Sign in to use this feature.

Years

Between: -

Subjects

remove_circle_outline
remove_circle_outline
remove_circle_outline
remove_circle_outline
remove_circle_outline
remove_circle_outline
remove_circle_outline
remove_circle_outline
remove_circle_outline

Journals

remove_circle_outline
remove_circle_outline
remove_circle_outline
remove_circle_outline
remove_circle_outline
remove_circle_outline
remove_circle_outline
remove_circle_outline
remove_circle_outline
remove_circle_outline
remove_circle_outline
remove_circle_outline
remove_circle_outline
remove_circle_outline
remove_circle_outline
remove_circle_outline

Article Types

Countries / Regions

remove_circle_outline
remove_circle_outline
remove_circle_outline
remove_circle_outline
remove_circle_outline
remove_circle_outline
remove_circle_outline
remove_circle_outline
remove_circle_outline
remove_circle_outline

Search Results (2,871)

Search Parameters:
Keywords = nematode

Order results
Result details
Results per page
Select all
Export citation of selected articles as:
16 pages, 1449 KB  
Article
Eco-Friendly Chitosan–Jojoba Soil Amendments Improve Growth and Resilience of Cucumber and Suppress Root-Knot Nematodes Under Greenhouse Conditions
by Rehab Y. Ghareeb, Ahmed S. Shehata, Ahmed M. Gad, Hassan A. H. Ibrahim and Sayed Aboshosha
Sustainability 2026, 18(7), 3192; https://doi.org/10.3390/su18073192 (registering DOI) - 24 Mar 2026
Abstract
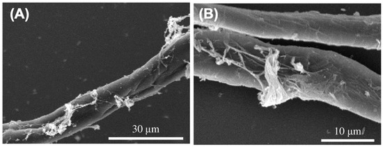
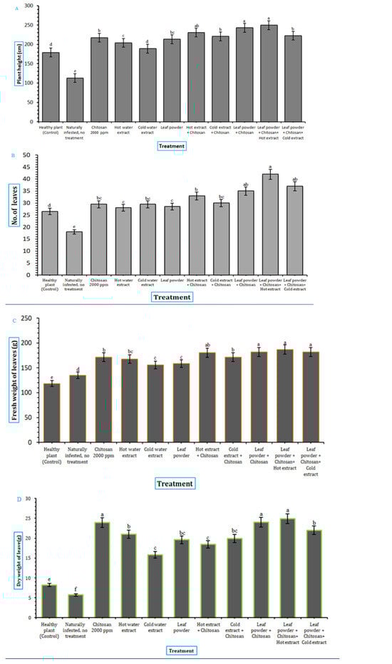
Root-knot nematodes (Meloidogyne incognita) are among the most destructive pests affecting cucumber production, causing significant reductions in plant growth and yield. This study investigated the efficacy of chitosan-based soil amendments, alone and in combination with hot or cold jojoba (Simmondsia [...] Read more.
Root-knot nematodes (Meloidogyne incognita) are among the most destructive pests affecting cucumber production, causing significant reductions in plant growth and yield. This study investigated the efficacy of chitosan-based soil amendments, alone and in combination with hot or cold jojoba (Simmondsia chinensis) leaf extracts and leaf powder, in suppressing nematode infestation and enhancing cucumber vegetative growth under greenhouse conditions. Treatments were evaluated for their impact on nematode reproduction, including egg masses, eggs per egg mass, second-stage juveniles (J2s), female numbers, and gall formation, as well as on plant growth parameters such as height, leaf number, and fresh and dry biomass. Chitosan alone reduced egg masses, eggs per egg mass, and J2s by 43.83%, 56.35%, and 50.63%, respectively, while hot water extract reduced them by 44.10%, 54.18%, and 50.48%. Cold extract was less effective, with reductions of 31.36%, 48.29%, and 40.31%, whereas leaf powder alone caused reductions of 44.20%, 54.60%, and 45.00%. Combined applications exhibited higher efficacy: hot extract + chitosan reduced egg masses, eggs per egg mass, and J2s by 61.64%, 59.45%, and 55.57%, leaf powder + chitosan by 64.38%, 60.70%, and 60.71%, and the triple treatment (leaf powder + chitosan + hot extract) achieved the highest suppression, reducing egg masses, eggs per egg mass, and J2s by 75.90%, 74.66%, and 69.22%, respectively. All treatments significantly enhanced cucumber growth compared with the naturally infested control. The triple treatment increased plant height by 38.5%, leaf number by 42.1%, fresh shoot biomass by 46.3%, and dry shoot biomass by 44.8%. Single treatments also improved growth, though to a lesser extent, reflecting a synergistic effect of chitosan and jojoba-derived amendments. These findings demonstrate that integrating biopolymer-based amendments with plant-derived bioactive compounds can simultaneously suppress root-knot nematode populations and promote cucumber growth. This study provides a solid basis for developing sustainable and eco-friendly integrated pest management strategies that reduce reliance on chemical nematicides. Full article
(This article belongs to the Special Issue Crop Management and Sustainable Agriculture)
Show Figures

Figure 1

17 pages, 1709 KB  
Article
A Lecithin-Based Delivery Form of Quercetin Promotes Stress Resistance and Longevity in Caenorhabditis elegans
by Margherita Romeo, Maria Monica Barzago, Claudia Fracasso, Manuel Nettis, Antonella Riva, Marco Gobbi, Serena Tongiani and Luisa Diomede
Pharmaceuticals 2026, 19(4), 525; https://doi.org/10.3390/ph19040525 - 24 Mar 2026
Abstract
Background/Objectives: The flavonoid quercetin (Q) has recently been suggested as a natural anti-aging and senolytic agent. However, its low stability and poor oral bioavailability may limit its efficacy. To address this, we investigated whether a lecithin-based formulation of Q, Quercefit™ (QF), enhances [...] Read more.
Background/Objectives: The flavonoid quercetin (Q) has recently been suggested as a natural anti-aging and senolytic agent. However, its low stability and poor oral bioavailability may limit its efficacy. To address this, we investigated whether a lecithin-based formulation of Q, Quercefit™ (QF), enhances stress resistance and delays aging in vivo. Methods: The nematode Caenorhabditis elegans was used as an animal model to evaluate the effects of QF under physiological and stress conditions. Unformulated Q was administered as a control. Worm survival, healthspan, resistance to thermal and oxidative stress, and expression of stress- and longevity-related genes were assessed. All the experiments were conducted at least in triplicate, each including a minimum of 15 worms. The data were analyzed using Student’s t-test, one-way or two-way ANOVA, and Bonferroni’s post hoc test. Results: One hundred micromolar Q administered in QF was more effective than equimolar unformulated Q in increasing the worms’ ability to resist acute thermal stress at 35 °C (tested on 75 worms/group) and oxidative stress caused by 0.5 mM hydrogen peroxide (tested on 75 worms/group). In this last case, the protective effect of QF was similar to that of N-acetylcysteine and ascorbic acid. Under experimental conditions mimicking the long-term consequences of thermal stress, QF, like Q, increased the worms’ lifespan and healthspan by approximately 50%, counteracting the age-related decline associated with stress (120 worms/group). These benefits are supported by QF’s capacity to act as a reactive oxygen species scavenger; suppress heat-shock element gene transcription activated by thermal stress, such as hsp-16.2 and hsp-70, and stimulate the sod-3 and gst-4 genes that are involved in antioxidant and detoxification responses. Conclusions: These findings suggest that Q, when administered in the QF formulation, can act at the transcriptional level to protect against aging induced by stressful conditions. Full article
Show Figures

Graphical abstract

9 pages, 4775 KB  
Article
Molecular and Phylogenetic Characterization of Onchocerca flexuosa in Red Deer from South-Eastern Europe
by Ervin Martinuš, Ema Gagović, Adnan Hodžić, Daria Jurković Žilić and Relja Beck
Pathogens 2026, 15(4), 344; https://doi.org/10.3390/pathogens15040344 - 24 Mar 2026
Abstract
Onchocerca flexuosa is a vector-borne filarial nematode infecting red deer (Cervus elaphus) throughout Europe. Despite numerous reports from Central, Northern, and Southern Europe, its occurrence in South-Eastern Europe has remained largely undocumented. This study provides the first molecularly confirmed report and [...] Read more.
Onchocerca flexuosa is a vector-borne filarial nematode infecting red deer (Cervus elaphus) throughout Europe. Despite numerous reports from Central, Northern, and Southern Europe, its occurrence in South-Eastern Europe has remained largely undocumented. This study provides the first molecularly confirmed report and the first systematic epidemiological assessment of O. flexuosa in red deer in Croatia. During the 2024–2025 hunting season, 110 legally harvested red deer from central Croatia were examined for subcutaneous nodules. Nodules were evaluated morphologically, and adult nematodes were identified and confirmed by sequencing of a fragment of the mitochondrial cytochrome c oxidase subunit I (COI) gene. Subcutaneous nodules were detected in 53.6% (59/110) of examined animals. O. flexuosa was confirmed in 52 deer, corresponding to an overall prevalence of 47.3%. Co-infection with Hypoderma diana occurred in 21.2% of infected animals. Sequence similarity ranged from 96.37% to 99.85% compared to published European O. flexuosa isolates. Phylogenetic analysis placed Croatian sequences within the established European lineage, without evidence of regional genetic divergence. The observed prevalence falls within the intermediate range reported across Europe and indicates stable local transmission. These findings close an important geographical knowledge gap and demonstrate that nodular onchocercosis is established in red deer populations in South-Eastern Europe. Full article
(This article belongs to the Special Issue Pets, Wildlife and Parasites—2nd Edition)
Show Figures

Figure 1

24 pages, 935 KB  
Review
Inventory of Metazoan Parasites Associated with Anostomids in South America
by Wallas Benevides Barbosa de Sousa, Maria Fernanda Barros Gouveia Diniz and Fabio Hideki Yamada
Limnol. Rev. 2026, 26(1), 11; https://doi.org/10.3390/limnolrev26010011 - 22 Mar 2026
Viewed by 113
Abstract
Anostomidae is one of the most diverse families within the order Characiformes and is widely distributed across the river basins of the Neotropical region. Anostomids are known to host a rich diversity of metazoan parasites, including ectoparasites, such as monopisthocotylans, and endoparasites, such [...] Read more.
Anostomidae is one of the most diverse families within the order Characiformes and is widely distributed across the river basins of the Neotropical region. Anostomids are known to host a rich diversity of metazoan parasites, including ectoparasites, such as monopisthocotylans, and endoparasites, such as nematodes, cestodes, and digeneans. The present study aims to develop an inventory of metazoan parasites recorded in fish of the Anostomidae family. A bibliographic review of metazoan parasite species in anostomids was conducted, using searches in different databases. This bibliographic review was complemented with information from books and book chapters on ictioparasitology. The data were compiled until January 2025. Based on the review, 191 taxa (126 are described at the species level and 65 were identified only to the genus level or higher taxonomic categories) of metazoan parasites associated with anostomid fishes were found. Monopisthocotyla and Nematoda were the taxonomic groups with the most parasitic associations at the species level, with 31 and 30 species, respectively. This study presents a comprehensive and updated inventory of metazoan parasites associated with fish from the family Anostomidae, covering over 170 years of research (1850–2025). This survey highlights the importance of anostomids as hosts for a rich parasitic fauna. Full article
Show Figures

Figure 1

13 pages, 2408 KB  
Article
Nematicidal Potential of Purpureocillium takamizusanense PMEPF27 Against Motile Bursaphelenchus rainulfi In Vitro
by Yuh Tzean, Elena Gamboa Chen, Xiao-Yu Wei, I-En Shih, Hui-Yu Hsu, Ya-Zhen Xu, Ying-Hong Lin, Meng-Ling Wu, Tai-Yuan Chen, Yung-Yu Yang and Jen-Chih Chen
Microorganisms 2026, 14(3), 714; https://doi.org/10.3390/microorganisms14030714 - 22 Mar 2026
Viewed by 108
Abstract
Bursaphelenchus rainulfi is a pine-associated, non-pathogenic nematode that serves as a motile comparative species for evaluating nematophagous fungi. We investigated the in vitro biocontrol activity of Purpureocillium takamizusanense strain PMEPF27, originally isolated from insect cadavers in Taiwan, against mixed motile stages of B. [...] Read more.
Bursaphelenchus rainulfi is a pine-associated, non-pathogenic nematode that serves as a motile comparative species for evaluating nematophagous fungi. We investigated the in vitro biocontrol activity of Purpureocillium takamizusanense strain PMEPF27, originally isolated from insect cadavers in Taiwan, against mixed motile stages of B. rainulfi. Identity of the fungus was confirmed by morphology and ITS/EF-1α sequencing. Nematodes were exposed in liquid suspension to PMEPF27 conidia, with sterile water as the negative control and fluopyram as the positive control. Mortality was monitored over 7 days, and scanning electron microscopy was used to observe fungus–nematode interactions. PMEPF27 caused significantly higher mortality than the water control, reaching ~80% by day 7, and showed surface disruption of nematode cuticles, although no direct spore penetration was observed. These findings expand the nematophagous profile of P. takamizusanense beyond egg and sedentary stages, validate B. rainulfi as a motile comparative species in pine-nematode bioassays, and highlight PMEPF27 as a promising candidate for biocontrol development. Full article
(This article belongs to the Special Issue Biological Control of Microbial Pathogens in Plants)
Show Figures

Figure 1

11 pages, 288 KB  
Review
Review of the Potential Use of Oscheius Nematodes in Biological Control
by Karolina Kralj and Žiga Laznik
Agronomy 2026, 16(6), 646; https://doi.org/10.3390/agronomy16060646 - 19 Mar 2026
Viewed by 131
Abstract
Nematodes in the genus Oscheius (Rhabditidae) have traditionally been regarded as free-living bacteriophagous or necromenic associates of insects. Over the past two decades, however, multiple Oscheius species and isolates have been shown to express facultative pathogenicity toward insects and, in some cases, parasitism [...] Read more.
Nematodes in the genus Oscheius (Rhabditidae) have traditionally been regarded as free-living bacteriophagous or necromenic associates of insects. Over the past two decades, however, multiple Oscheius species and isolates have been shown to express facultative pathogenicity toward insects and, in some cases, parasitism of mollusks. This has stimulated interest in Oscheius as a complementary group of biological control agents that may function under conditions limiting classical entomopathogenic nematodes (EPNs) of the genera Steinernema and Heterorhabditis. Here, we synthesize current knowledge on Oscheius taxonomy and diversity, life-history strategies, bacterial associations and virulence mechanisms, evidence for control of insect and mollusk pests, and recent advances in chemo-ecology relevant to host finding. We emphasize that Oscheius represents a continuum of ecological strategies, and we adopt conservative terminology in which “entomopathogenic” is reserved for Oscheius species/isolates that meet operational criteria of insect pathogenicity. Finally, we highlight key barriers to wider implementation—strain variability, bacterial partner instability, non-target and community effects, and production/quality control needs—and propose research priorities for the development of robust, field-reliable Oscheius-based biocontrol. Full article
(This article belongs to the Section Pest and Disease Management)
5 pages, 156 KB  
Editorial
RNAi in Insect Physiology: Unlocking Mechanisms and Pioneering Sustainable Pest Control
by Jisheng Liu and Luc Swevers
Insects 2026, 17(3), 333; https://doi.org/10.3390/insects17030333 - 19 Mar 2026
Viewed by 252
Abstract
The advent of RNA interference (RNAi) in 1998, marked by the discovery of gene silencing triggered by double-stranded RNA (dsRNA) in nematodes, opened a transformative chapter in molecular biology [...] Full article
(This article belongs to the Special Issue RNAi in Insect Physiology)
15 pages, 8457 KB  
Article
Coproparasitological Survey of Stranded Cetaceans on Portugal’s Mainland Coastline
by André Lobão, Mariana Louro, João Lozano, Isabel Pereira da Fonseca, Jacinto Gomes, Catarina Eira, Marisa Ferreira and Luís Madeira de Carvalho
J. Mar. Sci. Eng. 2026, 14(6), 562; https://doi.org/10.3390/jmse14060562 - 18 Mar 2026
Viewed by 259
Abstract
Parasitism affects nearly half of all animal species and strongly influences ecosystem dynamics. Despite their sentinel value, parasitic infections in cetaceans remain understudied. This study assessed the diversity, prevalence, and burden of gastrointestinal and pulmonary parasites in seventy-five stranded cetaceans from six species [...] Read more.
Parasitism affects nearly half of all animal species and strongly influences ecosystem dynamics. Despite their sentinel value, parasitic infections in cetaceans remain understudied. This study assessed the diversity, prevalence, and burden of gastrointestinal and pulmonary parasites in seventy-five stranded cetaceans from six species along the central and northern Portuguese coastline. Coprological methods included Mini-FLOTAC®, Willis-flotation, natural sedimentation, modified Ziehl–Neelsen staining, direct immunofluorescence, and adapted spontaneous sedimentation. Overall, 61.3% of samples tested positive for at least one parasitic taxon, with 22.7% showing coinfections. Anisakidae and Ascaridida were the most prevalent (36%), followed by Pseudaliidae larvae (5.3%), unidentified trematode eggs (8.0%), Odhneriella spp. (5.3%), Nasitrema spp. (2.7%), Zalophotrema spp. (2.7%), and Synthesium spp. (1.3%). Nematode eggs exhibited the highest mean burden, with anisakids reaching 4862 eggs per gram of feces (EPG), whereas trematodes showed a markedly lower burden, exemplified by Zalophotrema spp. with 90 EPG. All samples assessed were negative for Cryptosporidium spp. and Giardia spp. Unidentified ovoid structures were present in 76% of samples. Macroscopic sedimentation revealed anisakid larvae, one cestode, over fifty Ogmogaster antarctica specimens, and six marine arthropods. These findings provide baseline data for cetacean parasitology and support future integrative research for conservation and ecosystem health. Full article
(This article belongs to the Special Issue Parasitology of Marine Animals)
Show Figures

Figure 1

21 pages, 1486 KB  
Review
Selenium Neurotoxicity and Nutritional Signaling: Integrated Oxidative Stress Pathways in C. elegans
by Sirirak Mukem, Anchaleekorn Somkasetrin, Jirapan Thongsroy, Jerald Tan, Bunsita Srichai and Sirithip Chuaijit
Stresses 2026, 6(1), 15; https://doi.org/10.3390/stresses6010015 - 17 Mar 2026
Viewed by 175
Abstract
Selenium (Se) is a trace element with a narrow margin between beneficial effects and stress from toxic effects. The determinants of the transition from selenium adequacy to toxicity remain unknown. Moreover, the roles of selenoproteins and other adaptive responses also remain unclear. The [...] Read more.
Selenium (Se) is a trace element with a narrow margin between beneficial effects and stress from toxic effects. The determinants of the transition from selenium adequacy to toxicity remain unknown. Moreover, the roles of selenoproteins and other adaptive responses also remain unclear. The effects of dynamic and localized redox fluctuations on survival and neurodegeneration also require further investigation. To better understand the underlying mechanisms, several studies utilized the nematode Caenorhabditis elegans (C. elegans) as a model. This review systematically addresses pivotal mechanistic controversies. Thioredoxin reductase-1 (TRXR-1) is the only protein in a small amount of the selenoproteome, and it also has a fully conserved selenocysteine insertion mechanism. Moreover, this systematic review also incorporates the current understanding of the molecular factors that determine selenium homeostasis, ranging from neurotoxicological diseases to biosynthetic circumstances. TRXR-1 supports health benefits such as enhance lipid metabolism, longevity, and stress response. During acute selenium toxicity, TRXR-1 is not needed for survival. Instead, cells defend against adverse effects by using the HIF-1 pathway. Reactive oxygen species (ROS) and hydrogen sulfide (H2S) inhibit the prolyl hydroxylase EGL-9 in high-selenium conditions, stabilizing HIF-1 and initiating a transcriptional detoxification process independent of the selenoprotein mechanism. Finally, this review also discuss selective neurotoxicity, a condition in which degeneration that occurs solely in cholinergic ventral cord motor neurons plays a distinctive and precarious role among trace elements. Full article
(This article belongs to the Section Animal and Human Stresses)
Show Figures

Figure 1

32 pages, 5779 KB  
Systematic Review
Agri-Food Biowaste Bioactives for Biopesticides: A Circular Economy Solution with Industry 4.0?
by Thiago F. Soares, Rita C. Alves and Maria Beatriz P. P. Oliveira
Molecules 2026, 31(6), 996; https://doi.org/10.3390/molecules31060996 - 16 Mar 2026
Viewed by 235
Abstract
The widespread use of synthetic pesticides has ensured crop productivity but has also raised serious environmental and human health concerns, including water contamination, biodiversity loss, and intoxication risks. In this context, global strategies for sustainable agriculture, safer alternatives are urgently needed. This systematic [...] Read more.
The widespread use of synthetic pesticides has ensured crop productivity but has also raised serious environmental and human health concerns, including water contamination, biodiversity loss, and intoxication risks. In this context, global strategies for sustainable agriculture, safer alternatives are urgently needed. This systematic review, conducted in accordance with PRISMA guidelines, examines the potential of agri-food by-products as sources of bioactive compounds for biopesticide development within a circular economy framework. Residues from major agri-food chains, including the olive, potato, banana, citrus, and winery industries, were systematically analyzed with respect to their phytochemical composition, such as phenolics, flavonoids, terpenoids, fatty acids, and essential oils, and their reported bioactivity against insects, weeds, fungi, bacteria, and nematodes. The mechanisms of action, technological recovery strategies, and formulation challenges are critically discussed. Additionally, regulatory challenges and opportunities in the European and U.S. markets are described together with the role of Industry 4.0 technologies in optimizing recovery processes and product development. By promoting biopesticides from agri-food biowaste, this approach contributes to sustainable production (SDG 12), innovation in industrial processes (SDG 9), and the protection of terrestrial and aquatic ecosystems (SDGs 14 and 15), positioning food industry residues as a strategic resource for green crop protection. Full article
Show Figures

Figure 1

16 pages, 839 KB  
Article
Passifloraceae Rootstock Performance Against Soil Pathogens in Yellow Passion Fruit Crops (Passiflora edulis f. flavicarpa Degener)
by Jenny Calderón-González, Eliana Granja-Guerra, William Viera-Arroyo, Wilson Vásquez-Castillo, Jessica Sanmiguel, Jimmy Pico and Yadira Vargas-Tierras
Horticulturae 2026, 12(3), 360; https://doi.org/10.3390/horticulturae12030360 - 15 Mar 2026
Viewed by 186
Abstract
The response of five Passiflora species as rootstocks for yellow passion fruit was evaluated against the Meloidogyne incognita complex and Fusarium oxysporum f. sp. passiflorae. Individual, sequential, and simultaneous inoculations were applied, quantifying disease severity, nematode reproduction (RF), biomass, and plant vigour. In [...] Read more.
The response of five Passiflora species as rootstocks for yellow passion fruit was evaluated against the Meloidogyne incognita complex and Fusarium oxysporum f. sp. passiflorae. Individual, sequential, and simultaneous inoculations were applied, quantifying disease severity, nematode reproduction (RF), biomass, and plant vigour. In addition, integrated analysis was performed using the Combined Tolerance Index (CTI) to confirm the simultaneous interaction of the inoculation condition. The graft compatibility index (GCI) of the materials under study was also determined. The results showed critical functional differences; P. maliformis showed tolerance in terms of compensatory vigour but presented high susceptibility to the nematode and low graft affinity (GCI = 1.39). In contrast, P. platyloba emerged as the superior genotype, combining effective resistance to Meloidogyne (zero incidence at critical stages), excellent anatomical compatibility (deviation from the ideal of 0.04), and physiological stability superior to the control. Although P. nitida showed resilience in biomass under severe stress conditions, it is concluded that P. platyloba is the most promising alternative for use as rootstock. This is because its morphological affinity and health resistance ensure crop sustainability in field conditions and promote more sustainable agricultural practices. Full article
(This article belongs to the Special Issue Effect of Rootstock on Fruit Production and Quality)
Show Figures

Figure 1

17 pages, 2481 KB  
Article
6-PPD Quinone Inhibits Phosphatidic Acid Synthesis Associated with an Increase in Intestinal Barrier Permeability in C. elegans
by Jingwei Wu, Qian Bian and Dayong Wang
Toxics 2026, 14(3), 254; https://doi.org/10.3390/toxics14030254 - 12 Mar 2026
Viewed by 287
Abstract
6-PPD quinine (6-PPDQ) affects intestinal barrier function; however, its underlying mechanisms remain largely unknown. In the current study, we examined the role of reduction in phosphatidic acid synthesis in mediating the toxicity of 6-PPDQ in affecting intestinal barrier function. In Caenorhabditis elegans, [...] Read more.
6-PPD quinine (6-PPDQ) affects intestinal barrier function; however, its underlying mechanisms remain largely unknown. In the current study, we examined the role of reduction in phosphatidic acid synthesis in mediating the toxicity of 6-PPDQ in affecting intestinal barrier function. In Caenorhabditis elegans, 6-PPDQ exposure reduced the phosphatidic acid content, which was accompanied by the decreased expression of acl-5 and acl-6 encoding glycerol-3-phosphate acyltransferase. The RNAi of acl-5 and acl-6 lowered the phosphatidic acid content, enhanced intestinal permeability, and resulted in the increased accumulation of 6-PPDQ. Meanwhile, acl-5 and acl-6 RNAi caused susceptibility to 6-PPDQ toxicity by upregulating the expressions of insulin ligands and receptor genes and downregulating the expressions of daf-16 and its target genes. Moreover, the RNAi of acl-5 and acl-6 elevated the expression of let-363, and the RNAi of let-363 could reduce the expressions of insulin ligand genes and confer resistance to 6-PPDQ toxicity. The double RNAi of acl-5 and acl-6 caused more severe enhanced intestinal permeability and 6-PPDQ toxicity. Therefore, 6-PPDQ exposure potentially disrupts phosphatidic acid synthesis to affect intestinal barrier function by downregulating acl-5 and acl-6 expressions. Full article
(This article belongs to the Special Issue Occurrence, Fate, Bioaccumulation and Toxic Effects of 6PPDQ)
Show Figures

Figure 1

19 pages, 9255 KB  
Article
Impact of Scutellonema curcumae sp. n. (Nematoda: Hoplolaimidae) on the Phytochemical Profile and Biological Activities of Turmeric (Curcuma longa L.)
by Tu Thi Dinh, Quan Minh Pham, Long Quoc Pham, Chi Kim Ngo, Van Thi Thuy Nguyen, Thuong Thi Le Hoang, Tu Ngoc Ly, Linh Ngoc Nguyen, Thao Thi Phuong Nguyen and Lam Tien Do
Molecules 2026, 31(6), 920; https://doi.org/10.3390/molecules31060920 - 10 Mar 2026
Viewed by 238
Abstract
A new spiral nematode species, Scutellonema curcumae sp. n., was identified from the rhizosphere of turmeric (Curcuma longa L.) in the Western Highlands of Vietnam. Integrative taxonomical analysis, combining detailed morphology and molecular characterization (ITS, 28S D2–D3 rDNA, and COI mtDNA), confirmed [...] Read more.
A new spiral nematode species, Scutellonema curcumae sp. n., was identified from the rhizosphere of turmeric (Curcuma longa L.) in the Western Highlands of Vietnam. Integrative taxonomical analysis, combining detailed morphology and molecular characterization (ITS, 28S D2–D3 rDNA, and COI mtDNA), confirmed its distinctiveness. Scutellonema curcumae sp. n. is characterized by a unique combination of a spiral body, a hemispherical lip region with four annuli, a robust stylet, and a rounded tail with a prominent scutellum, forming a highly divergent lineage within the genus. Beyond its description, this study reveals a significant inverse correlation between nematode population density and the phytochemical quality of the host. High infestation levels were associated with a marked decline in total curcuminoid content. Notably, lower nematode density favored a specific shift in the curcuminoid profile, with bisdemethoxycurcumin levels increasing by up to 250%. These phytochemical alterations directly influenced the therapeutic potential of the rhizomes: lower infestation levels resulted in significantly enhanced antioxidant capacity (lower SC50 values) and cytotoxic activity (lower IC50 against HepG2 and A549 cell lines). This work represents the first report of a Scutellonema species associated with turmeric in Vietnam and underscores its detrimental impact on the medicinal and nutraceutical value of the crop. Our findings suggest that effective nematode management is crucial not only for yield protection but as a strategic intervention in precision agriculture to optimize the secondary metabolite profiles of medicinal plants. Full article
Show Figures

Figure 1

21 pages, 2990 KB  
Article
Native Entomopathogenic Nematodes from Peru Control Spodoptera frugiperda, a Major Pest of Zea mays in the Peruvian Amazon
by Grecia Fachin-Ruiz, Deyvis Córdova-Sinarahua, Lorena Estefani Romero-Chávez, Jaime Alvarado-Ramírez, Cesar Quesquen-Lopez, Eybis Flores-García, Christian Koch-Duarte, Agustin Cerna-Mendoza, Joel Vásquez-Bardales and Mike Corazon-Guivin
Int. J. Mol. Sci. 2026, 27(5), 2502; https://doi.org/10.3390/ijms27052502 - 9 Mar 2026
Viewed by 438
Abstract
This study evaluated entomopathogenic nematodes (EPNs) isolated from a cacao agroforestry system in the Peruvian Amazon, focusing on their molecular characterization and efficacy against Spodoptera frugiperda (Lepidoptera: Noctuidae) larvae. Thirteen EPN isolates were obtained from 50 soil samples using the Galleria mellonella baiting [...] Read more.
This study evaluated entomopathogenic nematodes (EPNs) isolated from a cacao agroforestry system in the Peruvian Amazon, focusing on their molecular characterization and efficacy against Spodoptera frugiperda (Lepidoptera: Noctuidae) larvae. Thirteen EPN isolates were obtained from 50 soil samples using the Galleria mellonella baiting technique. Mortality assays revealed significant differences among isolates at 24, 48, and 72 h, with isolates 11N-A4 and 8N-B1 being the most virulent, achieving maximum mortalities of 100% and 96.3% at 72 h, respectively. Median lethal time (LT50) values indicated rapid action of these isolates on G. mellonella larvae, with 33.3 h for 11N-A4 and 32.4 h for 8N-B1. Molecular identification using ITS, D2–D3 (LSU), and COI markers confirmed the isolates as Heterorhabditis sp. (11N-A4) and Heterorhabditis amazonensis (8N-B1). In bioassays with S. frugiperda larvae, both EPNs exhibited dose- and time-dependent mortality. H. amazonensis showed rapid action, reaching 100% mortality at the highest dose (60 IJs/larvae) within 48 h, whereas Heterorhabditis sp. displayed a gradual, sustained increase, attaining 91% mortality at 72 h. Median lethal dose (LD50) and LT50 values reflected the efficiency of both isolates, with Heterorhabditis sp. achieving lower LD50 at later stages and shorter LT50 at low-to-intermediate doses. These findings highlight the potential of Heterorhabditis sp. and H. amazonensis as effective biocontrol agents adapted to local conditions and represent the first report of H. amazonensis in Peru. Further studies under field conditions are required to confirm their suitability for incorporation into integrated pest management strategies in the Peruvian Amazon. Full article
(This article belongs to the Special Issue Molecular Signalling in Multitrophic Systems Involving Arthropods)
Show Figures

Figure 1

16 pages, 1706 KB  
Systematic Review
Anuran amphibian Hemoparasites over the Last Century: Advances, Challenges, and Future Prospects: A Systematic Review
by Paula Andrea Yepes, Lucas S. Barrientos and Adriana Pulido-Villamarín
Animals 2026, 16(5), 847; https://doi.org/10.3390/ani16050847 - 8 Mar 2026
Viewed by 523
Abstract
Hemoparasites are intracellular organisms that affect groups of vertebrates, including amphibians, yet their diversity, distribution, and ecological effects remain partially understood. This systematic review analyzed advances over the past one hundred years in the study of hemoparasites in anurans, emphasizing: (1) the geographical [...] Read more.
Hemoparasites are intracellular organisms that affect groups of vertebrates, including amphibians, yet their diversity, distribution, and ecological effects remain partially understood. This systematic review analyzed advances over the past one hundred years in the study of hemoparasites in anurans, emphasizing: (1) the geographical distribution of studies, (2) the diagnostic techniques employed, and (3) the diversity of parasites and hosts involved. To this end, 83 scientific articles published between 1924 and 2024 were reviewed, following PRISMA guidelines and within an adapted PICO framework. The results reveal a notable increase in publications since the 2000s, with a concentration in North and South America. Morphological studies predominated (69.9%), while only 22.9% combined morphological and molecular techniques and 9.6% used only molecular techniques. Protozoan genera such as Hepatozoon and Trypanosoma, as well as nematodes (microfilariae) of the family Filaroidea, were frequently reported (69.7%); on the host side, the most studied anuran families were Ranidae (34.6%), Hylidae (6.9%), and Bufonidae (21.5%). Important methodological gaps were evident, particularly biodiverse tropical regions such as Central Africa, Southeast Asia, the Andean-Amazon, and Central America. These findings underscore the need to strengthen local research capacities, expand sampling efforts, and standardize diagnostic protocols to advance knowledge of hemoparasite diversity, ecology, and their role in ecosystem health. Full article
(This article belongs to the Special Issue Wild and Domestic Animal Hemoparasites)
Show Figures

Figure 1

Back to TopTop