The Influence of Seed Production Environment on Seed Development and Quality of Soybean (Glycine max (L.) Merrill)
Abstract
1. Introduction
2. Materials and Methods
2.1. Study Location
2.2. Crop Establishment
2.3. Treatment and Experimental Design
2.4. Handling at Harvest
2.5. Data Collection and Measurements
2.5.1. Weather
2.5.2. Seed Moisture
2.5.3. Yield per Square Meter
2.5.4. Germination and Vigor
2.5.5. Electrical Conductivity of Leachates
2.5.6. Soluble Sugars
2.5.7. Antioxidant Enzymes
2.6. Data Analysis
3. Results
3.1. Seed Development, Maturation in Different Production Environments
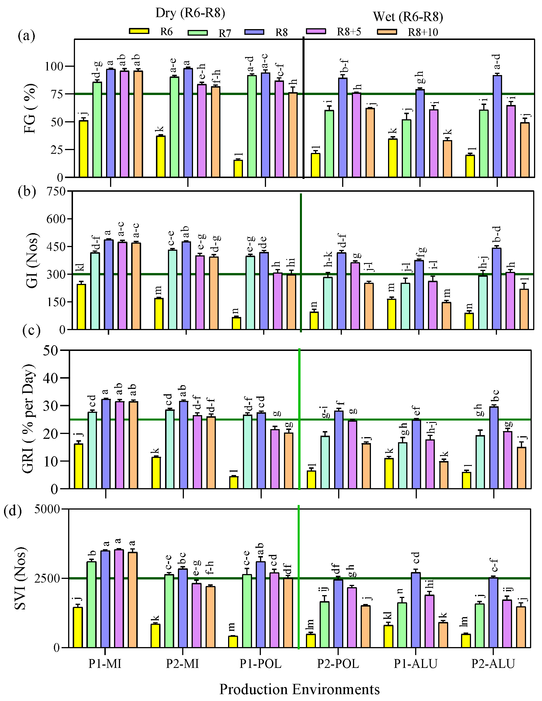
Seed and Seedling Quality
3.2. Electrical Conductivity
3.3. Soluble Sugar
3.4. Antioxidant Enzyme
3.5. Seed Yield
3.6. Seed Moisture Content at Harvest
3.7. Correlations
4. Discussion
4.1. Seed Development, Maturation and Production Environment
4.2. Seed and Seedling Quality
4.3. Electrical Conductivity
4.4. Soluble Sugar
4.5. Antioxidant Enzyme
4.6. Seed Yield
4.7. Programming of Seed Production Activities
5. Conclusions
Author Contributions
Funding
Institutional Review Board Statement
Informed Consent Statement
Data Availability Statement
Acknowledgments
Conflicts of Interest
References
- Nguyen, H.T.; Bhattacharyya, M.K. The Soybean Genome; Springer: Columbia, CO, USA, 2017. [Google Scholar] [CrossRef]
- Ministry of Agriculture. Presidential Task Force on National Food Production. In Food Production Book; Ministry of Agriculture: Battaramulla, Sri Lanka, 2015. [Google Scholar]
- Aberathne, M.S.; Chithrapala, N.H.M.S. Present Status, Constrains and Strategies to Increase Soybean Production in Sri Lanka. In Annals of Sri Lanka Department of Agriculture; Department of Agriculture: Battaramulla, Sri Lanka, 2013; pp. 193–206. [Google Scholar]
- Angelovici, R.; Galili, G.; Fernie, A.R.; Fait, A. Seed Desiccation: A Bridge between Maturation and Germination. Trends Plant Sci. 2010, 15, 211–218. [Google Scholar] [CrossRef]
- Hampton, J.G.; Boelt, B.; Rolston, M.P.; Chastain, T.G. Effects of Elevated CO2 and Temperature on Seed Quality. J. Agric. Sci. 2013, 151, 154–162. [Google Scholar] [CrossRef]
- Li, R.; Chen, L.; Wu, Y.; Zhang, R.; Baskin, C.C.; Baskin, J.M.; Hu, X. Effects of Cultivar and Maternal Environment on Seed Quality in Vicia Sativa. Front. Plant Sci. 2017, 8, 1–9. [Google Scholar] [CrossRef]
- Bareke, T. Biology of Seed Development and Germination Physiology. Adv. Plant Agric. Res. 2018, 8, 336–346. [Google Scholar] [CrossRef]
- Szczerba, A.; Pła, A.; Pastuszak, J.; Kope, P. Effect of Low Temperature on Germination, Growth, and Seed Yield of Four Soybean (Glycine max L.) Cultivars. Agronomy 2021, 11, 800. [Google Scholar] [CrossRef]
- Štraus, S.; Hladnik, A.; Ceh, B. Impact of Linseed Variety, Location and Production Year on Seed Yield, Oil Content and Its Composition. Agronomy 2020, 10, 1–13. [Google Scholar]
- Sobko, O.; Stahl, A.; Hahn, V.; Zikeli, S.; Claupein, W.; Gruber, S. Environmental Effects on Soybean (Glycine max (L.) Merr) Production in Central and South Germany. Agronomy 2020, 10, 847. [Google Scholar] [CrossRef]
- Liu, X.; Jin, J.; Wang, G.; Herbert, S.J. Soybean Yield Physiology and Development of High-Yielding Practices in Northeast China. Field Crop Res. 2008, 105, 157–171. [Google Scholar] [CrossRef]
- Kuswantoro, H. Effect of Planting Dates on Growth, Yield, and Phenology of Different Soybean Lines Grown under Tidal Swamp Land. Pertanika J. Trop. Agric. Sci. 2018, 41, 1261–1274. [Google Scholar]
- Copeland, L.O.; McDonald, M.B. Principles of Seed Science and Technology; Kluwer Academic Publishers: London, UK, 2001. [Google Scholar] [CrossRef]
- De Pádua, G.P.; de França-neto, J.B.; Carvalho, M.; de Laene, M.; Krzyzanowski, F.C.; GuiMarães, R.M. Incidnce of Green Soybean Seeds as a Function of Environmenral Stresses during Seed Maturation. Rev. Bras. Sementes 2009, 31, 150–159. [Google Scholar] [CrossRef]
- Bakal, H.; Gulluoglu, L.; Onat, B.; Arioglu, H. The Effect of Growing Seasons on Some Agronomic and Quality Characteristics of Soybean Varieties in Mediterranean Region in Turkey. Turk. J. Field Crop. 2017, 22, 187–196. [Google Scholar] [CrossRef]
- Wijewardana, C.; Reddy, K.R.; Bellaloui, N. Soybean Seed Physiology, Quality, and Chemical Composition under Soil Moisture Stress. Food Chem. 2019, 278, 92–100. [Google Scholar] [CrossRef]
- Alsajri, F.A.; Wijewardana, C.; Irby, J.T.; Bellaloui, N.; Krutz, L.J.; Golden, B.; Gao, W.; Reddy, K.R. Developing Functional Relationships between Temperature and Soybean Yield and Seed Quality. Agron. J. 2020, 112, 194–204. [Google Scholar] [CrossRef]
- Wang, L.; Patrick, J.W.; Ruan, Y.L. Live Long and Prosper: Roles of Sugar and Sugar Polymers in Seed Vigor. Mol. Plant 2018, 11, 1–3. [Google Scholar] [CrossRef]
- Tsukahara, R.Y.; de Fonseca, I.C.B.; de Silva, M.A.E.; Kochinski, E.G.; Neto, J.P.; Suyama, J.T. Produtividade de Soja Em Consequência Do Atraso Da Colheita e de Condições Ambientais. Pesqui. Agropecu. Bras. 2016, 51, 905–915. [Google Scholar] [CrossRef]
- Vergara, R.; da Silva, R.N.O.; Nadal, A.P.; Gadotti, G.I.; Aumonde, T.Z.; Villela, F.A. Harvest Delay, Storage and Physiological Quality of Soybean Seeds. J. Seed Sci. 2019, 41, 506–513. [Google Scholar] [CrossRef]
- Govindaraj, M.; Masilamani, P.; Albert, V.A.; Bhaskaran, M. Role of Antioxidant in Seed Quality—A Review. Agric. Rev. 2017, 38, 180–190. [Google Scholar] [CrossRef]
- Hasanuzzaman, M.; Bhuyan, M.H.M.B.; Zulfiqar, F.; Raza, A.; Mohsin, S.M.; Al Mahmud, J.; Fujita, M.; Fotopoulos, V. Reactive Oxygen Species and Antioxidant Defense in Plants under Abiotic Stress: Revisiting the Crucial Role of a Universal Defense Regulator. Antioxidants 2020, 9, 681. [Google Scholar] [CrossRef]
- Martinez-Feria, R.A.; Licht, M.A.; Ordóñez, R.A.; Ha, J.L.; Coulter, J.A.; Archontoulis, S.V. Evaluating Maize and Soybean Grain Dry-down in the Field with Predictive Algorithms and Genotype-by-Environment Analysis. Sci. Rep. 2019, 9, 7167. [Google Scholar] [CrossRef] [PubMed]
- Diniz, F.O.; Reis, M.S.; dos Dias, L.A.S.; Araújo, E.F.; Sediyama, T.; Sediyama, C.A. Qualidade Fsiológica de Sementes de Cultivares de Soja Submetidas Ao Retardamento de Colheita e Sua Relação Com a Emergência das Plântulas Em Campo. J. Seed Sci. 2013, 35, 147–152. [Google Scholar] [CrossRef]
- Fehr, W.R.; Caviness, C.E. Stage of Development Descriptions for Soybeans, Glycine max (L.) Merrill 1. Crop Sci. 1977, 11, 929–931. [Google Scholar] [CrossRef]
- Khan, A.Z.; Khan, H.; Khan, R.; Ghoneim, A.; Ebid, A. Seed Development Profile Soybean as Influenced by Planting Date and Cultivar under Temperate Environment. Am. J. Plant Physiol. 2007, 2, 251–260. [Google Scholar] [CrossRef]
- Isaac, O.T.; Banful, B.K.; Amoah, S.; Apuri, S.; Seweh, E.A. Effect of Harvesting Stages on Seed Quality Characteristics of Three Soybean (Glycine max (L) Varieties). J. Sci. Eng. Res. 2016, 3, 326–333. [Google Scholar]
- De Castro, E.M.; Oliveira, J.A.; de Lima, A.E.; dos Santos, H.O.; Barbosa, J.I.L. Physiological Quality of Soybean Seeds Produced under Artificial Rain in the Pre-Harvesting Period. J. Seed Sci. 2016, 38, 14–21. [Google Scholar] [CrossRef][Green Version]
- Nichal, S.S.; Shinde, S.M.; Patel, W.Y.M.; Mahalle, A.R.; Nandanwar, R.S. Crop Physiological Maturity: A Proper Stage to Harvest Soybean Crop. Int. J. Curr. Microbiol. Appl. Sci. 2018, 6, 2430–2435. [Google Scholar]
- Giurizatto, M.I.K.; de Souza, L.C.F.; Robaina, A.D.; Gonçalves, M.C. Effects of Harvest Epoch and Seed Coat Thickness on Viability and Vigor of Soybean Seeds. Agrotec Sci. 2003, 27, 771–779. [Google Scholar]
- Minuzzi, A.; de Braccini, A.L.E.; Rangel, M.A.S.; Scapim, C.A.; Barbosa, M.C.; Paiolaalbrecht, L. Seed Quality of Four Soybean Cultivars, Harvested in Two Locations of Mato Grosso Do Sul State. Rev. Bras. Sementes 2010, 32, 176–185. [Google Scholar] [CrossRef]
- Department of Agriculture Sri Lanka. Soybean Cultivation Guide. Available online: http://www.doa.gov.lk/FCRDI/index.php/en/crop/101-soybean.new (accessed on 27 April 2021).
- Egli, D.B. Cultivar Maturity and Response of Soybean to Shade Stress during Seed Filling. Field Crop. Res. 1997, 52, 1–8. [Google Scholar] [CrossRef]
- Kumar, A.; Pandey, V.; Shekh, A.M.; Kumar, M. Growth and Yield Response of Soybean (Glycine max L.) in Relation to Temperature, Photoperiod and Sunshine Duration at Anand, Gujarat, India. Am. Eurasian J. Agron. 2008, 1, 45–50. [Google Scholar]
- ISTA. International Rules for Seed Testing 2016; The International Seed Testing Association: Bassersdorf, Switzerland, 2016. [Google Scholar]
- Kader, M.A.; Jutzi, S.C. Effects of Thermal and Salt Treatments during Imbibition on Germination and Seedling Growth of Sorghum at 42/19 °C. J. Agron. Crop Sci. 2004, 190, 35–38. [Google Scholar] [CrossRef]
- Al-Ansari, F.; Ksiksi, T. A Quantitative Assessment of Germination Parameters: The Case of Anand. Open Ecol. J. 2016, 9, 13–21. [Google Scholar] [CrossRef]
- Abdul-Baki, A.A.; Anderson, J.D. Vigor Determination in Soybean Seed by Multiple Criteria. Crop Sci. 1973, 13, 630. [Google Scholar] [CrossRef]
- Dutra, A.S.; Vieira, R.D. Electrical Conductivity as Vigor Test for Squash Seeds. Braz. J. Seeds 2006, 28, 117–122. [Google Scholar]
- Raman, M.; Saiprasad, G.V.S.; Madhavakrishna, K. From Seed to Feed: Assessment and Alleviation of Raffinose Family Oligosaccharides (RFOs) of Seed- and Sprout-Flours of Soybean [Glycine Max (L.) Merr.]—A Commercial Aspect. Int. Food Res. J. 2019, 26, 105–116. [Google Scholar]
- Aebi, H. Catalase in Vitro. Methods Enzymol. 1984, 105, 121–126. [Google Scholar] [PubMed]
- Maehly, C. Plant Peroxidases. Methods Enzymol. 1955, 2, 801–813. [Google Scholar]
- Demir, I.; Ashov, A.M.; Mavi, K. Effect of Seed Production Environmnet and Time of Harvest on Tomato (Lycopersicon Esculentum) Seedling Growth. Res. J. Seed Sci. 2008, 1, 1–10. [Google Scholar]
- Choi, D.H.; Ban, H.Y.; Seo, B.S.; Lee, K.J.; Lee, B.W. Phenology and Seed Yield Performance of Determinate Soybean Cultivars Grown at Elevated Temperatures in α Temperate Region. PLoS ONE 2016, 11, 165977. [Google Scholar] [CrossRef] [PubMed]
- Zheng, H.; Chen, L.; Han, X. Response of Soybean Yield to Daytime Temperature Change during Seed Filling: A Long-Term Field Study in Northeast China. Plant Prod. Sci. 2009, 12, 526–532. [Google Scholar] [CrossRef]
- George, T.; Bartholomew, D.; Singleton, P. Effect of Temperature and Maturity Group on Phenology of Field Grown Nodulating and Nonnodulating Soybean Isolines. Biotronics Rep. 1990, 19, 49–59. [Google Scholar]
- Olivares, A.; Johnston, M.; Calderón, C. Effect of Rainfall Regimes on Seed Production and Quality of Avena Barbata. Cienc. Investig. Agrar. 2009, 36, 69–76. [Google Scholar] [CrossRef]
- Hu, M.; Wiatrak, P. Effect of Planting Date on Soybean Growth, Yield, and Grain Quality: Review. Agron. J. 2012, 104, 785–790. [Google Scholar] [CrossRef]
- Jing, Y.; Lang, S.; Wang, D.; Xue, H.; Wang, X.F. Functional Characterization of Galactinol Synthase and Raffinose Synthase in Desiccation Tolerance Acquisition in Developing Arabidopsis Seeds. J. Plant Physiol. 2018, 230, 109–121. [Google Scholar] [CrossRef] [PubMed]
- Buitink, J.; Leprince, O. Intracellular Glasses and Seed Survival in the Dry State. Comptes Rendus Biol. 2008, 331, 788–795. [Google Scholar] [CrossRef] [PubMed]
- Ellis, R.H. Temporal Patterns of Seed Quality Development, Decline, and Timing of Maximum Quality during Seed Development and Maturation. Seed Sci. Res. 2019, 29, 135–142. [Google Scholar] [CrossRef]
- Gris, C.F.; von de Pinho, E.V.R.; Andrade, T.; Baldoni, A.; de Carvalho, M.L.M. Physiological Quality and Lignin Content in the Coat Seeds of Conventional and RR Transgenic Soybean Submitted to Different Harvest Periods. Cienc. Agrotecnologia 2010, 34, 374–381. [Google Scholar] [CrossRef]
- Kaleem, S.; Fayyaz-ul-Hassan Ahmad, M.; Mahmood, I.; Wasaya, A.; Randhawa, M.A.; Khaliq, P. Effect of Growing Degree Days on Autumn Planted Sunflower. Afr. J. Biotechnol. 2011, 10, 8840–8846. [Google Scholar]
- Parthasarathi, T.G.; Velu, P.J. Impact of Crop Heat Units on Growth and Developmental Physiology of Future Crop Production: A Review. Res. Rev. J. Crop Sci. Technol. 2013, 2, 11–18. [Google Scholar]
- Nakagawa, A.C.S.; Ario, N.; Tomita, Y.; Tanaka, S.; Murayama, N.; Mizuta, C.; Iwaya-Inoue, M.; Ishibashi, Y. High Temperature during Soybean Seed Development Differentially Alters Lipid and Protein Metabolism. Plant Prod. Sci. 2020, 23, 504–512. [Google Scholar] [CrossRef]
- Forti, V.A.; Carvalho, C.; Tanaka, F.A.O.; Cicero, S.M. Weathering Damage in Soybean Seeds: Assessment, Seed Anatomy and Seed Physiological Potential. Seed Technol. 2013, 35, 213–224. [Google Scholar]
- Hu, D.; Ma, G.; Wang, Q.; Yao, J.; Wang, Y.; Pritchard, H.W.; Wang, X. Spatial and Temporal Nature of Reactive Oxygen Species Production and Programd Cell Death in Elm (Ulmus Pumila L.) Seeds during Controlled Deterioration. Plant Cell Environ. 2012, 35, 2045–2059. [Google Scholar] [CrossRef] [PubMed]
- Lehner, A.; Bailly, C.; Flechel, B.; Poels, P.; Côme, D.; Corbineau, F. Changes in Wheat Seed Germination Ability, Soluble Carbohydrate and Antioxidant Enzyme Activities in the Embryo during the Desiccation Phase of Maturation. J. Cereal Sci. 2006, 43, 175–182. [Google Scholar] [CrossRef]
- Ali, I.; Nulit, R.; Ibrahim, M.H.; Uddin, M.K. Deterioration of Quality Soybean Seeds (Glycine max (L.) Merr. AGS 190) at Harvest Stages, Seed Moisture Content and Storage Temperature in Malaysia. Int. J. Biosci. 2017, 10, 372–381. [Google Scholar]
- Carmello, V.; Santa, L.; Neto, A. Rainfall Variability and Soybean Yield in Paraná State, Southern Brazil Rainfall Variability and Soybean Yield in Paraná State, Southern. Int. J. Environ. Agric. Res. 2016, 2, 86–97. [Google Scholar]








| PE | Vegetative (SS–R1) | Early Reproductive (R1–R6) | Late Reproductive (R6–R8) | |||||||||
|---|---|---|---|---|---|---|---|---|---|---|---|---|
| Max T °C | GDD | RH% | RF mm | Max T °C | GDD | RH% | RF mm | Max T °C | GDD | RH% | RF mm | |
| P1 MI | 29 | 526 | 78 | 172.4 | 31 | 473 | 76 | 42.8 | 34 | 388 | 68 | 0 |
| P2 MI | 34 | 645 | 75 | 0.7 | 32 | 644 | 70 | 108.8 | 32 | 371 | 71 | 28.2 |
| P1 POL | 31 | 502 | 78 | 109.6 | 35 | 708 | 61 | 0.7 | 36 | 260 | 68 | 78.6 |
| P2 POL | 36 | 683 | 57 | 16.6 | 35 | 656 | 60 | 66 | 34 | 535 | 72 | 166.6 |
| P1 ALU | 31 | 538 | 83 | 154.7 | 33 | 639 | 77 | 45.4 | 36 | 539 | 75 | 33.6 |
| P2 ALU | 36 | 686 | 61 | 0 | 35 | 642 | 68 | 53.3 | 34 | 429 | 71 | 122.4 |
| Production Environments | Harvest Maturity Stages | ||||
|---|---|---|---|---|---|
| Seed Yield + SE (g/m2) | |||||
| R6 | R7 | R8 | R8 + 5 | R8 + 10 | |
| P1 MI | 79.7 ± 2.4 pq | 224.1 ± 7.8 b–d | 239.2 ± 7.7 b | 227.3 ± 15.5 b–d | 235.6 ± 15.4 bc |
| P2 MI | 99.1 ± 3.3 op | 126.8 ± 9.6 mn | 265.1 ± 18.4 a | 242.1 ± 8.5 ab | 226.3 ± 11.8 b–d |
| P1 POL | 110.1 ± 4.0 no | 177.7 ± 5.6 h–k | 182.6 ± 6.6 h–j | 184.3 ± 6.4 g–j | 186.9 ± 6.5 f–h |
| P2 POL | 82.8 ± 1.8 pq | 185.5 ± 11.1 f–i | 207.2 ± 12.6 d–g | 226.8 ± 2.3 b–d | 215.6 ± 1.5 c–f |
| P1 ALU | 124.0 ± 1.8 nm | 167.4 ± 6.0 i–k | 219.0 ± 4.9 b–e | 156.9 ± 4.3 k–l | 141.6 ± 5.5 lm |
| P2 ALU | 58.4 ± 1.6 q | 162.7 ± 6.4 j–l | 190.0 ± 6.3 f–i | 192.3 ± 7.0 f–h | 195.1 ± 11.0 e–h |
| 1 | 2 | 3 | 4 | 5 | 6 | 7 | 8 | 9 | 10 | |
|---|---|---|---|---|---|---|---|---|---|---|
| (1) FG% | 1.00 | |||||||||
| (2) GI | 0.97 ** | 1.00 | ||||||||
| (3) CVG | 0.19 ns | 0.40 ** | 1.00 | |||||||
| (4) EC | −0.85 ** | −0.81 ** | −0.04 ns | 1.00 | ||||||
| (5) SVI | 0.95 ** | 0.93 ** | 0.21 * | −0.81 ** | 1.00 | |||||
| (6) GLU | −0.50 ** | −0.48 * | 0.02 ns | 0.43 ** | −0.50 ** | 1.00 | ||||
| (7) SUC | 0.49 ** | 0.47 ** | 0.03 ns | −0.62 ** | 0.50 ** | −0.11 ns | 1.00 | |||
| (8) RFOs | 0.62 ** | 0.56 ** | −0.02 ns | −0.67 ** | 0.63 ** | −0.31 ** | 0.40 ** | 1.00 | ||
| (9) CAT | 0.94 ** | 0.91 ** | 0.14 ns | −0.81 ** | 0.91 ** | −0.53 ** | 0.48 ** | 0.56 * | 1.00 | |
| (10) POD | 0.86 ** | 0.87 ** | 0.26 * | −0.72 ** | 0.89 * | −0.49 ** | 0.41 ** | 0.43 * | 0.84 * | 1.00 |
Publisher’s Note: MDPI stays neutral with regard to jurisdictional claims in published maps and institutional affiliations. |
© 2021 by the authors. Licensee MDPI, Basel, Switzerland. This article is an open access article distributed under the terms and conditions of the Creative Commons Attribution (CC BY) license (https://creativecommons.org/licenses/by/4.0/).
Share and Cite
Weerasekara, I.; Sinniah, U.R.; Namasivayam, P.; Nazli, M.H.; Abdurahman, S.A.; Ghazali, M.N. The Influence of Seed Production Environment on Seed Development and Quality of Soybean (Glycine max (L.) Merrill). Agronomy 2021, 11, 1430. https://doi.org/10.3390/agronomy11071430
Weerasekara I, Sinniah UR, Namasivayam P, Nazli MH, Abdurahman SA, Ghazali MN. The Influence of Seed Production Environment on Seed Development and Quality of Soybean (Glycine max (L.) Merrill). Agronomy. 2021; 11(7):1430. https://doi.org/10.3390/agronomy11071430
Chicago/Turabian StyleWeerasekara, Indika, Uma Rani Sinniah, Parameswari Namasivayam, Muhamad Hazim Nazli, Sharif Azmi Abdurahman, and Mohd Norsazwan Ghazali. 2021. "The Influence of Seed Production Environment on Seed Development and Quality of Soybean (Glycine max (L.) Merrill)" Agronomy 11, no. 7: 1430. https://doi.org/10.3390/agronomy11071430
APA StyleWeerasekara, I., Sinniah, U. R., Namasivayam, P., Nazli, M. H., Abdurahman, S. A., & Ghazali, M. N. (2021). The Influence of Seed Production Environment on Seed Development and Quality of Soybean (Glycine max (L.) Merrill). Agronomy, 11(7), 1430. https://doi.org/10.3390/agronomy11071430

