Next Article in Journal
Responses of Peppermint and Spearmint Crops to Excessive Biostimulant Application and Increased Salinity in a Closed Soilless Production System
Previous Article in Journal
Productivity of Paddies as Influenced by Varied Rates of Recommended Nutrients in Conjunction with Biofertilizers in Local Landraces
 
 
Font Type:
Arial Georgia Verdana
Font Size:
Aa Aa Aa
Line Spacing:
Column Width:
Background:
Article

An Evaluation of Growth Characteristics of Faba Bean Cultivars

1
School of Life and Environmental Sciences, The University of Sydney, Camden, NSW 2570, Australia
2
Queensland Department of Agriculture and Fisheries, Toowoomba, QLD 4350, Australia
*
Author to whom correspondence should be addressed.
Agronomy 2021, 11(6), 1166; https://doi.org/10.3390/agronomy11061166
Submission received: 6 May 2021 / Revised: 2 June 2021 / Accepted: 3 June 2021 / Published: 7 June 2021
(This article belongs to the Section Weed Science and Weed Management)

Abstract

Resistance to herbicides and the lack of new herbicide options have led researchers to explore alternate methods to manage weed populations in large-scale cropping systems. Crop competition is an effective weed management approach that can reduce the pressure on herbicides. Faba bean (Vicia faba L.) is an important winter legume crop in Australia. Crop traits such as, height, biomass, growth rate, tillering capacity, leaf area, and root growth have been suggested as indicators of the competitive ability of crops against weeds. Based on pot studies at Narrabri and Toowoomba, we assessed the growth traits (biomass, height, leaf area, relative growth rate, and branch number) of six faba bean cultivars and ranked them for their potential ability to compete with weeds. PBA Marne and PBA Zahra were identified as highly competitive faba bean cultivars based on their higher overall ranking score achieved at both locations. PBA Nasma and PBA Samira were ranked highly and moderately competitive at Narrabri and Toowoomba sites, respectively. At Narrabri, PBA Nanu was ranked poorly competitive based on its lower biomass, height, and leaf area than the other cultivars. The weed suppressive ability of these cultivars needs to be assessed in the presence of weeds under field conditions.

1. Introduction

Over the past four decades, conservation cropping systems based on reduced tillage and residue retention, have largely replaced intensive tillage-based systems in many agricultural regions globally, including Australia [1,2]. This shift in cropping systems was made possible through the availability of highly effective herbicides for in-crop and fallow weed control. However, the absence of alternate weed control methods suited to routine use in conservation cropping systems, has resulted in growers relying on herbicides. Consequently, this has led to the widespread evolution of herbicide resistance in several weed species that are prevalent in Australian cropping regions [3,4,5]. For instance, more than 70% of populations of annual ryegrass (Lolium rigidum L.) are herbicide resistant [6]. Herbicide resistance prevents effective use of herbicides and is therefore, a major threat to the sustainability of conservation cropping systems. For this reason, it is necessary to explore alternate weed control methods that can complement herbicide use to manage resistant weed populations.
Crop competition is an effective, non-chemical strategy used for suppressing weed growth and development. Crop competition can be increased using agronomic approaches such as increased sowing rates [7,8], reduced row spacing [9,10], altered sowing time [11,12] and selection of competitive crops and/or cultivars [13,14].
Faba bean (Vicia faba L. var. major), is a winter legume crop and in Australia, it is valued for its role as a break crop in rotations and its ability to improve soil fertility by establishing a symbiotic association with nitrogen-fixing bacteria [15,16]. Faba bean was first grown in Australia in the early 1980s and since then the total production has increased steadily from less than 0.1 million tons (Mt) in 1985 to 0.4 Mt in 2017 [17]. This crop has been traditionally grown in the Mediterranean climates of South Australia, Victoria, and Western Australia, but its area of production has now expanded into the northern grains region areas of Queensland and northern New South Wales. Faba bean is more competitive against weeds than other winter legumes such as chickpea and field peas [18,19,20]. However, this crop is still considered a poor competitor against weeds, owing to its slower initial growth and lack of early-season ground cover compared to cereals [14].
Crop cultivars and genotypes can differ in their competitiveness with weeds [21,22]. Plant traits such as increased crop height, early vigour, higher biomass, tillering capacity, leaf number and angle, leaf area, and branching/tiller production have been shown to be indicators of competitiveness against weeds [23,24]. Early biomass accumulation is an important trait that is directly related to the competitiveness of a crop against weeds [25]. Based on growth traits of six faba bean cultivars (PBA Nasma, PBA Samira, PBA Zahra, PBA Nanu, PBA Warda, PBA Marne), this study aims to identify the most competitive cultivars for the northern grains region of northern NSW and southeast Queensland.

2. Materials and Methods

Two pot experiments, one at the Leslie Research Centre Toowoomba, QLD (27°32′4.21″ S; 151°56′12.08″ E; 605 m a.s.l.) and the other at the I. A. Watson International Wheat Research Centre, Narrabri, NSW (30°16′15.38″ S 149°48′23.78″ E; 215 m a.s.l.) were conducted during the winter growing season (May to August) of 2018 to compare the growth and potential competitive ability of six commercial cultivars of faba bean. The climatic data (mean monthly, and daily minimum and maximum temperature) for both sites was obtained from nearby weather stations (Figure 1) [26]. At both sites, experiments were conducted in an outdoor bird-netted area to allow for comparisons of location effect. The six faba bean cultivars chosen for this study were PBA Marne, PBA Nanu, PBA Nasma, PBA Samira, PBA Warda and PBA Zahra (Table 1). These cultivars were selected following consultation with faba bean breeders and a review of a recommended variety guide for Australia [27].
To determine average seed weight of each cultivar three replicates of five hundred seed lots were weighed. The average weight (g) of 100 seed lots was then calculated for each cultivar. The seed of these cultivars was acquired from plant breeders (PBA Nasma, PBA Samira, PBA Zahra) or commercial seed suppliers (PBA Nanu, PBA Warda, PBA Marne).
At both sites, plants from each of the six cultivars were subjected to destructive harvests at four growth stages. At each site, there were 6 cultivars × 4 sampling times × 6 replicates (Table 2). At both locations similar procedures were used for planting, watering, and fertilizing pots. Faba bean plants (one in each pot) were established by planting a single seed at a depth of 3 cm in the centre of 30 cm diameter plastic pots filled with a commercial potting mix (UltraGrow, Centenary Landscaping Supplies, Darra, QLD, Australia). After planting, the pots were placed on benches in a bird netted area where they were watered regularly throughout the experiment to maintain them at or near field capacity. The timing of seedling emergence (when the cotyledons are fully emerged) was recorded. The growing plants were fertilized regularly with an aqueous solution of a commercial fertilizer (Yates Thrive® NPK 25:5:8.8 plus S 4.6, Mg 0.5, Fe 0.18, B 0.005, Cu 0.005, Zn 0.004, Mo 0.001).
At each sampling time plant height, branching, leaf area, and dry weight biomass were determined. The leaf area was measured using a leaf area meter LI-3100C (LI-COR Inc., Lincoln, NE, USA). Leaves of freshly harvested individual plants were separated from their stems by cutting them at the petiole and then passing them individually through a leaf area meter. After the completion of leaf area measurements, all leaves of individual plants along with their respective stems were placed in paper bags which were then oven-dried at 70 ± 2 °C for 72 h before dry weights were recorded.
The relative growth rate (RGR) is an indirect measure of resource acquisition with higher rates associated with increased weed suppression. RGR was calculated using the formula of Hunt [28].
RGR = ln (W2) − ln (W1)/(t2 − t1)
where W1 and W2 are plant dry weights at times t1 and t2, t is the time (in days), and the subscript refers to the sampling time.
The growing degree days (GDD) or thermal time for faba bean plants grown at both locations (Narrabri and Toowoomba) were calculated by using the formula:
GDD = Ave. daily temp.−Base Temp. = (max. + min.)/2 − Base temp
the base temperature for faba bean was taken as 0 °C [29].
In Toowoomba, the trial design was a randomized block design with six replicates while in Narrabri, the design was completely randomized with six replicates. As the trials at each location had different designs with large differences observed on same growth traits measured across two different sites, the data from each site were analysed separately. A one-way ANOVA was performed using Genstat 19th Edition on the data for all growth traits (biomass, height, leaf area, branch number) with cultivar the main effect and sample time the secondary parameter. Treatment mean comparisons were assessed based on Fisher’s Least Significant Differences (LSD) test at p = 0.05. The data for sampling times 1–3 did not show consistent and clear results for all the parameters measured. Further, to manage complex interactions amongst different traits and sampling times, one-way ANOVA was performed separately on the data for final sampling time (4th) for each site. The data for 4th sampling time is presented here. Tukey’s HSD was used for multiple pairwise comparisons among means.
The sampling times 1 and 2 typically represent early growth stages (BBCH code 20 and 22, respectively) while 3 and 4 correspond to late growth (code 30) and flowering stages (code 50) of the faba bean (Table 2; Figure 1) [30].
For each trait, a percentage score and a colour code was assigned to each cultivar based on the relative value for each trait. A score of 100% was assigned to top rated cultivar and percentage score was calculated based on this for rest of cultivars. To visually capture the performance of the cultivars, one table for each site was developed and individual cells coloured to indicate likely competitiveness.

3. Results

3.1. Dry Weight Biomass

In Narrabri, all long season cultivars (PBA Marne, PBA Zahra, PBA Samira) and one short season cultivar (PBA Nasma) produced greater (p < 0.001) biomass than PBA Nanu (Table 3 and Table 4). All of these cultivars produced 40% more biomass than PBA Nanu. PBA Nasma produced 27% greater biomass compared to PBA Warda. In Toowoomba, there was no difference in the biomass production of the six cultivars (Table 3 and Table 4; Figure 2). PBA Nanu, a short season cultivar recommended for northern NSW and southern QLD performed better in Toowoomba (southern QLD), producing about 2.5 times more biomass as compared to Narrabri (northern NSW). Similarly, all other cultivars performed better at Toowoomba as compared to Narrabri. Overall, the average biomass of all cultivars grown in Toowoomba was 36% greater than those grown in Narrabri.

3.2. Plant Height

In Narrabri, PBA Nasma grew 31% and 11% taller than PBA Nanu and PBA Zahra. PBA Marne, PBA Nasma, PBA Zahra, and PBA Samira all grew on average 27% taller (p < 0.003; Table 4) than PBA Nanu (Table 5). In Toowoomba, PBA Nasma, PBA Samira and PBA Warda grew on average 23% taller than PBA Nanu (Table 4). Overall, the height of all cultivars grown in Toowoomba was 25% greater than those grown in Narrabri.

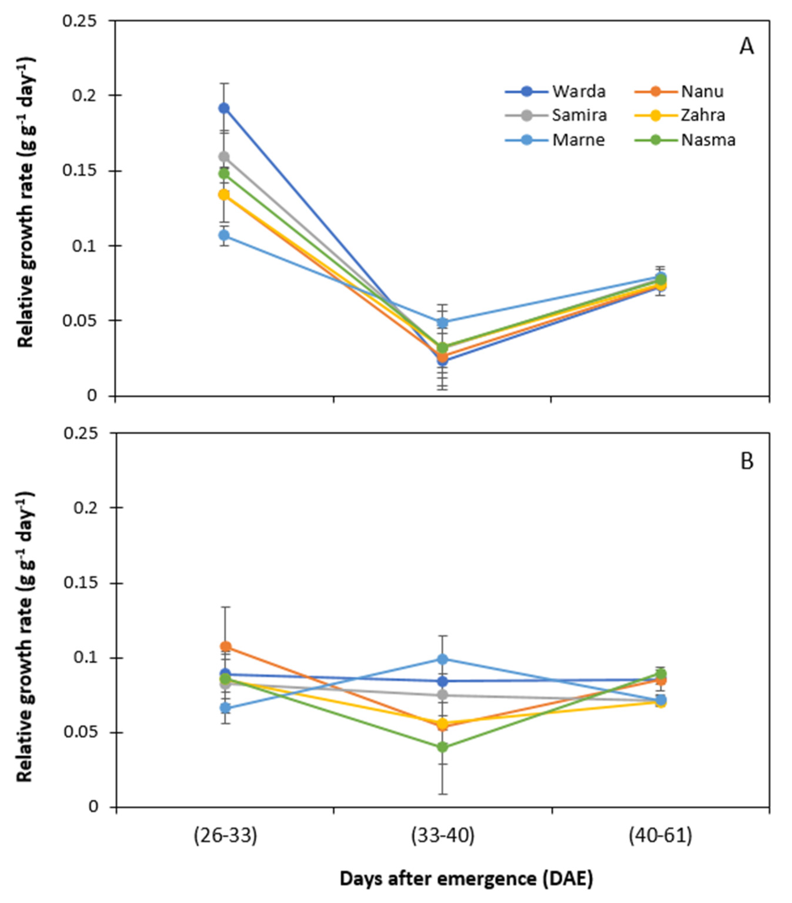
3.3. Relative Growth Rate

There was an interaction (p = 0.024) between cultivar and sampling time at the Narrabri site. The relative growth rate declined with age for all cultivars at this site (Figure 3A). The RGR of all cultivars was on average 35% higher at sampling time 2 (26–33 DAE) compared to sampling time 3 (33–40 DAE) and 4 (40–61 DAE). At Toowoomba, the RGR did not change over the life of the study and there was no difference in the RGR of individual cultivars at any of the sampling times. Further, there was no difference (p > 0.05) in RGR between sampling times (Figure 3B).

3.4. Leaf Area

The leaf area of each cultivar grown in Narrabri was smaller than those grown in Toowoomba (Table 6). On average, leaf area in Toowoomba was 38% greater than in Narrabri. However, cultivars performed differently across sites. For Narrabri, cultivar PBA Nanu had the least leaf area, on average 52% less (p < 0.001; Table 4) rest of cultivars. The leaf area of PBA Marne was 24% higher than PBA Warda. In Toowoomba, the leaf area of Zhara, was the highest and 15% greater (p < 0.001) than PBA Samira.

3.5. Branch Count

Branching on faba bean cultivars was consistent across sites with no differences observed between Narrabri and Toowoomba (Table 7). At Narrabri, there was no difference in number of branches per plant produced by all six cultivars (Table 7). At Toowoomba, PBA Marne produced highest number of branches per plant and on average 34% greater (p < 0.01; Table 4) than PBA Warda, PBA Samira, and PBA Nasma (Table 7).

3.6. Overall Ranking

At Toowoomba, the cultivars with the highest overall rankings for measured growth traits were PBA Zahra and PBA Marne (Table 8). PBA Warda, despite having good values, was heavily penalized by the smaller number of branches. PBA Warda, PBA Nasma, PBA Nanu and PBA Samira were all ranked as moderately competitive. PBA Zahra and PBA Marne are longer growing season cultivars and they performed better than all shorter season cultivars (PBA Warda, PBA Nasma, PBA Nanu) tested in this study. For Narrabri, the cultivars with the highest overall rankings for measured growth factors were PBA Marne, PBA Zahra, PBA Nasma and PBA Samira (Table 9). PBA Warda and PBA Nanu were ranked as moderately and poorly competitive, respectively. PBA Samira, a benchmark longer season cultivar, was ranked highly competitive at Narrabri.
There were consistencies between the two sites with PBA Zahra and PBA Marne being ranked highly competitive based on measured growth traits. Our results suggest PBA Zahra and PBA Marne may be more competitive against weeds at a range of environments based on results obtained at both Narrabri and Toowoomba.

4. Discussion

Based on measured growth traits, we found consistencies between the two locations with PBA Zahra and PBA Marne both being ranked highly and suggested to be highly competitive (Table 8 and Table 9). Both PBA Zahra and PBA Marne had greater biomass, more branches and greater leaf area than other cultivars, and all of these traits have been suggested to be correlated with competitive ability [31,32,33]. At both locations, PBA Nasma was ranked highest in terms of plant height, and based on overall traits score, this cultivar was ranked highly competitive at Narrabri. Tall genotypes of field pea (Pisum sativum L.) have reported to suppress the growth of annual ryegrass by 35% more than medium and short statured genotypes [14]. Aqtbouz and colleagues [34] evaluated the competitive ability of sixty landraces of Moroccan faba bean against a model weed, Sinapis alba L. The investigators found several landraces exhibiting high levels of weed tolerance and suppression. Likewise, the competitive ability of heterozygous faba bean genotypes was greater compared to inbred lines. The inbred lines suffered on average 30% more yield losses compared to heterozygous lines [35].
Both PBA Zahra and PBA Marne are longer season cultivars recommended for more southern environments (South Australia, Victoria and Southern NSW) while PBA Nanu and PBA Warda are shorter season cultivar adapted to the northern Australian grains region (Northern NSW and southern QLD). Despite being long season cultivars, both PBA Zahra and PBA Marne have shown better growth than most of the short season cultivars (PBA Nanu and PBA Warda). It is likely that these long season cultivars may be suitable for the northern region, but this needs to be confirmed under field conditions. Further, this points to the potential opportunities for breeding more competitive faba bean cultivars suited to the northern environment. With the increasing reports of herbicide-resistant weed populations and potential impacts of herbicides on human health and environment, interest in breeding weed suppressive cultivars of crops is growing among research groups worldwide [24,36], with some commercial weed suppressive cultivars of crops (e.g., rice) available in the market [37].
The trait superiority of PBA Zahra, PBA Marne and PBA Nasma may also be due to their average larger seed weight (>60g/100-seed, Table 10) as compared to the rest of the cultivars tested. Our predictions for these faba bean cultivars agree with the findings of Place and colleagues [38] who compared the competitive ability of twenty-one soybean (Glycine max L.) genotypes with varying seed weight (6.2–24.9 g) against weeds and found that overall genotypes with large seed weight were positively correlated with weed suppression and soybean biomass accumulation. However, a range of characteristics, rather than a single trait are responsible for the competitive ability of crop cultivars in agroecosystems [23]. To test if the competitive ability could be predicted from plant traits, Gaudet and Keddy [31] studied the traits of 44 wetland plants and found a strong predictive relationship between plant biomass, height, and canopy and weed suppression.
There were consistencies between the Narrabri and Toowoomba sites with PBA Zahra and PBA Marne both being ranked highly for measured growth factors. Nevertheless, there were some inconsistencies across both sites with PBA Nasma, PBA Warda and PBA Samira ranked lower at Toowoomba compared to the Narrabri site. The cultivar PBA Nanu was considered poorly competitive at Narrabri based on the lowest overall ranking score achieved, however it ranked higher in Toowoomba. These inconsistencies across two sites may be due to climatic differences between the two sites (Figure 1).
Rapid early growth is an important trait associated strongly to the competitive ability of a species [39]. In our study, no differences were observed among early biomass accumulation as assessed by comparing the relative growth rate values of all six varieties tested at Toowoomba. However, there was a significant cultivar × sampling time interaction found at Narrabri site. The higher relative growth rate of faba bean cultivars at early growth stages indicate their competitiveness at Narrabri.
Overall, plants of all cultivars at the Toowoomba site grew taller, produced more biomass and leaf area compared to the Narrabri site. These differences in growth traits across sites could have been due to differences in growing degree days (GDD), with Toowoomba site recording 135 more GDD than Narrabri (Table 2). In agroecosystems, the competitive advantage of crop cultivars may not just be due to specific trait superiority but may also be influenced by the environment × genotype interactions [40]. In a study conducted across multiple sites in southeastern Australia, Lemerle and colleagues [40] evaluated twelve competitive wheat genotypes for their weed suppressive ability. They found a significant genotype × environment interaction. No single wheat cultivar produced the highest level of annual ryegrass (Lolium rigidum) suppression at all sites suggesting local adaptation is important for a crop or cultivar competitiveness.
To confirm the suppressive ability and tolerance against weeds, these faba bean cultivars should be grown and assessed in the presence of weeds in field where other interacting biotic and abiotic factors are also present. Nevertheless, this pot-scale study, based on the ranking of different growth traits of cultivars at two locations, indicates the most competitive cultivars, PBA Zahra and PBA Marne would likely retain their trait-based competitive superiority in the field against weeds.

5. Conclusions

Crop competition is an effective and affordable weed control strategy that growers need consider in Australian cropping systems. Marne and Zahra are promoted as being highly competitive cultivars based on their growth traits.

Author Contributions

Conceptualization, M.W. and A.S.; methodology, M.W. and A.S.; formal analysis, A.S.; investigation, A.S. and M.W.; resources, M.J.W.; data curation, A.S. and M.W.; writing—original draft preparation, A.S.; writing—review and editing, A.S., M.J.W. and M.W.; supervision, M.W. and M.J.W.; project administration, M.J.W.; funding acquisition, M.J.W. and M.W. All authors have read and agreed to the published version of the manuscript.

Funding

This research was funded by Grains Research Development Cooperation, grant number GRDC US00084.

Institutional Review Board Statement

Not applicable.

Informed Consent Statement

Not applicable.

Data Availability Statement

Data available on request.

Acknowledgments

The authors appreciate Kerry Bell and Olusegun Osunkoya for their help provided with regards to the statistical analysis of the research. The authors would like to thank Annie Ruttledge, Greg Harvey, and Linda Heuke for help with the maintenance of pot trials. We are also grateful to Kedar Adhikari and Abdus Sadeque for the provision of faba bean cultivars seed and their expert opinion in the selection of some of the cultivars for this study. Feedback provided by Rebecca Thistlethwaite on an earlier version of this manuscript is highly appreciated.

Conflicts of Interest

The authors declare no conflict of interest.

References

  1. Kassam, A.; Friedrich, T.; Derpsch, R. Global spread of Conservation Agriculture. Int. J. Environ. Stud. 2019, 76, 29–51. [Google Scholar] [CrossRef]
  2. Llewellyn, R.S.; D’Emden, F.H.; Kuehne, G. Extensive use of no-tillage in grain growing regions of Australia. Field Crop. Res. 2012, 132, 204–212. [Google Scholar] [CrossRef]
  3. Boutsalis, P.; Gill, G.; Preston, C. Incidence of Herbicide Resistance in Rigid Ryegrass (Lolium rigidum) across Southeastern Australia. Weed Tech. 2012, 26, 391–398. [Google Scholar] [CrossRef]
  4. Owen, M.J.; Martinez, N.J.; Powles, S.B. Multiple herbicide-resistant Lolium rigidum (annual ryegrass) now dominates across the Western Australian grain belt. Weed Res. 2014, 54, 314–324. [Google Scholar] [CrossRef]
  5. Werth, J.; Thornby, D.; Walker, S. Assessing weeds at risk of evolving glyphosate resistance in Australian sub-tropical glyphosate-resistant cotton systems. Crop Pasture Sci. 2011, 62, 1002–1009. [Google Scholar] [CrossRef]
  6. Broster, J.C.; Pratley, J.E.; Ip, R.H.L.; Ang, L.; Seng, K.P. A quarter of a century of monitoring herbicide resistance in Lolium rigidum in Australia. Crop Pasture Sci. 2019, 70, 283–293. [Google Scholar] [CrossRef]
  7. Koscelny, J.A.; Peeper, T.F.; Solie, J.B.; Solomon, S.G. Effect of Wheat (Triticum aestivum) Row Spacing, Seeding Rate, and Cultivar on Yield Loss from Cheat (Bromus secalinus). Weed Tech. 1990, 4, 487–492. [Google Scholar] [CrossRef]
  8. Kristensen, L.; Olsen, J.; Weiner, J. Crop Density, Sowing Pattern, and Nitrogen Fertilization Effects on Weed Suppression and Yield in Spring Wheat. Weed Sci. 2017, 56, 97–102. [Google Scholar] [CrossRef]
  9. Bradley, K. A Review of the Effects of Row Spacing on Weed Management in Corn and Soybean. Crop Manag. 2006, 5, 1–10. [Google Scholar] [CrossRef]
  10. Chauhan, B.S.; Florentine, S.K.; Ferguson, J.C.; Chechetto, R.G. Implications of narrow crop row spacing in managing weeds in mungbean (Vigna radiata). Crop Prot. 2017, 95, 116–119. [Google Scholar] [CrossRef]
  11. Buhler, D.D.; Jeffery, L.G. Effect of Date of Preplant Tillage and Planting on Weed Populations and Mechanical Weed Control in Soybean (Glycine max). Weed Sci. 1996, 44, 373–379. [Google Scholar] [CrossRef]
  12. Martin, M.W., II. Planting Date Influences Critical Period of Weed Control in Sweet Corn. Weed Sci. 2006, 54, 928–933. [Google Scholar]
  13. Lowry, C.J.; Smith, R.G. Chapter 5—Weed Control through Crop Plant Manipulations. In Non-Chemical Weed Control; Jabran, K., Chauhan, B.S., Eds.; Academic Press: Cambridge, MA, USA, 2018; pp. 73–96. [Google Scholar]
  14. McDonald, G. Competitiveness against grass weeds in field pea genotypes. Weed Res. 2003, 43, 48–58. [Google Scholar] [CrossRef]
  15. Rochester, I.J.; Peoples, M.B.; Constable, G.A.; Gault, R.R. Faba beans and other legumes add nitrogen to irrigated cotton cropping systems. Aust. J. Exp. Agric. 1998, 38, 253–260. [Google Scholar] [CrossRef]
  16. Sulas, L.; Roggero, P.P.; Canu, S.; Seddaiu, G. Potential Nitrogen Source from Field Bean for Rainfed Mediterranean Cropping Systems. Agro. J. 2013, 105, 1735. [Google Scholar] [CrossRef]
  17. Alharbi, N.H.; Adhikari, K.N. Factors of yield determination in faba bean (Vicia faba). Crop Pasture Sci. 2020, 71, 305–321. [Google Scholar] [CrossRef]
  18. Avola, G.; Tuttobene, R.; Gresta, F.; Abbate, V. Weed control strategies for grain legumes. Agron. Sustain. Dev. 2008, 28, 389–398. [Google Scholar] [CrossRef]
  19. Frenda, A.S.; Ruisi, P.; Saia, S.; Frangipane, B.; Di Miceli, G.; Amato, G.; Giambalvo, D. The Critical Period of Weed Control in Faba Bean and Chickpea in Mediterranean Areas. Weed Sci. 2017, 61, 452–459. [Google Scholar] [CrossRef]
  20. Storkey, J.; Döring, T.F.; Baddeley, J.; Marshall, A.; Roderick, S.; Jones, H. Modelling the ability of legumes to suppress weeds. Asp. Appl. Biol. 2011, 109, 53–58. [Google Scholar]
  21. Fargione, J.; Tilman, D. Plant species traits and capacity for resource reduction predict yield and abundance under competition in nitrogen-limited grassland. Fun. Ecol. 2006, 20, 533–540. [Google Scholar] [CrossRef]
  22. Jordan, N. Prospects for Weed Control Through Crop Interference. Ecol. Appl. 1993, 3, 84–91. [Google Scholar] [CrossRef] [PubMed]
  23. Korres, N.E. Chapter 6—Agronomic Weed Control: A Trustworthy Approach for Sustainable Weed Management. In Non-Chemical Weed Control; Jabran, K., Chauhan, B.S., Eds.; Academic Press: Cambridge, MA, USA, 2018; pp. 97–114. [Google Scholar]
  24. Worthington, M.; Reberg-Horton, C. Breeding Cereal Crops for Enhanced Weed Suppression: Optimizing Allelopathy and Competitive Ability. J. Chem. Ecol. 2013, 39, 213–231. [Google Scholar] [CrossRef] [PubMed]
  25. Lemerle, D.; Verbeek, B.; Cousens, R.D.; Coombes, N.E. The potential for selecting wheat varieties strongly competitive against weeds. Weed Res. 1996, 36, 505–513. [Google Scholar] [CrossRef]
  26. BOM. Bureau of Meteorology Average Annual, Seasonal and Monthly Rainfall. 2020. Available online: http://www.bom.gov.au/jsp/ncc/climate_averages/rainfall/index.jsp (accessed on 26 February 2020).
  27. Pulse Australia. Faba Bean and Broad Bean. 2019. Available online: http://www.pulseaus.com.au/growing-pulses/bmp/faba-and-broad-bean (accessed on 15 December 2019).
  28. Hunt, R. Basic Growth Analysis Plant Growth Analysis for Beginners, 1st ed.; Springer: Dordrecht, The Netherlands, 1990. [Google Scholar]
  29. Patrick, J.; Stoddard, F. Physiology of flowering and grain filling in faba bean. Field Crop. Res. 2010, 115, 234–242. [Google Scholar] [CrossRef]
  30. Weber, E.; Bleiholder, H. Explanations of the BBCH decimal codes for the growth stages of maize, rape, faba beans, sunflowers and peas-with illustrations. Gesunde Pflanz. 1990, 42, 308–321. [Google Scholar]
  31. Gaudet, C.L.; Keddy, P.A. A comparative approach to predicting competitive ability from plant traits. Nature 1988, 334, 242–243. [Google Scholar] [CrossRef]
  32. Mohler, C.L. Enhancing the competitive ability of crops. In Ecological Management of Agricultural Weeds; Mohler, C.L., Staver, C.P., Liebman, M., Eds.; Cambridge University Press: Cambridge, UK, 2001; pp. 269–321. [Google Scholar]
  33. Worthington, M.; Reberg-Horton, S.C.; Brown-Guedira, G.; Jordan, D.; Weisz, R.; Murphy, J.P. Relative Contributions of Allelopathy and Competitive Traits to the Weed Suppressive Ability of Winter Wheat Lines Against Italian Ryegrass. Crop Sci. 2015, 55, 57–64. [Google Scholar] [CrossRef]
  34. Aqtbouz, N.; Link, W.; Belqadi, L.; Ghaouti, L. Genetic Diversity among North African Faba Bean Landraces for Competitive Ability against Weeds. J. Kult. 2018, 70, 145–157. [Google Scholar]
  35. Ghaouti, L.; Schierholt, A.; Link, W. Effect of competition between Vicia faba and Camelina sativa as a model weed in breeding for organic conditions. Weed Res. 2016, 56, 159–167. [Google Scholar] [CrossRef]
  36. Shrestha, S.; Sharma, G.; Burgos, N.R.; Tseng, T.-M. Competitive ability of weedy rice: Toward breeding weed-suppressive rice cultivars. J. Crop Imp. 2020, 34, 455–469. [Google Scholar] [CrossRef]
  37. Kong, C.H.; Chen, X.H.; Hu, F.; Zhang, S.Z. Breeding of commercially acceptable allelopathic rice cultivars in China. Pest Manag. Sci. 2011, 67, 1100–1106. [Google Scholar] [CrossRef] [PubMed]
  38. Place, G.T.; Reberg-Horton, S.C.; Dickey, D.A.; Carter, T.E., Jr. Identifying Soybean Traits of Interest for Weed Competition. Crop Sci. 2011, 51, 2642–2654. [Google Scholar] [CrossRef]
  39. Bastiaans, L.; Kropff, M.J.; Kempuchetty, N.; Rajan, A.; Migo, T.R. Can simulation models help design rice cultivars that are more competitive against weeds? Field Crop. Res. 1997, 51, 101–111. [Google Scholar] [CrossRef]
  40. Lemerle, D.; Verbeek, B.; Orchard, B. Ranking the ability of wheat varieties to compete with Lolium rigidum. Weed Res. 2001, 41, 197–209. [Google Scholar] [CrossRef]
Figure 1. The mean monthly minimum and maximum temperatures (°C) of Narrabri (N), NSW and Toowoomba (T), Queensland sites recorded from the nearest weather station [26].
Figure 1. The mean monthly minimum and maximum temperatures (°C) of Narrabri (N), NSW and Toowoomba (T), Queensland sites recorded from the nearest weather station [26].
Agronomy 11 01166 g001
Figure 2. Growth comparison of cultivars PBA Nanu (top) and PBA Zahra (bottom) at four different sampling times at Toowoomba, QLD site. (DAE = Days after emergence).
Figure 2. Growth comparison of cultivars PBA Nanu (top) and PBA Zahra (bottom) at four different sampling times at Toowoomba, QLD site. (DAE = Days after emergence).
Agronomy 11 01166 g002
Figure 3. The relative growth rate (RGR) over time, days after emergence (DAE) of six cultivars of faba bean grown at Narrabri, NSW (A) and Toowoomba, QLD (B) in 2018 (LSD Narrabri: 0.035; Toowoomba: 0.046).
Figure 3. The relative growth rate (RGR) over time, days after emergence (DAE) of six cultivars of faba bean grown at Narrabri, NSW (A) and Toowoomba, QLD (B) in 2018 (LSD Narrabri: 0.035; Toowoomba: 0.046).
Agronomy 11 01166 g003
Table 1. Faba bean cultivars characteristics and source of seed used in pot studies conducted at Narrabri and Toowoomba.
Table 1. Faba bean cultivars characteristics and source of seed used in pot studies conducted at Narrabri and Toowoomba.
CultivarYear ReleasedMaturity (Season)Seed Source
PBA Warda2012earlytrial seed
PBA Nasma2015earlycommercial
PBA Samira2015latetrial seed
PBA Zahra2016mid to latetrial seed
PBA Nanu2018earlycommercial
PBA Marne2018mid to latetrial seed
Table 2. Operations, date performed, and accumulation of growing degrees days (GDD) for faba bean cultivar pot experiments at Toowoomba, QLD and Narrabri, NSW 2018.
Table 2. Operations, date performed, and accumulation of growing degrees days (GDD) for faba bean cultivar pot experiments at Toowoomba, QLD and Narrabri, NSW 2018.
OperationsGrowth Stage/BBCH CodeSite
ToowoombaGDD αNarrabriGDD
Planting date 30 May 30 May
Emergence date 14 June 13 June
Sampling time 1 early growth/2012 July (28) *361.39 July (26)322.4
Sampling time 2 early growth/2219 July (35)443.516 July (33)378.6
Sampling time 3 late growth/3026 July (42)534.723 July (40)453.6
Sampling time 4 flowering/5016 August (63)882.513 August (61)713.6
* Values in parentheses are the number of days after emergence (DAE); α GDD = growing degrees days.
Table 3. Dry biomass (g) of different faba bean cultivars grown in Narrabri and Toowoomba. Means with a different letter are significantly different at p-value (α = 0.05).
Table 3. Dry biomass (g) of different faba bean cultivars grown in Narrabri and Toowoomba. Means with a different letter are significantly different at p-value (α = 0.05).
CultivarBiomass (g)
NarrabriToowoomba
PBA Nanu6.22 a15.80 a
PBA Warda8.69 ab16.53 a
PBA Samira10.76 bc13.62 a
PBA Zahra10.93 bc16.26 a
PBA Marne11.14 bc15.89 a
PBA Nasma11.81 c14.37 a
LSD2.793.04
Table 4. Analysis of variance for 4 traits of faba bean cultivars tested at two locations.
Table 4. Analysis of variance for 4 traits of faba bean cultivars tested at two locations.
Traitsd.fNarrabriToowoomba
f-Valuesp-Valuesf-Valuesp-Values
Biomass (g)51.490.0013.830.332
Height (cm)51.460.0010.890.003
Leaf area (cm2)51.440.0012.370.499
Branch count50.670.5511.050.010
Table 5. Plant height (cm) of different faba bean cultivars grown in Narrabri and Toowoomba. Means with a different letter are significantly different at p-value (α = 0.05).
Table 5. Plant height (cm) of different faba bean cultivars grown in Narrabri and Toowoomba. Means with a different letter are significantly different at p-value (α = 0.05).
CultivarHeight (cm)
NarrabriToowoomba
PBA Nanu22.40 a28.75 a
PBA Warda26.43 ab36.67 cd
PBA Samira28.88 bc35.17 bcd
PBA Zahra28.07 b33.17 abc
PBA Marne28.75 bc30.83 ab
PBA Nasma32.35 c39.75 d
LSD3.985.33
Table 6. Leaf area (cm2) of different faba bean cultivars grown in Narrabri and Toowoomba. Means with a different letter are significantly different at p-value (α = 0.05).
Table 6. Leaf area (cm2) of different faba bean cultivars grown in Narrabri and Toowoomba. Means with a different letter are significantly different at p-value (α = 0.05).
CultivarLeaf Area (cm2)
NarrabriToowoomba
PBA Nanu694 a1819 ab
PBA Warda1115 b2011 ab
PBA Samira1347 bc1774 a
PBA Zahra1323 bc2086 b
PBA Marne1453 c1972 ab
PBA Nasma1213 bc1851 ab
LSD283.6293.7
Table 7. Branch number (plant−1) of different faba bean cultivars grown in Narrabri and Toowoomba. Means with a different letter are significantly different at p value (α = 0.05).
Table 7. Branch number (plant−1) of different faba bean cultivars grown in Narrabri and Toowoomba. Means with a different letter are significantly different at p value (α = 0.05).
CultivarBranch Number (plant−1)
NarrabriToowoomba
PBA Nanu5.00 a6.33 ab
PBA Warda5.00 a5.50 a
PBA Samira5.16 a5.33 a
PBA Zahra6.00 a7.83 b
PBA Marne5.83 a8.00 b
PBA Nasma5.16 a5.16 a
LSD1.421.53
Table 8. Comparison of growth measures of different faba bean cultivars grown in Toowoomba. For each trait, a percentage score and a colour code is assigned to each cultivar based on the relative value of trait attained. Cells are coloured to indicate likely competitiveness as follows <70 = red (poorly competitive), 71—80 = blue (moderately competitive), 81—90 = yellow (highly competitive), >90 = green (very highly competitive).
Table 8. Comparison of growth measures of different faba bean cultivars grown in Toowoomba. For each trait, a percentage score and a colour code is assigned to each cultivar based on the relative value of trait attained. Cells are coloured to indicate likely competitiveness as follows <70 = red (poorly competitive), 71—80 = blue (moderately competitive), 81—90 = yellow (highly competitive), >90 = green (very highly competitive).
Cultivarleaf Area (cm2)Branch NumberHeight (cm)Biomass (g)Average Score
PBA Nanu87.2070.7572.3395.5882.0
PBA Warda96.4068.7592.25100.0089.0
PBA Samira85.0466.6388.4882.4081.0
PBA Zahra100.0091.6383.4598.3793.0
PBA Marne94.53100.0077.5696.1392.0
PBA Nasma88.7364.50100.0086.9385.0
Table 9. Comparison of growth measures of different faba bean cultivars grown in Narrabri. For each trait, a percentage score and a colour code is assigned to each cultivar based on the relative value of trait attained. Cells are coloured to indicate likely competitiveness as follows <70 = red (poorly competitive), 71—80 = blue (moderately competitive), 81—90 = yellow (highly competitive), >90 = green (very highly competitive).
Table 9. Comparison of growth measures of different faba bean cultivars grown in Narrabri. For each trait, a percentage score and a colour code is assigned to each cultivar based on the relative value of trait attained. Cells are coloured to indicate likely competitiveness as follows <70 = red (poorly competitive), 71—80 = blue (moderately competitive), 81—90 = yellow (highly competitive), >90 = green (very highly competitive).
CultivarLeaf Area (cm2)Branch NumberHeight (cm)Biomass (g)Overall Score
PBA Nanu47.7683.3369.2452.6763.0
PBA Warda76.7483.3381.7073.5879.0
PBA Samira92.7086.0089.2791.1190.0
PBA Zahra91.05100.0086.7792.5593.0
PBA Marne100.0097.1788.8794.3395.0
PBA Nasma83.4886.00100.00100.0092.0
Table 10. The seed weight (g) of six faba bean cultivars.
Table 10. The seed weight (g) of six faba bean cultivars.
CultivarSeed Weight (g/100 Seeds) *
PBA Warda 51.94 (±2.16) a
PBA Nasma74.87 (±3.01) e
PBA Samira56.06 (±1.35) c
PBA Zahra63.65 (±2.06) d
PBA Nanu54.27 (±5.32) b
PBA Marne62.08 (±1.36) d
* values shown in parentheses are standard errors for the three replicate samples. Values with a different letter are significantly different (p < 0.05); LSD = 8.87.
Publisher’s Note: MDPI stays neutral with regard to jurisdictional claims in published maps and institutional affiliations.

Share and Cite

MDPI and ACS Style

Shabbir, A.; Widderick, M.; Walsh, M.J. An Evaluation of Growth Characteristics of Faba Bean Cultivars. Agronomy 2021, 11, 1166. https://doi.org/10.3390/agronomy11061166

AMA Style

Shabbir A, Widderick M, Walsh MJ. An Evaluation of Growth Characteristics of Faba Bean Cultivars. Agronomy. 2021; 11(6):1166. https://doi.org/10.3390/agronomy11061166

Chicago/Turabian Style

Shabbir, Asad, Michael Widderick, and Michael J. Walsh. 2021. "An Evaluation of Growth Characteristics of Faba Bean Cultivars" Agronomy 11, no. 6: 1166. https://doi.org/10.3390/agronomy11061166

APA Style

Shabbir, A., Widderick, M., & Walsh, M. J. (2021). An Evaluation of Growth Characteristics of Faba Bean Cultivars. Agronomy, 11(6), 1166. https://doi.org/10.3390/agronomy11061166

Note that from the first issue of 2016, this journal uses article numbers instead of page numbers. See further details here.

Article Metrics

Back to TopTop