Total and Hot-Water Extractable Organic Carbon and Nitrogen in Organic Soil Amendments: Their Prediction Using Portable Mid-Infrared Spectroscopy with Support Vector Machines
Abstract
1. Introduction
2. Materials and Methods
2.1. Organic Amendments
2.2. Determination of Laboratory Data
2.3. Acquisition of Benchtop and Portable MIR Spectra
2.4. Spectra Pre-Treatment and SVM Model Calibration
3. Results and Discussion
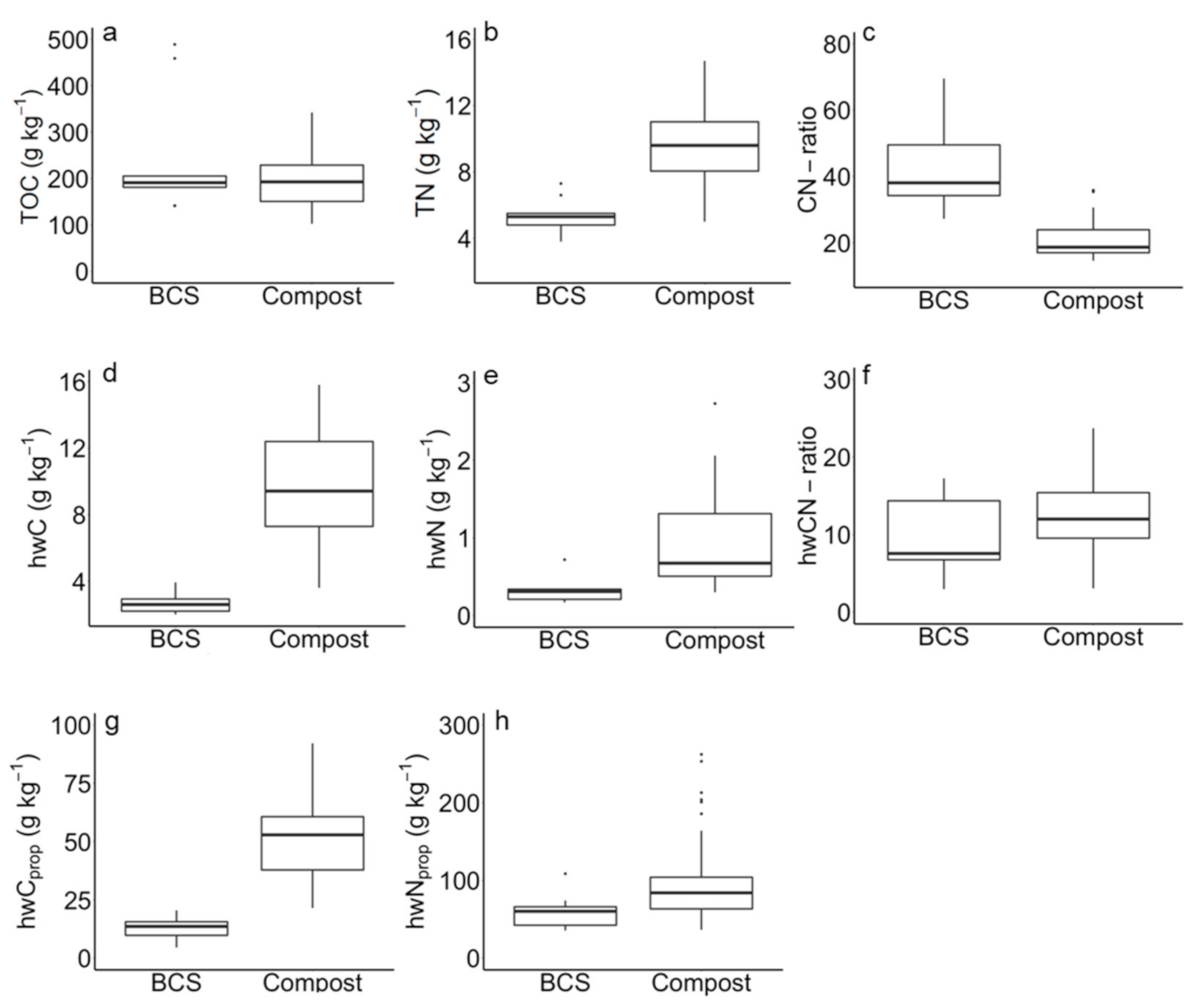
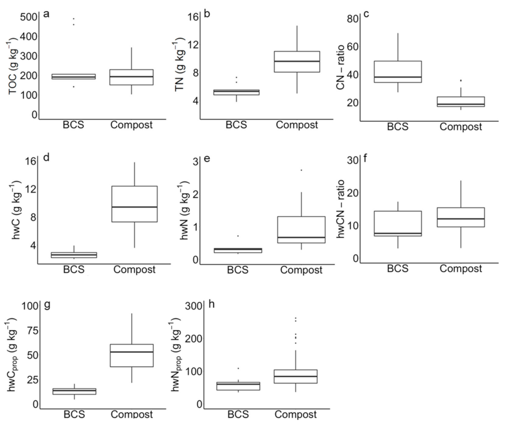
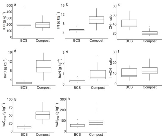
3.1. Laboratory Analysis
3.2. Comparison of Prediction Models for Integer OA Calibrated on bMIRS and pMIRS Spectra
3.3. Calibration of pMIRS SVM Prediction Models for Particle Size Classes of OA
4. Conclusions
Author Contributions
Funding
Institutional Review Board Statement
Informed Consent Statement
Acknowledgments
Conflicts of Interest
References
- Gregory, A.S.; Ritz, K.; McGrath, S.P.; Quinton, J.N.; Goulding, K.W.T.; Jones, R.J.A.; Harris, J.A.; Bol, R.; Wallace, P.; Pilgrim, E.S.; et al. A review of the impacts of degradation threats on soil properties in the UK. Soil Use Manag. 2015, 31, 1–15. [Google Scholar] [CrossRef] [PubMed]
- Kammann, C.I.; Schmidt, H.-P.; Messerschmidt, N.; Linsel, S.; Steffens, D.; Müller, C.; Koyro, H.-W.; Conte, P.; Joseph, S.; Stephen, J. Plant growth improvement mediated by nitrate capture in co-composted biochar. Sci. Rep. 2015, 5, 11080. [Google Scholar] [CrossRef]
- Atkinson, C.J. How good is the evidence that soil-applied biochar improves water-holding capacity? Soil Use Manag. 2018, 34, 177–186. [Google Scholar] [CrossRef]
- Saidy, A.R.; Smernik, R.J.; Baldock, J.A.; Kaiser, K.; Sanderman, J. The sorption of organic carbon onto differing clay minerals in the presence and absence of hydrous iron oxide. Geoderma 2013, 209–210, 15–21. [Google Scholar] [CrossRef]
- Lal, R. Soil carbon sequestration impacts on global climate change and food security. Science 2004, 304, 1623–1627. [Google Scholar] [CrossRef]
- Brenzinger, K.; Drost, S.M.; Korthals, G.; Bodelier, P.L.E. Organic Residue Amendments to Modulate Greenhouse Gas Emissions From Agricultural Soils. Front. Microbiol. 2018, 9, 3035. [Google Scholar] [CrossRef] [PubMed]
- Thangarajan, R.; Bolan, N.S.; Tian, G.; Naidu, R.; Kunhikrishnan, A. Role of organic amendment application on greenhouse gas emission from soil. Sci. Total Environ. 2013, 465, 72–96. [Google Scholar] [CrossRef]
- Wang, H.; Ren, T.; Yang, H.; Feng, Y.; Feng, H.; Liu, G.; Yin, Q.; Shi, H. Research and Application of Biochar in Soil CO2 Emission, Fertility, and Microorganisms: A Sustainable Solution to Solve China’s Agricultural Straw Burning Problem. Sustainability 2020, 12, 1922. [Google Scholar] [CrossRef]
- Ding, Y.; Liu, Y.; Liu, S.; Li, Z.; Tan, X.; Huang, X.; Zeng, G.; Zhou, L.; Zheng, B. Biochar to improve soil fertility. A review. Agron. Sustain. Dev. 2016, 36. [Google Scholar] [CrossRef]
- Wang, Y.; Villamil, M.B.; Davidson, P.C.; Akdeniz, N. A quantitative understanding of the role of co-composted biochar in plant growth using meta-analysis. Sci. Total Environ. 2019, 685, 741–752. [Google Scholar] [CrossRef] [PubMed]
- Lehmann, J.; Joseph, S. (Eds.) Biochar for Environmental Management: Science, Technology and Implementation, 2nd ed.; Routledge, Taylor & Francis Group: London, UK; New York, NY, USA, 2015; ISBN 9780415704151. [Google Scholar]
- Lata Verma, S.; Marschner, P. Compost effects on microbial biomass and soil P pools as affected by particle size and soil properties. J. Soil Sci. Plant Nutr. 2013. [Google Scholar] [CrossRef]
- Körschens, M.; Weigel, A.; Schulz, E. Turnover of soil organic matter (SOM) and long-term balances-tools for evaluating sustainable productivity of soils. Z. Pflanzenernaehr. Bodenk. 1998, 161, 409–424. [Google Scholar] [CrossRef]
- Mohanty, M.; Sinha, N.K.; Sammi Reddy, K.; Chaudhary, R.S.; Subba Rao, A.; Dalal, R.C.; Menzies, N.W. How Important is the Quality of Organic Amendments in Relation to Mineral N Availability in Soils? Agric. Res. 2013, 2, 99–110. [Google Scholar] [CrossRef]
- Körschens, M. Der organische Kohlenstoff im Boden (C org )-Bedeutung, Bestimmung, Bewertung Soil organic carbon (Corg)–importance, determination, evaluation. Arch. Agron. Soil Sci. 2010, 56, 375–392. [Google Scholar] [CrossRef]
- Ghani, A.; Dexter, M.; Perrott, K. Hot-water extractable carbon in soils: A sensitive measurement for determining impacts of fertilisation, grazing and cultivation. Soil Biol. Biochem. 2003, 35, 1231–1243. [Google Scholar] [CrossRef]
- Zmora-Nahum, S.; Markovitch, O.; Tarchitzky, J.; Chen, Y. Dissolved organic carbon (DOC) as a parameter of compost maturity. Soil Biol. Biochem. 2005, 37, 2109–2116. [Google Scholar] [CrossRef]
- Ros, G.H.; Hoffland, E.; van Kessel, C.; Temminghoff, E.J. Extractable and dissolved soil organic nitrogen–A quantitative assessment. Soil Biol. Biochem. 2009, 41, 1029–1039. [Google Scholar] [CrossRef]
- Zhou, X.; Chen, C.; Wu, H.; Xu, Z. Dynamics of soil extractable carbon and nitrogen under different cover crop residues. J. Soils Sediments 2012, 12, 844–853. [Google Scholar] [CrossRef]
- Pätzold, S.; Leenen, M.; Frizen, P.; Heggemann, T.; Wagner, P.; Rodionov, A. Predicting plant available phosphorus using infrared spectroscopy with consideration for future mobile sensing applications in precision farming. Precis. Agric. 2020, 21, 737–761. [Google Scholar] [CrossRef]
- Leenen, M.; Welp, G.; Gebbers, R.; Pätzold, S. Rapid determination of lime requirement by mid-infrared spectroscopy: A promising approach for precision agriculture. J. Plant Nutr. Soil Sci. 2019, 182, 953–963. [Google Scholar] [CrossRef]
- Bornemann, L.; Welp, G.; Amelung, W. Particulate Organic Matter at the Field Scale: Rapid Acquisition Using Mid-Infrared Spectroscopy. Soil Sci. Soc. Am. J. 2010, 74, 1147–1156. [Google Scholar] [CrossRef]
- Viscarra Rossel, R.A.; Walvoort, D.; McBratney, A.B.; Janik, L.J.; Skjemstad, J.O. Visible, near infrared, mid infrared or combined diffuse reflectance spectroscopy for simultaneous assessment of various soil properties. Geoderma 2006, 131, 59–75. [Google Scholar] [CrossRef]
- Hutengs, C.; Ludwig, B.; Jung, A.; Eisele, A.; Vohland, M. Comparison of Portable and Bench-Top Spectrometers for Mid-Infrared Diffuse Reflectance Measurements of Soils. Sensors 2018, 18, 993. [Google Scholar] [CrossRef] [PubMed]
- Hutengs, C.; Seidel, M.; Oertel, F.; Ludwig, B.; Vohland, M. In situ and laboratory soil spectroscopy with portable visible-to-near-infrared and mid-infrared instruments for the assessment of organic carbon in soils. Geoderma 2019, 355, 113900. [Google Scholar] [CrossRef]
- Dhawale, N.M.; Adamchuk, V.I.; Prasher, S.O.; Viscarra Rossel, R.A.; Ismail, A.A.; Kaur, J. Proximal soil sensing of soil texture and organic matter with a prototype portable mid-infrared spectrometer. Eur. J. Soil Sci. 2015, 66, 661–669. [Google Scholar] [CrossRef]
- Sisouane, M.; Cascant, M.M.; Tahiri, S.; Garrigues, S.; El Krati, M.; Boutchich, G.E.K.; Cervera, M.L.; de La Guardia, M. Prediction of organic carbon and total nitrogen contents in organic wastes and their composts by Infrared spectroscopy and partial least square regression. Talanta 2017, 167, 352–358. [Google Scholar] [CrossRef] [PubMed]
- Meissl, K.; Smidt, E.; Schwanninger, M.; Tintner, J. Determination of humic acids content in composts by means of near- and mid-infrared spectroscopy and partial least squares regression models. Appl. Spectrosc. 2008, 62, 873–880. [Google Scholar] [CrossRef]
- Deiss, L.; Margenot, A.J.; Culman, S.W.; Demyan, M.S. Tuning support vector machines regression models improves prediction accuracy of soil properties in MIR spectroscopy. Geoderma 2020, 365, 114227. [Google Scholar] [CrossRef]
- Mountrakis, G.; Im, J.; Ogole, C. Support vector machines in remote sensing: A review. ISPRS J. Photogramm. Remote Sens. 2011, 66, 247–259. [Google Scholar] [CrossRef]
- Cortes, C.; Vapnik, V. Support-Vector Networks. Mach. Learn. 1995, 20, 273–297. [Google Scholar] [CrossRef]
- Ivanciuc, O. Applications of Support Vector Machines in Chemistry. In Reviews in Computational Chemistry; Lipkowitz, K.B., Ed.; Wiley: Chichester, UK, 2007; pp. 291–400. ISBN 9780470116449. [Google Scholar]
- Mantero, P.; Moser, G.; Serpico, S.B. Partially Supervised classification of remote sensing images through SVM-based probability density estimation. IEEE Trans. Geosci. Remote Sens. 2005, 43, 559–570. [Google Scholar] [CrossRef]
- Acevedo, F.J.; Jiménez, J.; Maldonado, S.; Domínguez, E.; Narváez, A. Classification of wines produced in specific regions by UV-visible spectroscopy combined with support vector machines. J. Agric. Food Chem. 2007, 55, 6842–6849. [Google Scholar] [CrossRef] [PubMed]
- Meyer, D.; Dimitriadou, E.; Hornik, K.; Weingassel, A.; Leich, F.; Chang, C.-C.; Lin, C.-C. R package e1071: Misc Functions of the Departemt of Statistics, Probability Thery Group, TU Wien: Version 1.7-4 2020. Available online: https://cran.r-project.org/web/packages/e1071/index.html (accessed on 29 March 2021).
- Stevens, A.; Ramirez-Lopez, L.; Hans, G. R Package Prospectr: Miscellaneous Functions for Processing and Sample Selection of Spectroscopic Data: Version 0.2.1 2020. Available online: https://cran.r-project.org/web/packages/prospectr/index.html (accessed on 29 March 2021).
- Wickham, H.; Chang, W.; Henry, L.; Pedersen, T.L.; Takahashi, K.; Wilke, C.; Woo, K.; Yutani, H.; Dunnington, D. R Package ggplot2: Create Elegant Data Visualisations Using the Grammar of Graphics: Version 3.3.3 2020. Available online: https://cran.r-project.org/web/packages/ggplot2/index.html (accessed on 29 March 2021).
- Stevens, A.; Ramirez-Lopez, L. An Introduction to the Prospectr Package. R Package Vignette, Report No.: R Package Version 0.1, 3. 2014. Available online: https://cran.r-project.org/web/packages/prospectr/vignettes/prospectr.html (accessed on 29 March 2021).
- Scholkopf, B.; Smola, A.J.; Williamson, R.C.; Bartlett, P.L. New support vector algorithms. Neural Comput. 2000, 12, 1207–1245. [Google Scholar] [CrossRef] [PubMed]
- Bennett, K.P.; Campbell, C. Support vector machines. SIGKDD Explor. Newsl. 2000, 2, 1–13. [Google Scholar] [CrossRef]
- Bellon-Maurel, V.; Fernandez-Ahumada, E.; Palagos, B.; Roger, J.-M.; McBratney, A. Critical review of chemometric indicators commonly used for assessing the quality of the prediction of soil attributes by NIR spectroscopy. TrAC Trends Anal. Chem. 2010, 29, 1073–1081. [Google Scholar] [CrossRef]
- Ludwig, B.; Murugan, R.; Parama, V.R.R.; Vohland, M. Accuracy of Estimating Soil Properties with Mid-Infrared Spectroscopy: Implications of Different Chemometric Approaches and Software Packages Related to Calibration Sample Size. Soil Sci. Soc. Am. J. 2019, 83, 1542–1552. [Google Scholar] [CrossRef]
- Bongiorno, G.; Bünemann, E.K.; Oguejiofor, C.U.; Meier, J.; Gort, G.; Comans, R.; Mäder, P.; Brussaard, L.; de Goede, R. Sensitivity of labile carbon fractions to tillage and organic matter management and their potential as comprehensive soil quality indicators across pedoclimatic conditions in Europe. Ecol. Indic. 2019, 99, 38–50. [Google Scholar] [CrossRef]
- Fischer, D.; Glaser, B. Synergisms between Compost and Biochar for Sustainable Soil Amelioration. In The Waste Oil Resulting from Crude Oil Microbial Biodegradation in Soil; Zyakun, A.M., Boronin, A.M., Kochetkov, V.V., Eds.; INTECH Open Access Publisher: London, UK, 2012; ISBN 978-953-307-925-7. [Google Scholar]
- Stumpe, B.; Weihermüller, L.; Marschner, B. Sample preparation and selection for qualitative and quantitative analyses of soil organic carbon with mid-infrared reflectance spectroscopy. Eur. J. Soil Sci. 2011, 62, 849–862. [Google Scholar] [CrossRef]
- Soriano-Disla, J.M.; Janik, L.J.; Allen, D.J.; McLaughlin, M.J. Evaluation of the performance of portable visible-infrared instruments for the prediction of soil properties. Biosyst. Eng. 2017, 161, 24–36. [Google Scholar] [CrossRef]
- Jia, X.; Chen, S.; Yang, Y.; Zhou, L.; Yu, W.; Shi, Z. Organic carbon prediction in soil cores using VNIR and MIR techniques in an alpine landscape. Sci. Rep. 2017, 7, 2144. [Google Scholar] [CrossRef]
- Cécillon, L.; Barthès, B.G.; Gomez, C.; Ertlen, D.; Genot, V.; Hedde, M.; Stevens, A.; Brun, J.J. Assessment and monitoring of soil quality using near-infrared reflectance spectroscopy (NIRS). Eur. J. Soil Sci. 2009, 60, 770–784. [Google Scholar] [CrossRef]
- Ludwig, B.; Murugan, R.; Parama, V.R.R.; Vohland, M. Use of different chemometric approaches for an estimation of soil properties at field scale with near infrared spectroscopy. J. Plant Nutr. Soil Sci. 2018, 181, 704–713. [Google Scholar] [CrossRef]
- Bellon-Maurel, V.; McBratney, A. Near-infrared (NIR) and mid-infrared (MIR) spectroscopic techniques for assessing the amount of carbon stock in soils–Critical review and research perspectives. Soil Biol. Biochem. 2011, 43, 1398–1410. [Google Scholar] [CrossRef]







| Substrate | >4 mm | 2–4 mm | 2–0.5 mm | <0.5 mm |
|---|---|---|---|---|
| Compost 1 | 304 | 201 | 326 | 169 |
| Compost 2 | 105 | 89 | 348 | 459 |
| Compost 3 | 225 | 190 | 400 | 184 |
| Compost 4 | 407 | 221 | 265 | 106 |
| Compost 5 | 243 | 162 | 357 | 238 |
| Compost 6 | 295 | 157 | 279 | 26.9 |
| Compost 7 | 375 | 180 | 302 | 142 |
| Compost 8 | 603 | 108 | 157 | 132 |
| BCS 1 | 102 | 223 | 468 | 207 |
| BCS 2 | 150 | 152 | 526 | 173 |
| Substrate | Unfractionated | <0.5 mm | 0.5–2 mm | 2–4 mm | >4 mm | Total |
|---|---|---|---|---|---|---|
| Compost | 36 | 24 | 24 | 24 | 21 | 129 |
| BCS | 9 | 6 | 6 | 6 | 6 | 33 |
| Total | 45 | 162 | ||||
| Property | Device | Spectral Pre-Treatment | RMSEPr | R2Pr | RPIQPr | γ | C |
|---|---|---|---|---|---|---|---|
| TOC (g kg−1) | B | 1st der + SG | 25.8 | 0.79 | 2.11 | 0.5 | 100 |
| P | SG | 24.8 | 0.91 | 3.86 | 0.1 | 25 | |
| TN (g kg−1) | B | 1st der + SG | 1.0 | 0.93 | 3.11 | 0.1 | 25 |
| P | MSC | 1.4 | 0.73 | 2.45 | 0.1 | 5 | |
| CN-ratio | B | MSC | 3.96 | 0.72 | 1.60 | 0.1 | 100 |
| P | 1st der | 2.69 | 0.85 | 3.03 | 1 | 100 | |
| hwC (g kg−1) | B | SNV | 2.08 | 0.72 | 2.75 | 0.1 | 10 |
| P | none | 2.28 | 0.76 | 2.53 | 0.1 | 5 | |
| hwN (g kg−1) | B | 1st der + SG | 0.19 | 0.93 | 5.15 | 1 | 10 |
| P | SG | 0.30 | 0.78 | 2.62 | 0.5 | 5 | |
| hwCN-ratio | B | 1st der | 2.43 | 0.71 | 2.38 | 1 | 100 |
| P | 1st der | 2.01 | 0.88 | 2.82 | 1 | 100 | |
| hwCprop (g kg−1) | B | 1st der + SG | 13.2 | 0.61 | 2.75 | 0.1 | 100 |
| P | none | 15.0 | 0.71 | 1.88 | 0.1 | 5 | |
| hwNprop (g kg−1) | B | 1st der + SG | 19.7 | 0.91 | 3.52 | 1 | 100 |
| P | 1st der | 34.7 | 0.81 | 1.38 | 1 | 100 |
| Property | Spectra Pre-Treatment | RMSE | R2 | RPIQ | γ | C | |||
|---|---|---|---|---|---|---|---|---|---|
| CV | pr | CV | pr | CV | pr | ||||
| TOC (g kg−1) | 1st der | 18.8 | 44.7 | 0.93 | 0.77 | 4.34 | 1.19 | 0.5 | 50 |
| TN (g kg−1) | MSC | 0.7 | 0.9 | 0.94 | 0.93 | 4.80 | 5.70 | 0.1 | 10 |
| CN-ratio | 1st der + SG | 3.44 | 7.00 | 0.94 | 0.79 | 2.99 | 2.72 | 0.5 | 100 |
| hwC (g kg−1) | 1st der + SG | 0.65 | 2.55 | 0.98 | 0.81 | 10.09 | 3.87 | 1 | 25 |
| hwN (g kg−1) | MSC | 0.09 | 0.22 | 0.98 | 0.89 | 9.37 | 3.33 | 0.5 | 10 |
| hwCN-ratio | SNV | 0.10 | 3.65 | 0.97 | 0.49 | 8.54 | 2.03 | 0.1 | 50 |
| hwCprop (g kg−1) | 1st der + SG | 4.6 | 12.8 | 0.96 | 0.85 | 7.33 | 4.07 | 1 | 10 |
| hwNprop (g kg−1) | MSC | 1.0 | 21.1 | 0.96 | 0.88 | 7.98 | 2.20 | 0.5 | 100 |
Publisher’s Note: MDPI stays neutral with regard to jurisdictional claims in published maps and institutional affiliations. |
© 2021 by the authors. Licensee MDPI, Basel, Switzerland. This article is an open access article distributed under the terms and conditions of the Creative Commons Attribution (CC BY) license (https://creativecommons.org/licenses/by/4.0/).
Share and Cite
Wehrle, R.; Welp, G.; Pätzold, S. Total and Hot-Water Extractable Organic Carbon and Nitrogen in Organic Soil Amendments: Their Prediction Using Portable Mid-Infrared Spectroscopy with Support Vector Machines. Agronomy 2021, 11, 659. https://doi.org/10.3390/agronomy11040659
Wehrle R, Welp G, Pätzold S. Total and Hot-Water Extractable Organic Carbon and Nitrogen in Organic Soil Amendments: Their Prediction Using Portable Mid-Infrared Spectroscopy with Support Vector Machines. Agronomy. 2021; 11(4):659. https://doi.org/10.3390/agronomy11040659
Chicago/Turabian StyleWehrle, Ralf, Gerhard Welp, and Stefan Pätzold. 2021. "Total and Hot-Water Extractable Organic Carbon and Nitrogen in Organic Soil Amendments: Their Prediction Using Portable Mid-Infrared Spectroscopy with Support Vector Machines" Agronomy 11, no. 4: 659. https://doi.org/10.3390/agronomy11040659
APA StyleWehrle, R., Welp, G., & Pätzold, S. (2021). Total and Hot-Water Extractable Organic Carbon and Nitrogen in Organic Soil Amendments: Their Prediction Using Portable Mid-Infrared Spectroscopy with Support Vector Machines. Agronomy, 11(4), 659. https://doi.org/10.3390/agronomy11040659

