Potato Yield, Net Revenue and Specific Gravity Responses to Nitrogen Fertilizer under Different Canadian Agroecozones
Abstract
:1. Introduction
2. Materials and Methods
2.1. Site Description
2.2. Soil Analyses Prior to the Trial Establishment
2.3. Initial Soil Properties
2.4. Nitrogen Fertilizer Treatments
2.5. Temperature and Moisture Trend in Comparison to 30-Year Average
2.6. Potato Yield Calculation
2.7. Net Revenue Calculation and Statistical Analyses
3. Results
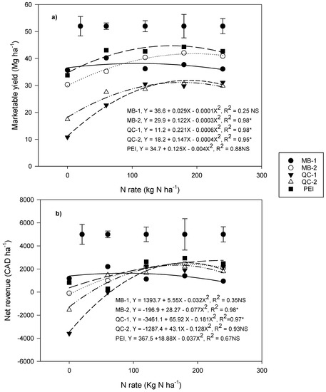
3.1. Effect of Year and N Rate on Marketable Potato Yield
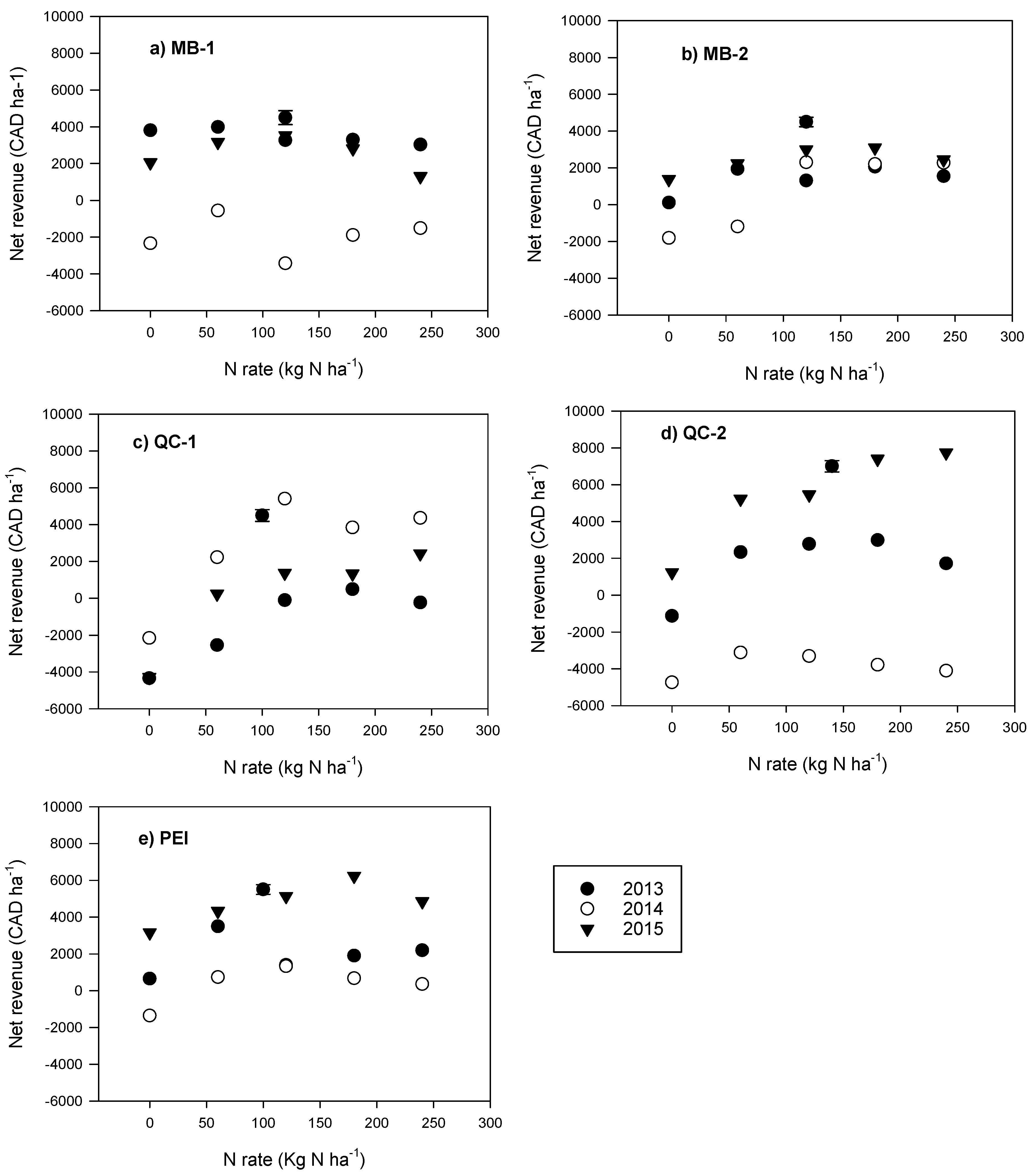
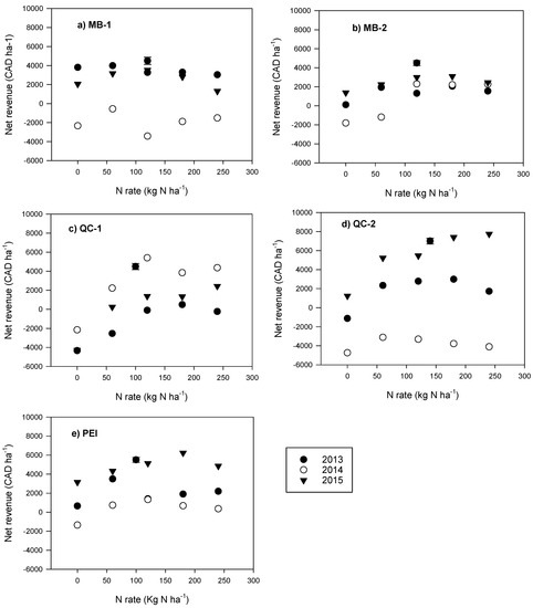
3.2. Effect of Year and N Rate on Net Revenue
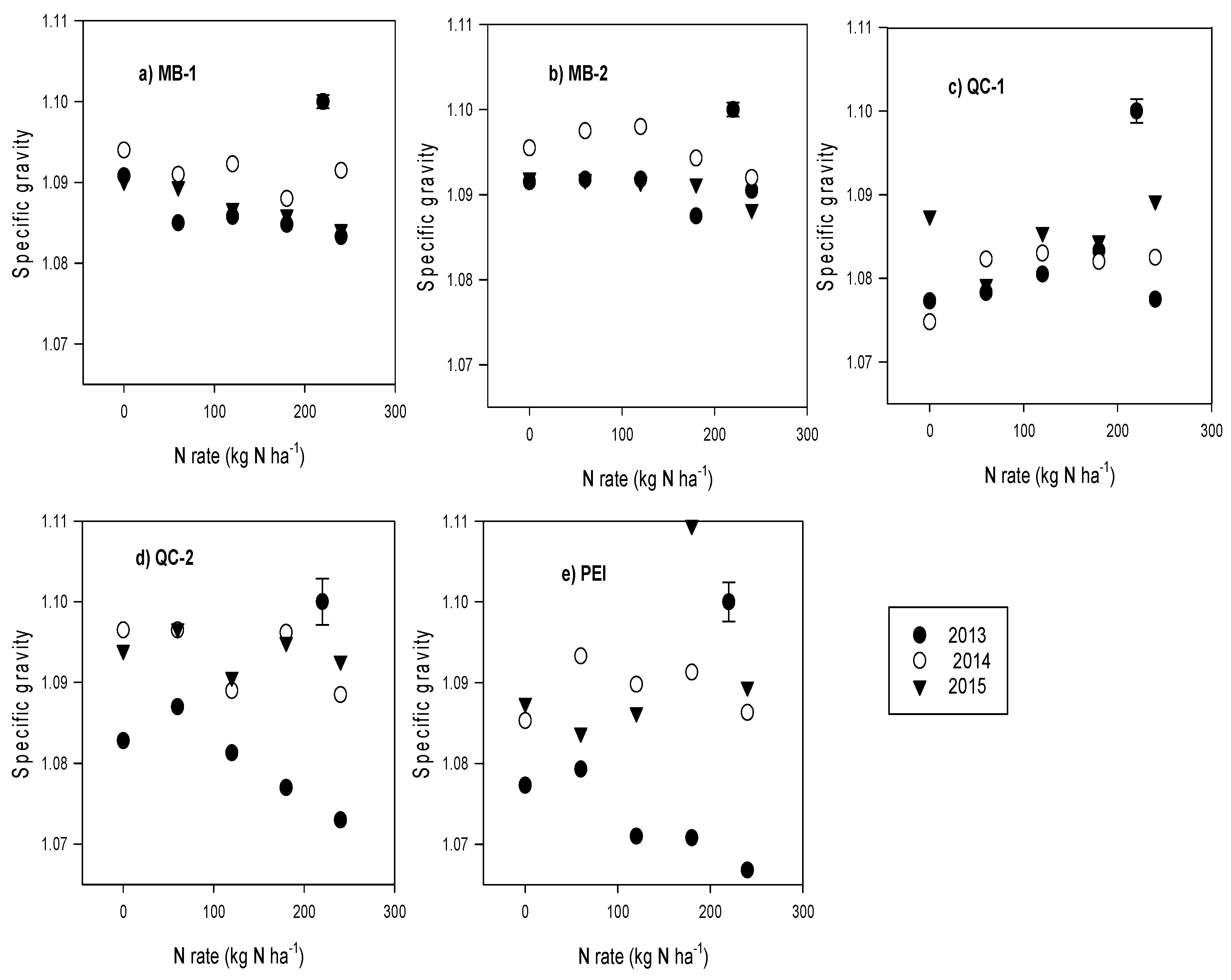
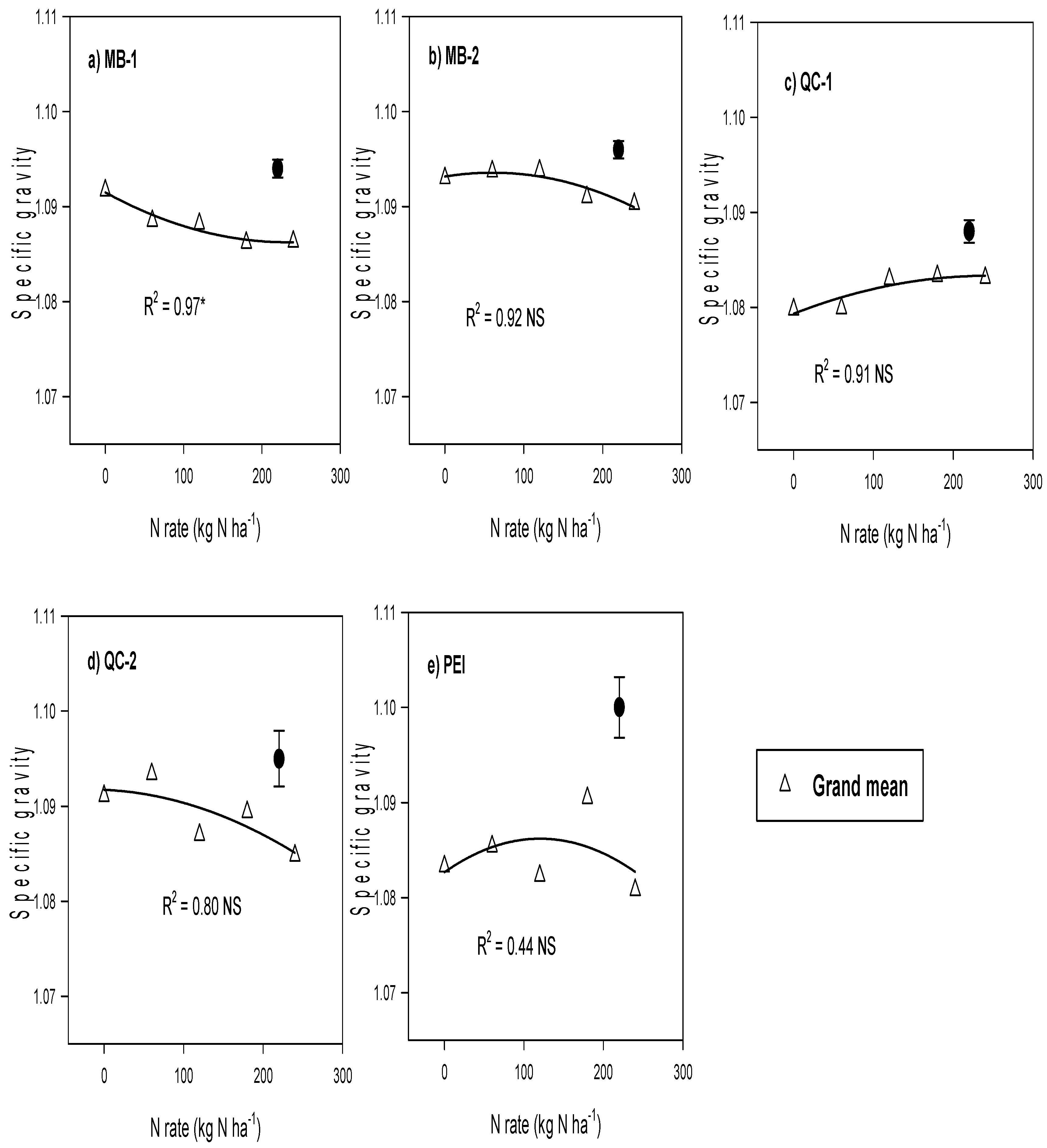
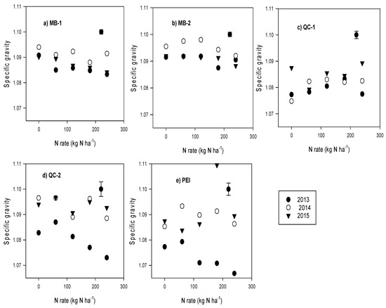
3.3. Effect of Year and N Rate on Specific Gravity
3.4. Nitrogen Rate Maximizing Marketable Yield and Net Revenue Using Different Models
4. Discussion
4.1. Marketable Yield Response to Nitrogen Rate
4.2. Nitrogen Rate Maximizing Marketable Yield Versus That Maximizing Net Revenue
4.3. Potato Specific Gravity Response to N Fertilization
5. Conclusions
Author Contributions
Funding
Acknowledgments
Conflicts of Interest
References
- Agriculture and Agri-Food Canada. Potato Market Information Review, 2015–2016. 2017. Available online: http://www.agr.gc.ca/eng/industry-markets-and-trade/canadian-agri-food-sector-intelligence/horticulture/horticulture-sector-reports/potato-market-information-review-2015-2016/?id=1500402297688#a3.1 (accessed on 4 January 2020).
- CIP. International Potato Research. Annual Report. 2014. Available online: https://nkxms1019hx1xmtstxk3k9sko-wpengine.netdna-ssl.com/annualreport/wp-content/uploads/sites/2/2015/08/JR_Annual-Report-2014-AUG06.pdf (accessed on 4 January 2020).
- Errebhi, M.; Rosen, C.J.; Gupta, S.C.; Birong, D.E. Potato yield response and nitrate leaching as influenced by nitrogen management. Agron. J. 1998, 90, 10–15. [Google Scholar] [CrossRef]
- Lauer, D.A. Russet Burbank yield response to sprinkler-applied nitrogen fertilizer. Am. Potato J. 1986, 63, 61–69. [Google Scholar] [CrossRef]
- Ojala, J.C.; Stark, J.C.; Kleinkopf, G.E. Influence of irrigation and nitrogen management of potato yield and quality. Am. Potato J. 1990, 67, 29–43. [Google Scholar] [CrossRef]
- Zotarelli, L.; Rens, L.R.; Cantliffe, D.J.; Stoffella, P.J.; Gergela, D.; Fourman, D. Nitrogen fertilizer rate and application timing for chipping potato cultivar Atlantic. Agron. J. 2014, 106, 2215–2226. [Google Scholar] [CrossRef]
- Clément, C.C.; Cambouris, A.N.; Ziadi, N.; Zebarth, B.J.; Karam, A. Nitrogen source and rate effects on residual soil nitrate and overwinter NO3-N losses for irrigated potatoes on sandy soils. Can. J. Soil Sci. 2019, 100, 44–57. [Google Scholar] [CrossRef]
- Clément, C.C.; Cambouris, A.N.; Ziadi, N.; Zebarth, B.J.; Karam, A. Growing season nitrate leaching as affected by nitrogen management in irrigated potato production. Agron. J. 2020, 112, 3773–3787. [Google Scholar] [CrossRef]
- Porter, G.A.; Sisson, J.A. Response of Russet Burbank and Shepody potatoes to nitrogen fertilizer in two cropping systems. Am. Potato J. 1991, 68, 425–443. [Google Scholar] [CrossRef]
- Westermann, D.T.; Tindall, T.A.; James, D.W.; Hurst, R.L. Nitrogen and potassium fertilization of potatoes: Yield and specific gravity. Am. Potato J. 1994, 71, 417–431. [Google Scholar] [CrossRef]
- Gardener, B.R.; Jones, J.P. Petiole analysis and nitrogen fertilization of Russet Burbank potatoes. Am. Potato J. 1975, 52, 195–200. [Google Scholar] [CrossRef]
- Laurence, R.C.N.; Armour, J.D.; Shepherd, R.K.; Loader, L.R.; Dwyer, M.J. Nitrogen fertiliser of irrigated potatoes on the Atherton Tableland, North Queensland. Aust. J. Exp. Agric. 1985, 25, 954–958. [Google Scholar] [CrossRef]
- Belanger, G.; Walsh, J.R.; Richards, J.E.; Milburn, P.H.; Ziadi, N. Nitrogen fertilization and irrigation affects tuber characteristics of two potato cultivars. Am. J. Potatato Res. 2002, 79, 269–279. [Google Scholar] [CrossRef]
- Vitosh, M.L.; Noling, J.W.; Bird, G.W.; Chase, R.W. The joint action of nitrogen and nematicides on Pratylenchus penetrans and potato yield. Am. Potatato J. 1980, 57, 101–111. [Google Scholar] [CrossRef]
- Joern, B.C.; Vitosh, M.L. Influence of applied nitrogen on potato. Part I: Yield, quality and nitrogen uptake. Am. Potatato J. 1995, 72, 51–63. [Google Scholar] [CrossRef]
- Timm, H.; Bishop, J.C.; Schweers, V.H. Growth, yield, and quality of White Rose potatoes as affected by plant population and levels of nitrogen. Am. Potatato J. 1963, 40, 182–192. [Google Scholar] [CrossRef]
- Chamberland, E.; Scott, A. N-P-K experiments with potatoes in the lower St. Lawrence Region of Quebec. Am. Potatato J. 1968, 45, 93–102. [Google Scholar] [CrossRef]
- White, R.P.; Munro, D.C.; Sanderson, J.B. Nitrogen, potassium, and plant spacing effects on yield, tuber size, specific gravity, and tissue N, P, and K of netted Gem. Potatoes. Can. J. Plant Sci. 1974, 54, 535–539. [Google Scholar] [CrossRef]
- White, R.P.; Sanderson, J.B. Effect of planting date, nitrogen rate and plant spacing on potatoes grown for processing in Prince Edward Island. Am. Potatato J. 1983, 60, 115–126. [Google Scholar] [CrossRef]
- Gao, X.; Shaw, W.S.; Tenuta, M.; Gibson, D. Yield and nitrogen use of irrigated processing potato in response to placement, timing and source of nitrogen fertilizer in Manitoba. Am. J. Potatato Res. 2018, 95, 513–525. [Google Scholar] [CrossRef]
- Rens, L.R.; Zotarelli, L.; Cantliffe, D.J.; Stoffella, P.J.; Gergela, D.; Fourman, D. Biomass accumulation, marketable yield and quality of Atlantic potato in response to nitrogen. Agron. J. 2015, 107, 931–942. [Google Scholar] [CrossRef]
- MacLean, A.A. Sources of fertilizer nitrogen and phosphorus for potatoes in Atlantic Canada. Am. Potatato J. 1983, 60, 913–918. [Google Scholar] [CrossRef]
- Cambouris, A.N.; St.Luce, M.; Zebarth, B.J.; Ziadi, N.; Grant, C.A.; Perron, I. Potato response to nitrogen sources and rates in an irrigated sandy soil. Agron. J. 2016, 108, 391–401. [Google Scholar] [CrossRef]
- Bundy, L.G.; Wolkowski, R.P.; Weis, G.G. Nitrogen source evaluation for potato production on irrigated sandy soils. Am. Potatato J. 1986, 63, 385–397. [Google Scholar] [CrossRef]
- Burton, D.L.; Zebarth, B.J.; Gillam, K.M.; MacLeod, J.A. Effect of split application of fertilizer nitrogen and N2O emissions from potato. Can. J. Soil Sci. 2008, 88, 229–239. [Google Scholar] [CrossRef] [Green Version]
- Moulin, A.P.; Cohen, Y.; Alchanatis, V.; Tremblay, N.; Volkmar, K. Yield response of potatoes to variable nitrogen management by landform element and in relation to petiole nitrogen-a case study. Can. J. Plant Sci. 2012, 92, 771–781. [Google Scholar] [CrossRef] [Green Version]
- Zebarth, B.J.; Snowdon, E.; Burton, D.L.; Goyer, C.; Dowbenko, R. Controlled release fertilizer product effects on potato crop response and nitrous oxide emissions under rain-fed production on a medium-textured soil. Can. J. Soil Sci. 2012, 92, 759–789. [Google Scholar] [CrossRef]
- Cambouris, A.N.; Zebarth, B.J.; Nolin, M.C.; Laverdière, M.R. Response to added nitrogen of a continuous potato sequence as related to sand thickness over clay. Can. J. Plant Sci. 2007, 87, 829–839. [Google Scholar] [CrossRef]
- Zebarth, B.J.; Leclerc, Y.; Moreau, G. Rate and timing of nitrogen fertilizer of Russet Burbank potato: Nitrogen use efficiency. Can. J. Plant Sci. 2004, 84, 845–854. [Google Scholar] [CrossRef]
- Zebarth, B.J.; Leclerc, Y.; Moreau, G.; Botha, E. Rate and timing of nitrogen fertilization of Russet Burbank potato: Yield and processing quality. Can. J. Plant Sci. 2004, 84, 855–863. [Google Scholar] [CrossRef]
- Van Tassell, L.W.; Yang, B.; Blaylock, A.D. An economic analysis of alternative nitrogen fertilization methods for sugarbeets. J. Prod. Agric. 1996, 9, 390–394. [Google Scholar] [CrossRef]
- Baker, D.A.; Young, D.L.; Huggins, D.R.; Pan, W.L. Economically optimal nitrogen fertilization for yield and protein in hard red spring wheat. Agron. J. 2004, 96, 116–123. [Google Scholar] [CrossRef]
- Hendershot, W.H.; Lalande, H.; Duquette, M. Soil reaction and exchangeable acidity. In Soil Sampling and Methods of Analysis, 2nd ed.; Carter, M.R., Ed.; Taylor & Francis: Milton, UK, 2008; pp. 173–178. [Google Scholar]
- Chapman, H.D. Cation exchange capacity. In Method of Soil Analyses Part. 2. Chemical and Microbiological Properties; Black, C.A., Ed.; American Society of Agronomy: Madison, WI, USA, 1965. [Google Scholar]
- Hao, X.; Ball, B.C.; Culley, J.L.B.; Carter, M.R.; Parkin, G.W. Soil density and porosity. In Soil Sampling and Methods of Analysis, 2nd ed.; Carter, M.R., Gregorich, E.G., Eds.; CRC Press: Boca Raton, FL, USA, 2008. [Google Scholar]
- Mehlich, A. Mehlich 3 soil test extractant: A modification of Mehlich 2 extractant. Commun. Soil Sci. Plant Anal. 1984, 15, 1409–1416. [Google Scholar] [CrossRef]
- Government of Manitoba. Commercial Potato Production and Management—Pest Management. Province of Manitoba Agriculture—Potatoes. 2003. Available online: http://www.gov.mb.ca (accessed on 10 September 2020).
- Government of PEI. 2018 Potato Crop Pest Control Guide. Available online: http://www.princeedwardisland.ca (accessed on 10 September 2020).
- Kleinkopf, G.E.; Westermann, D.T.; Wille, M.J.; Kleinschmidt, G.C. Specific gravity of Russet Burbank potatoes. Am. Potatato J. 1987, 64, 579–587. [Google Scholar] [CrossRef]
- Manitoba Agriculture Farm Management. Guideline for Estimating Potato Production Costs 2018 in Manitoba. Available online: https://www.gov.mb.ca/agriculture/farm-management/production-economics/cost-of-production.html (accessed on 3 May 2020).
- Agriculture and Agri-Food Canada. Potato Market Information Review 2016–2017. 2018. Available online: http://www.agr.gc.ca/eng/industry-markets-and-trade/canadian-agri-food-sector-intelligence/horticulture/horticulture-sector-reports/potato-market-information-review-2016-2017/?id=1536104016530#a4.1 (accessed on 3 May 2019).
- Zentner, R.P.; Wall, D.D.; Nagy, C.N.; Smith, E.G.; Young, D.L.; Miller, P.R.; Miller, C.A.; McConkey, B.G.; Brandt, S.A.; Lafond, G.P.; et al. Economics of crop diversification and soil tillage opportunities in the Canadian prairies. Agron. J. 2002, 94, 216–230. [Google Scholar] [CrossRef]
- Khakbazan, M.; Mohr, R.M.; Derksen, D.A.; Monreal, M.A.; Grant, C.A.; Zentner, R.P.; Moulin, A.M.; McLaren, D.L.; Irvine, R.B.; Nagy, C.N. Effects of alternative management practices on the economics, energy and GHG emissions of a wheat-pea cropping system. Soil Tillage Res. 2009, 104, 30–38. [Google Scholar] [CrossRef]
- SAS Institute Inc. SAS/STAT® 13.2 User’s Guide; SAS Institute Inc.: Cary, NC, USA, 2014. [Google Scholar]
- B00E9langer, G.; Walsh, J.R.; Richards, J.E.; Milburn, P.H.; Ziadi, N. Predicting nitrogen fertilizer requirements of potatoes in Atlantic Canada with soil nitrate determinations. Can. J. Soil Sci. 2001, 81, 535–544. [Google Scholar] [CrossRef]
- Bachmaier, M.; Gandorfer, M. Estimating uncertainty of economically optimum N fertilizer rates. Int. J. Agron. 2012. Available online: https://downloads.hindawi.com/journals/ija/2012/580294.pdf (accessed on 1 May 2021).
- Nyiraneza, J.; Bizimungu, B.; Messiga, A.J.; Fuller, K.D.; Fillmore, S.A.E.; Jiang, Y. Potato yield and phosphorus use efficiency of two new potato cultivars in New Brunswick, Canada. Can. J. Plant Sci. 2017, 97, 784–795. [Google Scholar] [CrossRef] [Green Version]
- Zebarth, B.J.; Tarn, T.R.; de Jong, H.; Murphy, A. Nitrogen use efficiency characteristics of Andigena and diploid potato selections. Am. J. Potato Res. 2008, 85, 210–218. [Google Scholar] [CrossRef]
- Snowdon, E.; Zebarth, B.J.; Burton, D.L.; Goyer, C.; Rochette, P. Growing season N2O emissions from two-year potato rotations in a humid environment in New Brunswick, Canada. Can. J. Soil Sci. 2013, 93, 279–294. [Google Scholar] [CrossRef] [Green Version]
- Benjannet, R.; Khiari, L.; Nyiraneza, J.; Thompson, B.; He, J.; Geng, X.; Stiles, K.; Jiang, Y.; Fillmore, S. Identifying environmental phosphorus risk classes at the scale of Prince Edward Island, Canada. Can. J. Soil Sci. 2018, 98, 317–329. [Google Scholar] [CrossRef]
- Government of Manitoba. Manitoba Soil Fertility Guide. 2007. Available online: http://www.gov.mb.ca/agriculture/crops/soil-fertility/soil-fertility-guide/pubs/soil_fertility_guide.pdf (accessed on 5 April 2020).
- Prince Edward Island Department of Agriculture and Fisheries. Nutrient Recommendations Table. 2017. Available online: https://www.princeedwardisland.ca/sites/default/files/publications/af_nutrient_recommendation_tables_.pdf (accessed on 5 April 2020).
- CRAAQ. Centre de Référence en Agriculture et Agroalimentaire du Québec. Fertilization Reference Guide; CRAAQ: Ste-Foy, QC, Canada, 2010. (In French) [Google Scholar]
- Vitosh, M.L.; Campbell, D.B.; Hyde, D.A.; Darling, B.P. Nitrogen management studies on potatoes: Sandyland farms. Mich. Potato Res. Rep. 1989, 21, 81–85. [Google Scholar]
- Vitosh, M.L.; Campbell, D.B.; Hyde, D.A.; Darling, B.P. Nitrogen management studies on potatoes: Anderson Bros. Mich. Potato Res. Rep. 1989, 21, 86–90. [Google Scholar]
- Cerrato, M.E.; Blackmer, A.M. Comparison of models for describing corn yield response to nitrogen fertilizer. Agron. J. 1990, 82, 138–143. [Google Scholar] [CrossRef] [Green Version]
- Bullock, D.G.; Bullock, D.S. Quadratic and quadratic-plus-plateau models for predicting optimal nitrogen rate of corn: A comparison. Agron. J. 1994, 86, 191–195. [Google Scholar] [CrossRef]
- Cruz-Medina, R.; Moreno-Ramos, O.H.; Chapman, P.L. Wheat yield response models to nitrogen and phosphorus fertilizer for rotation experiments in the northwest of Mexico. Cereal Res. Commun. 1996, 24, 239–245. [Google Scholar]
- Duzy, L.M.; Balkcom, K.S.; Auburn, A.L. Estimating the economic optimal rate of nitrogen fertilizer: A battle of functional form. In Proceedings of the Beltwide Cotton Conferences, Orlando, FL, USA, 3–6 January 2012. [Google Scholar]
- Yang, N. Modelling crop response to nitrogen. Ph.D. Thesis, Iowa State University, Ames, IA, USA, 1999. Available online: https://lib.dr.iastate.edu/cgi/viewcontent.cgi?article=13496&context=rtd (accessed on 22 January 2021).
- Vos, J. Nitrogen response and nitrogen management in potato. Potato Res. 2009, 52, 305–317. [Google Scholar] [CrossRef]
- Mesbah, M.; Pattey, E.; Jégo, G. A model-based methodology to derive optimum nitrogen rates for rainfed crops–a case study for corn using STICS in Canada. Comput. Electron. Agric. 2017, 142, 572–584. [Google Scholar] [CrossRef]




| MB-1 | MB-2 | QC-1 | QC-2 | PEI | |
|---|---|---|---|---|---|
| Soil type | |||||
| Canadian system † | Orthic Black Chernozem | Ferro-Humic Podzol | Dystric Brunisol | Ferro-Humic Podzol | |
| American system ‡ | Udic Boroll subgroups | Humic Cryorthods/ Humic Haplorthods | Dytrochrepts/ Eurochrepts | Humic Cryorthods/ Humic Haplorthods | |
2013 ![]() | |||||
| Coordinates | 49°54′ 12″ N; 99°21′22″ W | 49°55′54″ N; 99°23′37″ W | 46°49′31″ N; 71°39′22″ W | 46°49′32″ N; 71°03′59″ W | 46°20′24″ N; 63°10′30″ W |
| Previous crop | Canola | Barley | Oat | Corn | Barley |
| Cultivar (every year) | Russet Burbank | Russet Burbank | Russet Burbank | Russet Burbank | Russet Burbank |
| Irrigation (every year) | Yes | Yes | No | No | No |
| Seeding time | 15 May | 16 May | 15 May | 28 May | 24 May |
| Sidedressed N | 24 June | 27 June | 26 June | 8 July | N/A |
| Harvest | 16 September | 18 September | 30 September | 1 October | 9 October |
| Growing season length (DAP) | 124 | 125 | 138 | 126 | 138 |
| N source (every year) | Urea | Urea | AS + CAN | AS + CAN | Ammonium nitrate |
| Application mode (every year) | Broadcast | Broadcast | Banded | Banded | Banded |
2014 ![]() | |||||
| Coordinates | 49°54′17″ N; 99°21′09″ W | 49°55′55″ N; 99°23′17″ W | 46°50′49″ N; 71°38′49″ W | 46°49′59″ N; 70°56′49″ W | 46°21′07″ N; 63°09′14″ W |
| Previous crop | Canola | Wheat | Oat | Corn | Soybean |
| Seeding time | 16 May | 15 May | 21 May | 29 May | 21 May |
| Sidedressed N | 25 June | 24 June | 8 July | 8 July | N/A |
| Harvest | 19 September | 22 September | 25 September | 6 October | 6 October |
| Growing season length (DAP) | 126 | 130 | 127 | 130 | 138 |
2015 ![]() | |||||
| Coordinates | 49°54′16″ N; 99°21′18″ W | 49°55′55″ N; 99°23′25″ W | 46°49′52″ N; 71°39′14″ W | 46°49′33″ N; 71°04′03″ W | 46°20′56″ N; 63°09′46″ W |
| Previous crop | Canola | Canola | Corn | Canola | Soybean |
| Seeding time | 4 May | 5 May | 20 May | 25 May | 8 June |
| Sidedressed N | 16 June | 17 June | 30 June | 3 July | N/A |
| Harvest | 22 September | 24 September | 2 October | 6 October | 21 October |
| Growing season length (DAP) | 141 | 142 | 135 | 134 | 135 |
| Parameters | MB-1 | MB-2 | QC-1 | QC-2 | PEI |
|---|---|---|---|---|---|
| 2013 | |||||
| Sand (g kg−1) | 343 | 781 | 789 | 486 | 461 |
| Silt (g kg−1) | 469 | 102 | 146 | 336 | 436 |
| Clay (g kg−1) | 168 | 117 | 65 | 178 | 103 |
| Total C (g kg−1) | 27.0 | 11.2 | 27.1 | 25.0 | 18.1 |
| Total N (g kg−1) | 2.7 | 1.4 | 2.3 | 2.8 | 1.9 |
| pH water | 5.9 | 5.2 | 4.9 | 5.9 | 5.7 |
| CEC (meq 100 g−1) | 32.4 | 18.1 | 23.3 | 26.1 | 14.9 |
| Bulk density (g cm−3) | 1.27 | 1.47 | 1.16 | 1.16 | 1.59 |
| Mehlich-III K (kg ha−1) | 189 | 307 | 423 | 340 | 536 |
| Mehlich-III P (kg ha−1) | 481 | 560 | 241 | 274 | 817 |
| Mehlich-III Ca (kg ha−1) | 804 | 1352 | 2398 | 4273 | 3113 |
| Mehlich-III Mg (kg ha−1) | 39 | 70 | 376 | 497 | 246 |
| Mehlich-III Al (ppm) | 2062 | 1988 | 757 | 1226 | 1482 |
| 2014 | |||||
| Sand (g kg−1) | 242 | 808 | 778 | 445 | 460 |
| Silt (g kg−1) | 493 | 96 | 146 | 348 | 420 |
| Clay (g kg−1) | 264 | 96 | 76 | 207 | 119 |
| Total C (g kg−1) | 24.9 | 11.3 | 25.9 | 23.1 | 19.4 |
| Total N (g kg−1) | 2.2 | 1.1 | 1.9 | 2.4 | 1.5 |
| pH water | 6.1 | 5.4 | 5.5 | 4.0 | 6.2 |
| CEC (meq 100 g−1) | 35.8 | 18.9 | 22.7 | 20.7 | 14.3 |
| Bulk density (g cm−3) | 1.23 | 1.56 | 1.37 | 1.25 | 1.14 |
| Mehlich-III K (kg ha−1) | 326 | 575 | 230 | 208 | 327 |
| Mehlich-III P (kg ha−1) | 69 | 346 | 635 | 307 | 348 |
| Mehlich-III Ca (kg ha−1) | 8746 | 1950 | 1859 | 1583 | 3613 |
| Mehlich-III Mg (kg ha−1) | 1301 | 356 | 59 | 353 | 250 |
| Mehlich-III Al (ppm) | 887 | 646 | 2077 | 1423 | 2257 |
| 2015 | |||||
| Sand (g kg−1) | 351 | 762 | 801 | 467 | 572 |
| Silt (g kg−1) | 408 | 147 | 143 | 343 | 326 |
| Clay (g kg−1) | 241 | 91 | 56 | 19 | 102 |
| Total C (g kg−1) | 29.3 | 15.4 | 25.6 | 23.5 | 19.1 |
| Total N (g kg−1) | 2.6 | 1.4 | 2.0 | 2.5 | 1.6 |
| pH water | 5.9 | 5.4 | 4.7 | 5.5 | 5.7 |
| CEC (meq 100 g−1) | 33.9 | 22.0 | 13.8 | 19.2 | 20.3 |
| Bulk density (g cm−3) | 1.39 | 1.19 | 1.17 | 0.99 | 1.30 |
| Mehlich-III K (kg ha−1) | 727 | 537 | 178 | 425 | 290 |
| Mehlich-III P (kg ha−1) | 84 | 200 | 304 | 309 | 226 |
| Mehlich-III Ca (kg ha−1) | 10,327 | 4096 | 471 | 3053 | 1505 |
| Mehlich-III Mg (kg ha−1) | 193 | 63 | 38 | 30 | 37 |
| Mehlich-III Al (ppm) | 737 | 635 | 1739 | 1122 | 1361 |
| MB-1 | MB-2 | QC-1 | QC-2 | PEI | |
|---|---|---|---|---|---|
| 2013 | |||||
| Precipitation (mm) | 357 | 358 | 641 | 467 | 329 |
| Irrigation (mm) | 123 | 164 | N/A | N/A | N/A |
| Total amount of water input (mm) | 480 | 521 | 641 | 467 | 329 |
| Temperature (°C) | 16.8 | 16.8 | 15.6 | 16.6 | 16.5 |
| 2014 | |||||
| Precipitation (mm) | 319 | 325 | 503 | 464 | 354 |
| Irrigation (mm) | 165 | 266 | N/A | N/A | N/A |
| Total amount of water input (mm) | 485 | 591 | 503 | 464 | 354 |
| Temperature (°C) | 16.0 | 15.8 | 16.5 | 17.5 | 16.1 |
| 2015 | |||||
| Precipitation (mm) | 353 | 353 | 499 | 482 | 399 |
| Irrigation (mm) | 165 | 412 | N/A | N/A | N/A |
| Total amount of water input (mm) | 518 | 765 | 499 | 482 | 399 |
| Temperature (°C) | 16.0 | 16.0 | 17.0 | 17.3 | 16.3 |
| Normal (30-yr normal from 1981–2010) | |||||
| Precipitation (mm) | 309 | 309 | 649 | 582 | 461 |
| Temperature (°C) | 14.8 | 14.8 | 14.9 | 15.7 | 15.0 |
| Province | Fertilizer Product | Product Price | Province | Potato Price † |
|---|---|---|---|---|
| CAD tonne−1 | CAD kg−1 | |||
| Manitoba | Urea (46%N) ‡ | 570 | Manitoba | 0.269 |
| Quebec | Ammonium Sulfate, (21%N, 24%S) § | 475 | Quebec | 0.339 |
| Quebec | Calcium Ammonium Nitrate (27%N, 8% Ca) § | 526 | ||
| PEI | Ammonium Nitrate (34%N) § | 563 | PEI | 0.259 |
| Potato Price | Fertilizer Product Price | NR Scenario § | |||||||
|---|---|---|---|---|---|---|---|---|---|
| Scenario † | Manitoba | Quebec | PEI | Scenario ‡ | Urea, 46-0-0 | Ammonium Sulfate, 21-0-0-24 | Calcium Ammonium Nitrate, 27-0-0 | Ammonium Nitrate, 34-0-0 | |
| CAD kg−1 | CAD kg−1 | ||||||||
| 1 | 0.269 | 0.339 | 0.259 | 1 | 0.440 | 0.455 | 0.458 | 0.466 | net11 |
| 1 | 0.269 | 0.339 | 0.259 | 2 | 0.570 | 0.475 | 0.526 | 0.563 | net12 |
| 1 | 0.269 | 0.339 | 0.259 | 3 | 0.570 | 0.582 | 0.540 | 0.563 | net13 |
| 2 | 0.269 | 0.304 | 0.258 | 1 | 0.440 | 0.455 | 0.458 | 0.466 | net21 |
| 2 | 0.269 | 0.304 | 0.258 | 2 | 0.570 | 0.475 | 0.526 | 0.563 | net22 |
| 2 | 0.269 | 0.304 | 0.258 | 3 | 0.570 | 0.582 | 0.540 | 0.563 | net23 |
| 3 | 0.277 | 0.277 | 0.277 | 1 | 0.440 | 0.455 | 0.458 | 0.466 | net31 |
| 3 | 0.277 | 0.277 | 0.277 | 2 | 0.570 | 0.475 | 0.526 | 0.563 | net32 |
| 3 | 0.277 | 0.277 | 0.277 | 3 | 0.570 | 0.582 | 0.540 | 0.563 | net33 |
| Year As a Fixed Factor | Year As a Random Factor | |||||||||
|---|---|---|---|---|---|---|---|---|---|---|
| Marketable Yield | ||||||||||
| Sources of Variation | MB-1 | MB-2 | QC-1 | QC-2 | PEI | MB-1 | MB-2 | QC-1 | QC-2 | PEI |
| Year | *** | * | *** | *** | *** | N/A | N/A | N/A | N/A | N/A |
| N rate | NS | *** | *** | *** | *** | NS | *** | *** | *** | *** |
| Year × N rate | NS | *** | * | *** | * | N/A | N/A | N/A | N/A | N/A |
| NR | ||||||||||
| Year | *** | * | *** | *** | *** | N/A | N/A | N/A | N/A | N/A |
| N rate | NS | *** | *** | *** | *** | NS | *** | *** | *** | *** |
| Year × N rate | NS | *** | * | *** | * | N/A | N/A | N/A | N/A | N/A |
| Specific gravity | ||||||||||
| Year | * | * | NS | NS | ** | N/A | N/A | N/A | N/A | N/A |
| N rate | *** | * | NS | ** | NS | *** | * | NS | NS | NS |
| Year × N rate | NS | NS | NS | NS | * | N/A | N/A | N/A | N/A | N/A |
| Sources of Variation | Marketable Yields (Mg ha−1) | ||||||||||||
|---|---|---|---|---|---|---|---|---|---|---|---|---|---|
| MB-1 | MB-2 | QC-1 | QC-2 | PEI | |||||||||
| Year | |||||||||||||
| 2013 | 45.9 a | 37.2 | 18.9 | 28.8 | 39.5 | ||||||||
| 2014 | 23.4 b | 34.7 | 32.1 | 10.9 | 32.6 | ||||||||
| 2015 | 42.2 a | 41.6 | 23.9 | 40.7 | 51.7 | ||||||||
| N rate (kg N ha−1) | 2013 | 2014 | 2015 | 2013 | 2014 | 2015 | 2013 | 2014 | 2015 | 2013 | 2014 | 2015 | |
| 0 | 35.6 a | 31.2 a | 23.2 b | 36.5 d | 8.4 d | 15.5 d | 8.5 c | 18.8 b | 7.1 b | 26.4 c | 33.1 c | 24.3 b | 44.0 c |
| 60 | 40.2 a | 39.1 a | 26.1 b | 40.4 c | 14.5 c | 29.9 c | 23.5 b | 30.3 a | 12.7 a | 39.7 b | 45.9 a | 33.9 a | 49.5 bc |
| 120 | 36.2 a | 37.03 a | 41.1 a | 44.1 b | 22.9 b | 40.8 a | 27.7 ab | 32.3 a | 12.6 a | 40.9 ab | 37.2 b | 36.9 a | 53.5 ab |
| 180 | 37.7 a | 40.4 a | 41.1 a | 44.8 a | 25.2 a | 36.1 ab | 27.9 a | 33.3 a | 11.4 a | 47.6 a | 39.8 b | 34.5 a | 58.7 a |
| 240 | 36.10 a | 38.6 a | 41.6 a | 42.3 ab | 23.3 ab | 38.1 ab | 31.9 a | 29.6 a | 10.7 a | 49.1 a | 41.5 ab | 33.5 a | 53.1 ab |
| R2 | MBE | RMSE | Nmax | Ymax | Regression Equation | Significance | |
|---|---|---|---|---|---|---|---|
| Quadratic | |||||||
| MB-1 | NA | NA | NA | NA | NA | NA | NA |
| MB-2 | 0.38 | 0.00 | 5.59 | 191.9 | 41.9 | 29.9 + 0.1248x − 0.00033x2 | *** |
| QC-1 | 0.55 | 0.00 | 6.88 | 187.8 | 31.9 | 11.2 + 0.2201x − 0.00059x2 | *** |
| QC-2 | 0.11 | 0.00 | 13.12 | 175.9 | 31.1 | 18.2 + 0.1465x − 0.00042x2 | * |
| PE | 0.13 | 0.00 | 9.27 | 161.4 | 44.7 | 34.7 + 0.1241x − 0.00038x2 | * |
| Quadratic plateau | |||||||
| MB-1 | NA | NA | NA | NA | NA | NA | NA |
| MB-2 | 0.38 | 0.00 | 5.59 | 191.9 | 26.8 | 29.9 + 0.1248x − 0.00033x2 | *** |
| QC-1 | 0.55 | 0.00 | 6.80 | 114.8 | 30.4 | 10.8 + 0.2266x − 0.00049x2 | *** |
| QC-2 | 0.11 | 0.00 | 13.09 | 73.6 | 29.7 | 17.4 + 0.1761x − 0.00013x2 | * |
| PE | 0.13 | 0.00 | 9.19 | 60.7 | 43.2 | 33.8 + 0.1586x − 0.00006x2 | * |
| Linear plateau | |||||||
| MB-1 | NA | NA | NA | NA | NA | NA | NA |
| MB-2 | 0.31 | 0.00 | 5.58 | 129.8 | 41.5 | 30.2 + 0.08694x | *** |
| QC1 | 0.43 | 0.00 | 6.80 | 99.3 | 30.4 | 10.8 + 0.19751x | *** |
| QC2 | 0.08 | 0.00 | 13.09 | 72.9 | 29.7 | 17.4 + 0.1684x | * |
| PE | 0.07 | 0.00 | 9.19 | 60.6 | 43.2 | 33.8 + 0.15479x | * |
| Mitscherlich–Baule | |||||||
| MB-1 | NA | NA | NA | NA | NA | NA | NA |
| MB-2 | 0.37 | 0.00 | 5.65 | NA | 42.7 | 42.7(1 − e(−0.0118(x + 103))) | *** |
| QC-1 | 0.55 | 0.00 | 6.86 | NA | 31.7 | 31.7(1 − e(−0.016(x + 25.6))) | *** |
| QC-2 | 0.12 | 0.00 | 13.08 | NA | 30.0 | 30.1(1 − e(−0.0252(x + 34.5))) | *** |
| PE | 0.14 | 0.00 | 9.19 | NA | 43.2 | 43.2(1 − e(−0.0721(x + 21.2))) | *** |
| Mitscherlich–Baule plateau | |||||||
| MB-1 | NA | NA | NA | NA | NA | NA | NA |
| MB-2 | 0.39 | 0.00 | 5.58 | 130.9 | 41.5 | 153.3(1 − e(−0.0007(x + 297.4))) | *** |
| QC-1 | 0.56 | 0.00 | 6.80 | 118.5 | 30.4 | 46.7(1 − e(−0.0067(x + 39.4))) | *** |
| QC-2 | 0.12 | 0.00 | 13.09 | 76.8 | 29.7 | 47.6(1 − e(−0.0068(x + 67.2))) | *** |
| PE | 0.14 | 0.00 | 9.19 | 60.9 | 43.2 | 54.6(1 − e(−0.0099(x + 97.9))) | *** |
| R2 | MBE | RMSE | Nmax | NRmax | Regression equation | Significance | |
|---|---|---|---|---|---|---|---|
| Quadratic | |||||||
| MB-1 | NA | NA | NA | NA | NA | NA | NA |
| MB-2 | 0.33 | 0.00 | 1340.88 | 183.2 | 2393 | −196.8 + 28.2708x − 0.07714x2 | *** |
| QC-1 | 0.52 | 0.00 | 2129.62 | 182.0 | 2538 | −3461.6 + 65.9226x − 0.1811x2 | *** |
| QC-2 | 0.09 | 0.00 | 4059.00 | 167.8 | 2333 | −1288.2 + 43.168x − 0.12866x2 | NS |
| PE | 0.10 | 0.00 | 2127.04 | 151.9 | 3066 | 1027.6 + 26.827x − 0.08825x2 | * |
| Quadratic plateau | |||||||
| MB-1 | NA | NA | NA | NA | NA | NA | NA |
| MB-2 | 0.33 | 0.00 | 1340.88 | 183.2 | 1922 | −196.8 + 28.2708x − 0.07714x2 | *** |
| QC-1 | 0.52 | 0.00 | 2101.25 | 113.9 | 2102 | −3592 + 69.9586x − 0.17532x2 | *** |
| QC-2 | 0.09 | 0.00 | 4046.71 | 68.2 | 1875 | −1543.8 + 52.8813x − 0.04078x2 | NS |
| PE | 0.10 | −0.61 | 2110.87 | 87.3 | 2684 | 874.8 + 48.2528x − 0.2765x2 | NS |
| Linear plateau | |||||||
| MB-1 | NA | NA | NA | NA | NA | NA | NA |
| MB-2 | 0.25 | 0.00 | 1339.85 | 124.5 | 2275 | −122.7 + 19.25428x | *** |
| QC-1 | 0.39 | 0.00 | 2101.25 | 95.8 | 2102 | −3592 + 59.43941x | *** |
| QC-2 | 0.06 | 0.00 | 4046.71 | 67.8 | 1875 | −1543.8 + 50.43472x | NS |
| PE | 0.05 | 0.00 | 2111.54 | 55.0 | 2721 | 820.2 + 34.52692x | ** |
| Mitscherlich–Baule | |||||||
| MB-1 | NA | NA | NA | NA | NA | NA | NA |
| MB-2 | 0.32 | 0.00 | 1355.95 | NA | 2483 | 2482.5(1 − e(−0.0131(x ± 4.9))) | *** |
| QC-1 | 0.52 | 0.00 | 2121.57 | NA | 2371 | 2371(1 − e(−0.0176(x ± 52.8))) | *** |
| QC-2 | 0.10 | 0.00 | 4046.22 | NA | 1913 | 1913.1(1 − e(−0.0332(x ±17.8))) | * |
| PE | 0.11 | 0.00 | 2111.54 | NA | 2721 | 2720.6(1 − e(−0.2736(x + 1.3))) | *** |
| Mitscherlich–Baule plateau | |||||||
| MB-1 | NA | NA | NA | NA | NA | NA | NA |
| MB-2 | 0.33 | −0.08 | 1339.89 | 124.6 | 2274 | 126137.6(1 − e(−0.0002(x ± 6.4))) | *** |
| QC-1 | 0.53 | 0.00 | 2101.25 | 117.1 | 2102 | 5786.8(1 − e(−0.008(x ± 60.6))) | *** |
| QC-2 | 0.10 | 0.00 | 4046.71 | 71.5 | 1875 | 4907.2(1 − e(−0.0106(x ± 25.9))) | * |
| PE | 0.11 | 0.00 | 2111.54 | 59.5 | 2721 | 4630.9(1 − e(−0.0116(x + 16.8))) | *** |
Publisher’s Note: MDPI stays neutral with regard to jurisdictional claims in published maps and institutional affiliations. |
© 2021 by Her Majesty the Queen in right of Canada as Represented by the Minister of Agriculture and Agri-Food Canada; Licensee MDPI, Basel, Switzerland. This article is an open access article distributed under the terms and conditions of the Creative Commons Attribution (CC BY) license (https://creativecommons.org/licenses/by/4.0/).
Share and Cite
Nyiraneza, J.; Cambouris, A.N.; Nelson, A.; Khakbazan, M.; Mesbah, M.; Perron, I.; Ziadi, N.; Lafond, J. Potato Yield, Net Revenue and Specific Gravity Responses to Nitrogen Fertilizer under Different Canadian Agroecozones. Agronomy 2021, 11, 1392. https://doi.org/10.3390/agronomy11071392
Nyiraneza J, Cambouris AN, Nelson A, Khakbazan M, Mesbah M, Perron I, Ziadi N, Lafond J. Potato Yield, Net Revenue and Specific Gravity Responses to Nitrogen Fertilizer under Different Canadian Agroecozones. Agronomy. 2021; 11(7):1392. https://doi.org/10.3390/agronomy11071392
Chicago/Turabian StyleNyiraneza, Judith, Athyna N. Cambouris, Alison Nelson, Mohammad Khakbazan, Morteza Mesbah, Isabelle Perron, Noura Ziadi, and Jean Lafond. 2021. "Potato Yield, Net Revenue and Specific Gravity Responses to Nitrogen Fertilizer under Different Canadian Agroecozones" Agronomy 11, no. 7: 1392. https://doi.org/10.3390/agronomy11071392
APA StyleNyiraneza, J., Cambouris, A. N., Nelson, A., Khakbazan, M., Mesbah, M., Perron, I., Ziadi, N., & Lafond, J. (2021). Potato Yield, Net Revenue and Specific Gravity Responses to Nitrogen Fertilizer under Different Canadian Agroecozones. Agronomy, 11(7), 1392. https://doi.org/10.3390/agronomy11071392

