Integrated Effects of Potassium Humate and Planting Density on Growth, Physiological Traits and Yield of Vicia faba L. Grown in Newly Reclaimed Soil
Abstract
1. Introduction
2. Materials and Methods
2.1. Plant Material, Growing Condition, Experimental Design and Treatments
2.2. Measurement of Growth Parameters
2.3. Determination of Photosynthetic Pigments
2.4. Estimation of Osmolytes and Total Soluble Phenols
2.5. Determination of Membrane Stability Index (MSI%), Relative Water Content (RWC%) and Electrolyte Leakage (EL%)
2.6. Estimation of Inorganic Cations Content
2.7. Measurement of Yield and Its Components
2.8. Statistical Analysis
3. Results
3.1. Growth Parameters
3.2. Photosynthetic Pigments
3.3. Organic Solutes and Total Soluble Phenols
3.4. MSI, RWC and EL
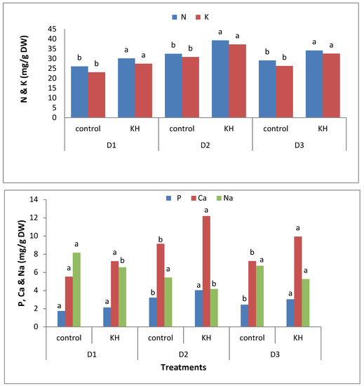
3.5. Inorganic Cations Content
3.6. Yield and Its Components
4. Discussion
5. Conclusions
Author Contributions
Funding
Institutional Review Board Statement
Informed Consent Statement
Data Availability Statement
Conflicts of Interest
References
- Semida, W.M.; Taha, R.S.; Abdelhamid, M.T.; Rady, M.M. Foliar-applied α-tocopherol enhances salt-tolerance in Vicia faba L. plants grown under saline conditions. S. Afr. J. Bot. 2014, 95, 24–31. [Google Scholar] [CrossRef]
- Rady, M.M.; Taha, R.S.; Semida, W.M.; Alharby, H.F. Modulation of salt stress effects on Vicia faba L. plants grown on a reclaimed-saline soil by salicylic acid application. Rom. Agric. Res. 2017, 34, 175–185. [Google Scholar]
- Mahdi, A.H.A.; Rady, M.M.; Abd El-Wahed, G.A. Integrative application of phosphorein and microbein improves Vicia faba (L.) performance and controls soil-borne diseases. Int. J. Curr. Microbiol. Appl. Sci. 2019, 8, 103–121. [Google Scholar] [CrossRef]
- Megawer, A.E.; EL-Sherif, A.M.A.; Mohamed, S.M. Performance of five faba bean varieties under different irrigation intervals and sowing dates in newly reclaimed soil. Int. J. Agron. Agric. Res. 2017, 10, 57–66. [Google Scholar]
- Al-Suhaibani, N.; El-Hendawy, S.; Schmidhalter, U. Influence of varied plant density on growth, yield and economic return of drip irrigated faba bean (Vicia faba L.). Turk. J. Field Crops 2013, 18, 185–197. [Google Scholar]
- Wakweya, K.; Dargie, R.; Meleta, T. Effect of sowing date and seed rate on faba bean (Vicia faba L.,) growth, yield and components of yield at Sinana, Highland conditions of Bale, Southeastern Ethiopia. Int. J. Sci. Res. Agric. Sci. 2016, 3, 25–34. [Google Scholar] [CrossRef]
- Mahdi, A.H.A. Response of Egyptian cotton to mepiquat chloride application under different plant spacings. Egypt J. Agron. 2016, 38, 99–116. [Google Scholar]
- Abd El-Rahman, A.M.R. Effect of plant population and distribution on yield and yield components of five faba bean genotypes. J. Plant Prod. Mansoura Univ. 2014, 5, 1965–1972. [Google Scholar] [CrossRef]
- Taha, R.S.; Seleiman, M.F.; Alhammad, B.A.; Jawaher, A.; Alwahibi, M.S.; Mahdi, A.H.A. Activated Yeast Extract Enhances Growth, Anatomical Structure, and Productivity of Lupinus termis L. Plants under Actual Salinity Conditions. Agronomy 2021, 11, 74. [Google Scholar] [CrossRef]
- Taha, R.S.; Seleiman, M.F.; Alotaibi, M.; Alhammad, B.A.; Rady, M.M.; Mahdi, A.H.A. Exogenous Potassium Treatments Elevate Salt Tolerance and Performances of Glycine max L. by Boosting Antioxidant Defense System under Actual Saline Field Conditions. Agronomy 2020, 10, 1741. [Google Scholar] [CrossRef]
- Garca, A.C.; Santos, L.A.; de Souza, L.G.A.; Tavares, O.C.H.; Zonta, E.; Gomes, E.T.M. Ver-micompost humic acids modulate the accumulation and metabolism of ROS in rice plants. J. Plant Physiol. 2016, 192, 56–63. [Google Scholar] [CrossRef]
- Idrees, M.; Anjum, M.A.; Mirza, J.I. Potassium humate and NPK application rates influence yield and economic performance of potato crops grown in clayey loam soils. Soil Environ. 2018, 37, 53–61. [Google Scholar] [CrossRef]
- Dawood, G.M.; Abdel-Baky, Y.R.; El-Awadi, M.E.; Bakhoum, G.S. Enhancement quality and quantity of faba bean plants grown under sandy soil conditions by nicotinamide and/or humic acid application. Bull. Nat. Res. Cen. 2019, 43, 1–8. [Google Scholar] [CrossRef]
- Osman, M.E.H.; Mohsen, A.A.; El-Feky, S.S.; Mohamed, A.W. Response of salt-stressed wheat (Triticum aestivum L.) to potassium humate treatment and potassium silicate foliar application. Egypt. J. Bot. 2017, 57, 85–102. [Google Scholar]
- Ibrahim, S.M.; Ali, M.A. Effect of potassium humate application on yield and nutrient uptake of maize grown in a calcareous soil. Alex. Sci. Exch. J. 2018, 39, 412–418. [Google Scholar] [CrossRef][Green Version]
- Kumar, D.; Singh, A.P.; Raha, P.; Rakshit, A.; Singh, C.M.; Kishor, P. Potassium humate: A Potential soil conditioner and plant growth promoter. Int. J. Agric. Environ. Biotech. 2013, 6, 441–446. [Google Scholar]
- Barakat, M.A.S.; Osman, A.S.; Semida, W.M.; Gyushi, M.A.H. Influence of potassium humate and ascorbic acid on growth, yield and chemical composition of common bean (Phaseolus vulgaris L.) grown under reclaimed soil conditions. Int. J. Acad. Res. 2015, 7, 192–199. [Google Scholar]
- Klute, A. Methods of Soil Analysis: Part 1—Physical and Mineralogical Methods, 2nd ed.; American Society of Agronomy: Madison, WI, USA, 1986. [Google Scholar]
- Page, A.I.; Miller, R.H.; Keeney, D.R. Methods of Soil Analysis: Part 2—Chemical and Microbiological Properties, 2nd ed.; American Society of Agronomy: Madison, WI, USA, 1982. [Google Scholar]
- Cherry, J.H. Molecular Biology of Plants (A Text Manual); Columbia University Press: New York, NY, USA, 1973. [Google Scholar]
- DuBois, M.; Gilles, K.A.; Hamilton, J.K.; Rebers, P.A.; Smith, F. Colorimetric method for determination of sugars and related substances. Anal. Chem. 1956, 28, 350–356. [Google Scholar] [CrossRef]
- Moore, S.; Stein, W.H.A. modified ninhydrin reagent for the photometric determination of amino acids and related compounds. J. Biol. Chem. 1954, 211, 907–913. [Google Scholar] [CrossRef]
- Swain, T.; Hillis, W.E. The phenolic constituents of Prunus domestica L. The quantitative analysis of phenolic constituents. J. Sci. Food Agric. 1959, 10, 63–68. [Google Scholar] [CrossRef]
- Bates, L.S.; Waldeen, R.P.; Teare, I.D. Rapid determination of free proline for water stress studies. Plant Soil 1973, 39, 205–207. [Google Scholar] [CrossRef]
- Premchandra, G.S.; Saneoka, H.; Ogata, S. Cell membrane stability, an indicator of drought tolerance as affected by applied nitrogen in soybean. J. Agric. Sci. Camb. 1990, 115, 63–66. [Google Scholar]
- Hayat, S.; Ali, B.; Hasan, S.A.; Ahmad, A. Brassinosteroid enhanced the level of antioxidants under cadmium stress in Brassica juncea. Environ. Exp. Bot. 2007, 60, 33–41. [Google Scholar] [CrossRef]
- Sullivan, C.Y.; Ross, W.M. Selecting the drought and heat resistance in grain sorghum. In Stress Physiology in Crop Plants; Mussel, H., Staples, R.C., Eds.; John Wiley & Sons: New York, NY, USA, 1979; pp. 263–281. [Google Scholar]
- Hafez, A.R.; Mikkelsen, D.S. Colorimetric determination of nitrogen for evaluating the nutritional status of rice. Commun. Soil Sci. Plant Anal. 1981, 12, 61–69. [Google Scholar] [CrossRef]
- Chapman, H.D.; Pratt, P.F. Methods of Analysis for Soil, Plants and Water; University of California, Division of Agricultural Science: Berkeley, CA, USA, 1961; pp. 56–63. [Google Scholar]
- Gomez, K.A.; Gomez, A.A. Statistical Procedures for Agricultural Research, 2nd ed.; John Wiley & Sons: Singapore, 1984; p. 680. [Google Scholar]
- Mohsen, A.A.M.; Ibraheim, S.K.A.; Abdel-Fattah, M.K. Effect of potassium humate, nitrogen bio fertilizer and molybdenum on growth and productivity of garlic (Allium sativum L.). Curr. Sci. Int. 2017, 6, 75–85. [Google Scholar]
- Nishiyama, Y.; Allakhverdiev, S.I.; Murata, N. Protein synthesis is the primary target of reactive oxygen species in the photoinhibition of photosystem II. Physiol. Plant 2011, 142, 35–46. [Google Scholar] [CrossRef] [PubMed]
- El-Ghamry, A.M.; Abd El-Hai, K.M.; Ghoneem, K.M. Amino and humic acids promote growth, yield and disease resistance of faba bean cultivated in clayey soil. Aust. J. Basic Appl. Sci. 2009, 3, 731–739. [Google Scholar]
- Arafa, A.A.; Farouk, S.; Hager, S.M. Effect of potassium fertilizers, biostimulant and effective microorganisms as well as their interactions on potato growth, photosynthetic pigments and stem anatomy. J. Plant Prod. 2011, 2, 1017–1035. [Google Scholar] [CrossRef]
- Abdel Latef, A.A.; Shaddad, M.A.K.; Ismail, A.M.; Alhmad, M.F.A. Benzyladenine can alleviate saline injury of two roselle (Hibiscus sabdariffa) cultivars via equilibration of cytosolutes including anthocyanins. Int. J. Agric. Biol. 2009, 11, 151–157. [Google Scholar]
- Hanafy, A.A.H.; Nesiem, M.R.; Hewedy, A.M.; Sallam, H. Effect of some simulative compounds on growth, yield and chemical composition of snap bean plants grown under calcareous soil conditions. J. Am. Sci. 2010, 6, 552–569. [Google Scholar]
- Kumar, D.; Singh, A.P. Efficacy of potassium humate and chemical fertilizers on yield and nutrient availability patterns in soil at different growth stages of rice. Commun. Soil. Sci. Plant Anal. 2017, 48, 245–261. [Google Scholar] [CrossRef]
- Salem, H.M.; Abo-Setta, Y.; Aiad, M.A.; Hussein, H.A.; El-Awady, R.A. Effect of otassium humate and potassium silicate on growth and productivity of wheat plants grown under saline conditions. Soil Sci. Agric. Eng. Mansoura Univ. 2017, 8, 577–582. [Google Scholar]
- Rady, M.M.; Abd El-Mageed, T.A.; Abdurrahman, H.A.; Mahdi, A.H. Humic acid application improves field performance of cotton (Gossypium barbadense L.) under saline conditions. J. Anim. Plant Sci. 2016, 26, 487–493. [Google Scholar]
- Abd El-Moneim, M.H.; Omar, M.A.; EL-Tabbakh, S.S.; Nawar, A. The effect of date and pattern of sowing on growth, productivity and technological characters of cotton (Gossypium barbadense L.) variety Giza 86. Alex. Sci. Exch. J. 2017, 38, 389–396. [Google Scholar]
- Hemida, K.A.; Eloufey, A.Z.A.; Seif El-Yazal, M.A.; Rady, M.M. Integrated effect of potassium humate and α-tocopherol applications on soil characteristics and performance of Phaseolus vulgaris plants grown on a saline soil. Arch. Agron. Soil Sci. 2017, 63, 1556–1571. [Google Scholar] [CrossRef]






| Properties | 2018/2019 | 2019/2020 |
|---|---|---|
| Physical analysis | ||
| Clay (%) | 32.5 | 31.4 |
| Sand (%) | 48.3 | 51.1 |
| Silt (%) | 19.2 | 17.5 |
| Texture class | Loamy sand | Loamy sand |
| Chemical analysis | ||
| Organic matter (%) | 0.73 | 0.75 |
| CaCO3 (%) | 3.97 | 3.89 |
| PH | 7.83 | 7.92 |
| ECe (dS m−1) | 5.89 | 5.75 |
| Total N (%) | 0.059 | 0.058 |
| P (mg kg−1 soil) | 3.41 | 3.56 |
| K (mg kg−1 soil) | 43.53 | 47.25 |
Publisher’s Note: MDPI stays neutral with regard to jurisdictional claims in published maps and institutional affiliations. |
© 2021 by the authors. Licensee MDPI, Basel, Switzerland. This article is an open access article distributed under the terms and conditions of the Creative Commons Attribution (CC BY) license (http://creativecommons.org/licenses/by/4.0/).
Share and Cite
Mahdi, A.H.A.; Badawy, S.A.; Abdel Latef, A.A.H.; El Hosary, A.A.A.; Abd El Razek, U.A.; Taha, R.S. Integrated Effects of Potassium Humate and Planting Density on Growth, Physiological Traits and Yield of Vicia faba L. Grown in Newly Reclaimed Soil. Agronomy 2021, 11, 461. https://doi.org/10.3390/agronomy11030461
Mahdi AHA, Badawy SA, Abdel Latef AAH, El Hosary AAA, Abd El Razek UA, Taha RS. Integrated Effects of Potassium Humate and Planting Density on Growth, Physiological Traits and Yield of Vicia faba L. Grown in Newly Reclaimed Soil. Agronomy. 2021; 11(3):461. https://doi.org/10.3390/agronomy11030461
Chicago/Turabian StyleMahdi, Ayman H. A., Shimaa A. Badawy, Arafat Abdel Hamed Abdel Latef, Ahmed A. A. El Hosary, Usama A. Abd El Razek, and Ragab S. Taha. 2021. "Integrated Effects of Potassium Humate and Planting Density on Growth, Physiological Traits and Yield of Vicia faba L. Grown in Newly Reclaimed Soil" Agronomy 11, no. 3: 461. https://doi.org/10.3390/agronomy11030461
APA StyleMahdi, A. H. A., Badawy, S. A., Abdel Latef, A. A. H., El Hosary, A. A. A., Abd El Razek, U. A., & Taha, R. S. (2021). Integrated Effects of Potassium Humate and Planting Density on Growth, Physiological Traits and Yield of Vicia faba L. Grown in Newly Reclaimed Soil. Agronomy, 11(3), 461. https://doi.org/10.3390/agronomy11030461

