Micro-Water Harvesting and Soil Amendment Increase Grain Yields of Barley on a Heavy-Textured Alkaline Sodic Soil in a Rainfed Mediterranean Environment
Abstract
1. Introduction
2. Materials and Methods
2.1. Location
2.2. Trial Design and Management
2.3. Soil Sampling and Analysis
2.4. Electromagnetic Induction Surveys
2.5. Other Data Sources
2.6. Statistical Analyses
3. Results
3.1. Rainfall and Reference Evapotranspiration
3.2. Theme 1—Improving Crop Growth and Grain Yield
3.3. Theme 2—Effects of Treatments on Transient Salinity and Soil Chemistry
3.3.1. Overview
3.3.2. Effects of Treatments
3.3.3. Correlations between Soil Chemistry and Grain Yield
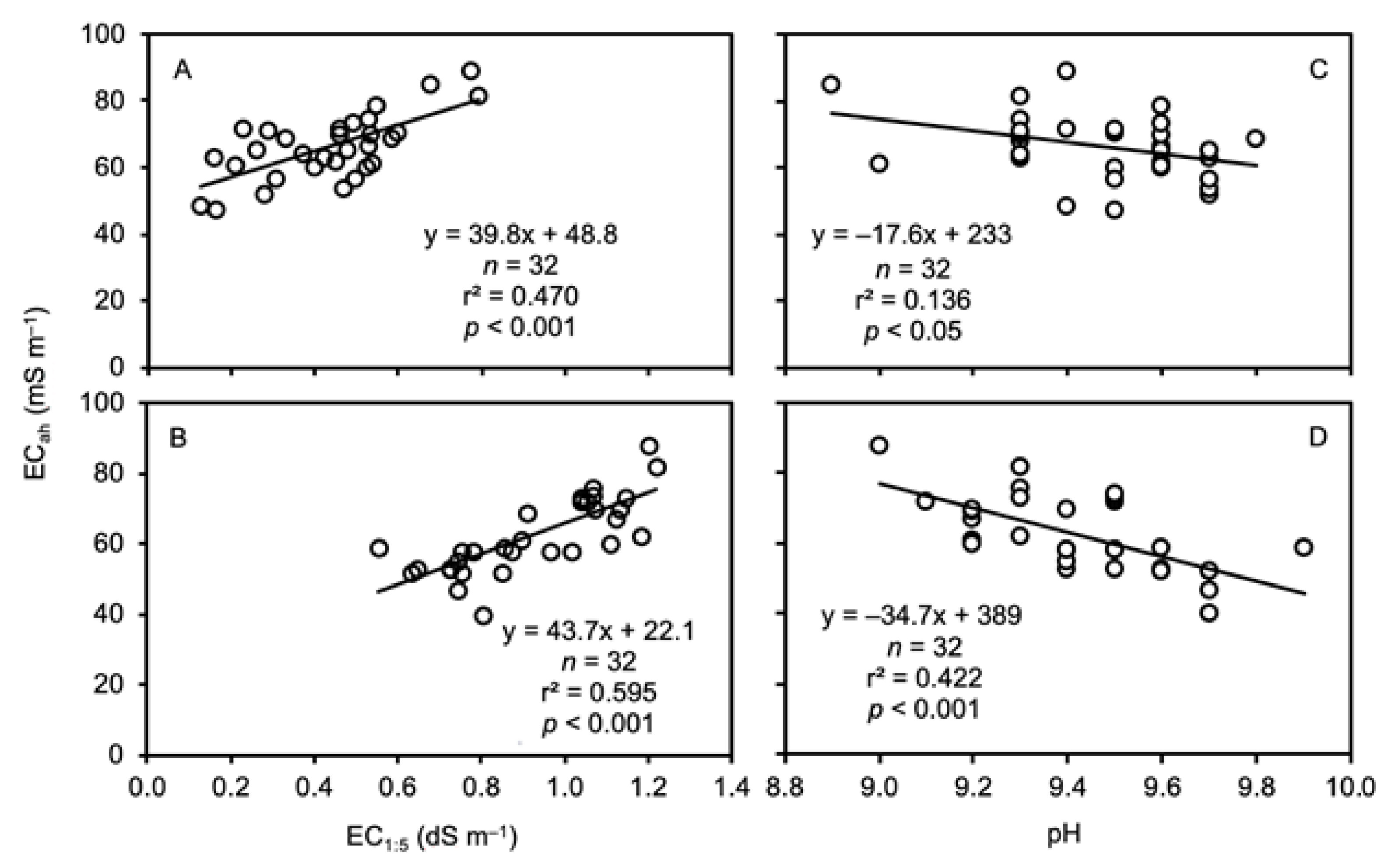
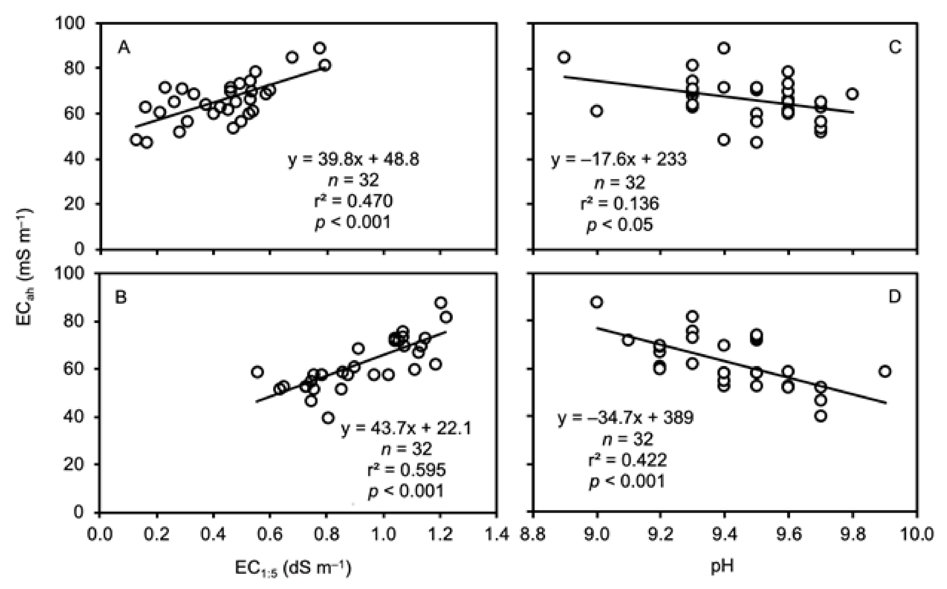
3.4. Theme 3—Relationships between Variation in Soil Apparent Electrical Conductivity, Grain Yield and Soil Chemistry
3.4.1. EM38 Readings, Treatments and Grain Yield
3.4.2. EM38 Readings and Soil Chemistry
4. Discussion
4.1. Theme 1—Improving Crop Growth and Grain Yield
4.1.1. Tillage
4.1.2. Amendment
4.2. Theme 2—Effects of Treatments on Transient Salinity and Soil Chemistry
4.3. Theme 3—Relationships between EM38 Readings, Grain Yield and Soil Chemistry
4.4. Implications for Industry
5. Conclusions
Supplementary Materials
Author Contributions
Funding
Institutional Review Board Statement
Informed Consent Statement
Data Availability Statement
Acknowledgments
Conflicts of Interest
References
- Hassani, A.; Azapagic, A.; Shokri, N. Predicting long-term dynamics of soil salinity and sodicity on a global scale. Proc. Natl. Acad. Sci. USA 2020, 117, 33017–33027. [Google Scholar] [CrossRef]
 - Slessarev, E.W.; Lin, Y.; Bingham, N.L.; Johnson, J.E.; Dai, Y.; Schimel, J.P.; Chadwick, O.A. Water balance creates a threshold in soil pH at the global scale. Nature 2016, 540, 567–569. [Google Scholar] [CrossRef]
 - Rengasamy, P.; Olsson, K.A. Sodicity and soil structure. Aust. J. Soil Res. 1991, 29, 935–952. [Google Scholar] [CrossRef]
 - Cochrane, H.R.; Scholz, G.; Vanvreswyk, A.M.E. Sodic soils in Western Australia. Soil Res. 1994, 32, 359–388. [Google Scholar] [CrossRef]
 - Barrett-Lennard, E.G.; Anderson, G.; Holmes, K. High soil sodicity and alkalinity cause transient salinity in south-western Australia. Soil Res. 2016, 54, 407–417. [Google Scholar] [CrossRef]
 - Chorom, M.; Rengasamy, P.; Murray, R.S. Clay dispersion as influenced by pH and net particle charge of sodic soils. Aust. J. Soil Res. 1994, 32, 1243–1252. [Google Scholar] [CrossRef]
 - McArthur, W.M. Reference Soils of South-Western Australia; Department of Agriculture: South Perth, Australia, 2004.
 - Nadeau, P.H. Relationships between the mean area, volume and thickness for dispersed particles of kaolinites and micaceous clays and their application to surface area and ion exchange properties. Clay Miner. 1987, 22, 351–356. [Google Scholar] [CrossRef]
 - Schofield, R.K.; Samson, H.R. Flocculation of kaolinite due to the attraction of oppositely charged crystal faces. Discuss. Faraday Soc. 1954, 18, 135–145. [Google Scholar] [CrossRef]
 - Shainberg, I.; Letey, J. Response of soils to sodic and saline conditions. Hilgardia 1984, 52, 1–57. [Google Scholar] [CrossRef]
 - Churchman, G.J.; Skjemstad, J.O.; Oades, J.M. Influence of clay minerals and organic matter on effects of sodicity on soils. Aust. J. Soil Res. 1993, 31, 779–800. [Google Scholar] [CrossRef]
 - Rengasamy, P. Transient salinity and subsoil constraints to dryland farming in Australian sodic soils: An overview. Aust. J. Exp. Agric. 2002, 42, 351–361. [Google Scholar] [CrossRef]
 - Maas, E.V.; Grattan, S.R. Crop yields as affected by salinity. In Agricultural Drainage; Agronomy Monograph No. 38; Crop Science Society of America; Soil Science Society of America; American Society of Agronomy: Madison, WI, USA, 1999; pp. 55–108. [Google Scholar]
 - Steppuhn, H.; van Genuchten, M.T.; Grieve, C.M. Root-zone salinity: II. Indices for tolerance in agricultural crops. Crop Sci. 2005, 45, 221–232. [Google Scholar] [CrossRef]
 - Greenway, H.; Munns, R. Mechanisms of salt tolerance in nonhalophytes. Annu. Rev. Plant Physiol. 1980, 31, 149–190. [Google Scholar] [CrossRef]
 - Munns, R. Comparative physiology of salt and water stress. Plant Cell Environ. 2002, 25, 239–250. [Google Scholar] [CrossRef]
 - Roundy, B.A. Estimation of water potential components of saline soils of Great Basin rangelands. Soil Sci. Soc. Am. J. 1984, 48, 645–650. [Google Scholar] [CrossRef]
 - Shalhevet, J.; Hsiao, T.C. Salinity and drought. Irrig. Sci. 1986, 7, 249–264. [Google Scholar] [CrossRef]
 - Setter, T.L.; Waters, I.; Stefanova, K.; Munns, R.; Barrett-Lennard, E.G. Salt tolerance, date of flowering and rain affect the productivity of wheat and barley on rainfed saline land. Field Crop Res. 2016, 194, 31–42. [Google Scholar] [CrossRef]
 - Loveday, J. Relative significance of electrolyte and cation exchange effects when gypsum is applied to a sodic clay soil. Aust. J. Soil Res. 1976, 14, 361–371. [Google Scholar] [CrossRef]
 - Rengasamy, P.; Greene, R.S.B.; Ford, G.W.; Mehanni, A.H. Identification of dispersive behaviour and the management of red-brown earths. Aust. J. Soil Res. 1984, 22, 413–431. [Google Scholar] [CrossRef]
 - Ellington, A. Effects of deep ripping, direct drilling, gypsum and lime on soils, wheat growth and yield. Soil Till. Res. 1986, 8, 29–49. [Google Scholar] [CrossRef]
 - Qadir, M.; Oster, J.D.; Schubert, S.; Noble, A.D.; Sahrawat, K.L. Phytoremediation of sodic and saline-sodic soils. Adv. Agron. 2007, 96, 197–247. [Google Scholar]
 - Chorom, M.; Rengasamy, P. Carbonate chemistry, pH, and physical properties of an alkaline sodic soil as affected by various amendments. Aust. J. Soil Res. 1997, 35, 149–161. [Google Scholar] [CrossRef]
 - Hilal, M.H.; Abd-Elfattah, A. Effect of CaCO3 and clay content of alkaline soils in their response to added sulphur. Sulfur Agric. 1987, 11, 15–19. [Google Scholar]
 - Jaggi, R.C.; Aulakh, M.S.; Sharma, R. Impacts of elemental S applied under various temperature and moisture regimes on pH and available P in acidic, neutral and alkaline soils. Biol. Fert. Soils 2005, 41, 52–58. [Google Scholar] [CrossRef]
 - Hutton, J.T.; Leslie, T.J. Accession of non-nitrogenous ions dissolved in rainwater to soils in Victoria. Aust. J. Agric. Res. 1958, 9, 492–507. [Google Scholar] [CrossRef]
 - Hingston, F.J.; Gailitis, V. The geographic variation of salt precipitated over Western Australia. Aust. J. Soil Res. 1976, 14, 319–335. [Google Scholar] [CrossRef]
 - Suarez, D.L.; Rhoades, J.D.; Lavado, R.; Grieve, C.M. Effect of pH on saturated hydraulic conductivity and soil dispersion. Soil Sci. Soc. Am. J. 1984, 48, 50–55. [Google Scholar] [CrossRef]
 - Williams, B.G.; Baker, G.C. An electromagnetic induction technique for reconnaissance surveys of soil salinity hazards. Aust. J. Soil Res. 1982, 20, 107–118. [Google Scholar] [CrossRef]
 - Spies, B.; Woodgate, P. Salinity Mapping Methods in the Australian Context; Department of the Environment and Heritage: Canberra, Australia, 2005.
 - Isbell, R.F.; National Committee on Soil and Terrain. The Australian Soil Classification, 2nd ed.; CSIRO Publishing: Melbourne, Australia, 2016. [Google Scholar]
 - IUSS Working Group WRB. World Reference Base for Soil Resources 2014. In International Soil Classification System for Naming Soils and Creating Legends for Soil Maps; World Soil Resource Reports No. 106; FAO: Rome, Italy, 2015. [Google Scholar]
 - Anderson, G.C.; Peverill, K.I.; Brennan, R.F. Soil sulfur—Crop response calibration relationships and criteria for field crops grown in Australia. Crop Pasture Sci. 2013, 64, 523–530. [Google Scholar] [CrossRef]
 - Canopeo. Available online: www.canopeoapp.com (accessed on 1 June 2019).
 - Rayment, G.E.; Lyons, D.J. Soil Chemical Methods—Australasia; CSIRO Publishing: Clayton, Australia, 2010. [Google Scholar]
 - SILO. Available online: www.longpaddock.qld.gov.au/silo (accessed on 5 January 2021).
 - Climate Data Online. Available online: www.bom.gov.au/climate/data (accessed on 5 January 2021).
 - United States Salinity Laboratory Staff. Diagnosis and Improvement of Saline and Alkali Soils; US Department of Agriculture, Agricultural Handbook No. 60; US Government Printer: Washington, DC, USA, 1954.
 - Slavich, P.G.; Petterson, G.H. Estimating the electrical conductivity of saturated paste extracts from 1:5 soil: Water suspensions and texture. Aust. J. Soil Res. 1993, 31, 73–81. [Google Scholar] [CrossRef]
 - Northcote, K.H.; Skene, J.K.M. Australian Soils with Saline and Sodic Properties; Soil Publication No. 27; CSIRO: Melbourne, Australia, 1972. [Google Scholar]
 - Colmer, T.D.; Munns, R.; Flowers, T.J. Improving salt tolerance of wheat and barley: Future prospects. Aust. J. Exp. Agric. 2005, 45, 1425–1443. [Google Scholar] [CrossRef]
 - Kasirajan, S.; Ngouajio, M. Polyethylene and biodegradable mulches for agricultural applications: A review. Agron. Sustain. Dev. 2012, 32, 501–529. [Google Scholar] [CrossRef]
 - Steinmetz, Z.; Wollmann, C.; Schaefer, M.; Buchmann, C.; David, J.; Tröger, J.; Muñoz, K.; Frör, O.; Schaumann, G.E. Plastic mulching in agriculture. Trading short-term agronomic benefits for long-term soil degradation? Sci. Total Environ. 2016, 550, 690–705. [Google Scholar] [CrossRef] [PubMed]
 - Gao, H.; Yan, C.; Liu, Q.; Ding, W.; Shen, B.; Li, Z. Effects of plastic mulching and plastic residue on agricultural production: A meta-analysis. Sci. Total Environ. 2019, 651, 484–492. [Google Scholar] [CrossRef] [PubMed]
 - Howell, M. Gypsum use in the wheatbelt. J. Agric. West. Aust. 1987, 28, 40–43. [Google Scholar]
 - Doyle, A.; Taylor, D.W.; Yates, W.J.; So, H.B.; McGarity, J.W. Amelioration of structurally unstable grey soils in the north-western wheat belt of New South Wales. Aust. J. Exp. Agric. Anim. Husb. 1979, 19, 590–598. [Google Scholar] [CrossRef]
 - Ali, A.; Arshadullah, M.; Hyder, S.I.; Mahmood, I.A. Effect of different levels of sulfur on the productivity of wheat in a saline sodic soil. Soil Environ. 2012, 31, 91–95. [Google Scholar]
 - Greene, R.S.B.; Ford, G.W. The effect of gypsum on cation exchange in two red duplex soils. Aust. J. Soil Res. 1985, 23, 61–74. [Google Scholar] [CrossRef]
 - Quirk, J.P.; Schofield, R.K. The effect of electrolyte concentration on soil permeability. J. Soil. Sci. 1955, 6, 163–178. [Google Scholar] [CrossRef]
 - Munns, R.; Greenway, H.; Kirst, G.O. Halotolerant Eukaryotes. In Encyclopedia of Plant Physiology; Lange, O.L., Nobel, P.S., Osmond, C.B., Ziegler, H., Eds.; Springer: Berlin, Germany, 1983; Volume 12C, pp. 59–135. [Google Scholar]
 - Asif, M.A.; Schilling, R.K.; Tilbrook, J.; Brien, C.; Dowling, K.; Rabie, H.; Short, L.; Trittermann, C.; Garcia, A.; Barrett-Lennard, E.G.; et al. Identification of novel salt tolerance QTL in the Excalibur × Kukri doubled haploid (DH) wheat population. Theor. Appl. Genet. 2018, 131, 2179–2196. [Google Scholar] [CrossRef]
 - Castrignanò, A.; Wong, M.T.F.; Stelluti, M.; De Beneddetto, D.; Sollitto, D. Use of EMI, gamma-ray emission and GPS height as multi-sensor data for soil characterisation. Geoderma 2012, 175–176, 78–89. [Google Scholar] [CrossRef]
 - Rodrigues, F.A.; Bramley, R.G.V.; Gobbett, D.L. Proximal soil sensing for Precision Agriculture: Simultaneous use of electromagnetic induction and gamma radiometrics in contrasting soils. Geoderma 2015, 243–244, 183–195. [Google Scholar] [CrossRef]
 - Rebetzke, G.J.; Chenu, K.; Biddulph, B.; Moeller, C.; Deery, D.M.; Rattey, A.R.; Bennett, D.; Barrett-Lennard, E.G.; Mayer, J.E. A multi-site managed environment facility for targeted trait and germplasm phenotyping. Funct. Plant Biol. 2012, 40, 1–13. [Google Scholar] [CrossRef] [PubMed]
 - Bennett, S.J.; Barrett-Lennard, E.G.; Colmer, T.D. Salinity and waterlogging as constraints to saltland pasture production: A review. Agric. Ecosyst. Environ. 2009, 129, 349–360. [Google Scholar] [CrossRef]
 - Barrett-Lennard, E.G.; Bennett, S.J.; Altman, M. Survival and growth of perennial halophytes on saltland in a Mediterranean environment is affected by depth to water table in summer as well as subsoil salinity. Crop Pasture Sci. 2013, 64, 123–136. [Google Scholar] [CrossRef]
 - Norman, H.C.; Masters, D.G.; Barrett-Lennard, E.G. Halophytes as forages in saline landscapes: Interactions between plant genotype and environment change their feeding value to ruminants. Environ. Exp. Bot. 2013, 92, 96–109. [Google Scholar] [CrossRef]
 - Sharma, M.L. Physical and physico-chemical changes in the profile of a sodic soil treated with gypsum. Aust. J. Soil Res. 1971, 9, 73–82. [Google Scholar] [CrossRef]
 - Cox, W.J. The phosphorus fertilisers: How they compare. J. Agric. West. Aust. 1968, 9, 434–436. [Google Scholar]
 - French, R.J.; Schultz, J.E. Water use efficiency of wheat in a Mediterranean-type environment. I The relation between yield, water use and climate. Aust. J. Agric. Res. 1984, 35, 743–764. [Google Scholar] [CrossRef]
 - Richards, R.A.; Rebetzke, G.J.; Watt, M.; Condon, A.C.; Spielmeyer, W.; Dolferus, R. Breeding for improved water productivity in temperate cereals: Phenotyping, quantitative trait loci, markers and the selection environment. Funct. Plant Biol. 2010, 37, 85–97. [Google Scholar] [CrossRef]
 - IPCC. Climate Change 2014: Synthesis Report; Core Writing Team, Pachauri, R.K., Meyer, L.A., Eds.; Contribution of Working Groups I, II and III to the Fifth Assessment Report of the Intergovernmental Panel on Climate Change; IPCC: Geneva, Switzerland, 2014; p. 151. [Google Scholar]
 - Anderson, G.C.; Pathan, S.; Easton, J.; Hall, D.J.M.; Sharma, R. Short and long term effects of lime and gypsum application on acid soils in a water-limited environment: 1. Grain yield response and nutrient concentration. Agronomy 2020, 10, 1213. [Google Scholar] [CrossRef]
 - Hall, D.J.M.; Davis, S.L.; Bell, R.W.; Edwards, T.J. Soil management systems to overcome multiple constraints for dryland crops on deep sands in a water limited environment on the south coast of Western Australia. Agronomy 2020, 10, 1881. [Google Scholar] [CrossRef]
 









| Analysis | First Sampling  | Secon Sampling  | Third Sampling  | Method | 
|---|---|---|---|---|
| pHH2O; EC1:5 | ✓ | ✓ | ✓ | Soil extracted in deionised water at a ratio of 1:5, stirring for one hour. pH and EC of extract measured using a pH and conductivity electrode [36] (Methods 4A1 and 3A1). | 
| SO42− | ✓ | ✓ | ✓ | Soil extracted in 0.25 M KCl. S content of extract analysed by inductively coupled plasma (ICP) spectroscopy [36] (Method 10D1). | 
| Boron | ✓ | ✓ | - | Soil extracted in 0.01 M CaCl2, in ratio of 1:4. Mixture heated to 90 °C and extract read for boron using ICP spectroscopy [36] (Method 12C2). | 
| Exchangeable cations | - | ✓ | - | Soil extracted using a mixture of 0.1 M NH4Cl and BaCl2 in ratio of 1:10. Exchangeable cations in extract determined using ICP spectroscopy [36] (Method 15E1). | 
| Soluble cations | - | - | ✓ | Water soluble cations determined in a 1:5 soil: water extraction. Cations in extract determined using ICP spectroscopy [36] (Method 5A4). | 
| Chloride | - | - | ✓ | Water soluble chloride determined in a 1:5 soil:water extraction. Chloride concentration in extract determined colorimetrically [36] (Method 5A2b). | 
| Month | Rain (mm) | ETo (mm) | ||
|---|---|---|---|---|
| 2019 | 2020 | 2019 | 2020 | |
| January | 0.6 | 0.2 | 210 | 201 | 
| February | 0 | 44 | 178 | 155 | 
| March | 6.4 | 9.7 | 150 | 130 | 
| April | 22.8 | 3.8 | 95 | 102 | 
| May | 5.8 | 64.8 | 71 | 66 | 
| June | 67.2 | 41.6 | 45 | 51 | 
| July | 37 | 36.1 | 50 | 49 | 
| August | 52 | 48.6 | 66 | 61 | 
| September | 3.6 | 19.9 | 106 | 90 | 
| October | 20.6 | 1.2 | 144 | 141 | 
| November | 2.2 | 48.2 | 189 | 147 | 
| December | 0.2 | 13.2 | 225 | 200 | 
| Total | 215.4 | 269.7 | 1526 | 1393 | 
| Tillage | Amendment | Grain Yield (t ha−1)  | Shoot Dry Mass (t ha−1)  | Heads (Number m−1 row)  | 1000 Grain Weight (g)  | Anthesis Biomass (t ha−1)  | 
|---|---|---|---|---|---|---|
| Part A. 2019 Growing Season | ||||||
| Mound | G | 3.12 | 8.35 | 225.1 | 29.90 | 9.28 | 
| G+ES | 3.09 | 8.06 | 8.38 | |||
| ES | 2.54 | 7.60 | 8.79 | |||
| nil | 2.23 | 7.04 | 8.21 | |||
| Conventional | G | 2.55 | 6.66 | 198.1 | 6.99 | |
| G+ES | 2.36 | 6.44 | 7.22 | |||
| ES | 2.26 | 6.49 | 6.77 | |||
| nil | 1.84 | 5.60 | 6.27 | |||
| p-values | ||||||
| Main effect tillage | *** | *** | *** | ns | *** | |
| Main effect amendment | *** | *** | ns | ns | * | |
| Tillage x amendment | ns | ns | ns | ns | ns | |
| LSD0.05 | ||||||
| Main effect tillage | 0.20 | 0.32 | 10.0 | - | 0.44 | |
| Main effect amendment | 0.28 | 0.46 | - | - | 0.62 | |
| Tillage x amendment | - | - | - | - | - | |
| Part B. 2020 growing season | ||||||
| Mound | G | 3.77 | 9.05 | 254.8 | 30.28 | 7.35 | 
| G+ES | 3.59 | 29.04 | ||||
| ES | 3.38 | 27.58 | ||||
| nil | 3.23 | 27.28 | ||||
| Conventional | G | 2.98 | 7.31 | 216.7 | 27.82 | 5.61 | 
| G+ES | 2.65 | 27.20 | ||||
| ES | 2.51 | 26.24 | ||||
| Nil | 2.40 | 25.48 | ||||
| p-values | ||||||
| Main effect tillage | *** | *** | *** | *** | *** | |
| Main effect amendment | * | ns | ns | *** | ns | |
| Tillage x amendment | ns | ns | ns | ns | ns | |
| LSD0.05 | ||||||
| Main effect tillage | 0.26 | 0.59 | 13.5 | 0.92 | 0.37 | |
| Main effect amendment | 0.37 | - | - | 1.30 | - | |
| Tillage x amendment | - | - | - | - | - | |
| Variable | Time of Sampling | ||
|---|---|---|---|
| First | Second | Third | |
| ESP > 6% | ND | All depths | ND | 
| pHH2O > 7 | All depths | All depths | All depths | 
| EC1:5 > 0.47 dS m−1 | No depths to 70 cm | 50–70 cm | Depths ≥ 40 cm | 
Publisher’s Note: MDPI stays neutral with regard to jurisdictional claims in published maps and institutional affiliations.  | 
© 2021 by the authors. Licensee MDPI, Basel, Switzerland. This article is an open access article distributed under the terms and conditions of the Creative Commons Attribution (CC BY) license (https://creativecommons.org/licenses/by/4.0/).
Share and Cite
Barrett-Lennard, E.G.; Munir, R.; Mulvany, D.; Williamson, L.; Riethmuller, G.; Wesley, C.; Hall, D. Micro-Water Harvesting and Soil Amendment Increase Grain Yields of Barley on a Heavy-Textured Alkaline Sodic Soil in a Rainfed Mediterranean Environment. Agronomy 2021, 11, 713. https://doi.org/10.3390/agronomy11040713
Barrett-Lennard EG, Munir R, Mulvany D, Williamson L, Riethmuller G, Wesley C, Hall D. Micro-Water Harvesting and Soil Amendment Increase Grain Yields of Barley on a Heavy-Textured Alkaline Sodic Soil in a Rainfed Mediterranean Environment. Agronomy. 2021; 11(4):713. https://doi.org/10.3390/agronomy11040713
Chicago/Turabian StyleBarrett-Lennard, Edward G., Rushna Munir, Dana Mulvany, Laine Williamson, Glen Riethmuller, Callum Wesley, and David Hall. 2021. "Micro-Water Harvesting and Soil Amendment Increase Grain Yields of Barley on a Heavy-Textured Alkaline Sodic Soil in a Rainfed Mediterranean Environment" Agronomy 11, no. 4: 713. https://doi.org/10.3390/agronomy11040713
APA StyleBarrett-Lennard, E. G., Munir, R., Mulvany, D., Williamson, L., Riethmuller, G., Wesley, C., & Hall, D. (2021). Micro-Water Harvesting and Soil Amendment Increase Grain Yields of Barley on a Heavy-Textured Alkaline Sodic Soil in a Rainfed Mediterranean Environment. Agronomy, 11(4), 713. https://doi.org/10.3390/agronomy11040713
        
                                                