Effects of Selenium and/or Arbuscular Mycorrhizal Fungal Inoculation on Strawberry Grown in Hydroponic Trial
Abstract
1. Introduction
2. Materials and Methods
2.1. Experimental Conditions
2.2. Mycorrhizal Colonization Measurement
2.3. Plant Growth and Physiological Parameters
2.4. Plant Nutrient Content
2.5. Fruit Quality
2.6. Statistical Methods
3. Results
3.1. Overall Effects of Se and Mycorrhizal Inoculation
3.2. Plant Growth and Physiology
3.3. Fruit Quality-Related Attributes
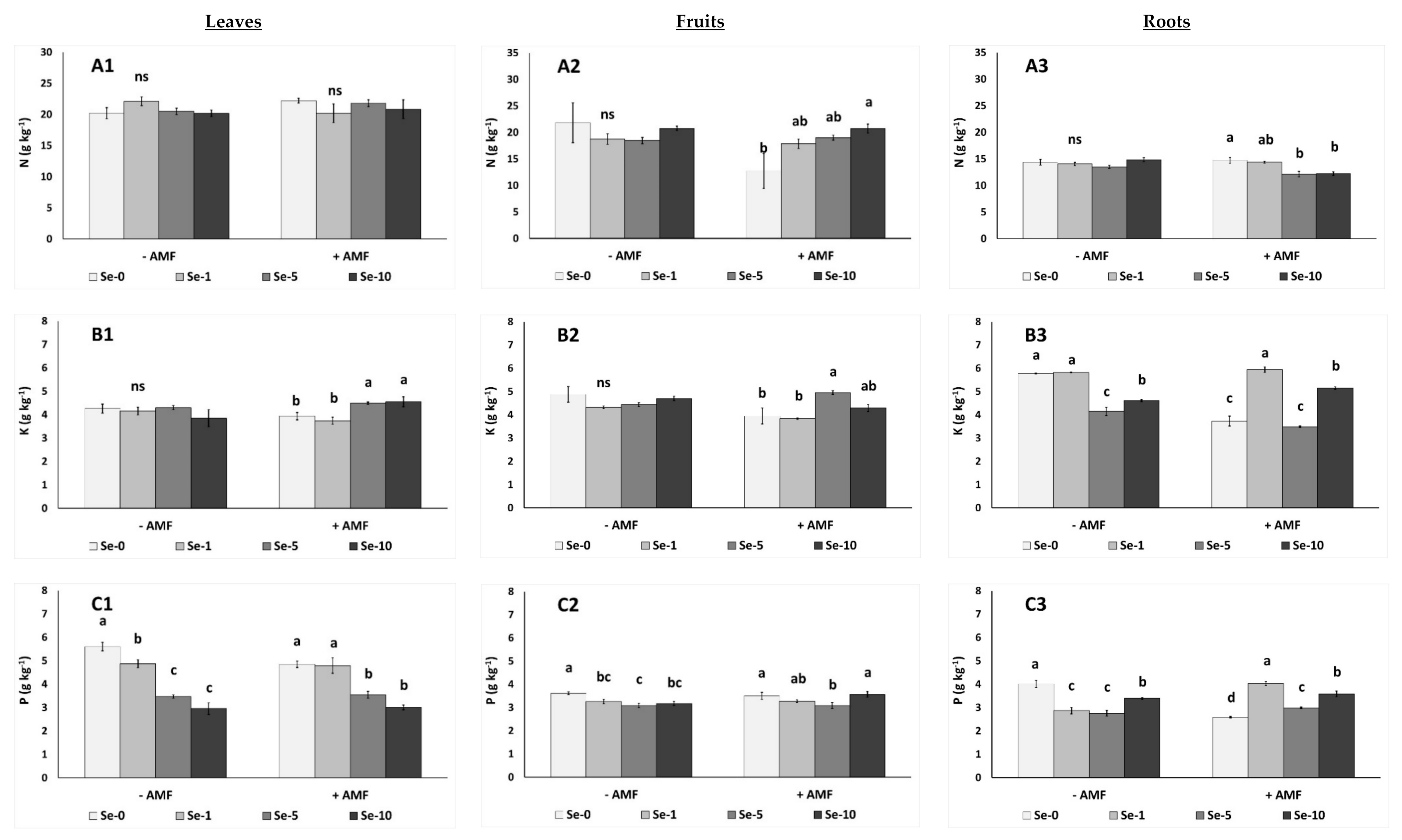
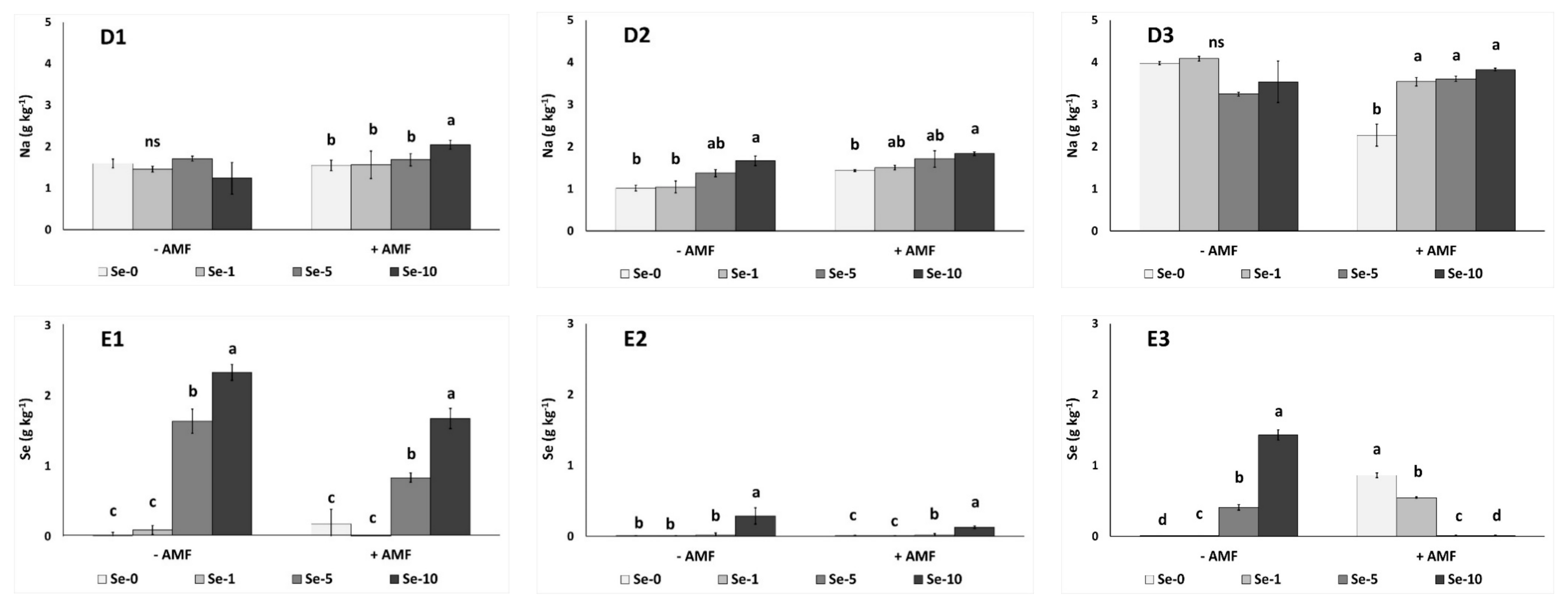
3.4. Nutrient Accumulation and Mycorrhizal Colonization
4. Discussion
5. Conclusions
Supplementary Materials
Author Contributions
Funding
Institutional Review Board Statement
Informed Consent Statement
Data Availability Statement
Conflicts of Interest
References
- Pérez, M.B.; Lipinski, V.M.; Filippini, M.F.; Chacón-Madrid, K.; Arruda, M.A.Z.; Wuilloud, R.G. Selenium biofortification on garlic growth and other nutrients accumulation. Hortic. Bras. 2019, 37, 294–301. [Google Scholar] [CrossRef]
- Bodnar, M.; Szczyglowska, M.; Konieczka, P.; Namiesnik, J. Methods of Selenium Supplementation: Bioavailability and Determination of Selenium Compounds. Crit. Rev. Food Sci. Nutr. 2016, 56, 36–55. [Google Scholar] [CrossRef] [PubMed]
- D’Amato, R.; Regni, L.; Falcinelli, B.; Mattioli, S.; Benincasa, P.; Dal Bosco, A.; Pacheco, P.; Proietti, P.; Troni, E.; Santi, C.; et al. Current Knowledge on Selenium Biofortification to Improve the Nutraceutical Profile of Food: A Comprehensive Review. J. Agric. Food Chem. 2020, 68, 4075–4097. [Google Scholar] [CrossRef]
- Da Silva, E.d.N.; Cidade, M.; Heerdt, G.; Ribessi, R.L.; Morgon, N.H.; Cadore, S. Effect of selenite and selenate application on mineral composition of lettuce plants cultivated under hydroponic conditions: Nutritional balance overview using a multifaceted study. J. Braz. Chem. Soc. 2018, 29, 371–379. [Google Scholar]
- Ellis, D.R.; Salt, D.E. Plants, selenium and human health. Curr. Opin. Plant Biol. 2003, 6, 273–279. [Google Scholar] [CrossRef]
- Sinha, R.; El-Bayoumy, K. Apoptosis is a Critical Cellular Event in Cancer Chemoprevention and Chemotherapy by Selenium Compounds. Curr. Cancer Drug Targets 2005, 4, 13–28. [Google Scholar] [CrossRef] [PubMed]
- Fairweather-Tait, S.J.; Bao, Y.; Broadley, M.R.; Collings, R.; Ford, D.; Hesketh, J.E.; Hurst, R. Selenium in human health and disease. Antioxidants Redox Signal. 2011, 14, 1337–1383. [Google Scholar] [CrossRef]
- Schiavon, M.; Dall’Acqua, S.; Mietto, A.; Pilon-Smits, E.A.H.; Sambo, P.; Masi, A.; Malagoli, M. Selenium fertilization alters the chemical composition and antioxidant constituents of tomato (Solanum lycopersicon L.). J. Agric. Food Chem. 2013, 61, 10542–10554. [Google Scholar] [CrossRef]
- USDA. USDA National Nutrient Database for Standard Reference; U.S. Department of Agriculture, Agricultural Research Service: Washington, DC, USA, 2012.
- Stone, C.A.; Kawai, K.; Kupka, R.; Fawzi, W.W. Role of selenium in HIV infection. Nutr. Rev. 2010, 68, 671–681. [Google Scholar] [CrossRef] [PubMed]
- Combs, G.F. Selenium in global food systems. Br. J. Nutr. 2001, 85, 517–547. [Google Scholar] [CrossRef]
- Lavu, R.V.S.; Du Laing, G.; Van De Wiele, T.; Pratti, V.L.; Willekens, K.; Vandecasteele, B.; Tack, F. Fertilizing soil with selenium fertilizers: Impact on concentration, speciation, and bioaccessibility of selenium in leek (Allium ampeloprasum). J. Agric. Food Chem. 2012, 60, 10930–10935. [Google Scholar] [CrossRef] [PubMed]
- Zhao, Y.; Wu, P.; Wang, Y.; Feng, H. Different approaches for selenium biofortification of pear-jujube (Zizyphus jujuba M. cv. Lizao) and associated effects on fruit quality. J. Food Agric. Environ. 2013, 11, 529–534. [Google Scholar]
- Xue, T.; Hartikainen, H.; Piironen, V. Antioxidative and growth-promoting effect of selenium on senescing lettuce. Plant Soil 2001, 237, 55–61. [Google Scholar] [CrossRef]
- Longchamp, M.; Castrec-Rouelle, M.; Biron, P.; Bariac, T. Variations in the accumulation, localization and rate of metabolization of selenium in mature Zea mays plants supplied with selenite or selenate. Food Chem. 2015, 182, 128–135. [Google Scholar] [CrossRef] [PubMed]
- Kuznetsov, V.V.; Kholodova, V.; Kuznetsov, V.; Yagodin, B. Selenium regulates the water status of plants exposed to drought. Dokl. Biol. Sci. 2003, 390, 266–268. [Google Scholar] [CrossRef] [PubMed]
- Funes-Collado, V.; Morell-Garcia, A.; Rubio, R.; López-Sánchez, J.F. Study of selenocompounds from selenium-enriched culture of edible sprouts. Food Chem. 2013, 141, 3738–3743. [Google Scholar] [CrossRef]
- Achibat, H.; AlOmari, N.A.; Messina, F.; Sancineto, L.; Khouili, M.; Santi, C. Organoselenium compounds as phytochemicals from the natural Kingdom. Nat. Prod. Commun. 2015, 10, 1885–1892. [Google Scholar] [CrossRef] [PubMed]
- D’Amato, R.; De Feudis, M.; Guiducci, M.; Businelli, D. Zea mays L. Grain: Increase in Nutraceutical and Antioxidant Properties Due to Se Fortification in Low and High Water Regimes. J. Agric. Food Chem. 2019, 67, 7050–7059. [Google Scholar] [CrossRef]
- Ferrarese, M.; Sourestani, M.; Quattrini, E.; Schiavi, M.; Ferrante, A. Biofortification of spinach plants applying selenium in the nutrient solution of floating system. Veg. Crop. Res. Bull. 2012, 76, 127–136. [Google Scholar] [CrossRef]
- Schiavon, M.; Berto, C.; Malagoli, M.; Trentin, A.; Sambo, P.; Dall’Acqua, S.; Pilon-Smits, E.A.H. Selenium biofortification in radish enhances nutritional quality via accumulation of methyl-selenocysteine and promotion of transcripts and metabolites related to glucosinolates, phenolics amino acids. Front. Plant Sci. 2016, 7, 1371. [Google Scholar] [CrossRef]
- Bañuelos, G.S.; Arroyo, I.; Pickering, I.J.; Yang, S.I.; Freeman, J.L. Selenium biofortification of broccoli and carrots grown in soil amended with Se-enriched hyperaccumulator Stanleya pinnata. Food Chem. 2015, 166, 603–608. [Google Scholar] [CrossRef]
- Mimmo, T.; Tiziani, R.; Valentinuzzi, F.; Lucini, L.; Nicoletto, C.; Sambo, P.; Scampicchio, M.; Pii, Y.; Cesco, S. Selenium biofortification in Fragaria × ananassa: Implications on strawberry fruits quality, content of bioactive health beneficial compounds and metabolomic profile. Front. Plant Sci. 2017, 8, 1–12. [Google Scholar] [CrossRef]
- Golubkina, N.; Zamana, S.; Seredin, T.; Poluboyarinov, P.; Sokolov, S.; Baranova, H.; Krivenkov, L.; Pietrantonio, L.; Caruso, G. Effect of selenium biofortification and beneficial microorganism inoculation on yield, quality and antioxidant properties of shallot bulbs. Plants 2019, 8, 102. [Google Scholar] [CrossRef] [PubMed]
- Sanmartín, C.; Garmendia, I.; Romano, B.; Díaz, M.; Palop, J.A.; Goicoechea, N. Mycorrhizal inoculation affected growth, mineral composition, proteins and sugars in lettuces biofortified with organic or inorganic selenocompounds. Sci. Hortic. 2014, 180, 40–51. [Google Scholar] [CrossRef]
- Basiru, S.; Mwanza, H.P.; Hijri, M. Analysis of arbuscular mycorrhizal fungal inoculant benchmarks. Microorganisms 2021, 9, 1–18. [Google Scholar]
- Marinou, E.; Chrysargyris, A.; Tzortzakis, N. Use of sawdust, coco soil and pumice in hydroponically grown strawberry. Plant Soil Environ. 2013, 59, 452–459. [Google Scholar] [CrossRef]
- Tzortzakis, N. Influence of NaCl and calcium nitrate on lettuce and endive growth using nutrient film technique. Int. J. Veg. Sci. 2009, 15, 44–56. [Google Scholar] [CrossRef]
- Phillips, J.M.; Hayman, D.S. Improved procedures for clearing roots and staining parasitic and vesicular-arbuscular mycorrhizal fungi for rapid assessment of infection. Trans. Br. Mycol. Soc. 1970, 55, 158-IN18. [Google Scholar] [CrossRef]
- Richardson, A.D.; Duigan, S.P.; Berlyn, G.P.; Richardson, A.D. An evaluation of noninvasive methods to estimate foliar chlorophyll content. New Phytol. 2002, 153, 185–194. [Google Scholar] [CrossRef]
- Tzortzakis, N. Potassium and calcium enrichment alleviate salinity-induced stress in hydroponically grown endives. Hortic. Sci. 2010, 37, 155–162. [Google Scholar] [CrossRef]
- Chrysargyris, A.; Xylia, P.; Akinci, G.; Moustakas, K.; Tzortzakis, N. Printed Paper Waste as an Alternative Growing Medium Component to Produce Brassica Seedlings under Nursery Conditions. Sustainability 2020, 12, 5992. [Google Scholar] [CrossRef]
- Chrysargyris, A.; Antoniou, O.; Tzionis, A.; Prasad, M.; Tzortzakis, N. Alternative soilless media using olive-mill and paper waste for growing ornamental plants. Environ. Sci. Pollut. Res. 2018, 25, 35915–35927. [Google Scholar] [CrossRef] [PubMed]
- Benimeli, C.S.; Medina, A.; Navarro, C.M.; Medina, R.B.; Amoroso, M.J.; Gómez, M.I. Bioaccumulation of copper by Zea mays: Impact on root, shoot and leaf growth. Water Air Soil Pollut. 2010, 210, 365–370. [Google Scholar] [CrossRef]
- Amin, H.; Arain, B.A.; Jahangir, T.M.; Abbasi, A.R.; Mangi, J.; Abbasi, M.S.; Amin, F. Copper (Cu) tolerance and accumulation potential in four native plant species: A comparative study for effective phytoextraction technique. Geol. Ecol. Landscapes 2019, 5, 53–64. [Google Scholar] [CrossRef]
- Azooz, M.M.; Abou-Elhamd, M.F.; Al-Fredan, M.A. Biphasic effect of copper on growth, proline, lipid peroxidation and antioxidant enzyme activities of wheat (Triticum aestivum cv. Hasaawi) at early growing stage. Aust. J. Crop Sci. 2012, 6, 688–694. [Google Scholar]
- Xylia, P.; Clark, A.; Chrysargyris, A.; Romanazzi, G.; Tzortzakis, N. Quality and safety attributes on shredded carrots by using Origanum majorana and ascorbic acid. Postharvest Biol. Technol. 2019, 155, 120–129. [Google Scholar] [CrossRef]
- Chondraki, S.; Tzerakis, C.; Tzortzakis, N. Influence of Sodium Chloride and Calcium Foliar Spray on Hydroponically Grown Parsley in Nutrient Film Technique System. J. Plant Nutr. 2012, 35, 1457–1467. [Google Scholar] [CrossRef]
- Wojdyło, A.; Oszmiański, J.; Czemerys, R. Antioxidant activity and phenolic compounds in 32 selected herbs. Food Chem. 2007, 105, 940–949. [Google Scholar] [CrossRef]
- Meyers, K.J.; Watkins, C.B.; Pritts, M.P.; Liu, R.H. Antioxidant and Antiproliferative Activities of Strawberries. J. Agric. Food Chem. 2003, 51, 6887–6892. [Google Scholar] [CrossRef]
- Loreto, F.; Velikova, V. Isoprene produced by leaves protects the photosynthetic apparatus against ozone damage, quenches ozone products, and reduces lipid peroxidation of cellular membranes. Plant Physiol. 2001, 127, 1781–1787. [Google Scholar] [CrossRef]
- De Azevedo Neto, A.D.; Prisco, J.T.; Enéas-Filho, J.; De Abreu, C.E.B.; Gomes-Filho, E. Effect of salt stress on antioxidative enzymes and lipid peroxidation in leaves and roots of salt-tolerant and salt-sensitive maize genotypes. Environ. Exp. Bot. 2006, 56, 87–94. [Google Scholar] [CrossRef]
- Hawrylak-Nowak, B. Beneficial effects of exogenous selenium in cucumber seedlings subjected to salt stress. Biol. Trace Elem. Res. 2009, 132, 259–269. [Google Scholar] [CrossRef]
- Malorgio, F.; Diaz, K.E.; Ferrante, A.; Mensuali-Sodi, A.; Pezzarossa, B. Effects of selenium addition on minimally processed leafy vegetables grown in a floating system. J. Sci. Food Agric. 2009, 89, 2243–2251. [Google Scholar] [CrossRef]
- Filek, M.; Zembala, M.; Kornaś, A.; Walas, S.; Mrowiec, H.; Hartikainen, H. The uptake and translocation of macro- and microelements in rape and wheat seedlings as affected by selenium supply level. Plant Soil 2010, 336, 303–312. [Google Scholar] [CrossRef]
- Wójcik, P.; Lewandowski, M. Effect of calcium and boron sprays on yield and quality of “Elsanta” strawberry. J. Plant Nutr. 2003, 26, 671–682. [Google Scholar] [CrossRef]
- Wozniak, W.; Radajewska, B.; Reszelska-Sieciechowicz, A.; Dejwor, I. Sugars and acid content influence organoleptic evaluation of fruits of six strawberry cultivars from controlled cultivation. Acta Hortic. 1997, 439, 333–336. [Google Scholar] [CrossRef]
- Rayman, M.P. Selenium and human health. Lancet 2012, 379, 1256–1268. [Google Scholar] [CrossRef]
- Whanger, P.D. Selenocompounds in plants and animals and their biological significance. J. Am. Coll. Nutr. 2002, 21, 223–232. [Google Scholar] [CrossRef]
- Hartikainen, H.; Xue, T.; Piironen, V. Selenium as an anti-oxidant and pro-oxidant in ryegrass. Plant Soil 2000, 225, 193–200. [Google Scholar] [CrossRef]
- Saffaryazdi, A.; Lahouti, M.; Ganjeali, A.; Bayat, H. Impact of Selenium Supplementation on Growth and Selenium Accumulation on Spinach (Spinacia oleracea L.) Plants. Not. Sci. Biol. 2012, 4, 95–100. [Google Scholar] [CrossRef]
- Yu, Y.; Luo, L.; Yang, K.; Zhang, S. Influence of mycorrhizal inoculation on the accumulation and speciation of selenium in maize growing in selenite and selenate spiked soils. Pedobiologia 2011, 54, 267–272. [Google Scholar] [CrossRef]
- Hawrylak-Nowak, B.; Matraszek, R.; Pogorzelec, M. The dual effects of two inorganic selenium forms on the growth, selected physiological parameters and macronutrients accumulation in cucumber plants. Acta Physiol. Plant. 2015, 37, 41. [Google Scholar] [CrossRef]
- DeTar, R.A.; Alford, É.R.; Pilon-Smits, E.A.H. Molybdenum accumulation, tolerance and molybdenum-selenium-sulfur interactions in Astragalus selenium hyperaccumulator and nonaccumulator species. J. Plant Physiol. 2015, 183, 32–40. [Google Scholar] [CrossRef] [PubMed]
- Broyer, T.C.; Johnson, C.M.; Huston, R.P. Selenium and nutrition of Astragalus—II. Ionic sorption interactions among selenium, phosphate, and the macro-and micronutrient cations. Plant Soil 1972, 36, 651–669. [Google Scholar] [CrossRef]







| Selenium (Se) | Arbuscular Mycorrhizal Fungi (AMF) Inoculation | Se × AMF | |
|---|---|---|---|
| Plant growth, physiology | |||
| Plant biomass Fw (g) | *** | ns | ns |
| Plant biomass DM (%) | ns | ns | ns |
| Yield (g plant−1) | ns | ns | ns |
| Fruit No | ns | ns | ns |
| Fruit Fw (g) | ns | ns | ns |
| Fruit DM (%) | * | ns | ns |
| Photosynthetic rate (μmol m−1 s−1) | ns | ns | ns |
| Stomatal conductance (μmol m−1 s−1) | ns | ns | ns |
| Internal CO2 concentration (μmol mol−1) | ns | ns | ns |
| Chlorophyll a (mg g−1 Fw) | ns | * | ns |
| Chlorophyll b (mg g−1 Fw) | ns | ns | ns |
| total Chlorophylls (mg g−1 Fw) | ns | ns | ns |
| Fruit quality | |||
| Firmness (N) | ns | ns | ns |
| Total soluble solids (TSS in °Brix) | ns | ns | * |
| Titratable acidity (TA in %) | ns | ns | ns |
| Sweetness | ns | ns | ns |
| Color L* | ns | ns | ns |
| Color a* | ns | ns | ns |
| Color b* | * | ns | * |
| Chroma | ns | ns | ns |
| Hue | ** | ns | * |
| Whitening index (WI) | ns | ns | ns |
| Colour index (CI) | * | ns | ns |
| Total phenolics (mg GAE g−1 Fw) | ** | ns | ns |
| Total flavonoids (mg rutin g−1 Fw) | ** | *** | ns |
| Ascorbic acid (mg AA g−1 Fw) | ns | ns | ns |
| FRAP (mg trolox g−1 Fw) | ** | ns | ns |
| DPPH (mg trolox g−1 Fw) | ns | ns | ** |
| ABTS (mg trolox g−1 Fw) | ns | ns | ** |
| H2O2 (nmol g−1 Fw) | *** | ns | *** |
| MDA (nmol g−1 Fw) | *** | ns | *** |
| Nutrient content | |||
| Leaf N (g kg−1) | ns | ns | ns |
| Leaf K (g kg−1) | ns | ns | * |
| Leaf P (g kg−1) | *** | ns | ns |
| Leaf Na (g kg−1) | ns | ns | * |
| Leaf Se (g kg−1) | *** | ** | ** |
| Fruit N (g kg−1) | ns | ns | ns |
| Fruit K (g kg−1) | * | ns | ns |
| Fruit P (g kg−1) | ** | ns | ns |
| Fruit Na (g kg−1) | *** | *** | ns |
| Fruit Se (g kg−1) | *** | ns | ns |
| Root N (g kg−1) | *** | * | *** |
| Root K (g kg−1) | *** | *** | *** |
| Root P (g kg−1) | *** | ns | *** |
| Root Na (g kg−1) | * | ** | *** |
| Root Se (g kg−1) | *** | ns | *** |
| Treatments | Plant Biomass Fw | Plant Biomass DM | Yield | Fruit No | Fruit Fw | Fruit DM | |
|---|---|---|---|---|---|---|---|
| − AMF | Se-0 mg L−1 | 45.5 ± 7.81 c | 21.5 ± 1.90 a | 97.1 ± 11.27 a | 11.0 ± 1.30 a | 9.1 ± 0.59 ab | 9.41 ± 0.81 a |
| Se-1 mg L−1 | 111.1 ± 7.96 a | 22.1 ± 1.27 a | 98.5 ± 18.75 a | 9.5 ± 1.09 a | 10.5 ± 0.33 a | 9.83 ± 0.95 a | |
| Se-5 mg L−1 | 77.6 ± 6.81 b | 23.3 ± 1.44 a | 82.8 ± 26.05 a | 7.9 ± 1.86 ab | 17.9 ± 8.0 4a | 8.69 ± 0.99 a | |
| Se-10 mg L−1 | 54.3 ± 10.85 bc | 22.5 ± 0.60 a | 38.7 ± 4.85 b | 5.5 ± 0.75 b | 7.5 ± 0.74 b | 7.79 ± 1.19 a | |
| + AMF | Se-0 mg L−1 | 72.3 ± 8.10 b | 23.6 ± 1.38 a | 102.7 ± 23.13 a | 11.5 ± 2.12 a | 8.6 ± 0.48 a | 9.79 ± 0.80 a |
| Se-1 mg L−1 | 141.3 ± 23.98 a | 23.4 ± 0.66 a | 126.8 ± 18.35 a | 12.8 ± 1.69 a | 9.6 ± 0.33 a | 9.88 ± 0.49 a | |
| Se-5 mg L−1 | 62.5 ± 9.50 b | 22.9 ± 0.72 a | 103.6 ± 10.09 a | 10.7 ± 0.87 a | 9.6 ± 0.26 a | 8.87 ± 0.62 a | |
| Se-10 mg L−1 | 37.9 ± 5.80 c | 22.3 ± 0.52 a | 42.3 ± 6.82 b | 7.1 ± 1.14 b | 6.3 ± 0.50 b | 7.07 ± 0.16 b | |
| Treatments | Firmness | TSS | TA | Sweetness | |
|---|---|---|---|---|---|
| − AMF | Se-0 mg L−1 | 1.18 ± 0.13 a | 7.92 ± 0.55 a | 0.81 ± 0.03 a | 9.95 ± 1.04 a |
| Se-1 mg L−1 | 1.14 ± 0.11 ab | 6.87 ± 0.41 ab | 0.81 ± 0.02 a | 8.42 ± 0.23 a | |
| Se-5 mg L−1 | 0.99 ± 0.13 ab | 6.45 ± 0.38 b | 0.80 ± 0.05 a | 8.10 ± 0.21 a | |
| Se-10 mg L−1 | 0.68 ± 0.20 b | 6.12 ± 0.34 b | 0.70 ± 0.01 a | 9.10 ± 1.14 a | |
| + AMF | Se-0 mg L−1 | 0.99 ± 0.08 a | 6.77 ± 0.29 a | 0.72 ± 0.02 a | 9.35 ± 0.16 a |
| Se-1 mg L−1 | 1.06 ± 0.11 a | 7.17 ± 0.43 a | 0.79 ± 0.05 a | 9.27 ± 1.12 a | |
| Se-5 mg L−1 | 1.05 ± 0.09 a | 7.80 ± 0.45 a | 0.74 ± 0.0.6 a | 10.77 ± 1.16 a | |
| Se-10 mg L−1 | 0.60 ± 0.18 b | 6.90 ± 0.33 a | 0.75 ± 0.0 7 a | 9.50 ± 1.03 a | |
| Bioaccumulation Coefficient—BAC | Translocation Factor—TF | ||||||
|---|---|---|---|---|---|---|---|
| Treatments | Accumulation Rate—AR (mg kg−1 Dw day−1) | Leaves/Stems | Fruits | Roots | Leaves/Stems | Fruits | |
| − AMF | Se-0 mg L−1 | −0.09 ± 0.03 b | 0.00 ± 0.00 b | 0.00 ± 0.00 ab | 0.00 ± 0.00 c | 0.03 ± 0.14 c | 1.12 ± 0.01 b |
| Se-1 mg L−1 | 0.12 ± 0.03 b | 70.30 ± 62.56 b | −332.79 ± 0.27 c | −169.27 ± 1.32 d | −0.42 ± 0.37 c | 1.96 ± 0.06 a | |
| Se-5 mg L−1 | 5.04 ± 0.77 a | 324.43 ± 34.11 a | −33.02 ± 18.84 b | 82.16 ± 7.91 b | 4.05 ± 0.71 a | −0.41 ± 0.22 d | |
| Se-10 mg L−1 | 3.43 ± 1.10 a | 231.54 ± 11.20 a | 28.91 ± 11.44 a | 143.03 ± 7.21 a | 1.62 ± 0.08 b | 0.19 ± 0.06 c | |
| + AMF | Se-0 mg L−1 | 0.69 ± 0.17 a | 0.00 ± 0.00 b | 0.00 ± 0.00 b | 0.00 ± 0.00 b | 0.17 ± 0.22 a | −0.42 ± 0.22 b |
| Se-1 mg L−1 | −0.01 ± 0.01 a | −11.07 ± 0.22 b | −345.22 ± 4.01 c | 547.80 ± 7.73 a | −0.02 ± 0.00 a | −0.63 ± 0.01 c | |
| Se-5 mg L−1 | 1.92 ± 0.91 a | 163.37 ± 13.64 a | −7.39 ± 3.72 b | −42.45 ± 1.23 c | −3.84 ± 0.26 b | 0.17 ± 0.08 a | |
| Se-10 mg L−1 | 1.26 ± 0.21 a | 165.87 ± 14.24 a | 12.79 ± 1.81 a | −33.12 ± 0.79 c | −4.99 ± 0.31 c | −0.38 ± 0.05 b | |
Publisher’s Note: MDPI stays neutral with regard to jurisdictional claims in published maps and institutional affiliations. |
© 2021 by the authors. Licensee MDPI, Basel, Switzerland. This article is an open access article distributed under the terms and conditions of the Creative Commons Attribution (CC BY) license (https://creativecommons.org/licenses/by/4.0/).
Share and Cite
Antoniou, O.; Chrysargyris, A.; Xylia, P.; Tzortzakis, N. Effects of Selenium and/or Arbuscular Mycorrhizal Fungal Inoculation on Strawberry Grown in Hydroponic Trial. Agronomy 2021, 11, 721. https://doi.org/10.3390/agronomy11040721
Antoniou O, Chrysargyris A, Xylia P, Tzortzakis N. Effects of Selenium and/or Arbuscular Mycorrhizal Fungal Inoculation on Strawberry Grown in Hydroponic Trial. Agronomy. 2021; 11(4):721. https://doi.org/10.3390/agronomy11040721
Chicago/Turabian StyleAntoniou, Omiros, Antonios Chrysargyris, Panayiota Xylia, and Nikolaos Tzortzakis. 2021. "Effects of Selenium and/or Arbuscular Mycorrhizal Fungal Inoculation on Strawberry Grown in Hydroponic Trial" Agronomy 11, no. 4: 721. https://doi.org/10.3390/agronomy11040721
APA StyleAntoniou, O., Chrysargyris, A., Xylia, P., & Tzortzakis, N. (2021). Effects of Selenium and/or Arbuscular Mycorrhizal Fungal Inoculation on Strawberry Grown in Hydroponic Trial. Agronomy, 11(4), 721. https://doi.org/10.3390/agronomy11040721

