Next Article in Journal
Tackling the Context-Dependency of Microbial-Induced Resistance
Previous Article in Journal
High Nitrogen Fertilization Modulates Morpho-Physiological Responses, Yield, and Water Productivity of Lowland Rice under Deficit Irrigation
Previous Article in Special Issue
Screening for Cold Tolerance during Germination within Sweet and Fiber Sorghums [Sorghum bicolor (L.) Moench] for Energy Biomass
 
 
Font Type:
Arial Georgia Verdana
Font Size:
Aa Aa Aa
Line Spacing:
Column Width:
Background:
Article

Nitrogen Balance in a Sweet Sorghum Crop in a Mediterranean Environment

by
Danilo Scordia
1,
Salvatore Luciano Cosentino
1,2,
Mariadaniela Mantineo
1,
Giorgio Testa
1 and
Cristina Patanè
2,*
1
Dipartimento di Agricoltura, Alimentazione e Ambiente, Università degli Studi di Catania, Via Valdisavoia 5, 95123 Catania, Italy
2
CNR-Istituto per la BioEconomia (IBE), Sede Secondaria di Catania, Via P. Gaifami 18, 95126 Catania, Italy
*
Author to whom correspondence should be addressed.
Agronomy 2021, 11(7), 1292; https://doi.org/10.3390/agronomy11071292
Submission received: 14 May 2021 / Revised: 22 June 2021 / Accepted: 24 June 2021 / Published: 25 June 2021

Abstract

:
Sweet sorghum is a C4 plant with great biomass potential yield in semi-arid environments. Under growing conditions affected by water shortage and nutrient deficiency, the optimal combination of irrigation and nitrogen (N) fertilization rate is a central issue for sustainable farming systems. In this paper, a N balance study was applied to sweet sorghum cv. Keller, managed under three irrigation levels (I0, I50, I100: 0, 50, and 100% crop evapotranspiration—ETc restoration) and four N-fertilization rates (N0, N60, N120, N180: 0, 60, 120, and 180 kg ha−1). The 15N-labelled fertilization technique was used to assess the fate of N fertilizer within the agroecosystem. Dry biomass yield was significantly affected by the irrigation, while N rates had no effect. Across N and irrigation levels, the isotopic composition showed that approximately 34% of N applied by fertilization was used by the crop, 56% remained in the soil at the end of the cropping season, 1.83% was leached as nitrate, and 1.72% was volatilized as ammonia. N-fertilizer uptake was the lowest in I0, while in N0, the soil was strongly N-impoverished since sorghum showed a great aptitude to benefit from the soil N reserve. An even N input/output system (i.e., N-output corresponded to N-input) was observed in the N120 treatment, and the soil N reserve remained unchanged, while the system was N-enriched (positive input/output) in N180. However, although beneficial for crop nutrition and soil N reserve for subsequent crops in rotation, the N180 treatment is unsustainable due to many environmental side effects in the agroecosystem.

1. Introduction

It is well known that C4 plants have higher CO2 fixation capacity, associated with reduced photorespiration, particular leaf anatomy, and different biochemical pathways compared to C3 plants, resulting in more dry matter production per unit of water transpired [1]. Among C4 plants, sweet sorghum (Sorghum bicolor L. Moench) is a warm-season grass that has been largely studied in the last decades in southern Europe as biomass crop for bioenergy, biofuels, and cellulose pulp [2].
Previous studies highlighted the outstanding biomass yield of sweet sorghum in semi-arid Mediterranean areas; however, in areas of southern Europe subjected to summer drought and high evapotranspiration, the crop requires irrigation water [3]. Furthermore, semi-arid areas are typically characterized by nutrient deficiency; therefore, input amount, primarily water and nitrogen, is of utmost importance to enhance cropping system outcomes while reducing the environmental impact.
With the aim to sustainably introduce sweet sorghum into existing cropping systems in environments of southern Italy and similar semiarid areas, the optimal combination of irrigation and nitrogen (N) fertilization requires a great awareness whose positive influence on biomass yield is well proven. Farmers should match the N supply with the N crop requirement which changes considerably depending on soil water availability. When water is adequate, N-fertilizers promote crop growth and biomass accumulation; on the other hand, when growth is hampered by water shortage, considerable N-waste may occur [4]. The knowledge of N dynamics within the soil–plant system, to improve the use efficiency of this element and limit field emissions to ground and surface waters and to the atmosphere, has become a priority in agricultural activities [5]. Ground and surface water pollution due to N leaching exposes humans and animals to health risks [6]. Air pollution is associated with N gases produced by agricultural activities, mostly ammonia, which are partly responsible for smog and acid rain [7], and N2O emissions originating from nitrification and denitrification processes, which are partially responsible for the ozone depletion and global warming [8].
Although sweet sorghum has a limited response to N fertilization under different soil conditions [9,10] due to the plant’s ability to take up large amounts of N from the soil [11], a soil N balance may help to identify the optimal rate of N fertilizer and avoid excessive N soil impoverishment and losses. An accurate method to analyse the N dynamics in a soil–plant–atmosphere system and to optimise the N-fertilization rate is the application of the N-balance [12]. The use of stable N isotopes is probably the most effective and valuable tool currently available to measure the N derived from fertilisers and that present in the different soil N pools, as compared to natural soil N reserves, leading to an accurate N-balance [13].
In the framework of the FAIR CT96-1913 EU project “Environmental Studies on Sweet and Fibre Sorghum, a sustainable crop for biomass and energy”, a field trial was carried out in a typical semi-arid Mediterranean site comparing four N fertilization rates and three levels of irrigation applied to sweet sorghum cv. Keller, with the aim to achieve the following specific objectives: (i) to assess the fate of N-fertilizer; (ii) to determine the optimal N fertilization rate through a N soil balance; (iii) to determine the irrigation water volume to optimize biomass yield by improving the N-use efficiency; (iv) to minimize environmental burdens caused by N losses.

2. Materials and Methods

2.1. Open-Field Experiment

The field experiment was carried out during the 1999 growing season in an upland area of inland Sicily (South Italy, 550 m above sea level (a.s.l.), 37°23′ N Lat, 14°21′ E Long) on a typic xerorthent or typic xerochrept soil. The soil characteristics and hydrological constant were as follows: clay 12.5%, sand 64.0%, silt 23.5%, organic matter 1.51%, pH 8.3, total N 1.01, available P2O5 35.1 mg kg−1, exchangeable K2O 403.1 mg kg−1, bulk density 1.2 g cm−3, field capacity (−0.03 MPa) 0.256 g g−1, and wilting point (−1.5 MPa) 0.098 g g−1. A durum wheat crop preceded the cultivation of sweet sorghum. The soil was ploughed to a 0.3 m depth in the autumn and then harrowed in spring for seedbed preparation.
The experiment was set up with a split-plot experimental design, with a 3 × 4 factorial scheme consisting of three irrigation levels (I0, I50, I100: 0, 50, and 100% crop evapotranspiration–ETc restoration), four N fertilization rates (N0, N60, N120, N180: 0, 60, 120, and 180 kg N ha−1), and three replicates per treatment. Irrigation was applied to the main plot and N fertilizer to the sub-plot. Plots in I0 were irrigated up to seedling establishment. Plots were located in a flat area to avoid erosive runoff. The ‘Keller’ cultivar of sweet sorghum (Sorghum bicolor (L.) Moench) was used for the experiment [14].
Sowing was carried out on June 7, when the soil temperature was higher than 14 °C, which under the present environmental conditions (550 m a.s.l.) can be reached from the middle of April to the beginning of June. However, spring time was quite cool in the present growing season; therefore, sowing was postponed to the beginning of June to match the optimal temperature for seed germination. Plants were spaced 0.7 m between rows, with plant density equal to approximately 11 plants m−2, in single sub-plots of 25 m2 (5 m × 5 m). Before sowing, N (1/3 of the total amount, according to the N level, i.e., 20, 40, and 60 kg ha−1, in N60, N120, and N180, respectively), in the form of ammonium sulphate, 100 kg ha−1 P2O5 (as mineral perphosphate), and 100 kg ha−1 K2O (as potassium sulphate) were distributed. Approximately 30 days after sowing (DAS), at the beginning of stem elongation, N (as ammonium nitrate) was supplied as top dressing according to N rates.
A drip-irrigation system was used. At the time of sowing, irrigation water was supplied to fulfil the field capacity at approximately 0.3 m in depth. Thereafter, the volume of irrigation water in I50 and I100 was determined on the basis of the maximum available soil water content (ASWC) in the top 0.4 m of soil, where most of the roots are expected to grow, calculated with the following formula [15]:
V = 0.66   ( F C W P ) × ρ × D
where V is the water amount; 0.66 = fraction of promptly available soil water permitting unrestricted evapotranspiration; FC is soil water at field capacity (25.6% of soil dry weight), WP is soil water at wilting point (9.8% of soil dry weight); ρ is bulk density (g cm−3); D is soil depth (0.4 m). Irrigation was applied when the sum of daily evapotranspiration (ETc) corresponded to V [15]:
E T c = E T 0 × k p × k c
where ET0 is reference ET, measured by means of a class A pan (mm); kp is the pan coefficient, equal to 0.80 in a semi-arid environment; kc is the crop coefficient ranging between 0.4 and 0.7 from plant emergence to jointing, between 0.7 and 1.1 from jointing to bloom, and between 1.1 and 0.7 from bloom to kernel maturity [15]. During the crop-growing season, a total of 80, 334, and 597 mm of water was supplied to I0, I50, and I100, respectively, which was scheduled in sixteen events for I100 and I50 (half that of I100), and in four events in I0. No chemical herbicides were used for weed control. Hand-weeding was performed once only since the crop covered the soil, and weeds could no longer grow.
The following meteorological variables were recorded daily throughout the crop-growing season: air temperature, rainfall, class A pan evaporation, and global solar radiation using a data logger (CR10, Campbell Scientific, Logan, UT, USA) located approximately 50 m from the experimental field (Figure 1). Maximum air temperature was the highest in June, July, and the first ten days of August, with a peak higher than 35 °C and then slowly decreased to approach the lowest values at the harvest time in November. The minimum air temperature fluctuated from a rather constant value of 17 °C during summertime to around 10 °C registered in November (Figure 1). From sowing to harvest, the average maximum air temperature was 26.1 °C and the minimum was 16.2 °C. The global solar radiation was on average 19.99 MJ m−2 d−1, and it was highest in July and the lowest in October (27.1 and 13.2 MJ m−2 d−1, respectively). Whole season rainfall was 268 mm; it was uneven and very low from sowing and through the summer, with only 116 mm registered in two events in the first and second ten days of August and in six events in the second ten days of September. On the other hand, the ET0 was 798 mm, registered from sowing up to the first ten days of September when irrigation was suspended.
Plant biomass was harvested on November 17, when plants of plots under the highest levels of input (I100 × N180) attained the kernel hard dough stage.

2.2. Measurements

At harvest, plants along a 1 linear m within each plot were sampled for fresh weight measurement, as the total and separated into stems, leaves, and panicles. Subsamples of each plant part were dried in a thermo-ventilated oven at 65 °C until the weight was constant (about three days) for dry matter (DM) measurements. Dried samples of each plant part were then finely ground in a 0.75 mm sieve, and total N was measured in a 5 g sample using the Kjeldahl method (Buchi Distillation Unit K370).
At the same time, soil from each plot was sampled at 20, 40, 60, and 80 cm depths. Soil samples were air dried, sieved through a 10 mesh, and finely ground for total N measurement using the method mentioned above.
During the crop growing season, after each rain event and each irrigation event, samples from the circulating soil solution were collected through porous cups under depressions located in the soil at depths of 30, 60, and 90 cm. In each solution sample, the nitrate content (NO3-N, mg L−1) was measured using a portable spectrophotometer (HACH DR/2010, HACH Company, Loveland, CO, USA).
After each N application to the crop (fertilization), N losses by volatilisation as ammonia (NH4-N) were measured weekly through a closed-static system [16]. Briefly, closed-static traps were made of a Plexiglas tube with a 140 mm diameter and 83 mm height. Polyfoam sorption pads 26 mm thick and 140 mm in diameter were held in place by a single 5 mm diameter aluminium pin driven through the centre of the Plexiglas tube. The traps were sealed, above a single sorption pad, by a sheet of Plexiglas 7 mm thick. Sorption pads were placed in 150 mm Buchner funnels attached to a 0.5 atmosphere vacuum, saturated with a 50 mL solution of 2.2 N H3PO4 and 25 mL of glycerine, and allowed to drain until they contained approximately 25 mL of the solution. Pads were rinsed with approximately 150 mL of distilled water, and the extract was made up to a volume of 500 mL by adding more distilled water. Duplicate 25 mL aliquots of the solution were used to determine NH4-N. The extract was distilled with 20 mL of 60 g l−1 NaOH in a Kjeldahl distiller system (distiller unit mod K-350, BUCHI Italia s.r.l, Cornaredo, Italy), collected in saturated boric acid and titrated with 0.05 N H2SO4.

2.3. Calculations

Dry biomass yield (t ha−1 DM), as the total and partitioned in stems, leaves, and panicles, was calculated from dry biomass measurements at harvest.
Crop N uptake (kg ha−1) was calculated by multiplying the dry biomass of plants as the total and partitioned in stems, leaves, and panicles, by N concentration determined by the Kjeldahl method.
Apparent N fertilizer use efficiency (ANUE) was calculated as follows [17]:
A N U E = ( D c D 0 ) / D n
where Dc is N plant uptake in the fertilised treatment, D0 is N plant uptake in the unfertilised treatment, Dn is N applied by fertilization.
The soil N apparent balance was calculated using the following formula [12]:
F + R & I W C U D & V L = ± Δ S R
where F is N applied by fertilizer; R&IW is N from rainfall and irrigation water, calculated by multiplying rainfall and irrigation seasonal volume by the relative mean NO3-N content (nitrates × 0.226), determined as described above; CU is N crop uptake, calculated multiplying the dry biomass of plant parts (leaves, stems, panicles) at harvest by the relative N concentration determined by the Kjeldahl method; D&V is N lost by denitrification and volatilisation. N from ammonia volatilisation was determined as described above, in each trap, multiplying ammonia by 0.777. Denitrification losses (N2, NO, N2O) were not measured since they are negligible in agrosystems similar to the one in this study, where anaerobiosis conditions are insignificant [18]; L is N lost by leaching. Nitrate lost by leaching was calculated as described above, from the nitrate content in drainage water collected in porous cups, multiplied by the amount of drainage water. To this end, throughout the crop growing season, the soil water content was determined gravimetrically at sowing (0–80 cm depth), and the irrigation water applied by each watering, subtracting ETc, was added. Drainage water was quantified as the difference between the soil water content after irrigation and that at field capacity; ΔSR is the variation (positive and negative) in the soil N content, calculated by subtracting all entries in the equation balance.

2.4. N Fertilizer Analysis through the Isotopic Technique

A 4 m2 (microplot) area was delimited within I0, I50, and I100 plots, where, in addition to conventional N fertilization, ammonium sulphate containing a N isotope (15N, with a +10% N isotopic enrichment) was applied. The enriched fertilizer was mixed with non-isotopic N fertilizer to obtain a total +1% N isotopic enrichment. It was applied to the soil as liquid, after dilution in 10 L water.
At harvest time, for leaf, stem, and panicle samples dried at 70 °C in a thermo-ventilated oven, the 15N (%) isotopic ratio was calculated as follows [19]:
  15 N   ( % ) =   15 N / (   15 N +   14 N ) × 100
where 15N is isotopic N, 14N is non-isotopic N.
Analyses were made using an automated N and C analyser (ANCA) (NA 2000 model, FISON, Thermo Fisher Scientific, Waltham, MA, USA) connected to a mass spectrometer (Finnigan-MAT DELTA Plus mass spectrometer, Thermo Fisher Scientific, Waltham, MA, USA) and remote-controlled by ANCA-MS technique software (ConFlo II, Finnigan-MAT, Thermo Fisher Scientific, Waltham, MA, USA).
In soil samples at harvest and in percolation water collected by porous cups, the % of 15N was determined by the above described ANCA technique.
In nature, a single 15N atom occurs every 272 N atoms; therefore, the 15N occurring in nature, indicated as ‘natural abundance’, is equal to 0.3663%. Since plants, soil, and water may have a 15N content that is slightly different from that of the ‘natural abundance’, typical of each substrate, the 15N (%) was also determined in plant, soil, and water samples of unfertilised plots.
Ndff (N derived from fertilizer), which indicates the N amount derived from fertilization compared to the total N in plant, soil, and percolation water [19,20], was calculated as follows:
N d f f   ( % ) = ( c b ) ( a b ) × 100
where a is the fertilizer 15N content (expressed as % 15N), b is plant, soil or percolation water 15N (expressed as % 15N) in unfertilised plots (natural abundance), c is plant, soil or percolation water 15N (expressed as % 15N) in plots receiving the enriched fertilizer.
Moreover, the N recovered (%), i.e., that of plant, soil, and percolation water, compared to total N applied by fertilization, was determined as follows [20]:
N   r e c o v e r e d   ( % ) = P   ( c b ) f   ( a b ) × 100 .
where P is N in the plant, soil, and percolation water (meq), f is N in fertilizer (meq), a, b, and c are the terms described above.

2.5. Statistical Analyses

Data on final dry biomass, as the total and partitioned in leaves, stems, and panicles (t ha−1), crop N uptake (kg ha−1), plant and soil Ndff and N recovered (%), plant and soil N recovered (kg ha−1), and apparent NUE, were statistically analysed by a mixed effect model considering Irrigation (I) and N fertilization level (N) as fixed factors, according to the split-plot experimental design (Type III SS, CoStat version 6.003, CoHort Software, Monterey, CA, USA). Since irrigation treatments need an extensive area to control horizontal water movements and the treatment level applied, irrigation was the main plot (n = 3), while nitrogen fertilization was the sub-plot (n = 4), where each level was replicated three times (n = 3) within each main plot and was randomly distributed (n = 36). In order to account for the spatial grouping and no independence of errors between the sampling units, replications were included in the model as random factor effect. Test of hypotheses of irrigation was calculated using the Anova MS for REPxI as an error term. A Tukey’s post hoc test was used for mean separation at p ≤ 0.05.

3. Results

3.1. Plant N (Isotopic Technique)

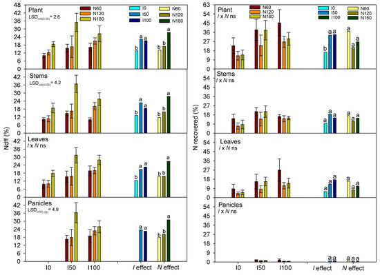
The rate of plant N from fertilizer (plant Ndff, %) in relation to total plant N was rather low, not exceeding 34.9% (I50 × N180 treatment). The low Ndff (< 18%) measured in I0 (p ≤ 0.01) indicates that most of the N in plants under no irrigation did not derive from fertilization. Ndff significantly increased with the increase in the N level, changing from 14.2% (N60) to 27.5% (N180) (Figure 2).
When individual plant parts are considered, as observed for total biomass, less N from the fertilizer, compared to the total, was found in non-irrigated plants (I0, p ≤ 0.01) and at the lowest levels of N fertilization (N60 and N120, p ≤ 0.001). However, significant I × N interactions were observed in ANOVA for Ndff in stems and panicles. In both cases, the highest N fertilization rate (180 kg ha−1) led to a significantly greater Ndff under severe or moderate soil water deficit (I0 and I50). This effect was not so clear under full irrigation.
A small amount of N fertilizer compared to the total applied (N recovered) was measured in I0. In relation to N levels, higher (but not significantly) rates of N recovered in N60 reveal a good aptitude of the crop to recover the element from the fertilizer at low levels. Most of the recovered N moved towards stems and leaves, with only negligible amounts of N from the fertilizer measured in panicles.
As a result, the total N recovered by the crop from the fertilizer (kg ha−1) was minimised under no irrigation (I0, 18.2 kg ha−1) and was significantly influenced by fertilization, being the highest (49.0 kg ha−1 N, p ≤ 0.05) under N180 (Table 1).

3.2. Dry Biomass Yield and N Concentration

Final total dry biomass was significantly affected by the irrigation level but not by the level of N applied (Table S1, Supplementary Data). The ANOVA showed no interaction between the two experimental factors for dry biomass yield.
Across N levels, the total biomass yield was 7.5 t ha−1 under I0, which was the lowest overall. As expected, the significantly highest yield (27.1 t ha−1) was obtained under full irrigation (I100).
N concentration in the dry stems, leaves, and panicles was not affected by N fertilization or by I × N. Under no irrigation, the crop produced less dry leaf and stem mass, although plants were leafier (31% of leaves compared to 21 and 20% in I50 and I100, respectively).
Plant N concentration at harvest was significantly affected by irrigation and N fertilization. Across the average of N levels, N concentration was higher in non-irrigated plants (15.9 g kg−1 in I0, versus 7.3 and 6.1 g kg−1 in I50 and I100, respectively). Irrespective of the irrigation level, N concentration in unfertilised plants (N0) was significantly lower (7.8 g kg−1) than that measured in plants that received increasing fertilization rates, which did not differ based on the ANOVA for this trait (N content ≥ 10 g kg−1 in all).
When individual plant parts were considered, a clear decreasing effect of irrigation (‘I’ effect, p ≤ 0.01) was observed for the N concentration of stems, which ranged from 18.1 (in I0) to 4.2 g kg−1 (in I100). The highest N concentration was measured in stems in I0, compared to those in the irrigated treatments. This is mainly because no panicles were produced under no irrigation; therefore, most of the N recovered by plants under these experimental conditions moved to the stems. Similar effects of irrigation were observed for the N concentration of panicles. No effects of increasing N level were ascertained for the N concentration of stems and panicles (N effect, p > 0.05). Opposite effects of the two experimental factors were observed for the N concentration of leaves, which did not change with irrigation (13.4 g kg−1, on average, p > 0.05), but was significantly affected by fertilization (p ≤ 0.01), being the lowest under no N application (10.6 g kg−1).

3.3. N Uptake and Partitioning into the Different Biomass Fractions at Harvest

Total plant N uptake changed in relation to both experimental factors. Irrespective of N fertilization levels, crop N uptake was the highest under full (I100, 165.4 kg ha−1) and deficit irrigation (I50, 151.9 kg ha−1) and the lowest under no irrigation (I0, 120.9 kg ha−1) (Figure 3).
In relation to N fertilization, crop N uptake was the highest in N180 (175.1 kg ha−1, not different from N60 and N120) and the lowest in N0 (103.9 kg ha−1). By contrast, leaf and stem N uptake was not affected by the level of irrigation (I effect, p ≥ 0.05), but was the lowest under no N-application (N0, p ≤ 0.01). The amount of N uptake by panicles was negligible. No interaction was highlighted by ANOVA. Overall, N fertilizer uptake was the lowest under no irrigation. Higher rates of N uptake from the fertilizer were measured at the highest level of fertilization (N180).

3.4. Apparent N Fertilizer Use Efficiency (ANUE)

ANUE, which indicates the rate of N uptake by the crop in relation to the amount of N applied by fertilization, was greatly affected by both experimental factors. Across the average of irrigation levels, ANUE was maximised in N60 (0.86, versus 0.38 and 0.40, in N120 and N180, respectively) (p ≤ 0.01) (Table 2). Across N levels, the crop used the fertilizer with better efficiency under deficit irrigation (I50, 0.66, p ≤ 0.05). No I × N interaction effects resulted in ANOVA.

3.5. Soil N

Overall, the rate of soil N derived from the fertilizer (soil Ndff, %), in relation to total soil N, was rather low, ranging from 0.1 to approximately 4.0% (Figure 4).
Soil Ndff was significantly influenced by irrigation, being the lowest overall in fully irrigated plots. This result may be ascribed to increased nitrate leaching at higher irrigation rates. Soil Ndff increased with the level of N applied to the crop, i.e., the higher the level of N application, the greater the amount of N left in the soil. A higher amount of N from the fertilizer was found in the first layer of soil sampled (0–20 cm soil depth), whilst no N from fertilizer was measured in the deepest layer (60–80 cm) under deficit irrigation (I50) and at soil depths >41 cm under no irrigation (I0).
The rate of soil N from the fertilizer compared to the total applied (soil N recovered, %) was also influenced by both experimental factors and their interaction. In the upper layers (0–20 and 21–40 cm), irrigation (both deficit and full) led to a significant decline in soil N recovered, probably because plants were able to absorb greater amounts of N when irrigated, leaving less N in the soil compared to that applied by fertilization. As for Ndff, in the deepest layers in I50 (and even at 41–60 cm in I0), no N was recovered from the fertilizer, probably because at these soil depths N fertilizer was not mobilised under low irrigation rates.
Soil N recovered also differed among N levels depending on the layer of soil considered. In the upper layer (0–20 cm), it was significantly lower in N60, overall indicating that a lot of N was left in the soil at high rates of fertilization, irrespective of irrigation. In deeper soil layers, down to 80 cm, N recovered did not change with the N levels.
A significant I × N interaction effect on N recovered at 0–20 cm was highlighted in ANOVA, basically since the percentage of N left in the soil compared to that applied by fertilisation did not change under no irrigation (I0), being conversely greater in N120 and N180 under irrigation (I50 and I100).
Consequently, the amount of N fertilizer left in the soil at the end of the experiment (across an average of N levels) was 89.3, 75.4 and 64.5 kg ha−1, in I0, I50 and I100, respectively (Table 3).
This result indicates that the rate of N left in the soil was minimised under full irrigation (I100). In particular, under no irrigation, most of the fertilizer was found in the upper soil layers (0–20 cm depth), while no fertilizer was detected in the deepest layers (41–80 cm). By contrast, under full irrigation, N derived from fertilization and left in the soil was found through the whole soil profile, but to a greater extent in the upper (31.5 kg ha−1) and to a lesser extent in the 21–40 cm layer (5.9 kg ha−1), likely where most of the roots developed. In relation to fertilization, the amount of N left in the soil ranged between 22.7 (N60, I100) and 134.1 kg ha−1 (N180, I0), i.e., 37.8% and 74.5%, respectively, of total N distributed, which was not used by the crop (Figure 5).
Low Ndff was also measured under deficit irrigation (<8%). Conversely, Ndff was maximised under full irrigation, peaking in early August in N120 (33.15%) as a probable delayed effect of top-dressing fertilization in July. Afterwards, under these experimental conditions, Ndff in soil water declined until October.

3.6. Apparent N Soil Balance

In the apparent N soil balance calculation, N from fertilization and N from irrigation and rain water are considered input entries. Rainwater, which amounted to 268 mm for the whole growing season, supplied 12.7 kg N ha−1. N from rainwater was very low from sowing to the first decade of September, which corresponds to the irrigation period (1.21 kg N ha−1) since only 25.7 mm of rainfall was registered. Remaining N from rainwater was collected from the second decade of September to harvest time, when rainfall was more concentrated in this environment. N from irrigation, differing in relation to the irrigation level, was 3.2, 13.4, and 23.9 kg ha−1, in I0, I50, and I100, respectively. N losses (output) occurred through ammonia emission (on average 1.9 kg ha−1) and nitrate leaching (on average 5.5 kg ha−1), with differences among the irrigation treatments (Table 4).
Across N fertilization rates, ammonia emissions were higher under no irrigation (I0). N application caused a rise in ammonia emissions (up to 3.8 kg ha−1, in N180) and nitrate leaching (from 4.8 to 6.2 kg ha−1). Overall, N losses through ammonia were quite low, not exceeding 5.6 kg ha−1 (I0 × N180).
The rate of crop N-uptake from the soil reserve, compared to the total, progressively decreased with the increase of the level of N fertilization, being maximum in N0 and zero in N180 (Figure 7).
Consequently, the difference between N input (N fertilizer + N rain + N irrigation water) and output (N crop uptake + ammonia emissions + nitrate leaching), irrespective of water supplied, increased with the N applied to the crop, from negative (from −82.5 to −11.6 kg ha−1, in N0 and N120, respectively) to positive values (+21.1 kg ha−1 in N180). Thus, the sweet sorghum crop was able to recover high amounts of N from the soil under no fertilization or low levels of fertilization and left the soil rich in N under very high rates of N application.
If the differences between N input and output for each N fertilization and irrigation level are joined by straight lines, those of I100 and I50 cross the x axis (drawing point) at hypothetical 150 and 170 kg ha−1 N levels, respectively (Figure 8). By contrast, in I0, the drawing point corresponds to the ~120 kg ha−1 N fertilization rate.

4. Discussion

Present findings allowed us to meet the established specific objectives, namely, (i) to assess the fate of N-fertilizer; (ii) to determine the optimal N fertilization rate; (iii) to determine the irrigation water volume to optimize biomass yield by improving the N-use efficiency; (iv) to minimize environmental burdens caused by N losses.
(i)
According to the 15N-labelled fertilization technique, the isotopic composition showed the dynamics of N mineral fertilizer within the soil–plant–water–atmosphere system with quite high accuracy; across an average of all experimental factors, 34% of N fertilizer was taken up by the crop, 56% remained in the soil at the end of the cropping season, 1.83% was leached as nitrate, and 1.72% was volatilized as ammonia, summing up to 93.55%. Looking at the combination of experimental factors, the remaining 6.45% of N fertiliser is off-balance. Under no-irrigation and low N rates (I0 × N60), the N fertilization fate within the soil–plant–water–atmosphere was nearly 100%, while increasing N rates to N120 or N180 reduced the accuracy to around 95%. The N fertilization fate assessment was nearly 99% under deficit irrigation (I50), averaged across the three N fertilization rates. Under full irrigation (I100), the average of N fate was about 90%. It can be assumed that some N losses, which were not accounted for in the present calculations (e.g., weed N uptake before removal) might have reduced the accuracy of the N fertilizer fate. In addition, from the present results, it could be speculated that more losses by volatilisation from the closed-static system occurred at high N fertilization rates in I0, and the frequency of soil sampling was not appropriate after each irrigation event to prevent some saturation of porous cups in I100, or horizontal water movements after each irrigation event might have led to an underestimation of nitrate leaching. In a long-term experiment conducted at ICRISAT Asia Center, India, in N-labelled sorghum with a deep vertisol, different amounts of N were taken up by the plants, according to the N fertilization level [21]. The authors observed that the crop took up N mainly from the soil. In particular, with a soil inorganic N content (nitrates, nitrites, ammonia) of 24.7 mg kg−1 of soil (within a range of 0.8–2.5 g kg−1 of total N), the Ndff in the aboveground biomass was 10–12%, while Ndfs (i.e., the % of biomass N derived from the soil reserve) reached 88%. Another experiment carried out with sorghum using a 15N-labeled fertilization technique, in west-central Burkina Faso under Lixisols soils with a low organic C content (<10 g kg−1) and very low total N (295 mg kg−1,), reported a Ndff of 80% when sorghum was fertilised only with N, compared with 78% when fertilised with phosphorus and N [22]. We can assume that the amount of Ndff in the crop depends on the amount of organic matter and, thus, of organic N in the soil. Therefore, the N uptake estimation through a simple soil N apparent balance, where N fertilizer is assumed as entirely taken up by the plant, is inaccurate, since the fertilizer activity is mediated by soil microorganism activation [22].
(ii)
The optimal N fertilization rate for sweet sorghum growth and stability of soil fertility was assessed through a N soil balance. Organic matter and organic N contents in the present soils were adequate to meet the sweet sorghum N requirements, even under optimal soil water availability. However, the results of this experiment indicated that under no N-fertilization, the soil was strongly N-impoverished, i.e., residual fertility was negligible, which would be detrimental for subsequent crops in rotation. Conversely, the system’s N input/output was balanced under N120, i.e., the soil N reserve remained unchanged, and under N180 the system was even enriched (positive input/output) by the unused rate of N input (from fertilizer, rain, and irrigation water), which was left in the soil, although this was less evident under deficit irrigation (I50). This soil N enrichment under a high rate of N fertilization, although beneficial for subsequent crops, does not allow a sustainable agricultural system since this might enhance the environmental impact on air and water [23]. Additionally, the rate of N fertilization did not affect the final biomass yield, which is in accordance with the findings of Maw et al. [9], who reported a minimal N fertilizer rate of 56 kg ha−1 in high-biomass sorghum (HBS) to achieve adequate biomass yield, with no additional yield benefit at higher N rates. Accordingly, in our experiment, we observed that biomass N concentration (as a percentage of dry matter) did not change with the level of N applied to the crop by fertilization. On the other hand, the % Ndff significantly differed among the N rates, being much greater at the highest level of N application (N180). According to Lovelli et al. [12], a valid explanation for this result is that the crop has a good capacity to remove soil N under no or low N application, but when N is applied to the soil by fertilization, especially at high rates, the crop prefers to use the nutrient in a more readily available form (that of the fertilizer). Katayama et al. [21], in their long-term experiment on sorghum, observed that over the years, more N was recovered from the soil in the N fertilised plots than in those without N-fertilizer. These results suggested that soil N fertility was progressively improved by fertilization, and that the amount of N supplied by the soil to the crop increased in plots with consecutive N fertilization. The authors concluded that a N-fertilization management (i.e., using slow-acting fertilizers or split applications) that could maximise fertilizer N recovery, should be promoted. According to the reports by Holou et al. [24] and based on our results, in very poor soil, sweet sorghum requires N application through fertilization, even if at low rates, to achieve adequate biomass yields and keep the soil at its initial N reserve. In fact, as also reported in other experiments on sweet sorghum [9], the crop uses N more efficiently (higher apparent NUE) at low rates of N.
(iii)
Irrigation water had a great impact on biomass yield, which matches the findings of Barbanti et al. [25], who showed that yield of sweet sorghum was positively affected by a more humid growing season in northern Italy, while the rate of nitrogen applied had no importance on yield. In view of climate change and increased water shortage in the Mediterranean area, optimizing irrigation volume for spring/summer crops by increasing the use efficiency is a sustainable strategy to partially save this costly resource [26]. Dercas and Liakatas [27] observed that sweet sorghum responded to changing soil water regimes by utilizing the available water more efficiently as it progressively decreased in central Greece. Plants irrigated throughout the season at a reduced rate (by 25% and 36%) decreased biomass yield by 17% and 36% compared with the full irrigation treatment, mostly due to a lower leaf area index and radiation use efficiency. Among irrigation levels tested here, the full level (I100) resulted in the greater biomass yield; nonetheless, yield was reduced by 21% under deficit irrigation (I50), but 44% irrigation water was saved by significantly increasing the nutrient use efficiency. Unlike previous reports in the literature, where no effect of N fertilisation on ANUE was observed [12], in the present experiment, across irrigation levels, ANUE was maximized in N60. Deficit irrigation (I50), across N rates, maximized the ANUE and reduced N losses through leaching as compared with I100 and through volatilization as compared with I0.
(iv)
Environmental side effects of N losses (nitrate leaching to groundwater and ammonia volatilization to the atmosphere) were quite low. The sweet sorghum crop was able to markedly reduce the concentration of nitrates in soil water, always below the maximum level allowed by EU directives (50 mg L−1). Increasing N fertilization rates increased the ammonia volatilization but to a different extent according to the irrigation levels; overall, the deficit irrigation showed the lowest ammonia volatilization, while no-irrigation had the highest one. This result may be attributed to greater gas diffusion when soil pores are not filled by water [12]. Overall, N losses by ammonia were quite low, not exceeding 5.6 kg ha−1 (in I0 × N180). This value is consistent with that measured by Lovelli et al. [12] in a sweet sorghum crop under no irrigation and with 120 kg N ha−1. By contrast, the higher the amount of irrigation water, the greater the nitrate leaching. However, across N rates, the deficit irrigation showed the same values as the no-irrigation condition. The present results confirmed the great aptitude of sweet sorghum to benefit from soil N reserves, and up to 92.4 and 81.5 kg ha−1 of N were taken up by the crop under no or low level fertilization (N60), respectively, if irrigated at the full rate (100% ETc). Some biological nitrification inhibitors were found in sorghum root exudates, which prevent nitrification and reduce N2O release into the atmosphere. Nitrification has been reported to contribute to 70% of N-fertilizer losses, and these inhibitors may account for reduced losses of N and for greater N availability for sorghum plants [22]. A small amount of N fertilizer compared to that applied was measured in I0, indicating that less N from the fertilizer was taken up under no irrigation and, consequently, a major part was left in the soil.

5. Conclusions

Sweet sorghum is a promising biomass crop suitable for low-input cultivation systems in the Mediterranean area. Under the present environmental and soil conditions, sweet sorghum responded positively to irrigation water, increasing biomass yield but also nitrate leaching. Reduced irrigation during the crop-growing season allowed us to save 44% of irrigation water compared with the full irrigation treatment, decreasing the biomass yield by only 21% by increasing the nitrogen use efficiency. Furthermore, ammonia volatilization in I50 was the lowest among irrigation treatments. Sweet sorghum did not exhibit a clear response to applied N, since even under no N fertilization, it was able to recover high amounts of N from the soil. Although reduced levels of nitrate leaching during the following winter rainy season can be expected, very low or no N fertilization may lead to a reduced N availability to the crop following in rotation and to long-term soil chemical fertility depletion. The apparent N fertilizer use efficiency was maximized under N60; however, N120 seems the best option to attain an even N input/output system. In this respect, cropping systems involving N-fixing legumes in rotation or slow-acting fertilizers or split applications should be considered.

Supplementary Materials

The following are available online at https://www.mdpi.com/article/10.3390/agronomy11071292/s1, Table S1: Dry biomass yield (t ha−1), as total and partitioned in stems, leaves, and panicles, and N concentration (N, g kg−1)in each part of plant, in relation to the irrigation (I0, I50, I00 = 0, 50, 100% ETc, respectively) and the N level (N0, N60, N120, N180 = 0, 60, 120, 180 kg ha−1, respectively), in sweet sorghum cv. Keller. Average values of all N levels (last column) and average values of all irrigation levels (last row), followed by the same letter, do not significantly differ at p ≤ 0.05. Interaction I × N not significant. Values of standard error are reported.

Author Contributions

Conceptualisation, S.L.C.; Data curation, D.S., M.M., G.T. and C.P.; Formal analysis, M.M.; Investigation, M.M. and S.L.C.; Methodology, D.S., S.L.C., G.T. and C.P.; Software, D.S. and C.P.; Validation, D.S.; Writing—original draft, C.P. and M.M.; Writing—review & editing, D.S and S.L.C. All authors have read and agreed to the published version of the manuscript.

Funding

This research was supported by the UE, Contract FAIR CT96-1913, Project ‘Environmental Studies on Sweet and Fibre Sorghum, a sustainable crop for biomass and energy’.

Institutional Review Board Statement

Not applicable.

Informed Consent Statement

Not applicable.

Data Availability Statement

Not applicable.

Conflicts of Interest

The authors declare no conflict of interest.

References

  1. Brown, R.H. A difference in N use efficiency in C3 and C4 plants and its implications in adaptation and evolution. Crop Sci. 1978, 18, 93–98. [Google Scholar] [CrossRef]
  2. Ballesteros, I.; Negro, M.J.; Oliva, J.M.; Cabañas, A.; Manzanares, P.; Ballesteros, M. Ethanol production from steam-explosion pretreated wheat straw. Appl. Biochem. Biotechnol. 2006, 129–132, 496–508. [Google Scholar] [CrossRef]
  3. Patanè, C.; Saita, A.; Sortino, O. Comparative effects of salt and water stress on seed germination and early embryo growth in two cultivars of sweet sorghum. J. Agron. Crop Sci. 2012, 199, 30–37. [Google Scholar] [CrossRef]
  4. Ullah, M.R.; Corneo, P.E.; Dijkstra, F.A. Inter-seasonal N loss with drought depends on fertilizer management in a seminatural australian grassland. Ecosystems 2020, 23, 1281–1293. [Google Scholar] [CrossRef]
  5. Zhang, X.; Bol, R.; Rahn, C.; Xiao, G.; Meng, F.; Wu, W. Agricultural sustainable intensification improved nitrogen use efficiency and maintained high crop yield during 1980–2014 in Northern China. Sci. Total Environ. 2017, 596–597, 61–68. [Google Scholar] [CrossRef]
  6. Steffan, J.J.; Brevik, E.C.; Burgess, L.C.; Cerdà, A. The effect of soil on human health: An overview. Eur. J. Soil Sci. 2018, 69, 159–171. [Google Scholar] [CrossRef] [Green Version]
  7. Bouwman, A.F.; Boumans, L.J.M.; Batjes, N.H. Estimation of global NH3 volatilization loss from synthetic fertilizers and animal manure applied to arable lands and grasslands. Biogeochem. Cycles 2002, 16, 1024. [Google Scholar] [CrossRef]
  8. Bouwman, A.F.; Boumans, L.J.M.; Batjes, N.H. Modeling global annual N2O and NO emissions from fertilized fields. Glob. Biogeochem. Cycles 2002, 16, 1080. [Google Scholar] [CrossRef]
  9. Maw, M.J.W.; Houx, J.H.; Fritschi, F.B. Nitrogen use efficiency and yield response of high biomass sorghum in the lower Midwest. Agron. J. 2017, 109, 115–121. [Google Scholar] [CrossRef]
  10. Sowiński, J.; Głąb, L. The effect of nitrogen fertilization management on yield and nitrate contents in sorghum biomass and bagasse. Field Crops Res. 2018, 227, 132–143. [Google Scholar] [CrossRef]
  11. Nakamura, T.; Adu-Gyamfi, J.J.; Yamamoto, A.; Ishikawa, S.; Nakano, H.; Ito, O. Varietal differences in root growth as related to nitrogen uptake by sorghum plants in low-nitrogen environment. Plant Soil 2002, 245, 17–24. [Google Scholar] [CrossRef] [Green Version]
  12. Lovelli, S.; Monteleone, M.; Posca, G.; Perniola, M. N balance during sweet sorghum cropping cycle as affected by irrigation and fertilization rate. Ital. J. Agron. 2008, 4, 253–260. [Google Scholar] [CrossRef] [Green Version]
  13. Fuertes-Mendizábal, T.; Estavillo, J.M.; Duñabeitia, M.K.; Huérfano, X.; Castellón, A.; González-Murua, C.; Aizpurua, A.; González-Moro, M.B. 15N Natural abundance evidences a better use of N sources by late nitrogen application in bread wheat. Front. Plant Sci. 2018, 9, 853. [Google Scholar] [CrossRef] [PubMed]
  14. Broadhead, D.M.; Freeman, K.C.; Zummo, N. Keller, a new high-sucrose sweet sorghum with potential for sugar production. Miss. Agric. For. Exp. Sin. Res. Rep. 1979, 4, 3. [Google Scholar]
  15. Doorenbos, J.; Pruitt, W.O. Guidelines for Prediction Crop Water Requirements; FAO: Roma, Italy, 1979. [Google Scholar]
  16. Marshall, V.G.; Debell, D.S. Comparison of four methods of measuring volatilization losses of N following urea fertilization of forest soils. Can. J. Soil Sci. 1980, 60, 549–556. [Google Scholar] [CrossRef]
  17. Sistani, K.R.; Adeli, A.; Tewolde, H. Apparent Use Efficiency of Nitrogen and Phosphorus from Litter Applied to Bermudagrass. Commun. Soil Sci. Plant Anal. 2010, 41, 1873–1884. [Google Scholar] [CrossRef]
  18. Smith, S.J.; Sherpers, J.S.; Porter, L.K. Assessing and managing agricultural N losses to the environment. Adv. Soil Sci. 1990, 14, 1–43. [Google Scholar]
  19. Jiang, C.; Lu, D.; Zu, C.; Zhou, J.; Wang, H. Root-zone fertilization improves crop yields and minimizes nitrogen loss in summer maize in China. Sci. Rep. 2018, 8, 15139. [Google Scholar] [CrossRef] [Green Version]
  20. International Atomic Energy Agency (IAEA). A guide to the use of nitrogen-15 and radioisotopes in studies of plant nutrition: Calculations and interpretation of data. IAEA 1983, 288, 1–65. [Google Scholar]
  21. Katayama, K.; Ito, O.; Adu-Gyamfi, J.J.; Rao, T.P.; Dacanay, E.V.; Yoneyama, T. Effects of NPK fertilizer combinations on yield and N balance in sorghum or pigeonpea on a vertisol in the semi-arid tropics. Soil Sci. Plant Nutr. 1999, 45, 143–150. [Google Scholar] [CrossRef]
  22. Traorè, O.Y.A.; Kiba, D.I.; Bünemann, E.K.; Oberson, A. N and phosphorus uptake from isotope-labeled fertilizers by sorghum and soil microorganisms. Agrosyst. Geosci. Environ. 2020, 3, e20111. [Google Scholar] [CrossRef]
  23. Scordia, D.; D’Agosta, G.M.; Mantineo, M.; Testa, G.; Cosentino, S.L. Life cycle assessment of biomass production from lignocellulosic Perennial Grasses under changing soil nitrogen and water content in the Mediterranean area. Agronomy 2021, 11, 988. [Google Scholar] [CrossRef]
  24. Holou, R.A.Y.; Stevens, W.; Rhine, M.; Heiser, J.; Shannon, G.; Kindomihou, V.; Sinsin, B. Sweet sorghum [Sorghum bicolor (L.) Moench] biomass production for biofuel and the effects of soil types and nitrogen fertilization. Commun. Soil Sci. Plant 2014, 45, 2778–2793. [Google Scholar] [CrossRef]
  25. Barbanti, L.; Grandi, S.; Vecchi, A.; Venturi, G. Sweet and fibre sorghum (Sorghum bicolor (L.) Moench), energy crops in the frame of environmental protection from excessive nitrogen loads. Eur. J. Agron. 2006, 25, 30–39. [Google Scholar] [CrossRef]
  26. Cosentino, S.L.; Scordia, D.; Sanzone, E.; Testa, G.; Copani, V. Response of giant reed (Arundo donax L.) to nitrogen fertilization and soil water availability in semi-arid Mediterranean environment. Eur. J. Agron. 2014, 60, 22–32. [Google Scholar] [CrossRef]
  27. Dercas, N.; Liakatas, A. Water and radiation effect on sweet sorghum productivity. Water Resour. Manag. 2007, 21, 1585–1600. [Google Scholar] [CrossRef]
Figure 1. Meteorological trend (air temperature, global solar radiation, rainfall, and reference evapotranspiration) through the growing season at the experimental site (37°23′ N Lat., 14°21′ E Long., 550 m a.s.l.).
Figure 1. Meteorological trend (air temperature, global solar radiation, rainfall, and reference evapotranspiration) through the growing season at the experimental site (37°23′ N Lat., 14°21′ E Long., 550 m a.s.l.).
Agronomy 11 01292 g001
Figure 2. Plant N from the fertilizer (Ndff, %) compared to total plant N and uptake rate of N applied by fertilization (N recovered, %) in relation to irrigation (I0, I50, I00 = 0, 50, 100% ETc, respectively) and the N levels (N60, N120, N180 = 60, 120, 180 kg ha−1 N) in sweet sorghum cv. Keller. Different letters for the main effects (I = irrigation; N = N level) indicate significant differences at p ≤ 0.05. Black vertical bars indicate the standard error.
Figure 2. Plant N from the fertilizer (Ndff, %) compared to total plant N and uptake rate of N applied by fertilization (N recovered, %) in relation to irrigation (I0, I50, I00 = 0, 50, 100% ETc, respectively) and the N levels (N60, N120, N180 = 60, 120, 180 kg ha−1 N) in sweet sorghum cv. Keller. Different letters for the main effects (I = irrigation; N = N level) indicate significant differences at p ≤ 0.05. Black vertical bars indicate the standard error.
Agronomy 11 01292 g002
Figure 3. N uptake (kg ha−1) in plant, stems, leaves, and panicles, in relation to irrigation (I0, I50, I00 = 0, 50, 100% ETc, respectively) and N level (N0, N60, N120, N180 = 0, 60, 120, 180 kg ha−1, respectively) in sweet sorghum cv. Keller. The grey part within each bar indicates the rate of N uptake derived from the fertilizer. Different letters for the main effects (I = irrigation; N = N level) indicate significant differences at p ≤ 0.05. Black vertical bars indicate the standard error for total N uptake.
Figure 3. N uptake (kg ha−1) in plant, stems, leaves, and panicles, in relation to irrigation (I0, I50, I00 = 0, 50, 100% ETc, respectively) and N level (N0, N60, N120, N180 = 0, 60, 120, 180 kg ha−1, respectively) in sweet sorghum cv. Keller. The grey part within each bar indicates the rate of N uptake derived from the fertilizer. Different letters for the main effects (I = irrigation; N = N level) indicate significant differences at p ≤ 0.05. Black vertical bars indicate the standard error for total N uptake.
Agronomy 11 01292 g003
Figure 4. Soil N from the fertilizer (Ndff, %) at different soil depths in relation to total soil N, and soil N from the fertilizer compared to total N applied by fertilization (N recovered, %), in N fertilised treatments (N60, N120, N180 = 60, 120, 180 kg ha−1 N) in sweet sorghum cv. Keller, under no irrigation (I0), deficit (I50) and full (I10) irrigation. Different letters within the main effects (I = irrigation; N = N level) indicate significant differences at p ≤ 0.05. Black vertical bars indicate the standard error.
Figure 4. Soil N from the fertilizer (Ndff, %) at different soil depths in relation to total soil N, and soil N from the fertilizer compared to total N applied by fertilization (N recovered, %), in N fertilised treatments (N60, N120, N180 = 60, 120, 180 kg ha−1 N) in sweet sorghum cv. Keller, under no irrigation (I0), deficit (I50) and full (I10) irrigation. Different letters within the main effects (I = irrigation; N = N level) indicate significant differences at p ≤ 0.05. Black vertical bars indicate the standard error.
Agronomy 11 01292 g004
Figure 5. N fertilizer fate (%), in N fertilised treatments (N60, N120, N180 = 60, 120, 180 kg ha−1 N, respectively), under no irrigation (I0), deficit (I50), and full (I100) irrigation, in sweet sorghum cv. Keller. The amount of N derived from the fertilizer compared to the total N, in soil water (Ndff soil water) and therefore susceptible to leaching, was negligible under no irrigation (I0) at all N levels (<1%) (Figure 6).
Figure 5. N fertilizer fate (%), in N fertilised treatments (N60, N120, N180 = 60, 120, 180 kg ha−1 N, respectively), under no irrigation (I0), deficit (I50), and full (I100) irrigation, in sweet sorghum cv. Keller. The amount of N derived from the fertilizer compared to the total N, in soil water (Ndff soil water) and therefore susceptible to leaching, was negligible under no irrigation (I0) at all N levels (<1%) (Figure 6).
Agronomy 11 01292 g005
Figure 6. N from fertilization (Ndff, %) compared to total N in soil water collected after each irrigation and rain event in porous cups in N fertilised treatments (N60, N120, N180 = 60, 120, 180 kg ha−1 N, respectively) at different soil depths (0–30, 30–60, 60–90 cm), under no (I0) (AC), deficit (I50) (DF), and full (I100) (GI) irrigation in sweet sorghum cv. Keller.
Figure 6. N from fertilization (Ndff, %) compared to total N in soil water collected after each irrigation and rain event in porous cups in N fertilised treatments (N60, N120, N180 = 60, 120, 180 kg ha−1 N, respectively) at different soil depths (0–30, 30–60, 60–90 cm), under no (I0) (AC), deficit (I50) (DF), and full (I100) (GI) irrigation in sweet sorghum cv. Keller.
Agronomy 11 01292 g006
Figure 7. N mobilisation (kg ha−1) in the soil–plant–atmosphere system in a sweet sorghum crop (cv. Keller). For crop N uptake (orange bars), negative values indicate crop N-soil reserve uptake, and positive values indicate crop N-fertilizer uptake + N irrigation water + N rain. Cyan bars indicate N fertilizer + N irrigation water + N rain not used by the crop and left in the soil.
Figure 7. N mobilisation (kg ha−1) in the soil–plant–atmosphere system in a sweet sorghum crop (cv. Keller). For crop N uptake (orange bars), negative values indicate crop N-soil reserve uptake, and positive values indicate crop N-fertilizer uptake + N irrigation water + N rain. Cyan bars indicate N fertilizer + N irrigation water + N rain not used by the crop and left in the soil.
Agronomy 11 01292 g007
Figure 8. Apparent N soil balance (input—output) in sweet sorghum cv. Keller compared to the irrigation level (I0, I50, I100 = 0, 50, 100% ETc, respectively).
Figure 8. Apparent N soil balance (input—output) in sweet sorghum cv. Keller compared to the irrigation level (I0, I50, I100 = 0, 50, 100% ETc, respectively).
Agronomy 11 01292 g008
Table 1. N recovered by the crop (kg ha−1) from the fertilizer, in relation to irrigation (I0, I50, I00 = 0, 50, 100% ETc, respectively) and N level (N60, N120, N180 = 60, 120, 180 kg ha−1 N). Average values of all N levels (last column) and average values of all irrigation levels (last row) followed by the same letter do not significantly differ at p ≤ 0.05. The I × N interaction was not significant. Values of the standard error are reported.
Table 1. N recovered by the crop (kg ha−1) from the fertilizer, in relation to irrigation (I0, I50, I00 = 0, 50, 100% ETc, respectively) and N level (N60, N120, N180 = 60, 120, 180 kg ha−1 N). Average values of all N levels (last column) and average values of all irrigation levels (last row) followed by the same letter do not significantly differ at p ≤ 0.05. The I × N interaction was not significant. Values of the standard error are reported.
N Recovered (kg ha−1)
Irrigation N60N120N180Avg.
Level
I013.7 ± 0.0715.7 ± 0.0425.0 ± 1.5618.2 b
I5023.4 ± 1.1327.8 ± 0.0968.5 ± 3.1539.9 a
I10027.2 ± 1.0132.1 ± 1.8753.5 ± 2.9837.6 a
Avg.21.4 b25.2 b49.0 a31.9
Table 2. Apparent N fertilizer use efficiency (ANUE) in relation to irrigation (I0, I50, I00 = 0, 50, 100% ETc, respectively) and N level (N0, N60, N120, N180 = 0, 60, 120, 180 kg ha−1, respectively), in sweet sorghum cv. Keller. Average values of all N levels (last column) and average values of all irrigation levels (last row) followed by the same letter do not significantly differ at p ≤ 0.05. The I × N interaction was not significant. Values of the standard error are reported.
Table 2. Apparent N fertilizer use efficiency (ANUE) in relation to irrigation (I0, I50, I00 = 0, 50, 100% ETc, respectively) and N level (N0, N60, N120, N180 = 0, 60, 120, 180 kg ha−1, respectively), in sweet sorghum cv. Keller. Average values of all N levels (last column) and average values of all irrigation levels (last row) followed by the same letter do not significantly differ at p ≤ 0.05. The I × N interaction was not significant. Values of the standard error are reported.
Apparent NUE
Irrigation N60N120N180Avg.
Level
I00.88 ± 0.090.35 ± 0.030.28 ± 0.020.50 b
I500.89 ± 0.080.57 ± 1.110.52 ± 0.070.66 a
I1000.82 ± 1.020.22 ± 0.040.39 ± 0.060.48 b
Avg.0.86 a0.38 b0.40 b0.55
Table 3. Soil N from the fertilizer (kg ha−1) at different depths in N fertilised treatments (N60, N120, N180 = 60, 120, 180 kg ha−1 N, respectively) under no irrigation (I0), deficit (I50), and full (I100) irrigation. Values of the standard error are reported.
Table 3. Soil N from the fertilizer (kg ha−1) at different depths in N fertilised treatments (N60, N120, N180 = 60, 120, 180 kg ha−1 N, respectively) under no irrigation (I0), deficit (I50), and full (I100) irrigation. Values of the standard error are reported.
N Recovered (kg ha−1)
Soil Depth (cm)I0I50I100Avg.
N60N120N180N60N120N180N60N120N180I0I50I100
0–2025.7 ± 0.0760.5 ± 1.0987.1 ± 1.569.9 ± 0.0951.7 ± 2.4561.0 ± 1.3411.4 ± 0.2437.3 ± 2.0145.9 ± 1.5657.8 ± 25.1440.9 ± 22.2231.5 ± 14.66
21–4018.0 ± 1.0429.5 ± 0.8147.0 ± 0.953.5 ± 0.0216.2 ± 1.3815.7 ± 1.493.0 ± 0.114.3 ± 0.4210.3 ± 0.4231.5 ± 12.2411.8 ± 6.835.9 ± 3.18
41–6000019.4 ± 0.8419.3 ± 0.9129.4 ± 1.752.5 ± 0.0817.1 ± 0.6621.6 ± 0.22022.7 ± 4.7313.7 ± 8.15
61–800000005.8 ± 0.0113.5 ± 0.3121.1 ± 0.310013.4 ± 6.24
Total43.7 ± 1.1190.0 ± 1.90134.1 ± 2.5132.8 ± 0.9587.1 ± 4.74106.1 ± 4.5822.7 ± 0.4472.1 ± 1.1698.9 ± 2.5189.3 ± 37.3875.4 ± 33.7864.5 ± 32.23
Table 4. N output through ammonia emissions and nitrate leaching (kg ha−1) in relation to the experimental factors (I0, I50, I100 = 0, 50, 100% ETc, respectively; N0, N60, N120, N180 = 0, 60, 120, 180 kg ha−1 N, respectively). Values of the standard error are reported.
Table 4. N output through ammonia emissions and nitrate leaching (kg ha−1) in relation to the experimental factors (I0, I50, I100 = 0, 50, 100% ETc, respectively; N0, N60, N120, N180 = 0, 60, 120, 180 kg ha−1 N, respectively). Values of the standard error are reported.
N Output (kg ha−1)
Irrigation LevelN0N60N120N180Avg.
NH4+NO3NH4+NO3NH4+NO3NH4+NO3NH4+NO3
I00.03.8 ± 0.141.6 ± 0.045.1 ± 0.233.3 ± 0.095.1 ± 0.115.6 ± 0.166.5 ± 0.172.6 ± 1.645.1 ± 0.95
I500.04.6 ± 0.071.5 ± 0.054.6 ± 0.111.7 ± 0.135.1 ± 0.072.0 ± 0.016.0 ± 0.061.3 ± 0.205.1 ± 0.57
I1000.05.9 ± 0.110.8 ± 0.025.9 ± 0.092.3 ± 0.167.2 ± 0.183.7 ± 0.056.1 ± 0.021.7 ± 1.186.3 ± 0.54
Avg.0.04.8 ± 0.861.3 ± 0.355.2 ± 0.532.4 ± 0.665.8 ± 0.983.8 ± 1.476.2 ± 0.211.9 ± 1.025.5 ± 0.53
Publisher’s Note: MDPI stays neutral with regard to jurisdictional claims in published maps and institutional affiliations.

Share and Cite

MDPI and ACS Style

Scordia, D.; Cosentino, S.L.; Mantineo, M.; Testa, G.; Patanè, C. Nitrogen Balance in a Sweet Sorghum Crop in a Mediterranean Environment. Agronomy 2021, 11, 1292. https://doi.org/10.3390/agronomy11071292

AMA Style

Scordia D, Cosentino SL, Mantineo M, Testa G, Patanè C. Nitrogen Balance in a Sweet Sorghum Crop in a Mediterranean Environment. Agronomy. 2021; 11(7):1292. https://doi.org/10.3390/agronomy11071292

Chicago/Turabian Style

Scordia, Danilo, Salvatore Luciano Cosentino, Mariadaniela Mantineo, Giorgio Testa, and Cristina Patanè. 2021. "Nitrogen Balance in a Sweet Sorghum Crop in a Mediterranean Environment" Agronomy 11, no. 7: 1292. https://doi.org/10.3390/agronomy11071292

APA Style

Scordia, D., Cosentino, S. L., Mantineo, M., Testa, G., & Patanè, C. (2021). Nitrogen Balance in a Sweet Sorghum Crop in a Mediterranean Environment. Agronomy, 11(7), 1292. https://doi.org/10.3390/agronomy11071292

Note that from the first issue of 2016, this journal uses article numbers instead of page numbers. See further details here.

Article Metrics

Back to TopTop