Influence of Rhizopheric H2O2 on Growth, Mineral Absorption, Root Anatomy and Nematode Infection of Ficus deltoidea
Abstract
1. Introduction
2. Materials and Methods
2.1. Experimental Site, Plant Materials and Treatment Setting
2.2. Measurement of Growth, Photosynthesis, Chlorophyll Content, Chlorophyll Fluorescence and Photosynthetic Yield
2.3. Determination of Chlorophyll A, B and Carotenoid Content
2.4. Measurements of Leaf Water Content, Leaf Dry Matter, Leaf Moisture, Live Line Fuel Moisture and Biomass Content
2.5. Assessment of Root Architecture and Profiles
2.6. Nutrient Analysis
2.7. H2O2 on Root Anatomy, Root-Knot Formation and Controlling Root-Knot Nematode of F. deltoidea
2.7.1. Nematode Inoculums
2.7.2. Soil Sterilizing and Treatment Settings
2.8. Electron Microscopy Scanning of Infected and Non-Infected Roots
2.9. Statistical Analysis
3. Results
3.1. Vegetative and Reproductive Growth
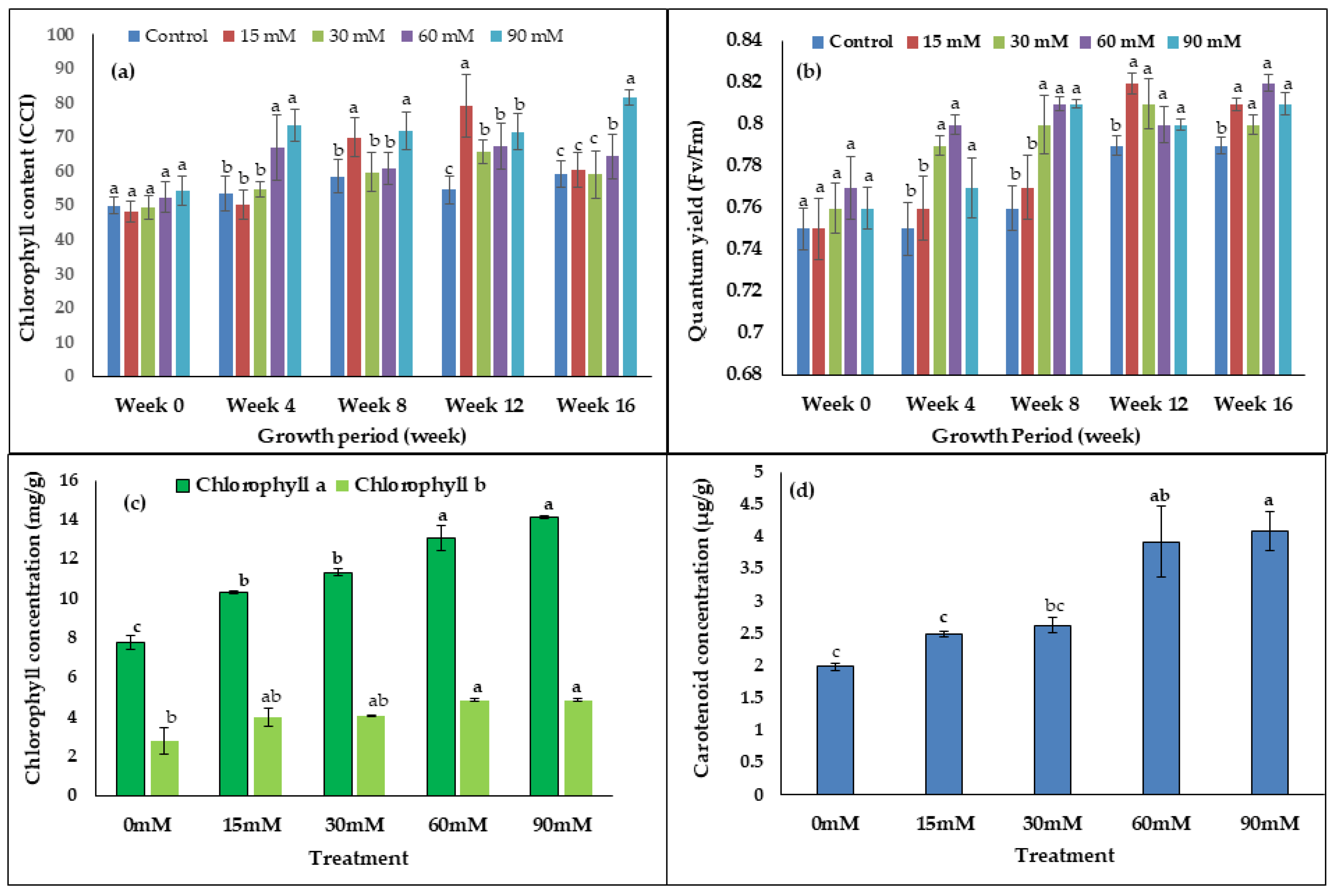
3.2. Leaf Chlorophyll Content, Chlorophyll Fluorescence and Carotenoid Content
3.3. Photosynthetic Characteristics
3.4. Leaf Hydrological Properties and Dry Matter Content
3.5. Root Growth and Development
3.6. Plant Biomass, Heavy Metals and Mineral Nutrients Accumulation
3.7. Plant Biomass Production and Root Gall Development
3.8. Root Anatomical Structure in Nematode-Infested Soil
3.9. Presence of Nematode in Treated and Untreated Plants
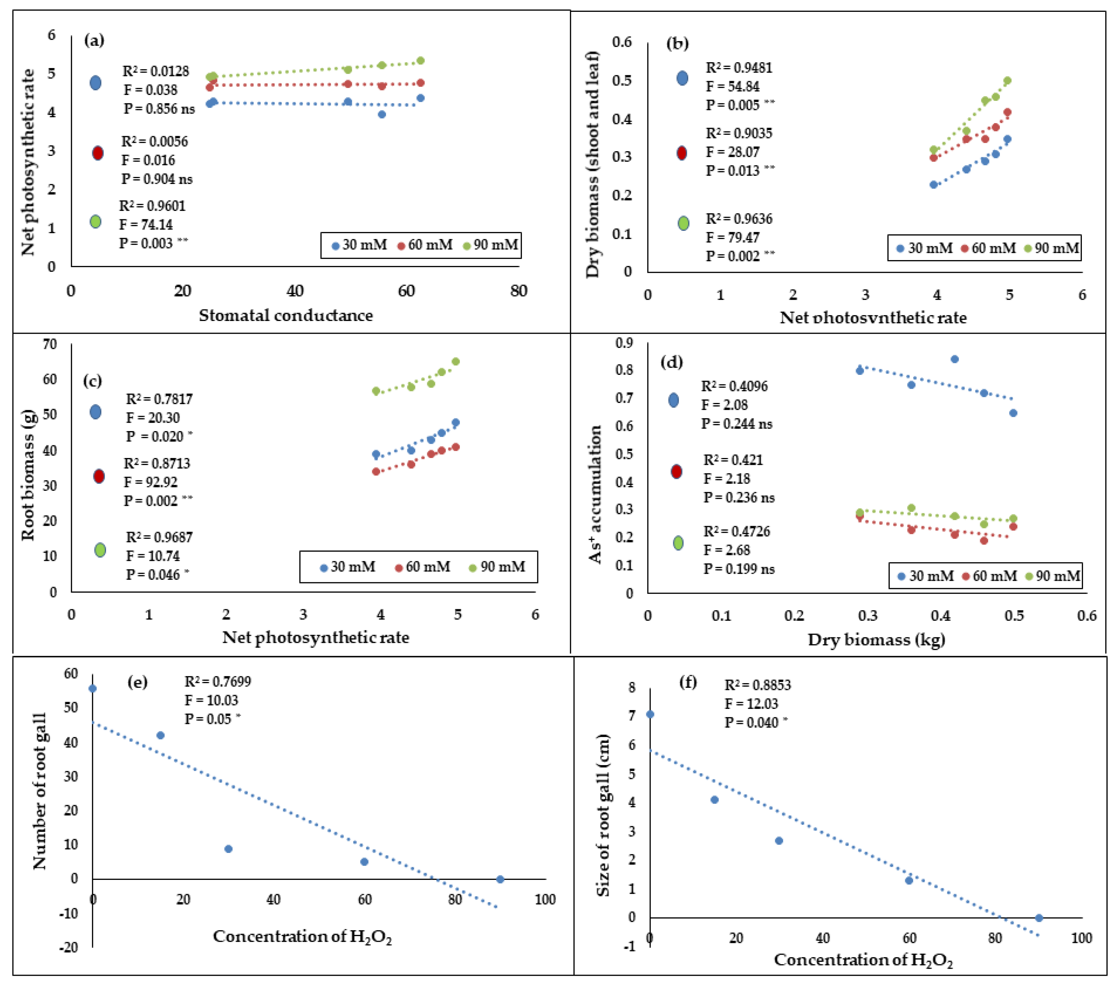
3.10. Relationship among Studied Parameters
4. Discussion
5. Conclusions
Author Contributions
Funding
Institutional Review Board Statement
Informed Consent Statement
Data Availability Statement
Acknowledgments
Conflicts of Interest
References
- USDA-ARS National Genetic Resources Program, Germplasm Resources Information Network (GRIN) Database; National Germplasm Resources Laboratory: Beltsville, MD, USA, 2007.
- Abdulla, M.A.; Ahmed, K.A.; Abu-Luhoom, F.M.; Muhanid, M. Role of Ficus deltoidea Extract in the Enhancement of Wound Healing in Experimental Rats. Biomed. Res. 2010, 21, 241–245. [Google Scholar]
- Abolmaesoomi, M.; Aziz, A.A.; Junit, S.M.; Ali, J.M. Ficus deltoidea: Effects of Solvent Polarity on Antioxidant and Anti-Proliferative Activities in Breast and Colon Cancer Cells. Eur. J. Integr. Med. 2019, 28, 57–67. [Google Scholar] [CrossRef]
- Nazarni Che Isa, M.; Ajit, A.; Naila, A.; Sulaiman, A.Z. Effect of Microwave Assisted Hydro-Distillation Extraction on Extracts of Ficus Deltoidea. Mater. Today Proc. 2018, 5, 21772–21779. [Google Scholar] [CrossRef]
- Misbah, H.; Abdul Aziz, A.; Aminudin, N. Antidiabetic and Antioxidant Properties of F. deltoidea Fruit Extracts and Fractions. BMC Complement. Altern. Med. 2013, 13, 118. [Google Scholar]
- Adam, Z.; Hamid, M.; Ismail, A.; Khamis, S. Effect of Ficus deltoidea Aqueous Extract on Blood Glucose Level in Normal and Mild Diabetic rats. Malays. J. Health Sci. 2007, 5, 9–16. [Google Scholar]
- Awang, N.A.; Hasan, S.M.Z.; Shafie, M.S.B. Morphological Study of Ficus deltoidea Jack in Malays. J. Agric. Sci. Technol. B 2013, 3, 144–150. [Google Scholar]
- Slesak, I.; Libik, M.; Karpinska, B.; Karpinski, S.; Miszalski, Z. The Role of Hydrogen Peroxide in Regulation of Plant Metabolism and Cellular Signalling in Response to Environmental Stresses. Acta Biochim. Pol. 2007, 54, 39–50. [Google Scholar] [CrossRef] [PubMed]
- Kolla, V.A.; Vavasseur, A.; Raghavendra, A.S. Hydrogen Peroxide Production is an Early Event During Bicarbonate Induced Stomatal Closure in Abaxial Epidermis of Arabidopsis. Planta 2006, 225, 1421–1429. [Google Scholar] [CrossRef]
- Rojkind, M.; Domínguez-Rosales, J.-A.; Nieto, N.; Greenwel, P. Role of Hydrogen Peroxide and Oxidative Stress in Healing Responses. Cell. Mol. Life Sci. 2002, 59, 1872–1891. [Google Scholar] [CrossRef]
- Khandaker, M.M.; Boyce, A.N.; Osman, N. The Influence of Hydrogen Peroxide on the Growth, Development and Quality of Wax Apple (Syzygium Samarangense, [Blume] Merrill & L.M. Perry var. jambu madu) Fruits. Plant Physiol. Biochem. 2012, 53, 101–110. [Google Scholar] [CrossRef]
- Cheeseman, J.M. Hydrogen Peroxide Concentrations in Leaves Under Natural Conditions. J. Exp. Bot. 2006, 57, 2435–2444. [Google Scholar] [CrossRef] [PubMed]
- Nurnaeimah, N.; Mat, N.; Mohd, K.S.; Badaluddin, N.A.; Yusoff, N.; Sajili, M.H.; Mahmud, K.; Adnan, A.F.M.; Khandaker, M.M. The Effects of Hydrogen Peroxide on Plant Growth, Mineral Accumulation, as Well as Biological and Chemical Properties of Ficus deltoidea. Agronomy 2020, 10, 599. [Google Scholar] [CrossRef]
- Guo, D.-L.; Wang, Z.-G.; Pei, M.-S.; Guo, L.-L.; Yu, Y.-H. Transcriptome Analysis Reveals Mechanism of Early Ripening in Kyoho Grape with Hydrogen Peroxide Treatment. BMC Genom. 2020, 21, 1–18. [Google Scholar] [CrossRef] [PubMed]
- Li, S.; Xue, L.; Xu, S.; Feng, H.; An, L. Hydrogen Peroxide Acts as a Signal Molecule in the Adventitious Root Formation of Mung Bean Seedlings. Environ. Exp. Bot. 2009, 65, 63–71. [Google Scholar] [CrossRef]
- Gill, H.K.; Mcsorley, R. Cover Crops for Managing Root-Knot Nematodes; University of Florida: Gainesville, FL, USA, 2011; pp. 1–6. [Google Scholar]
- Sasser, J.N.; Eisenback, J.D.; Carter, C.C.; Triantaphyllou, A.C. The International Meloidogyne Project-Its Goals and Accomplishments. Ann. Rev. Phytopathol. 1983, 21, 271–288. [Google Scholar] [CrossRef]
- Barker, K.R.; Sasser, J.N.; Carter, C.C. An Advanced Treatise on Meloidogyne; North Carolina State University Graphics: Raleigh, NC, USA, 1985; Volume 2. [Google Scholar]
- Ralmi, N.H.A.A.; Khandaker, M.M.; Mat, N. Occurrence and control of root knot nematode in crops: A review. Aus. J. Crop. Sci. 2016, 10, 1649–1654. [Google Scholar] [CrossRef]
- Musa, Y. Evaluation of Growth Performance and Yield Potential of Selected Mas Cotek (Ficus deltoidea) Accessions on Bris Soils. J. Trop Agril. Food Sci. 2006, 34, 229–235. [Google Scholar]
- Ishwar, P.S.; Sharma, A.K. Effects of Initial Inoculums Levels of Meloidogyne Incognita J2 on Development and Growth of Tomato cv. PT-3 Under Control Conditions. Afr. J. Microbiol. Res. 2015, 9, 1376–1380. [Google Scholar] [CrossRef][Green Version]
- Gustin, E.J.; McDonnell, G.E.; Mullen, G.; Gordon, B.E. The Efficacy of Vapour Phase Hydrogen Peroxide against Nematode Infestation of the Caenohabditis Elegans Model. In Proceedings of the 53rd AALAS National Meeting, San Antonio, TX, USA, 27–31 October 2002. [Google Scholar]
- Ozaki, K.; Uchida, A.; Takabe, T.; Shinagawa, F.; Tanaka, Y.; Takabe, T.; Hayashi, T.; Hattori, T.; Rai, A.K.; Takabe, T. Enrichment of Sugar Content in Melon Fruits by Hydrogen Peroxide Treatment. J. Plant Physiol. 2009, 166, 569–578. [Google Scholar] [CrossRef]
- Arnon, D.I. Copper Enzymes in Isolated Chloroplasts Polyphenol Oxidase in Beta Vulgaris. Plant Physiol. 1949, 24, 1–15. [Google Scholar] [CrossRef]
- Saura-Mas, S.; Lloret, F. Leaf and Shoot Water Content and Leaf Dry Matter Content of Mediterranean Woody Species with Different Post-Fire Regenerative Strategies. Ann. Bot. 2007, 99, 545–554. [Google Scholar] [CrossRef] [PubMed]
- Munné-Bosch, S.; Peñuelas, J. Drought-Induced Oxidative Stress in Strawberry Tree (Arbutus unedo L.) Growing in Mediterranean Field Conditions. Plant Sci. 2004, 166, 1105–1110. [Google Scholar] [CrossRef]
- Viegas, D.X.; Piñolb, J.; Viegas, M.T.; OgayaD, R. Estimating Live Fine Fuels Moisture Content Using Meteorologically-Based Indices. Int. J. Wildland Fire 2001, 10, 223. [Google Scholar] [CrossRef]
- Yen, C.P. Tree Root Patterns and Erosion Control. In Proceedings of the International Workshop on Soil Erosion and its Coun-termeasures, Soil and Water Conservation Society of Thailand, Bangkok, Thailand, 19 November 1987; pp. 92–111. [Google Scholar]
- Nashriyah, M.; Zaini, H.; Mazleha, M.; Abdul, K.W. Mineral Uptake by Taro (Colocasia Esculenta) in Swamp Agroecosystem Following Gramoxone® (Paraquat) Herbicide Spraying. J. Nuclear Related Technol. 2006, 3, 59–68. [Google Scholar]
- Tahery, Y.N.; Shukor, A.A.; Abdul-Hamid, H.; Abdullah, M.P.; Norlia, B. Status of Root Knot Nematode Disease on Kenaf Cultivated on Bris Soil in Kuala Terengganu, Malaysia. World Appl. Sci. J. 2011, 15, 1287–1295. [Google Scholar]
- Atamian, H.S.; Roberts, P.A.; Kaloshian, I. High and Low Throughput Screens with Root-Knot Nematodes Meloidogyne spp. J. Visualised Exp. 2012, 61, 3629. [Google Scholar] [CrossRef] [PubMed]
- Gowtham, H.G.; Hariprasad, P.; Singh, S.B.; Niranjana, S.R. Biological Control of Phomopsis Leaf Blight of Brinjal (Solanum melongena L.) with Combining Phylloplane and Rhizosphere Colonizing Beneficial Bacteria. Biol. Control. 2016, 101, 123–129. [Google Scholar] [CrossRef]
- Guzel, S.; Terzi, R. Exogenous Hydrogen Peroxide Increases Dry Matter Production, Mineral Content and Level of Osmotic Solutes in Young Maize Leaves and Alleviates Deleterious Effects of Copper Stress. Bot. Stud. 2013, 54, 1–10. [Google Scholar] [CrossRef] [PubMed]
- Eniu, L.; Eliao, W. Hydrogen Peroxide Signaling in Plant Development and Abiotic Responses: Crosstalk with Nitric Oxide and Calcium. Front. Plant Sci. 2016, 7, 230. [Google Scholar] [CrossRef]
- Quan, L.-J.; Zhang, B.; Shi, W.-W.; Li, H.-Y. Hydrogen Peroxide in Plants: A Versatile Molecule of the Reactive Oxygen Species Network. J. Integr. Plant Biol. 2008, 50, 2–18. [Google Scholar] [CrossRef]
- Bojovic, B.; Stojanovic, J. Chlorophyll and Carotenoid Content in Wheat Cultivars as a Function of Mineral Nutrition. Arch. Biol. Sci. 2005, 57, 283–290. [Google Scholar] [CrossRef]
- Anjum, N.A.; Sharma, P.; Gill, S.S.; Hasanuzzaman, M.; Khan, E.A.; Kachhap, K.; Mohamed, A.A.; Thangavel, P.; Devi, G.D.; Vasudhevan, P.; et al. Catalase and Ascorbate Peroxidase—Representative H2O2-Detoxifying Heme Enzymes in Plants. Environ. Sci. Pollut. Res. 2016, 23, 19002–19029. [Google Scholar] [CrossRef] [PubMed]
- Peng, J.Y.; Li, Z.H.; Xiang, H.; Huang, J.H.; Jia, S.H.; Miao, X.X.; Huang, Y.P. Preliminary Studies on Differential Defense Responses Induced During Plant Communication. Cell Res. 2005, 15, 187–192. [Google Scholar] [CrossRef] [PubMed]
- Neill, S.J.; Desikan, R.; Clarke, A.; Hancock, J.T. Nitric Oxide Is a Novel Component of Abscisic Acid Signaling in Stomatal Guard Cells. Plant Physiol. 2002, 128, 13–16. [Google Scholar] [CrossRef]
- Nasir, N.N.N.M.; Khandaker, M.M.; Mohd, K.S.; Badaluddin, N.A.; Osman, N.; Mat, N. Effect of Hydrogen Peroxide on Plant Growth, Photosynthesis, Leaf Histology and Rubisco Gene Expression of the Ficus deltoidea Jack Var. Deltoidea Jack. J. Plant Growth Regul. 2020, 1–22. [Google Scholar] [CrossRef]
- Pilar, M.G.M.; Raul, F.E.; Cristian, B.M.; Carlos, Z.E.; Luis, G.R. Effect of Injecting Hydrogen Peroxide into Heavy Clay Loam Soil on Plant Water Status, NET CO2 Assimilation, Biomass, and Vascular Anatomy of Avocado Trees. Chil. J. Agric. Res. 2009, 69, 97–106. [Google Scholar] [CrossRef]
- Peñuelas, J.; Munné-Bosch, S.; Llusià, J.; Filella, I. Leaf Reflectance and Photo- and Antioxidant Protection in Field-Grown Summer-Stressed Phillyrea Angustifolia. Optical Signals of Oxidative Stress? New Phytol. 2004, 162, 115–124. [Google Scholar] [CrossRef]
- Poorter, H.; Garnier, E. Ecological Significance of Inherent Variation in Relative Growth Rate and its Components. In Pugnaire FI, Handbook of Functional Plant Ecology; Valladares, F., Ed.; Marcel Dekker: New York, NY, USA, 1999; pp. 81–120. [Google Scholar]
- Zolla, G.; Heimer, Y.M.; Barak, S. Mild Salinity Stimulates a Stress-Induced Morphogenic Response in Arabidopsis Thaliana Roots. J. Exp. Bot. 2009, 61, 211–224. [Google Scholar] [CrossRef]
- Petigara, B.R.; Blough, N.V.; Mignerey, A.C. Mechanisms of Hydrogen Peroxide Decomposition in Soils. Environ. Sci. Technol. 2002, 36, 639–645. [Google Scholar] [CrossRef]
- Bhattarai, S.P.; Huber, S.; Midmore, D.J. Aerated Subsurface Irrigation Water Gives Growth and Yield Benefits to Zucchini, Vegetable Soybean and Cotton in Heavy Clay Soils. Ann. Appl. Biol. 2004, 144, 285–298. [Google Scholar] [CrossRef]
- Briat, J.-F.; Dubos, C.; Gaymard, F. Iron Nutrition, Biomass Production, and Plant Product Quality. Trends Plant Sci. 2015, 20, 33–40. [Google Scholar] [CrossRef]
- Jia, Y.; Kong, X.; Weiser, M.D.; Lv, Y.; Akbar, S.; Jia, X.; Tian, K.; He, Z.; Lin, H.; Bei, Z.; et al. Sodium Limits Litter Decomposition Rates in a Subtropical Forest: Additional Tests of the Sodium Ecosystem Respiration Hypothesis. Appl. Soil Ecol. 2015, 93, 98–104. [Google Scholar] [CrossRef]
- Shin, R.; Schachtman, D.P. Hydrogen Peroxide Mediates Plant Root Cell Response to Nutrient Deprivation. Proc. Natl. Acad. Sci. USA 2004, 101, 8827–8832. [Google Scholar] [CrossRef]
- Maksimović, J.D.; Mojović, M.; Maksimović, V.; Römheld, V.; Nikolic, M. Silicon Ameliorates Manganese Toxicity in Cucumber by Decreasing Hydroxyl Radical Accumulation in the Leaf Apoplast. J. Exp. Bot. 2012, 63, 2411–2420. [Google Scholar] [CrossRef]
- White, P.J.; Broadley, M.R. Calcium in Plants. Ann. Bot. 2003, 92, 487–511. [Google Scholar] [CrossRef] [PubMed]
- Sanders, D.; Pelloux, J.; Brownlee, C.; Harper, J.F. Calcium at the Crossroads of Signaling. Plant Cell 2002, 14, S401–S417. [Google Scholar] [CrossRef] [PubMed]
- Jamaludin, R.; Mat, N.; Mohd, K.S.; Badaluddin, N.A.; Mahmud, K.; Sajili, M.H.; Khandaker, M.M. Influence of Exogenous Hydrogen Peroxide on Plant Physiology, Leaf Anatomy and Rubisco Gene Expression of the Ficus Deltoidea Jack var. Deltoidea. Agronomy 2020, 10, 497. [Google Scholar] [CrossRef]
- İşeri, Ö.D.; Körpe, D.A.; Sahin, F.I.; Haberal, M. Hydrogen Peroxide Pretreatment of Roots Enhanced Oxidative Stress Response of Tomato Under Cold Stress. Acta Physiol. Plant. 2013, 35, 1905–1913. [Google Scholar] [CrossRef]
- López-Delgado, H.; Zavaleta-Mancera, H.A.; Mora-Herrera, M.E.; Vázquez-Rivera, M.; Flores-Gutiérrez, F.X.; Scott, I.M. Hydrogen Peroxide Increases Potato Tuber and Stem Starch Content, Stem Diameter, and Stem Lignin Content. Am. J. Potato Res. 2005, 82, 279–285. [Google Scholar] [CrossRef]
- Thordal-Christensen, H.; Zhang, Z.; Wei, Y.; Collinge, D.B. Subcellular Localization of H2O2 in Plants. H2O2 Accumulation in Papillae and Hypersensitive Response During the Barley-Powdery Mildew Interaction. Plant J. 1997, 11, 1187–1194. [Google Scholar] [CrossRef]
- Lin, K.-Y.; Chung, C.-H.; Ciou, J.-S.; Su, P.-F.; Wang, P.-W.; Shieh, D.-B.; Wang, T.-C. Molecular Damage and Responses of Oral Keratinocyte to Hydrogen Peroxide. BMC Oral Health 2019, 19, 1–10. [Google Scholar] [CrossRef]
- Bernards, M.A.; Razem, F.A. The Poly(Phenolic) Domain of Potato Suberin: A Non-Lignin Cell Wall Bio-Polymer. Phytochemistry 2001, 57, 1115–1122. [Google Scholar] [CrossRef]
- Barceló, A.R. Xylem Parenchyma Cells Deliver the H2O2 Necessary for Lignification in Differentiating Xylem Vessels. Planta 2005, 220, 747–756. [Google Scholar] [CrossRef] [PubMed]
- Linley, E.; Denyer, S.P.; McDonnell, G.; Simons, C.; Maillard, J.-Y. Use of Hydrogen Peroxide as a Biocide: New Consideration of its Mechanisms of Biocidal Action. J. Antimicrob. Chemother. 2012, 67, 1589–1596. [Google Scholar] [CrossRef]
- Halliwell, B.; Gutteridge, J.M.C. The Chemistry of Free Radicals and Related Reactive Species. In Free Radicals in Biology and Medicine; Oxford University Press: Oxford, UK, 1999; pp. 6–104. [Google Scholar]
- Karajeh, M. Interaction of Root-Knot Nematode (Meloidogyne Javanica) and Tomato As Affected By Hydrogen Peroxide. J. Plant Prot. Res. 2008, 48, 181–187. [Google Scholar] [CrossRef]
- Jansen, W.T.M.; Bolm, M.; Balling, R.; Chhatwal, G.S.; Schnabel, R. Hydrogen Peroxide-Mediated Killing of Caenorhabditis Elegans by Streptococcus Pyogenes. Infect. Immun. 2002, 70, 4757–4761. [Google Scholar] [CrossRef]
- Bolm, M.; Jansen, W.T.M.; Schnabel, R.; Chhatwal, G.S. Hydrogen Peroxide-Mediated Killing of Caenorhabditis Elegans: A Common Feature of Different Streptococcal Species. Infect. Immun. 2004, 72, 1192–1194. [Google Scholar] [CrossRef] [PubMed]
- Terzi, R.; Kadioglu, A.; Kalaycioglu, E.; Saglam, A. Hydrogen Peroxide Pretreatment Induces Osmotic Stress Tolerance by Influencing Osmolyte and Abscisic Acid Levels in Maize Leaves. J. Plant Interact. 2014, 9, 559–565. [Google Scholar] [CrossRef]
- Zhang, L.; Lilley, C.J.; Imren, M.; Knox, J.P.; Urwin, P.E. The Complex Cell Wall Composition of Syncytia Induced by Plant Parasitic Cyst Nematodes Reflects Both Function and Host Plant. Front. Plant Sci. 2017, 8, 1087. [Google Scholar] [CrossRef]
- Klessig, D.F.; Durner, J.; Noad, R.; Navarre, D.A.; Wendehenne, D.; Kumar, D.; Zhou, J.M.; Shah, J.; Zhang, S.; Kachroo, P.; et al. Nitric Oxide and Salicylic Acid Signaling in Plant Defense. Proc. Natl. Acad. Sci. USA 2000, 97, 8849–8855. [Google Scholar] [CrossRef] [PubMed]
- Koyama, K.; Takemoto, S. Morning Reduction of Photosynthetic Capacity before Midday Depression. Sci. Rep. 2014, 4, 4389. [Google Scholar] [CrossRef] [PubMed]
- Carbonell, A.A.; Aarabi, M.; Delaune, R.; Gambrell, R.; Patrick, W. Bioavailability and Uptake of Arsenic by Wetland Vegetation: Effects on Plant Growth and Nutrition. J. Environ. Sci. Health Part A 1998, 33, 45–66. [Google Scholar] [CrossRef]
- Garg, N.; Singla, P. Arsenic Toxicity in Crop Plants: Physiological Effects and Tolerance Mechanisms. Environ. Chem. Lett. 2011, 9, 303–321. [Google Scholar] [CrossRef]









| Treatments (mM H2O2) | Net Photosynthetic Rate (µmol/m2/s) | Transpiration Rate (mmol/m2/s) | Leaf Stomatal Conductance (mmol/m2/s) | Internal CO2 (ppm) |
|---|---|---|---|---|
| 0 | 1.64 c | 0.42 b | 15.19 b | 338.62 a |
| 15 | 2.01 bc | 0.68 b | 26.99 b | 212.44 a |
| 30 | 4.24 abc | 0.83 b | 21.79 b | 182.32 a |
| 60 | 4.75 ab | 1.72 a | 47.13 a | 208.50 a |
| 90 | 5.13 a | 1.79 a | 61.28 a | 218.54 a |
| Treatments (mM H2O2) | Relative Water Content (%) | Leaf Dry Matter Content (mg g−1) | Leaf Moisture (%) | Live Line Fuel Moisture (%) |
|---|---|---|---|---|
| 0 | 47.21 c | 0.16 b | 251.35 c | 371.02 c |
| 15 | 53.81 b | 0.16 b | 280.89 b | 372.04 c |
| 30 | 50.13 c | 0.16 b | 280.99 b | 378.87 b |
| 60 | 54.09 b | 0.16 b | 283.07 b | 382.74 b |
| 90 | 57.42 a | 0.18 a | 450.25 a | 396.42 a |
| Treatments (mM H2O2) | Root Biomass (g) Fresh | Root Biomass (g) Dry | Root Crown Diameter (mm) | Root Length (cm) | Root Volume (cm3) | Root Tips |
|---|---|---|---|---|---|---|
| 0 | 36.0 c | 26.0 b | 8.0 b | 917 c | 84 d | 1617 c |
| 15 | 128.0 a | 59.0 a | 14.5 a | 3214 b | 152 b | 5910 b |
| 30 | 116.0 b | 53.0 a | 13.0 a | 3373 b | 158 b | 6192 a |
| 60 | 121.0 a | 56.0 a | 13.5 a | 3104 b | 126 c | 5367 b |
| 90 | 128.5 a | 59.5 a | 15.0 a | 3869 a | 181 a | 5999 b |
| Treatments (mM H2O2) | Biomass/Plant (Kg) | As+ (μg/g) | Sb+ (μg/g) | |||
|---|---|---|---|---|---|---|
| Fresh | Dry | Leaf | Syconium | Leaf | Syconium | |
| 0 | 0.15 d | 0.09 d | 0.94 a | 0.89 a | 0.18 a | 0.01 a |
| 15 | 0.39 c | 0.17 c | 0.87 b | 0.29 c | 0.06 c | 0.01 a |
| 30 | 0.55 b | 0.29 b | 0.75 b | 0.49 b | 0.02 c | 0.01 a |
| 60 | 0.60 b | 0.36 a | 0.23 c | 0.13 d | 0.11 b | 0.01 a |
| 90 | 0.77 a | 0.42 a | 0.28 c | 0.22 c | 0.14 b | 0.02 a |
| Treatments (mM H2O2) | Fe2+ (μg/g) | Mg2+ (μg/g) | Ca2+ (μg/g) | Na+ (μg/g) | K+ (μg/g) | |||||
|---|---|---|---|---|---|---|---|---|---|---|
| Leaf | Syconium | Leaf | Syconium | Leaf | Syconium | Leaf | Syconium | Leaf | Syconium | |
| 0 | 57.00 a | 65.90 b | 0.56 a | 0.33 b | 1.96 b | 1.12 c | 640 b | 410 c | 1.57 b | 1.97 b |
| 15 | 69.01 b | 92.10 a | 0.39 b | 0.35 b | 1.51 c | 1.19 c | 390 c | 590 b | 1.32 c | 2.12 a |
| 30 | 65.10 b | 60.90 b | 0.45 b | 0.44 a | 1.52 c | 1.14 c | 250 c | 280 d | 1.43 b | 2.22 a |
| 60 | 66.80 b | 56.80 c | 0.64 a | 0.31 b | 2.34 a | 1.27 b | 390 c | 520 b | 1.81 a | 2.28 a |
| 90 | 68.00 b | 59.80 c | 0.38 b | 0.49 a | 1.95 b | 1.67 a | 750 a | 760 a | 1.25 c | 2.03 a |
| Treatments (mM H2O2) | Dry Weight (g) | Root/Shoot Ratio | Total no. of Root Gall | Size of the Root Gall | ||
|---|---|---|---|---|---|---|
| Root | shoot | Width | Length | |||
| 0 | 2.14 c | 1.34 d | 1.5 a | 56.00 a | 0.60 a | 7.10 a |
| 15 | 2.50 bc | 2.15 c | 1.16 a | 42.00 b | 0.50 ab | 4.10 b |
| 30 | 2.51 b | 2.64 c | 0.95 b | 9.00 c | 0.30 bc | 2.70 c |
| 60 | 2.99 b | 3.36 b | 0.89 c | 5.00 d | 0.10 cd | 1.30 d |
| 90 | 3.78 a | 4.30 a | 0.87 c | 0.00 | 0.00 | 0.00 |
Publisher’s Note: MDPI stays neutral with regard to jurisdictional claims in published maps and institutional affiliations. |
© 2021 by the authors. Licensee MDPI, Basel, Switzerland. This article is an open access article distributed under the terms and conditions of the Creative Commons Attribution (CC BY) license (https://creativecommons.org/licenses/by/4.0/).
Share and Cite
Ralmi, N.H.A.A.; Khandaker, M.M.; Mohd, K.S.; Majrashi, A.; Fallatah, A.M.; Badaluddin, N.A.; Yusoff, N.; Mahmud, K.; Saifuddin, M.; Osman, N.; et al. Influence of Rhizopheric H2O2 on Growth, Mineral Absorption, Root Anatomy and Nematode Infection of Ficus deltoidea. Agronomy 2021, 11, 704. https://doi.org/10.3390/agronomy11040704
Ralmi NHAA, Khandaker MM, Mohd KS, Majrashi A, Fallatah AM, Badaluddin NA, Yusoff N, Mahmud K, Saifuddin M, Osman N, et al. Influence of Rhizopheric H2O2 on Growth, Mineral Absorption, Root Anatomy and Nematode Infection of Ficus deltoidea. Agronomy. 2021; 11(4):704. https://doi.org/10.3390/agronomy11040704
Chicago/Turabian StyleRalmi, Nurul Hafiza Al Abadiyah, Mohammad Moneruzzaman Khandaker, Khamsah Suryati Mohd, Ali Majrashi, Ahmed M. Fallatah, Noor Afiza Badaluddin, Nornasuha Yusoff, Khairil Mahmud, Mohamed Saifuddin, Normaniza Osman, and et al. 2021. "Influence of Rhizopheric H2O2 on Growth, Mineral Absorption, Root Anatomy and Nematode Infection of Ficus deltoidea" Agronomy 11, no. 4: 704. https://doi.org/10.3390/agronomy11040704
APA StyleRalmi, N. H. A. A., Khandaker, M. M., Mohd, K. S., Majrashi, A., Fallatah, A. M., Badaluddin, N. A., Yusoff, N., Mahmud, K., Saifuddin, M., Osman, N., & Mohd Nor, Z. (2021). Influence of Rhizopheric H2O2 on Growth, Mineral Absorption, Root Anatomy and Nematode Infection of Ficus deltoidea. Agronomy, 11(4), 704. https://doi.org/10.3390/agronomy11040704

