Durum Wheat Yield and N Uptake as Affected by N Source, Timing, and Rate in Two Mediterranean Environments †
Abstract
:1. Introduction
2. Materials and Methods
3. Results
3.1. Weather Conditions
3.2. Grain Yield
3.2.1. Year Effect
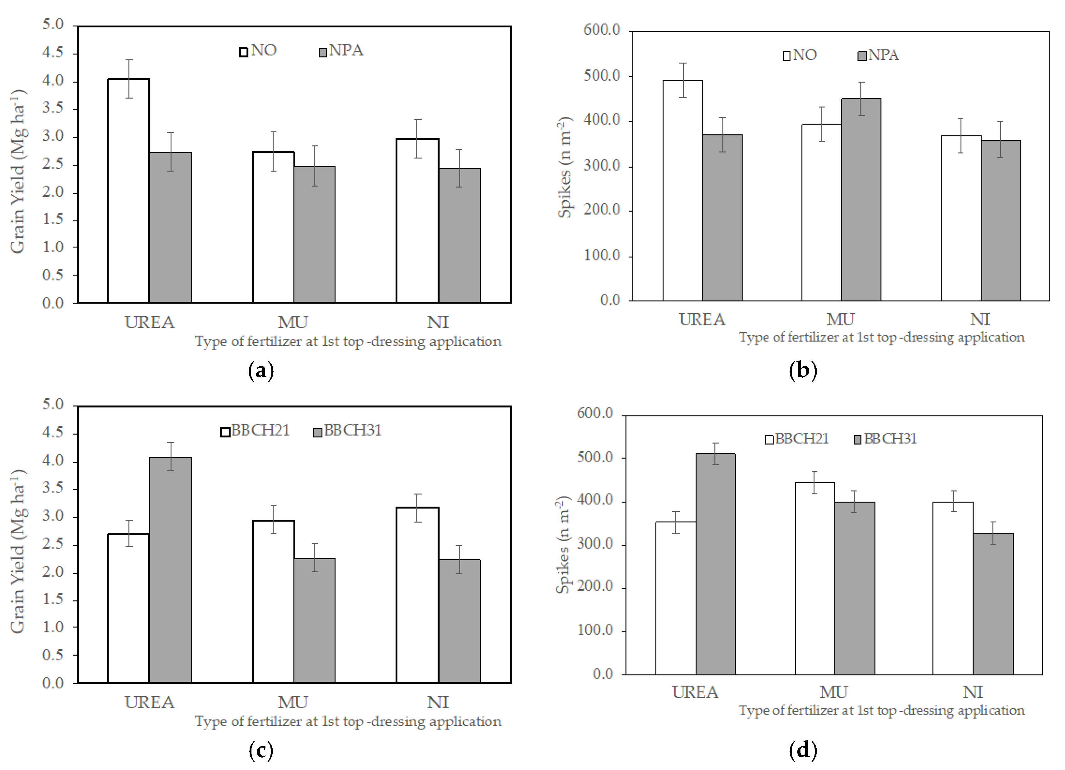
3.2.2. N Source, Rate and Timing Effects
3.3. Nitrogen Harvest Index and Nitrogen uptake
4. Discussion
Author Contributions
Funding
Institutional Review Board Statement
Informed Consent Statement
Data Availability Statement
Conflicts of Interest
Abbreviations
References
- Sylvester-Bradley, R.; Kindred, D.R. Analysing nitrogen responses of cereals to prioritize routes to the improvement of nitrogen use efficiency. J. Exp. Bot. 2009, 60, 1939–1951. [Google Scholar] [CrossRef] [PubMed] [Green Version]
- Musacchio, A.; Re, V.; Mas-Pla, J.; Sacchi, E. EU Nitrates Directive, from theory to practice: Environmental effectiveness and influence of regional governance on its performance. Ambio 2020, 49, 504–516. [Google Scholar] [CrossRef] [PubMed] [Green Version]
- Pampana, S.; Masoni, A.; Ercoli, L.; Mariotti, M.; Arduini, I. Effects of nitrogen splitting and source on durum wheat. Cereal Res. Commun. 2013, 41, 338–347. [Google Scholar] [CrossRef]
- Pampana, S.; Mariotti, M.; Ercoli, L.; Masoni, A. Remobilization of dry matter, nitrogen and phosphorus in durum wheat as affected by genotype and environment. Ital. J. Agron. 2007, 3, 303–314. [Google Scholar] [CrossRef] [Green Version]
- Ercoli, L.; Masoni, A.; Pampana, S.; Mariotti, M.; Arduini, I. As durum wheat productivity is affected by nitrogen fertilization management in Central Italy. Eur. J. Agron. 2013, 44, 38–45. [Google Scholar] [CrossRef]
- Raun, W.; Johnson, G. Improving nitrogen use efficiency for cereal production. Agron. J. 1999, 91, 357–363. [Google Scholar] [CrossRef] [Green Version]
- Moll, R.; Kamprath, E.; Jackson, W. Analysis and interpretation of factors which contribute to efficiency of nitrogen utilization. Agron. J. 1982, 74, 562–564. [Google Scholar] [CrossRef]
- Barraclough, P.B.; Howarth, J.R.; Jones, J.; Lopez-Bellido, R.; Parmar, S.; Shepherd, C.E.; Hawkesford, M.J. Nitrogen efficiency of wheat: Genotypic and environmental variation and prospects for improvement. Eur. J. Agron. 2010, 33, 1–11. [Google Scholar] [CrossRef]
- Fageria, N.K.; Baligar, V.C. Enhancing nitrogen use efficiency in crop plants. Adv. Agron. 2005, 88, 97–185. [Google Scholar] [CrossRef]
- Folina, A.; Tataridas, A.; Mavroeidis, A.; Kousta, A.; Katsenios, N.; Efthimiadou, A.; Travlos, I.S.; Roussis, I.; Darawsheh, M.K.; Papastylianou, P.; et al. Evaluation of various nitrogen indices in N-Fertilizers with inhibitors in field crops: A review. Agronomy 2021, 11, 418. [Google Scholar] [CrossRef]
- Abedi, T.; Alemzadeh, A.; Kazemeini, S.A. Wheat yield and grain protein response to nitrogen amount and timing. Austral. J. Crop. Sci. 2011, 5, 330–336. [Google Scholar]
- Dimkpa, C.O.; Fugice, J.; Singh, U.; Lewis, T.D. Development of fertilizers for enhanced nitrogen use efficiency—Trends and perspectives. Sci. Total Environ. 2020, 731, 139113. [Google Scholar] [CrossRef]
- Zerulla, W.; Pasda, G.; Hähndel, R.; Wissemeier, A. The new nitrification inhibitor DMPP (ENTEC®) for use in agricultural and horticultural crops—An overview. Plant. Nutr. 2001, 92, 754–755. [Google Scholar] [CrossRef]
- Trenkel, M.E. Slow and Controlled Release and Stabilized Fertilizers: An Option for Enhancing Nutrient Use Efficiency in Agriculture, 2nd ed.; International Fertilizers Association: Paris, France, 2010; p. 163. [Google Scholar]
- Vilas, M.P.; Verburg, K.; Thorburn, P.J.; Probert, M.E.; Bonnett, G.D. A framework for analysing nitrification inhibition: A case study on 3,4-dimethylpyrazole phosphate (DMPP). Sci. Total Environ. 2019, 672, 846–854. [Google Scholar] [CrossRef] [PubMed]
- Giambalvo, D.; Ruisi, P.; Di Miceli, G.; Frenda, A.S.; Amato, G. Nitrogen use efficiency and nitrogen fertilizer recovery of durum wheat genotypes as affected by interspecific competition. Agron. J. 2010, 102, 707–715. [Google Scholar] [CrossRef] [Green Version]
- Lopez-Bellido, L.; Munoz-Romero, V.; Benítez-Vega, J.; Fernández-García, P.; Redondo, R.; López-Bellido, R.J. Wheat response to nitrogen splitting applied to a Vertisols in different tillage systems and cropping rotations under typical Mediterranean climatic conditions. Eur. J. Agron. 2012, 43, 24–32. [Google Scholar] [CrossRef]
- Meier, U. Growth stages of mono- and dicotyledonous plants. BBCH Monograph. 2001. [Google Scholar] [CrossRef]
- Steel, R.G.D.; Torrie, J.H.; Dicky, D.A. Principles and Procedures of Statistics, a Biometrical Approach, 3rd ed.; McGraw Hill, Inc. Book Co.: New York, NY, USA, 1997; pp. 352–358. [Google Scholar]
- Pampana, S.; Masoni, A.; Arduini, I. Grain yield of durum wheat as affected by waterlogging at tillering. Cereal Res. Commun. 2016, 44, 706–716. [Google Scholar] [CrossRef] [Green Version]
- Menéndez, S.; Barrena, I.; Setien, I.; González-Murua, C.; Estavillo, J.M. Efficiency of nitrification inhibitor DMPP to reduce nitrous oxide emissions under different temperature and moisture conditions. Soil Biol. Biochem. 2012, 53, 82–89. [Google Scholar] [CrossRef] [Green Version]
- He, T.; Liu, D.; Yuan, J.; Luo, J.; Lindsey, S.; Bolan, N.; Ding, W. Effects of application of inhibitors and biochar to fertilizer on gaseous nitrogen emissions from an intensively managed wheat field. Sci. Total Environ. 2018, 628, 121–130. [Google Scholar] [CrossRef]
- Abalos, D.; Jeffery, S.; Sanz-Cobena, A.; Guardia, G.; Vallejo, A. Meta-analysis of the effect of urease and nitrification inhibitors on crop productivity and nitrogen use efficiency. Agric. Ecosyst. Environ. 2014, 189, 136–144. [Google Scholar] [CrossRef]
- Shi, X.; Hu, H.W.; Müller, C.; He, J.Z.; Chen, D.; Suter, H.C. Effects of the nitrification inhibitor 3, 4-dimethylpyrazole phosphate on nitrification and nitrifiers in two contrasting agricultural soils. Appl. Environ. Microbiol. 2016, 82, 5236–5248. [Google Scholar] [CrossRef] [PubMed] [Green Version]
- Shaviv, A.; Mikkelsen, R. Controlled-release fertilizers to increase efficiency of nutrient use and minimize environmental degradation—A review. Fert. Res. 1993, 35, 1–12. [Google Scholar] [CrossRef]
- Sigurdarson, J.J.; Svane, S.; Karring, H. The molecular processes of urea hydrolysis in relation to ammonia emissions from agriculture. Rev. Environ. Sci. Biotechnol. 2018, 17, 241–258. [Google Scholar] [CrossRef] [Green Version]
- Fu, J.; Wang, C.; Chen, X.; Huang, Z.; Chen, D. Classification research and types of slow controlled release fertilizers (SRFs) used—A review. Commun. Soil Sci. Plant. Anal. 2018, 49, 2219–2230. [Google Scholar] [CrossRef]
- Desai, R.M.; Bhatia, C.R. Nitrogen uptake and nitrogen harvest index in durum wheat cultivars varying in their grain protein concentration. Euphytica 1978, 27, 561–566. [Google Scholar] [CrossRef]
- Ehdaie, B.; Waines, J.G. Sowing date and nitrogen rate effects on dry matter and nitrogen partitioning in bread and durum wheat. Field Crops Res. 2001, 73, 47–61. [Google Scholar] [CrossRef]
- Cassman, K.G.; Bryant, D.C.; Fulton, A.E.; Jackson, L.F. Nitrogen supply effects on partitioning of dry matter and nitrogen to grain of irrigated wheat. Crop. Sci. 1992, 32, 1251–1258. [Google Scholar] [CrossRef]
- Snyder, C.S. Enhanced nitrogen fertiliser technologies support the ‘4R’concept to optimise crop production and minimise environmental losses. Soil Res. 2017, 55, 463–472. [Google Scholar] [CrossRef]




| Stage | BCCH | Pisa First Season | Pisa Second Season | Arezzo First Season | Arezzo Second Season |
|---|---|---|---|---|---|
| Sowing | 00 | 25 November 2009 | 28 November 2010 | 25 November 2009 | 28 November 2010 |
| Tillering 1 | 21 | 10 February 2010 | 19 February 2011 | 6 March 2010 | 10 March 2011 |
| 1st node 1 | 31 | 25 March 2010 | 28 March 2011 | 8 April 2010 | 8 April 2011 |
| 2nd node 2 | 32 | 9 April 2010 | 13 April 2011 | 22 April 2010 | 26 April 2011 |
| Full Flowering | 65 | 2 May 2010 | 6 May 2011 | 12 May 2010 | 16 May 2011 |
| Maturity | 99 | 12 July 2010 | 16 July 2011 | 21 July 2010 | 23 July 2011 |
| VAP | Grain | H.I. | Spikes | Kernels | MKW | NHI | N Uptake | |
|---|---|---|---|---|---|---|---|---|
| Mg ha−1 | Mg ha−1 | % | n m−2 | n spike−1 | mg | % | kg ha−1 | |
| Pisa | ||||||||
| Y | * | * | ns | * | * | * | ns | * |
| S | * | * | ns | * | * | ns | ns | ns |
| T | * | ns | * | ns | ns | ns | ns | ns |
| R | * | * | ns | ns | * | * | * | * |
| Y × S | ns | ns | ns | ns | ns | ns | ns | ns |
| Y × R | ns | ns | ns | ns | ns | ns | ns | ns |
| Y × T | ns | ns | ns | ns | ns | ns | ns | ns |
| S × R | ns | * | ns | * | ns | ns | ns | * |
| S × T | * | * | ns | * | ns | ns | ns | ns |
| R × T | ns | ns | ns | ns | ns | ns | ns | ns |
| Y × S × R | ns | ns | ns | ns | ns | ns | ns | ns |
| Y × S × T | ns | ns | ns | ns | ns | ns | ns | ns |
| Y × R × T | ns | ns | ns | ns | ns | ns | ns | ns |
| S × R × T | ns | ns | ns | * | * | * | ns | ns |
| Y × S × R × T | ns | ns | ns | ns | ns | ns | ns | ns |
| Arezzo | ||||||||
| Y | * | * | ns | * | ns | * | ns | ns |
| S | ns | ns | ns | ns | ns | ns | ns | ns |
| T | ns | ns | ns | ns | ns | ns | ns | ns |
| R | * | * | ns | * | ns | * | ns | * |
| Y × S | ns | ns | ns | ns | ns | ns | ns | ns |
| Y × R | ns | ns | ns | ns | ns | ns | ns | ns |
| Y × T | ns | ns | ns | ns | ns | ns | ns | ns |
| S × R | ns | ns | ns | ns | ns | * | ns | * |
| S × T | ns | ns | ns | ns | ns | ns | ns | ns |
| R × T | ns | * | ns | ns | * | ns | ns | ns |
| Y × S × R | ns | ns | ns | ns | ns | ns | ns | ns |
| Y × S × T | ns | ns | ns | ns | ns | ns | ns | ns |
| Y × R × T | ns | ns | ns | ns | ns | ns | ns | ns |
| S × R × T | ns | ns | ns | ns | ns | ns | ns | ns |
| Y × S × R × T | ns | ns | ns | ns | ns | ns | ns | ns |
| Character | u.m. | Pisa | Arezzo | ||||||
|---|---|---|---|---|---|---|---|---|---|
| 2010 | 2011 | 2010 | 2011 | ||||||
| VAP | Mg ha−1 | 4.3 | a | 3.3 | b | 6.5 | a | 5.2 | b |
| Grain | Mg ha−1 | 3.5 | a | 2.5 | b | 5.2 | a | 4.1 | b |
| HI | % | 44.7 | a | 43.1 | b | 44.6 | a | 43.9 | b |
| Spikes | n m−2 | 405.6 | a | 194.3 | b | 461.8 | a | 338.0 | b |
| Kernels | n spike−1 | 24.1 | b | 38.1 | a | 29.2 | b | 33.8 | a |
| MKW | mg | 35.5 | a | 33.8 | b | 38.5 | a | 35.6 | b |
| NHI | % | 73.7 | ns | 72.1 | ns | 73.6 | ns | 72.8 | ns |
| N uptake | kg ha−1 | 83.5 | a | 70.8 | b | 124.8 | a | 114.2 | b |
Publisher’s Note: MDPI stays neutral with regard to jurisdictional claims in published maps and institutional affiliations. |
© 2021 by the authors. Licensee MDPI, Basel, Switzerland. This article is an open access article distributed under the terms and conditions of the Creative Commons Attribution (CC BY) license (https://creativecommons.org/licenses/by/4.0/).
Share and Cite
Pampana, S.; Mariotti, M. Durum Wheat Yield and N Uptake as Affected by N Source, Timing, and Rate in Two Mediterranean Environments. Agronomy 2021, 11, 1299. https://doi.org/10.3390/agronomy11071299
Pampana S, Mariotti M. Durum Wheat Yield and N Uptake as Affected by N Source, Timing, and Rate in Two Mediterranean Environments. Agronomy. 2021; 11(7):1299. https://doi.org/10.3390/agronomy11071299
Chicago/Turabian StylePampana, Silvia, and Marco Mariotti. 2021. "Durum Wheat Yield and N Uptake as Affected by N Source, Timing, and Rate in Two Mediterranean Environments" Agronomy 11, no. 7: 1299. https://doi.org/10.3390/agronomy11071299
APA StylePampana, S., & Mariotti, M. (2021). Durum Wheat Yield and N Uptake as Affected by N Source, Timing, and Rate in Two Mediterranean Environments. Agronomy, 11(7), 1299. https://doi.org/10.3390/agronomy11071299

