm of 2016 and 2017, respectively (Table 7). The alfalfa stem height in the fall before corn harvest was taller in solo alfalfa than alfalfa-corn treatments in 2016 but the same as that in intercropped alfalfa treatments in 2017. There was no difference in plant height, growth stage, stem density, and dry biomass yield at corn harvest in 2016 or 2017, between the intercropped alfalfa treatments with and without the application of PHX, indicating no discernable effect of the PHX application on alfalfa survival and growth under a corn canopy on these measured response variables. Similar responses were reported in a study conducted in 2014–2015 in North Dakota, in which PHX-treated alfalfa plant density was the same as alfalfa without PHX application [12]. Unlike the findings of our study, it was reported elsewhere that PHX successfully increased alfalfa plant density and biomass yield when intercropped in a silage corn system [11]. Differences in the corn hybrids and alfalfa cultivar may explain in part the differences in PHX performance between our study and the Wisconsin findings [11]. The corn hybrid in this study was a grain corn hybrid while the studies conducted in Wisconsin [11] included silage corn hybrids, which were also planted at a greater plant density than in this study. Grabber [11] did not report LAI or intercepted solar radiation by corn, but it is likely that the light reaching alfalfa under the corn canopy was much less than in this study, which may explain the lack of response of PHX. The PHX is a growth retardant, reducing internode length in alfalfa to improve its winter survivability. Grabber et al. [13] reported differences in shade tolerance among alfalfa cultivars, but the cultivar we used in this study was not included in the Grabber et al. [13] study.
Table 7.
Alfalfa plant height at V8 stage of corn (Ht1) and at harvest (Ht2); alfalfa growth stage (Stage), stem density (Stem), and dry biomass yield (DM) in seeding year of alfalfa in 2016 and 2017.
The alfalfa stem density and dry biomass yield was greater in solo alfalfa than intercropped alfalfa in both seeding years of 2016 and 2017. Stem density in all alfalfa treatments in 2017 was less than the recommended density of 430 stems m−2 for optimum forage yield in the first production year of alfalfa [47,48]. Stem density of the alfalfa-only treatment was three times greater than the intercropped alfalfa in 2016 and 1.5 times greater in 2017. Dry biomass of solo alfalfa was 8 and 2 times greater than the intercropped alfalfa treatment in 2016 and 2017, respectively. The reduced yield and stem density of solo alfalfa in 2017 were likely caused by the dry summer conditions from June to September (Figure 1), which may have affected alfalfa establishment and growth. Less biomass yield and stem density of alfalfa in the intercropped system than the solo alfalfa indicates that interspecific species competition with corn likely led to stressed growing conditions for the alfalfa under the corn canopy, particularly with insufficient precipitation.
For the first production years in 2017 and 2018, stem height, density, growth stage, and dry biomass yield were the same (p ≤ 0.05) among intercropped treatments (Table 8). Significant differences in stem height, stem density, growth stage, and biomass yield between sole and intercropped alfalfa were observed at first harvest in 2017, while in 2018, only stem height and dry matter yield in sole alfalfa were higher at first harvest. Stem height and growth stage in 2017 were lower but the stem density of first harvest of spring-seeded alfalfa (third harvest for solo and intercropped treatments) was 1.5 times that of sole and intercropped alfalfa established the year before. Greater stem density in younger alfalfa stands, and particularly in the alfalfa seeding year, is well documented; less stem density is required to maximize forage production in established stands [47].
Table 8.
Alfalfa stem height (Ht), growth stage (St), stem density (Stem) at each harvest, and total seasonal dry biomass (DM) for first production year of alfalfa in 2017 and 2018.
Dry matter yield of first harvest of spring-seeded alfalfa was the same (p ≤ 0.05) as that of sole and intercropped treatments in 2017. However, in 2018, intercropped and sole alfalfa treatments had 3.5 and 2 times greater biomass yield at first and second cuttings of spring-seeded alfalfa (Figure 2). Year differences can be due to weather or resource utilization. Despite some inconsistencies at different harvests within the same year, sole alfalfa produced the greatest total biomass yield in the first production year whereas intercropped alfalfa produced 6 and 5 times more seasonal dry biomass (total biomass from all harvests in a year) than spring-seeded alfalfa in 2017 and 2018, respectively. Seasonal forage yield in the first production year in our study was within the mean yield range reported elsewhere [47]. Greater yield from intercropped alfalfa than spring-seeded alfalfa helped to compensate for the low production of spring-seeded alfalfa and improve the overall productivity of the intercropping system. This also increases profitability of the two-year system with intercropped alfalfa compared with the spring-seeded alfalfa [12].
Figure 2.
Seasonal alfalfa dry biomass yield for first year of production in 2017 and 2018 at Boone, IA, USA for (A) alfalfa; (A + C) alfalfa + corn; (A + C + PHX) alfalfa + corn + prohexadione calcium; (A-sp) spring-planted alfalfa. Within the year, treatments with different letters indicate significant differences.
For the second production year, stem height, stem density, growth stage, and dry matter yield were the same (p ≤ 0.05) among treatments in 2018 (Table 9). The mean dry matter yield in 2018 across treatments was greatest for first cutting (4.5 Mg ha−1) and least at the fourth cutting (0.9 Mg ha−1). Mean stem density across all the treatments and harvests in 2018 was 460 stems m−2. For the second production year in 2019, there were inconsistent effects of treatments on plant height and stem density. Spring-seeded alfalfa had lower plant height than sole and intercropped alfalfa at first harvest whereas it had greater stem density and lower stem height at second harvest. Dry matter yield of spring-seeded alfalfa at third harvest was slightly less than that in intercropped treatments. Despite some inconsistencies among harvests, the total seasonal biomass yield for the second production year of alfalfa in 2018 and 2019 was the same across treatments (Figure 3). Mean seasonal alfalfa dry matter yield across all the treatments was 9.1 and 6.0 Mg ha−1 in 2018 and 2019, respectively.
Table 9.
Alfalfa stem height (Ht), growth stage (St), stem density (Stem) at each harvest, and total seasonal dry biomass for second production year of alfalfa in 2018 and 2019. Alfalfa growth stage was measured as per Kalu and Fick (1983).
Figure 3.
Seasonal alfalfa dry biomass yield for second year of production in 2018 and 2019 at Boone, IA, USA, for (A) alfalfa; (A + C) alfalfa + corn; (A + C + PHX) alfalfa + corn + prohexadione calcium; (A-sp) spring-planted alfalfa. Treatments were the same within the year at the p ≤ 0.05 probability level.
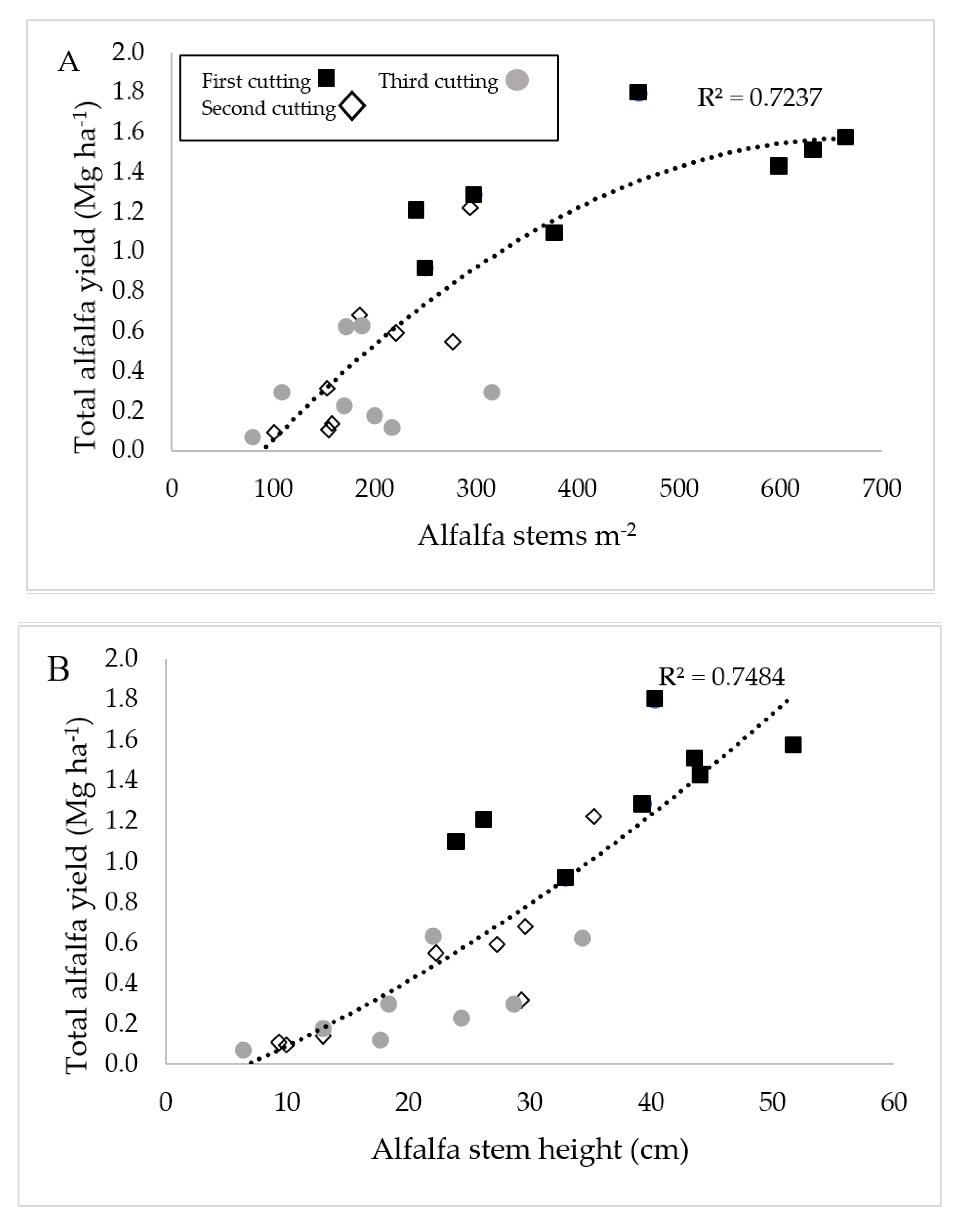
Alfalfa biomass yield increased as stem density and stem height increased in the seeding year for both studies (Figure 4), with a coefficient of determination of 0.724 and 748, respectively. There was no discernable relationship between total alfalfa biomass yield and alfalfa stem height at PHX application. Alfalfa biomass yield also increased with stem density and stem height, in the first harvest of the first production year (data not presented). Alfalfa biomass yield was inconsistently correlated with stem density and stem height after the first harvest in the first production year for subsequent years and cuttings for both studies, with the exception of alfalfa height, which maintained a stronger positive correlation with alfalfa biomass yield in all of the first production year cuttings for the 2016 study and first two cuttings for the 2017 study (data not presented). Grabber [11] also reported an increase in biomass yield with greater stem density.
Figure 4.
Second-order polynomial regression of alfalfa yield (Mg ha−1) against (A) alfalfa stem density (no. m−2) and (B) alfalfa stem height (cm), at each harvest in the seeding year of both experiments in studies started in 2016 and 2017 at Boone, IA, USA.
Greater overall productivity and economic benefit of the intercropping system can be achieved when yields of both the crops are combined [12,49,50,51]. In our study, there was a reduction in corn grain yield due to intercropping with alfalfa in both experimental years (Figure 5). However, the combined yield of corn aboveground biomass and total seasonal yield of first-year alfalfa was either the same or greater when alfalfa was intercropped with corn compared with the conventional system where alfalfa was spring-seeded after corn harvest the prior fall (Figure 5).
Figure 5.
Total dry matter yield of aboveground corn biomass plus first-year alfalfa in studies started in 2016 and 2017 at Boone, IA, USA, for (A-sp + C) spring-planted alfalfa + corn; (A + C) alfalfa + corn; (A + PHX + corn) alfalfa + prohexadione calcium + corn.
3.6. Weed Density and Community
In the fall of the seeding year, the mean weed density (weeds m−2) at the time of corn harvest in solo alfalfa was not significantly different from alfalfa growing under a corn canopy. The average weed density across all treatments was 29 and 4 weeds m−2 in 2016 and 2017, respectively. Ample soil moisture in the 2016 growing season resulted in high weed pressure compared with dry summer conditions in 2017 (Figure 1). The weed community was comprised of 94% broadleaf weeds and 6% grasses. Major broadleaf weeds in seeding year were (41%) tall waterhemp (Amaranthus tuberculatus (Moq.) Sauer), (4%) little hogweed (Portulaca oleracea L.), (26%) West Indian nightshade (Solanum ptychanthum Dunal.), and (11%) lambsquarters (Chenopodium album L.). Grass species mainly consisted of giant foxtail (Setaria faberi Herrm.), crabgrass (Digitaria sanguinalis (L.) Scop.), and hairy cupgrass (Eriochloa villosa (Thunb.) Kunth).
In the first production year, the overall weed density was high in spring-seeded alfalfa, but still similar to solo and intercropped alfalfa. The overall weed density across treatments in spring before first harvest was 50 and 8.3 weeds m−2 in 2017 and 2018, respectively. Weed density in fall of 2017 and 2018 was 7 and 11 weeds m−2, respectively. Total weed community in the spring of the first production year across 2017 and 2018 was 79% of broadleaf weeds and 21% of grasses. Major broadleaf weeds in the spring were Canadian horseweed (Conyza canadensis (L.) Cronquist) (48%), tall water-hemp (28%), and dandelion (Taraxacum sp. L.) (13%). Other minor broadleaf weeds were field pennycress (Thlaspi arvense L.), lambsquarters, creeping wood sorrel (Oxalis corniculata L.), and speedwell (Veronica arvensis L). Some of the major grass weeds were crabgrass, yellow foxtail (Setaria pumila (Poir.) Roem. & Schult.), annual ryegrass (Lolium multiflorum Lam.), and hairy cupgrass. In the fall, before the last alfalfa harvest, overall weed density was low with 7 and 11 weeds m−2 in 2017 and 2018, respectively. In the fall, 74% of the total weeds were broadleaf species while 26% were grasses.
In the second production year of alfalfa, mean weed density in the spring did not differ among treatments and averaged 32 and 27 weeds m−2 in 2018 and 2019, respectively. Broadleaf weeds comprised 94% of the total weed community and were mainly represented by (40%) Canadian horseweed, (29%) tall waterhemp, (18%) shepherd’s purse (Capsella bursa-pastoris (L.) Medik.), and (5%) west Indian nightshade. Other minor broadleaf weeds were lambsquarters, dandelion, and western tansy mustard (Descurainia pinnata (Walter) Britton). Grass weeds were mostly giant foxtail and crabgrass.
Percent alfalfa yield loss was regressed as a function of weed density within and across cuttings for each experiment and year. Weed density did not consistently correlate with alfalfa biomass; the strongest positive correlation between yield loss and weed density was observed in 2019 in the third and fourth cuttings of the second alfalfa production year, with a coefficient of determination of 0.524 and 0.312, respectively. Previous results are inconsistent regarding the impact of weed control on alfalfa forage yield [32], but more consistently indicate reductions in nutritive value from weed pressure. Weed control programs were also found not to impact total biomass accumulation in a corn silage and alfalfa system [52].
4. Conclusions
Corn grain yield was not affected when intercropped with alfalfa in the presence of sufficient soil moisture at alfalfa seeding and initial growth stages. However, intercropped alfalfa reduced corn grain yield in a year with dry summer conditions. Total seasonal yield of intercropped alfalfa in the first production year was greater than spring-seeded alfalfa, suggesting an overall increase in the total productivity of the intercropped system despite some reduction in corn grain yield.
Alfalfa can be established in intercropping with corn increasing the alfalfa yield compared with a spring-seeded alfalfa. However, the system needs to be optimized, since, especially in dry years, corn yield penalty can be too high and alfalfa plant density might be less than optimum to make the system profitable. Based on the findings of our experiment, future research on corn-alfalfa intercropping should focus on screening drought-tolerant corn hybrids with vigorous root systems. Using an early-maturing corn hybrid, coupled with management practices such as appropriate N fertilization, may improve corn yield and the chances of success for this intercropping system.
Author Contributions
Conceptualization and methodology: A.W.L. and S.P.; data compilation, analysis, and original draft preparation: S.P.; review, editing, and statistics contributions: C.A.B., K.J.M., A.W.L. and M.T.B.; project supervision: M.T.B. and A.W.L.; funding acquisition, M.T.B. All authors have read and agreed to the published version of the manuscript.
Funding
This research was funded by USDA-NIFA-AFRI, Award No. 2016-69004-24784.
Institutional Review Board Statement
Not applicable.
Informed Consent Statement
Not applicable.
Data Availability Statement
Raw data are available upon request to Swetabh Patel.
Acknowledgments
We are grateful for field and technical support provided the Agricultural Engineering and Agronomy Research Farms, hourly undergraduates, and Assistant Scientist Roger Hintz.
Conflicts of Interest
The authors declare no conflict of interest. The funders had no role in the design of the study; in the collection, analyses, or interpretation of data; in the writing of the manuscript, or in the decision to publish the results.
References
- Zhang, G.; Yang, Z.; Dong, S. Interspecific competitiveness affects the total biomass yield in an alfalfa and corn intercrop-ping system. Field Crop. Res. 2011, 124, 66–67. [Google Scholar] [CrossRef]
- Duchene, O.; Vian, J.-F.; Celette, F. Intercropping with legume for agroecological cropping systems: Complementarity and facilitation processes and the importance of soil microorganisms. A review. Agric. Ecosyst. Environ. 2017, 240, 148–161. [Google Scholar] [CrossRef]
- Seran, T.H.; Brintha, I. Review on Maize Based Intercropping. J. Agron. 2010, 9, 135–145. [Google Scholar] [CrossRef] [Green Version]
- Anil, L.; Park, P. Miller Temperate intercropping of cereals for forage: A review of the potential for growth and utilization with particular reference to the UK. Grass Forage Sci. 1998, 53, 301–317. [Google Scholar] [CrossRef]
- Zhang, F.; Li, L. Using competitive and facilitative interactions in intercropping systems enhances crop productivity and nutrient-use efficiency. Plant Soil 2003, 248, 305–312. [Google Scholar] [CrossRef]
- Zhang, G.; Zhang, C.; Yang, Z.; Dong, S. Root Distribution and N Acquisition in an Alfalfa and Corn Intercropping System. J. Agric. Sci. 2013, 5, 128–141. [Google Scholar] [CrossRef]
- Olmstead, J.; Brummer, E.C. Benefits and barriers to perennial forage crops in Iowa corn and soybean rotations. Renew. Agric. Food Syst. 2008, 23, 97–107. [Google Scholar] [CrossRef]
- Yost, M.A.; Russelle, M.P.; Coulter, J.A. Field-Specific Fertilizer Nitrogen Requirements for First-Year Corn following Alfalfa. Agron. J. 2014, 106, 645–658. [Google Scholar] [CrossRef]
- Mikić, A.; Ćupina, B.; Rubiales, D.; Mihailović, V.; Šarūnaitė, L.; Fustec, J.; Antanasović, S.; Krstić, Đ.; Bedoussac, L.; Zoricć, L.; et al. Models, Developments, and Perspectives of Mutual Legume Intercropping. In Advances in Agronomy; Elsevier BV: San Diego, CA, USA, 2015; Volume 130, pp. 337–419. [Google Scholar]
- Yost, M.A.; Coulter, J.A.; Russelle, M.P.; Sheaffer, C.C.; Kaiser, D.E. Alfalfa Nitrogen Credit to First-Year Corn: Potassium, Regrowth, and Tillage Timing Effects. Agron. J. 2012, 104, 953–962. [Google Scholar] [CrossRef] [Green Version]
- Grabber, J.H. Prohexadione-Calcium Improves Stand Density and Yield of Alfalfa Interseeded into Silage Corn. Agron. J. 2016, 108, 726–735. [Google Scholar] [CrossRef]
- Berti, M.; Lukaschewsky, J.; Samarappuli, D. Intercropping Alfalfa into Silage Maize Can Be More Profitable Than Maize Silage Followed by Spring-Seeded Alfalfa. Agronomy 2021, 11, 1196. [Google Scholar] [CrossRef]
- Grabber, J.H.; Osterholz, W.R.; Riday, H.; Cassida, K.A.; Williamson, J.A.; Renz, M.J. Differential survival of alfalfa varieties interseeded into corn silage. Crop. Sci. 2021, 61, 1797–1808. [Google Scholar] [CrossRef]
- Hatfield, J.L.; McMullen, L.D.; Jones, C.S. Nitrate-nitrogen patterns in the Raccoon River Basin related to agricultural practices. J. Soil Water Conser. 2009, 64, 190–199. [Google Scholar] [CrossRef] [Green Version]
- Wu, S.; Wu, P.; Feng, H.; Merkley, G.P. Effects of alfalfa coverage on runoff, erosion and hydraulic characteristics of over-land flow on loess slope plots. Front. Environ. Sci. Eng. China 2011, 5, 76–83. [Google Scholar] [CrossRef]
- Osterholz, W.; Renz, M.; Jokela, W.; Grabber, J. Interseeded alfalfa reduces soil and nutrient runoff losses during and after corn silage production. J. Soil Water Conserv. 2018, 74, 85–90. [Google Scholar] [CrossRef]
- Schaller, F.W.; Larson, W.E. Effect of Wide Spaced Corn Rows on Corn Yields and Forage Establishment 1. Agron. J. 1955, 47, 271–276. [Google Scholar] [CrossRef]
- Jackobs, A.; Gossett, D.M. Seeding alfalfa over corn with a cultipacker type seeder. Agron. J. 1956, 48, 194–195. [Google Scholar] [CrossRef]
- Pendleton, J.W.; Jackobs, J.A.; Slife, F.W.; Bateman, H.P. Establishing legumes in corn. Agron. J. 1957, 49, 44–48. [Google Scholar] [CrossRef]
- Matusso, J.M.M.; Mugwe, J.N.; Mucheru-Muna, M. Effect of different maize (Zea mays L.)-soybean (Glycine max (L.) Merrill) intercropping patterns on yields, light interception and leaf area index in Embu west and Tigania east sub counties. Acad. Res. J. Agric. Sci. Res. 2014, 2, 6–21. [Google Scholar]
- Gist, G.R.; Mott, G.O. Some Effects of Light Intensity, Temperature, and Soil Moisture on the Growth of Alfalfa, Red Clover and Birdsfoot Trefoil Seedlings. Agron. J. 1957, 49, 33–36. [Google Scholar] [CrossRef]
- Smeltekop, H.; Clay, D.E.; Clay, S.A. The impact of intercropping annual ‘Sava’ snail medic on corn production. Agron. J. 2002, 94, 917–924. [Google Scholar] [CrossRef]
- Uchino, H.; Iwama, K.; Jitsuyama, Y.; Yudate, T.; Nakamura, S. Yield losses of soybean and maize by competition with in-terseeded cover crops and weeds in organic-based cropping systems. Field Crop. Res. 2009, 113, 342–351. [Google Scholar] [CrossRef] [Green Version]
- Grabber, J.H.; Jokela, W.E.; Lauer, J.G. Soil Nitrogen and Forage Yields of Corn Grown with Clover or Grass Companion Crops and Manure. Agron. J. 2014, 106, 952–961. [Google Scholar] [CrossRef] [Green Version]
- Jellum, E.J.; Kuo, S. Nitrogen requirements of corn (Zea mays L.) as affected by monocropping and intercropping with Alfalfa (Medicago sativa L.). Nutr. Cycl. Agroecosyst. 1996, 47, 149–156. [Google Scholar] [CrossRef]
- Rethwisch, M.D.; Perez, R.; Griffin, B.J.; Bradley, A.; Reay, M. Alfalfa Yield and Quality Responses to Applications of Three Types of Plant Growth Regulators. Forage and Grain Report; College of Agriculture, University of Arizona: Tucson, AZ, USA, 2003; Available online: https://repository.arizona.edu/bitstream/handle/10150/205397/az13221b-2003.pdf?sequence=1&isAllowed=y (accessed on 20 February 2016).
- Osterholz, W.R.; Grabber, J.H.; Renz, M.J. Adjuvants for Prohexadione-Calcium Applied to Alfalfa Interseeded into Corn. Agron. J. 2018, 110, 2687–2690. [Google Scholar] [CrossRef]
- Rademacher, W. GROWTHRETARDANTS: Effects on Gibberellin Biosynthesis and Other Metabolic Pathways. Annu. Rev. Plant Biol. 2000, 51, 501–531. [Google Scholar] [CrossRef] [Green Version]
- Osterholz, W.R.; Renz, M.J.; Lauer, J.G.; Grabber, J.H. Prohexadione-Calcium Rate and Timing Effects on Alfalfa Interseeded into Silage Corn. Agron. J. 2018, 110, 85–94. [Google Scholar] [CrossRef]
- Stephens, R.J. Effects of Weed Infestation on Crop Yield and Quality. In Theory and Practice of Weed Control; Springer Science and Business Media LLC: London, UK, 1982; pp. 1–14. [Google Scholar]
- Pike, D.R.; Stritzke, J.F. Alfalfa (Medicago sativa)–Cheat (Bromus secalinus) Competition. Weed Sci. 1984, 32, 751–756. [Google Scholar] [CrossRef]
- Wilson, R.G. New Herbicides for Weed Control in Established Alfalfa (Medicago sativa). Weed Technol. 1989, 3, 523–526. [Google Scholar] [CrossRef]
- Soil Survey Staff, Natural Resources Conservation Service, United States Department of Agriculture. Web Soil Survey. Available online: https://websoilsurvey.sc.egov.usda.gov/ (accessed on 20 March 2018).
- Iowa Environmental Mesonet Network. 2020. National Weather Service Cooperative Observer Program. Iowa Environ. Mesonet Network. Available online: https://mesonet.agron.iastate.edu/COOP/ (accessed on 20 February 2020).
- Abendroth, L.J.; Elmore, R.W.; Boyer, M.J.; Marlay, S.K. Corn growth and Development. Publ. PMR-1009. Iowa State Univ. Ext. 2011. Available online: https://store.extension.iastate.edu/Product/Corn-Growth-and-Development (accessed on 28 February 2020).
- Olsen, S.R.; Sommers, L.E. Phosphorus. In Methods of soil Analysis: Part 2. Chemical and Microbiological Properties. Agron. Mongr. 9, 2nd ed.; Page, A.L., Ed.; ASA and SSSA: Madison, WI, USA, 1982; pp. 403–430. [Google Scholar]
- Mehlich, A. Mehlich 3 soil test extractant: A modification of Mehlich 2 extractant. Commun. Soil Sci. Plant Anal. 1984, 15, 1409–1416. [Google Scholar] [CrossRef]
- Cataldo, B.A.; Haroon, M.; Schrader, L.E.; Youngs, V.L. Rapid colorimetric determination of nitrate in plant tissue by nitrate in plant tissue by nitration of salicylic acid. Commun. Soil Sci. Plant Anal. 1975, 6, 71–80. [Google Scholar] [CrossRef]
- Kalu, B.A.; Fick, G.W. Morphological Stage of Development as a Predictor of Alfalfa Herbage Quality. Crop. Sci. 1983, 23, 1167–1172. [Google Scholar] [CrossRef]
- SAS Institute. SAS/STATR 9.3 User’s Guide; SAS Inst.: Cary, NC, USA, 2011. [Google Scholar]
- Ren, Y.; Liu, J.; Wang, Z.; Zhang, S. Planting density and sowing proportions of maize–soybean intercrops affected competitive interactions and water-use efficiencies on the Loess Plateau, China. Eur. J. Agron. 2016, 72, 70–79. [Google Scholar] [CrossRef]
- Rajcan, I.; Chandler, K.J.; Swanton, C.J. Red–far-red ratio of reflected light: A hypothesis of why early-season weed control is important in corn. Weed Sci. 2004, 52, 774–778. [Google Scholar] [CrossRef]
- Bartel, C.A.; Archontoulis, S.V.; Lenssen, A.W.; Moore, K.J.; Huber, I.L.; Laird, D.A.; Dixon, P.M. Modeling perennial groundcover effects on annual maize grain crop growth with the Agricultural Production Systems sIMulator. Agron. J. 2020, 112, 1895–1910. [Google Scholar] [CrossRef]
- Sun, B.; Peng, Y.; Yang, H.; Li, Z.; Gao, Y.; Wang, C.; Yan, Y.; Liu, Y. Alfalfa (Medicago sativa L.)/Maize (Zea mays L.) Intercropping Provides a Feasible Way to Improve Yield and Economic Incomes in Farming and Pastoral Areas of Northeast China. PLoS ONE 2014, 9, e110556. [Google Scholar] [CrossRef]
- Khalili, M.; Naghavi, M.R.; Aboughadareh, A.P.; Rad, H.N. Effects of drought stress on yield and yield components in maize cultivars (Zea mays L.). Int. J. Agron. Plant Prod. 2013, 4, 809–812. [Google Scholar]
- Li, J.; Xie, R.Z.; Wang, K.R.; Ming, B.; Guo, Y.Q.; Zhang, G.Q.; Li, S.K. Variations in Maize Dry Matter, Harvest Index, and Grain Yield with Plant Density. Agron. J. 2015, 107, 829–834. [Google Scholar] [CrossRef]
- Undersander, D.; Dennis, C. Using stem count as a decision aid in turning over alfalfa stands. In Forage & Grazinglands; Wiley: Hoboken, NJ, USA, 2007; Volume 5, pp. 1–5. [Google Scholar]
- Berti, M.T.; Samarappuli, D. How Does Sowing Rate Affect Plant and Stem Density, Forage Yield, and Nutritive Value in Glyphosate-Tolerant Alfalfa? Agronomy 2018, 8, 169. [Google Scholar] [CrossRef] [Green Version]
- Sun, B.; Gao, Y.; Yang, H.; Zhang, W.; Li, Z. Performance of alfalfa rather than maize stimulates system phosphorus uptake and overyielding of maize/alfalfa intercropping via changes in soil water balance and root morphology and distribution in a light chernozemic soil. Plant Soil 2018, 439, 145–161. [Google Scholar] [CrossRef]
- Sun, T.; Li, Z.; Wu, Q.; Sheng, T.; Du, M. Effects of alfalfa intercropping on crop yield, water use efficiency, and overall eco-nomic benefit in the Corn Belt of Northeast China. Field Crop. Res. 2018, 216, 109–119. [Google Scholar] [CrossRef]
- Osterholz, W.R.; Renz, M.J.; Grabber, J.H. Alfalfa establishment by interseeding with silage corn projected to increase profitability of corn silage–Alfalfa rotations. Agron. J. 2020, 112, 4120–4132. [Google Scholar] [CrossRef]
- Osterholz, W.R.; Dias, J.L.C.S.; Grabber, J.H.; Renz, M.J. PRE- and POST-applied herbicide options for alfalfa interseeded with corn silage. Weed Technol. 2021, 35, 263–270. [Google Scholar] [CrossRef]
Publisher’s Note: MDPI stays neutral with regard to jurisdictional claims in published maps and institutional affiliations. |
© 2021 by the authors. Licensee MDPI, Basel, Switzerland. This article is an open access article distributed under the terms and conditions of the Creative Commons Attribution (CC BY) license (https://creativecommons.org/licenses/by/4.0/).