Crop Response to Leaf and Seed Applications of the Biostimulant ComCat® under Stress Conditions
Abstract
1. Introduction
2. Materials and Methods
2.1. Experimental Sites, Details, and Data Collection
2.1.1. Field Experiments with Maize and Mixed Maize–Mung Bean in Benin to Investigate the Effect of ComCat® under Nutrient Deficiency
2.1.2. Pot Experiments with Maize in Germany to Investigate the Effect of ComCat® under Drought Conditions
2.1.3. Pot Experiments with Maize in Germany to Investigate the Effect of ComCat® under Weed Competition
2.1.4. Pot Experiment with Winter Barley in Germany to Investigate the Effect of ComCat® under Herbicide Stress
2.2. Data Analysis
3. Results
3.1. Field Experiments with Maize and Mixed Maize–Mung Bean in Benin to Investigate the Effect of ComCat® under Nutrient Deficiency
3.2. Pot Experiment with Maize in Germany to Investigate the Effect of ComCat® under Drought Conditions
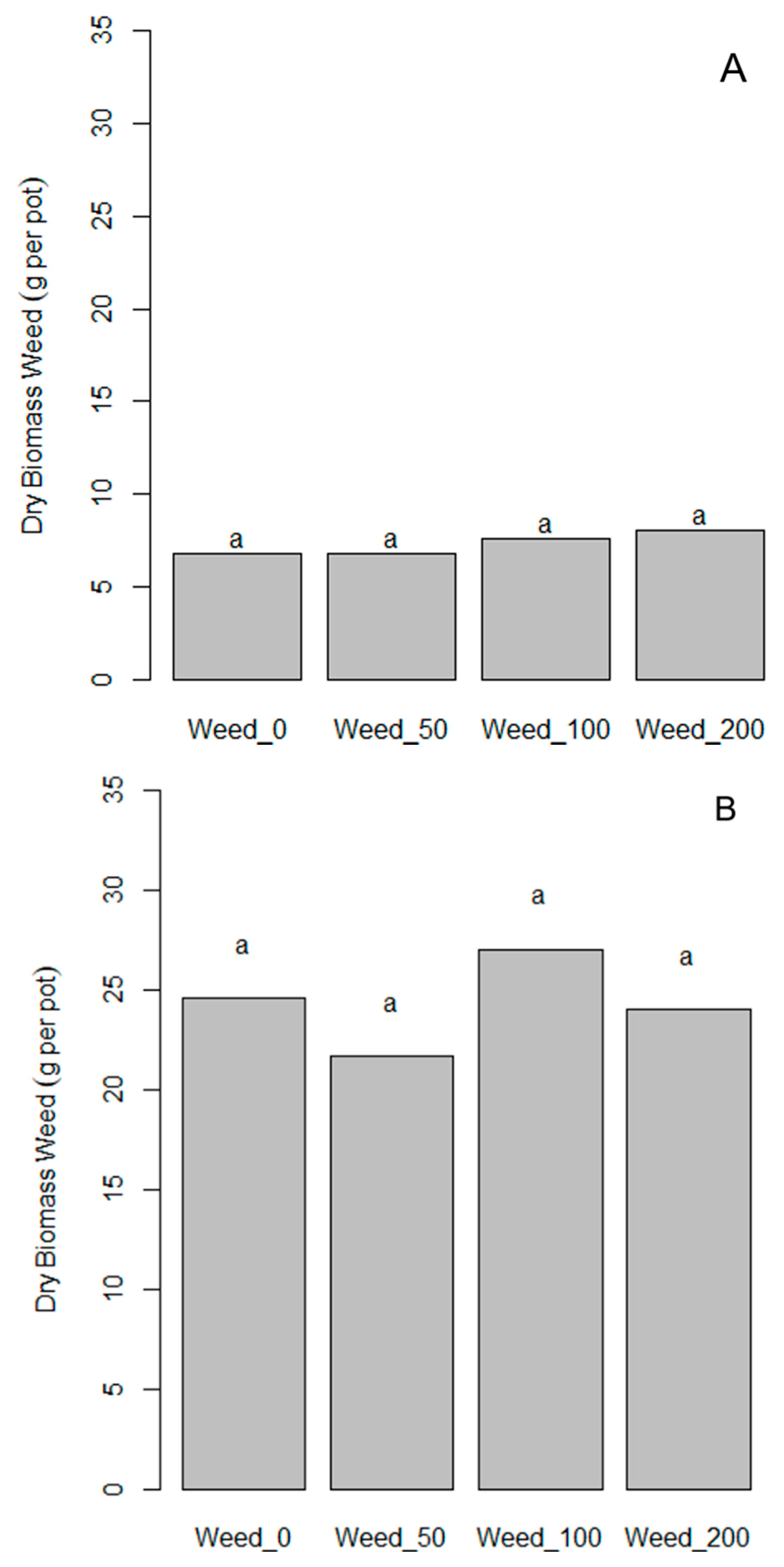
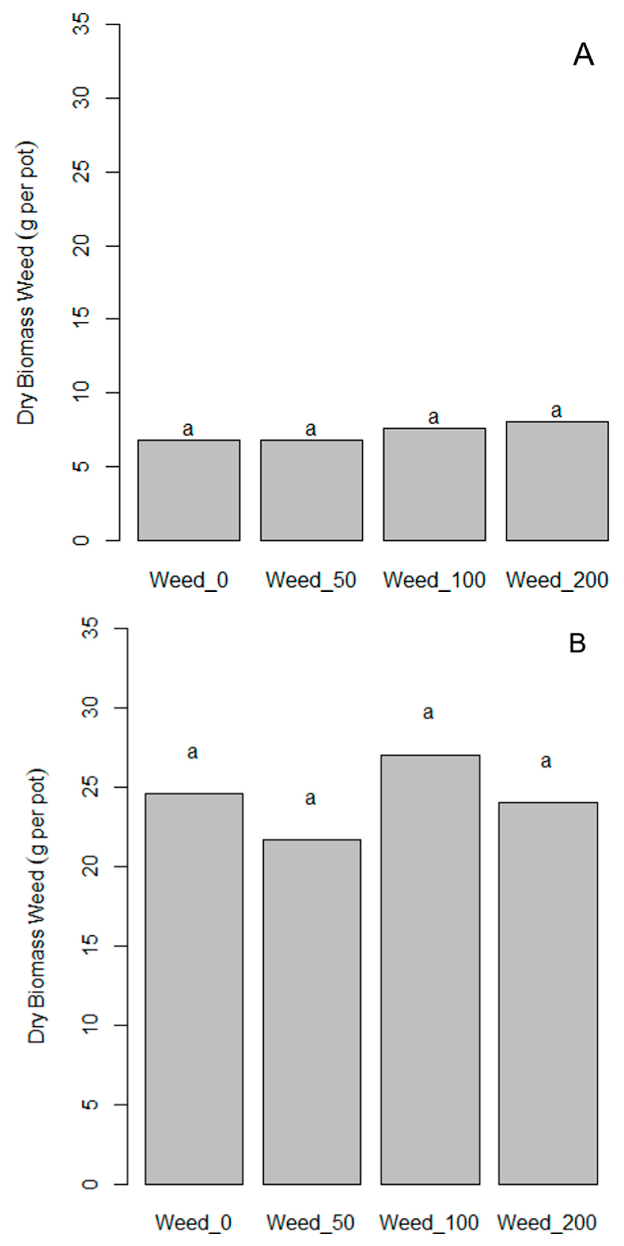
3.3. Pot Experiment with Maize in Germany to Investigate the Effect of ComCat® under Weed Competition
3.4. Pot Experiment with Winter Barley in Germany to Investigate the Effect of ComCat® under Herbicide Stress
4. Discussion
5. Conclusions
Author Contributions
Funding
Institutional Review Board Statement
Informed Consent Statement
Acknowledgments
Conflicts of Interest
References
- Farooq, M.; Wahid, A.; Kobayashi, N.; Fujita, D.; Basra, S.M.A. Plant drought stress: Effects, mechanisms and management. Agron. Sustain. 2009, 29, 185–212. [Google Scholar] [CrossRef]
- Oerke, E.-C. Crop Losses to Pests. J. Agric. Sci. 2006, 144, 31–43. [Google Scholar] [CrossRef]
- Verma, A. Abiotic Stress and Crop Improvement: Current Scenario. Adv. Plants Agric. Res. 2016, 4, 345–346. [Google Scholar]
- Pylak, M.; Oszust, K.; Frąc, M. Review report on the role of bioproducts, biopreparations, biostimulants and microbial inoculants in organic production of fruit. Rev. Environ. Sci. Biotechnol. 2019, 18, 597–616. [Google Scholar] [CrossRef]
- Le Mire, G.; Nguyen, M.L.; Fassotte, B.; du Jardin, P.; Verheggen, F.; Delaplace, P.; Jijakli, M.H. Review: Implementing Plant Biostimulants and Biocontrol Strategies in the Agroecological Management of Cultivated Ecosystems. Biotechnol. Agron. Soc. Environ. 2016, 20, 1–15. Available online: https://www.researchgate.net/publication/284168919 (accessed on 15 January 2021).
- Bulgari, R.; Franzoni, G.; Ferrante, A. Biostimulants Application in Horticultural Cropsunder Abiotic Stress Conditions. Agronomy 2019, 9, 306. [Google Scholar] [CrossRef]
- Desfontaines, L.; Rotin, P.; Ozier-Lafontaine, H. Les Biostimulants: Qu’en savons-nous? Quelles alternatives pour l’agriculture Guyanaise? Innov. Agron. 2018, 64, 31–46. [Google Scholar]
- Belz, R.G. Allelopathy in crop/weed interactions—An update. Pest Manag. Sci. 2007, 63, 308–326. [Google Scholar] [CrossRef]
- Kruidhof, H.M.; van Dam, N.M.; Ritz, C.; Lotz, L.A.P.; Kropff, M.J.; Bastiaans, L. Mechanical wounding under field conditions: A potential tool to increase the allelopathic inhibitory effect of cover crops on weeds? Eur. J. Agron. 2014, 52, 229–236. [Google Scholar] [CrossRef]
- Friebe, A.; Volz, A.; Schmidt, J.; Voigt, B.; Adam, G.; Schnabl, H. 24-Epi-secasterone and 24-epi-castasterone from Lychnis viscaria seeds. Phytochemistry 1999, 52, 1607–1610. [Google Scholar] [CrossRef]
- Volz, A. Isolierung und Identifizierung aktiver Verbindungen aus Lychnis viscaria. Ph.D. Thesis, Rheinischen Friedrich-Wilhelms-Universität Bonn, Bonn, Germany, 2000. [Google Scholar]
- Clouse, S.D.; Sasse, J.M. BRASSINOSTEROIDS: Essential Regulators of Plant Growth and Development. Ann. Rev. Plant Physiol. Plant Mol. Biol. 1998, 49, 427–451. [Google Scholar] [CrossRef] [PubMed]
- AgraForUm. The Effect of Timed Applications of COMCAT on Vining Peas, Combining Peas and Spring Field Beans; Techn Report; PGRO Research Limited: Bomlitz, Germany, 2012; p. 5. [Google Scholar]
- Gajc-Wolska, J.; Spizewski, T.; Grabowska, A. The effect of seaweed extracts on the yield and quality parameters of Broccoli (Brassica oleracea var. cymosa L.) in open field production. Acta Hortic. 2013, 1009, 83–89. [Google Scholar] [CrossRef]
- Sharma, H.S.; Fleming, C.; Selby, C.; Rao, J.R.; Martin, T. Plant biostimulants: A review on the processing of macroalgae and use of extracts for crop management to reduce abiotic and biotic stresses. J. Appl. Phycol. 2014, 26, 465–490. [Google Scholar] [CrossRef]
- Nardi, S.; Carletti, P.; Pizzeghello, D.; Muscolo, A. Biological activities of humic substances. In Biophysico-Chemical Processes Involving Natural Nonliving Organic Matter in Environmental Systems; Senesi, N., Xing, B., Huang, P.M., Eds.; Wiley: Hoboken, NJ, USA, 2009; Volume 2, pp. 305–340. [Google Scholar]
- Heckman, J.R. Effect of an organic bio-stimulant on cabbage yield. J. Home Consum. Hortic. 1994, 1, 11–113. [Google Scholar]
- Petrozza, A.; Summerer, S.; Di Tommaso, G.; Di Tommaso, D.; Piaggesi, A. Evaluation of the effect of Radifarmw treatment on the morpho-physiological characteristics of root systems via image analysis. Acta Hortic. 2003, 1009, 149–153. [Google Scholar]
- Kaiser, Y.; Gerhards, R. Degradation and metabolism of fenoxaprop and mesosulfuron + iodosulfuron in multiple resistant blackgrass (Alopecurus myosuroides). Ges. Pflanzen 2015, 67, 109–117. [Google Scholar] [CrossRef]
- Coulibaly, K.; Gomgnimbou, A.P.K.; Traoré, M.; Nacro, H.B.; Sedogo, M.P. Effets des associations maïs-légumineuses sur le rendement du maïs (Zea mays L.) et la fertilité d’un sol ferrugineux tropical à l’Ouest du Burkina Faso. Afr. Sci. 2017, 13, 226–235. [Google Scholar]
- Diatta, A.A.; Abaye, O.; Thomason, W.E.; Lo Guèye, F.; Baldé, A.B.; Tine Vaughan, L.J.; Thompson, T.L. Effet de l’association du haricot mungo sur le rendement du mil dans le Bassin arachidier, Sénégal. Innov. Agron. INRAE 2019, 74, 69–81. [Google Scholar]
- Trail, P.; Abaye, O.; Thomason, W.E.; Thompson, T.L.; Gueye, F.; Diedhiou, I.; Diatta, M.B.; Faye, A. Evaluating Intercropping (Living Cover) and Mulching (Desiccated Cover) Practices for Increasing Millet Yields in Senegal. Agron. J. 2016, 108, 1742–1752. [Google Scholar] [CrossRef]
- Eilittä, M.; Sollenberger, L.E.; Littell, R.C.; Harrington, L.W. On-farm experiments with maize-mucuna systems in the Los Tuxtlas region of Veracruz, southern Mexico. II. Mucuna variety evaluation and subsequent maize grain yield. Exp. Agric. 2003, 39, 19. [Google Scholar] [CrossRef][Green Version]
- Kumar, S.M.; Reddy, C.G.; Phogat, M.; Korav, S. Role of bio-fertilizers towards sustainable agricultural development: A review. J. Pharmacogn. Phytochem. 2018, 7, 1915–1921. [Google Scholar]










Publisher’s Note: MDPI stays neutral with regard to jurisdictional claims in published maps and institutional affiliations. |
© 2021 by the authors. Licensee MDPI, Basel, Switzerland. This article is an open access article distributed under the terms and conditions of the Creative Commons Attribution (CC BY) license (https://creativecommons.org/licenses/by/4.0/).
Share and Cite
Gerhards, R.; Ouidoh, F.N.; Adjogboto, A.; Avohou, V.A.P.; Dossounon, B.L.S.; Adisso, A.K.D.; Heyn, A.; Messelhäuser, M.; Santel, H.-J.; Oebel, H. Crop Response to Leaf and Seed Applications of the Biostimulant ComCat® under Stress Conditions. Agronomy 2021, 11, 1161. https://doi.org/10.3390/agronomy11061161
Gerhards R, Ouidoh FN, Adjogboto A, Avohou VAP, Dossounon BLS, Adisso AKD, Heyn A, Messelhäuser M, Santel H-J, Oebel H. Crop Response to Leaf and Seed Applications of the Biostimulant ComCat® under Stress Conditions. Agronomy. 2021; 11(6):1161. https://doi.org/10.3390/agronomy11061161
Chicago/Turabian StyleGerhards, Roland, Fructueuse N. Ouidoh, André Adjogboto, Vodéa Armand Pascal Avohou, Berteulot Latus Sètondji Dossounon, Alexandra Koupamba Ditti Adisso, Alexandra Heyn, Miriam Messelhäuser, Hans-Joachim Santel, and Horst Oebel. 2021. "Crop Response to Leaf and Seed Applications of the Biostimulant ComCat® under Stress Conditions" Agronomy 11, no. 6: 1161. https://doi.org/10.3390/agronomy11061161
APA StyleGerhards, R., Ouidoh, F. N., Adjogboto, A., Avohou, V. A. P., Dossounon, B. L. S., Adisso, A. K. D., Heyn, A., Messelhäuser, M., Santel, H.-J., & Oebel, H. (2021). Crop Response to Leaf and Seed Applications of the Biostimulant ComCat® under Stress Conditions. Agronomy, 11(6), 1161. https://doi.org/10.3390/agronomy11061161

