Effects of Se Application on Polyamines and Carbon–Nitrogen Metabolism of Pepper Plants Suffering from Cd Toxicity
Abstract
1. Introduction
2. Materials and Methods
2.1. Growing Conditions and Plant Material
2.2. Cd and Se Treatments Applied to the Plants
2.3. Analytical Parameters Measured during the Assay
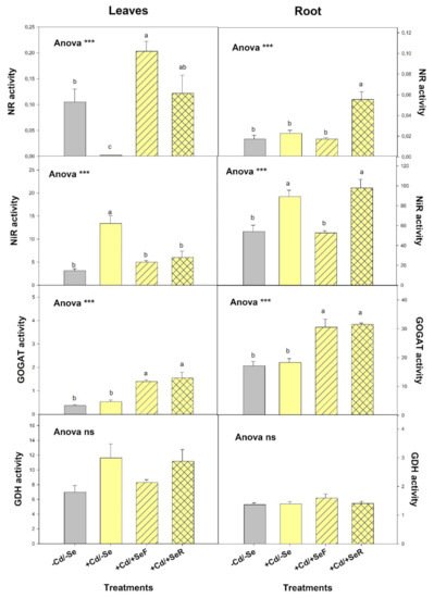
2.3.1. Nitrogen Metabolism in Leaves and Root
2.3.2. Metabolic Analysis of Leaf and Root Tissue
2.3.3. Determination of Free, Soluble-Conjugated, and Insoluble-Bound Polyamines
2.4. Experimental Design and Statistical Analysis
3. Results
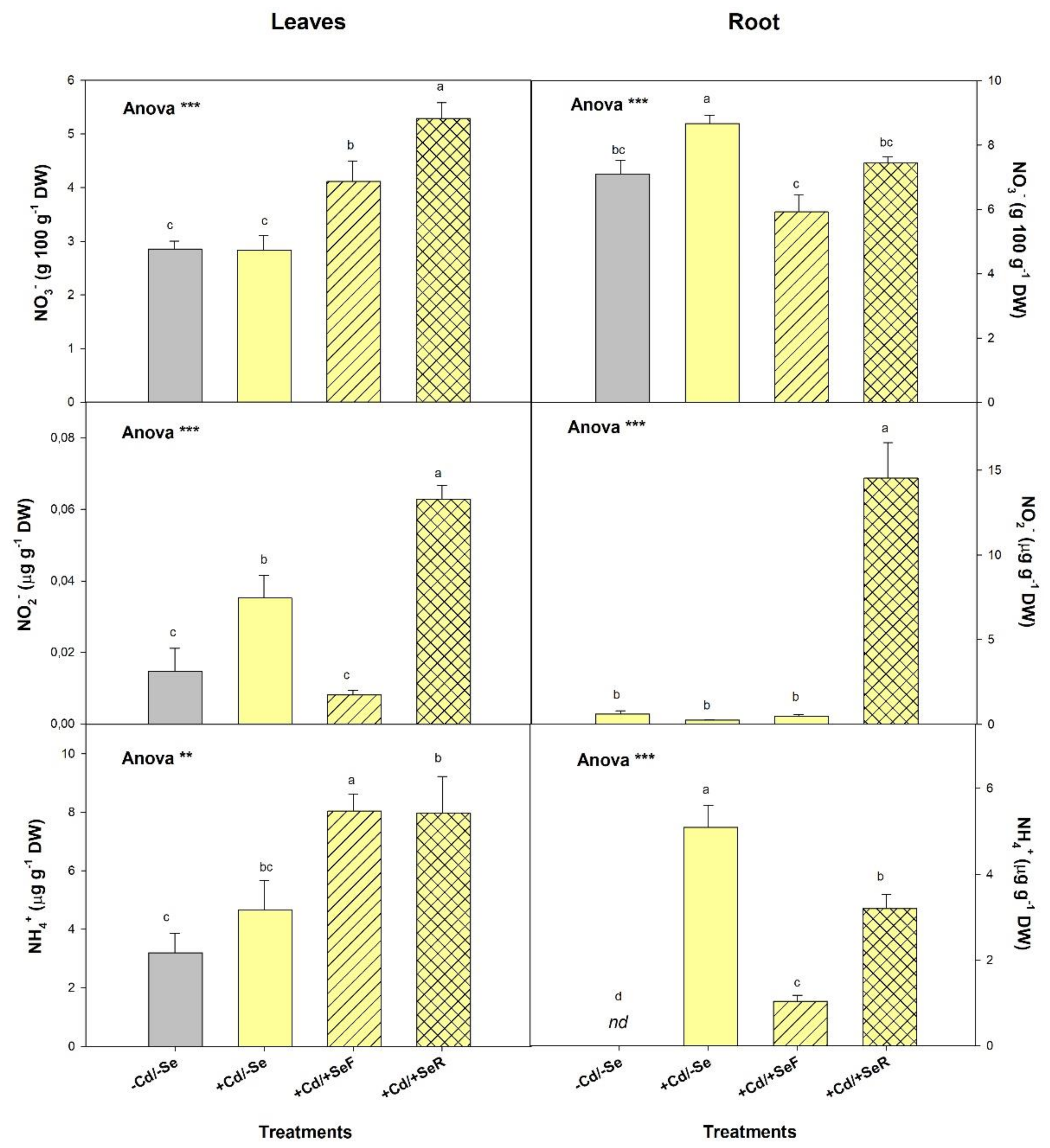
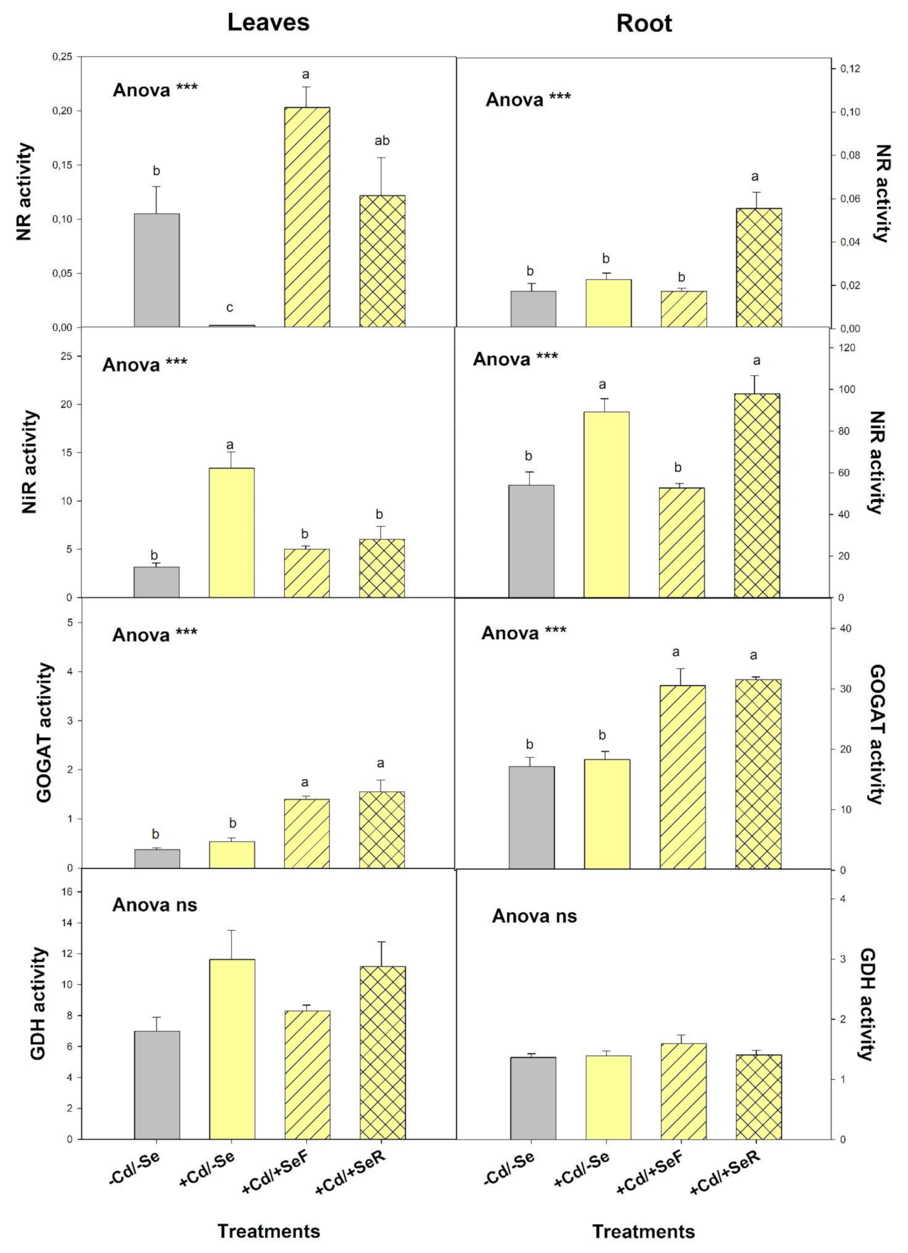
3.1. Nitrogen Metabolism Study in Leaves and Root
3.2. Free, Soluble-Conjugated, and Insoluble-Bound Polyamines in Leaves
3.3. Other Metabolites Identified and Quantified in Leaves and Root by RMN
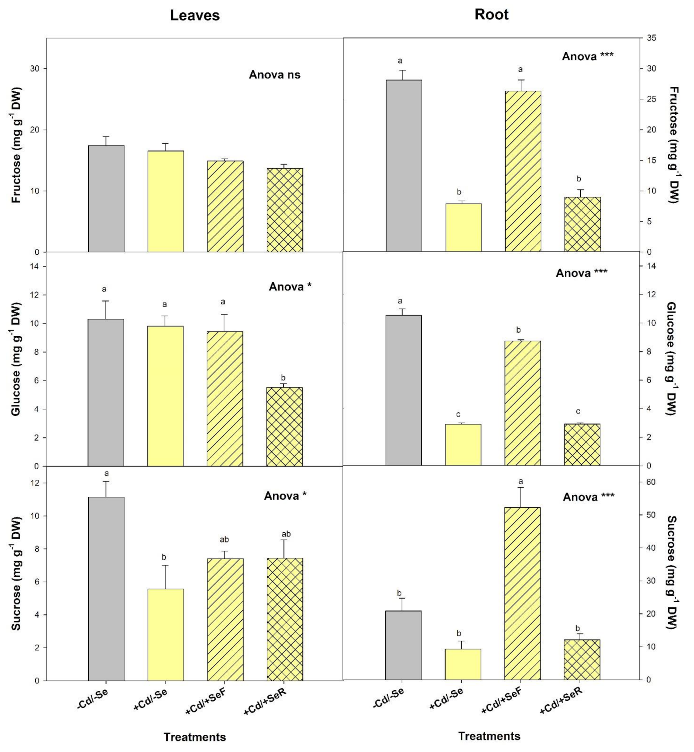
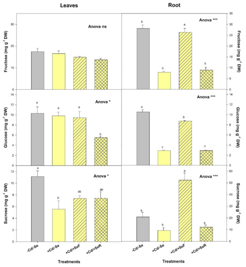
3.3.1. Carbohydrates Concentration in the Different Plant Tissues
3.3.2. GABA
3.3.3. Amino Acids
3.3.4. Organic Acid Salts
4. Discussion
4.1. Selenium in the Root Induced Changes in the Accumulation of Pas and Its Homeostasis, Favoring the Tolerance of Plants to Cd Excess
4.2. Does the Foliar Application of Se Damage the Plants?
4.3. Nitrogen Metabolism in Leaves and Root
4.4. Other Metabolites Identified and Quantified in Leaves and Root Related with the High Tolerance to Cd with the Application of +Cd/+SeR
5. Conclusions
Author Contributions
Funding
Institutional Review Board Statement
Informed Consent Statement
Data Availability Statement
Acknowledgments
Conflicts of Interest
References
- Friberg, L. Cadmium in the Environment; CRC Press: Boca Raton, FL, USA, 2018. [Google Scholar]
- Solís-Domínguez, F.A.; González-Chávez, M.C.; Carrillo-González, R.; Rodríguez-Vázquez, R. Accumulation and localization of cadmium in Echinochloa polystachya grown within a hydroponic system. J. Hazard. Mater. 2007, 141, 630–636. [Google Scholar] [CrossRef] [PubMed]
- Shanmugaraj, B.M.; Malla, A.; Ramalingam, S. Cadmium stress and toxicity in plants: An overview. In Cadmium Toxicity and Tolerance in Plants; Academic Press: Cambridge, MA, USA, 2019; pp. 1–17. [Google Scholar] [CrossRef]
- Wu, Z.; Wang, F.; Liu, S.; Du, Y.; Li, F.; Du, R.; Wen, D.; Zhao, J. Comparative responses to silicon and selenium in relation to cadmium uptake, compartmentation in roots, and xylem transport in flowering Chinese cabbage (Brassica campestris L. ssp. chinensis var. utilis) under cadmium stress. Environ. Exp. Bot. 2016, 131, 173–180. [Google Scholar] [CrossRef]
- Saha, U.; Fayiga, A.; Sonon, L. Selenium in the soil-plant environment: A review. Int. J. Appl. Agric. Sci. 2017, 3, 1–18. [Google Scholar] [CrossRef]
- Luo, Y.; Wei, Y.; Sun, S.; Wang, J.; Wang, W.; Han, D.; Huifang, S.; Hongfang, J.; Fu, Y. Selenium modulates the level of auxin to alleviate the toxicity of cadmium in tobacco. Int. J. Mol. Sci. 2019, 20, 3772. [Google Scholar] [CrossRef] [PubMed]
- Mozafariyan, M.; Shekari, L.; Hawrylak-Nowak, B.; Kamelmanesh, M.M. Protective role of selenium on pepper exposed to cadmium stress during reproductive stage. Biol. Trace Elem. Res. 2014, 160, 97–107. [Google Scholar] [CrossRef]
- Perez-Millan, R.; Alfosea-Simon, M.; Zavala-Gonzalez, E.A.; Camara-Zapata, J.M.; Martinez-Nicolas, J.J.; Lidon, V.; Simon, I.; Shahid, M.A.; Sanchez-Garcia, F.; Simon-Grao, S. The Addition of Selenium to the Nutrient Solution Decreases Cadmium Toxicity in Pepper Plants Grown under Hydroponic Conditions. Agronomy 2021, 11, 1905. [Google Scholar] [CrossRef]
- Hasegawa, M.; Bressan, R.; Pardo, J.M. The dawn of plant salt tolerance genetics. Trends Plant Sci. 2000, 5, 317–319. [Google Scholar] [CrossRef]
- Sairam, R.K.; Tyagi, A. Physiology and Molecular Biology of Salinity Stress Tolerance in Plants. Curr. Sci. 2004, 86, 407–421. [Google Scholar] [CrossRef]
- Chen, D.; Shao, Q.; Yin, L.; Younis, A.; Zheng, B. Polyamine function in plants: Metabolism, regulation on development, and roles in abiotic stress responses. Front. Plant Sci. 2019, 9, 1945. [Google Scholar] [CrossRef]
- Saha, B.; Chowardhara, B.; Kar, S.; Devi, S.S.; Awasthi, J.P.; Moulick, D.; Tanti, B.; Panda, S.K. Advances in heavy metal-induced stress alleviation with respect to exogenous amendments in crop plants. In Priming and Pretreatment of Seeds and Seedlings; Springer: Singapore, 2019; pp. 313–332. [Google Scholar] [CrossRef]
- Schulze, E.D.; Beck, E.; Buchmann, N.; Clemens, S.; Müller-Hohenstein, K.; Scherer-Lorenzen, M. Adverse soil mineral availability. In Plant Ecology; Springer: Berlin/Heidelberg, Germany, 2019; pp. 203–256. [Google Scholar] [CrossRef]
- Carrasco-Gil, S.; Ortega-Villasante, C.; Sobrino-Plata, J.; Barón-Sola, Á.; Millán, R.; Hernandez, L.E. Attenuation of Mercury Phytotoxicity with a High Nutritional Level of Nitrate in Alfalfa Plants Grown Hydroponically. Res. Sq. 2021, in press. [Google Scholar] [CrossRef]
- Foyer, C.H.; Noctor, G. Oxidant and antioxidant signalling in plants: A re-evaluation of the concept of oxidative stress in a physiological context. Plant Cell Environ. 2005, 28, 1056–1071. [Google Scholar] [CrossRef]
- Grobelak, A.; Świątek, J.; Murtaś, A.; Jaskulak, M. Cadmium-induced oxidative stress in plants, cadmium toxicity, and tolerance in plants: From physiology to remediation. In Cadmium Toxicity and Tolerance in Plants; Academic Press: Cambridge, MA, USA, 2019; pp. 213–231. [Google Scholar] [CrossRef]
- Ahmad, P.; Ahanger, M.A.; Alyemeni, M.N.; Wijaya, L.; Alam, P. Exogenous application of nitric oxide modulates osmolyte metabolism, antioxidants, enzymes of ascorbate-glutathione cycle and promotes growth under cadmium stress in tomato. Protoplasma 2018, 255, 79–93. [Google Scholar] [CrossRef]
- Zhu, G.; Xiao, H.; Guo, Q.; Zhang, Z.; Zhao, J.; Yang, D. Effects of cadmium stress on growth and amino acid metabolism in two Compositae plants. Ecotoxicol. Environ. Saf. 2018, 158, 300–308. [Google Scholar] [CrossRef] [PubMed]
- Islam, M.M.; Hoque, M.A.; Okuma, E.; Banu, M.N.A.; Shimoishi, Y.; Nakamura, Y.; Murata, Y. Exogenous proline and glycinebetaine increase antioxidant enzyme activities and confer tolerance to cadmium stress in cultured tobacco cells. J. Plant Physiol. 2009, 166, 1587–1597. [Google Scholar] [CrossRef]
- Rasheed, R.; Ashraf, M.A.; Hussain, I.; Haider, M.Z.; Kanwal, U.; Iqbal, M. Exogenous proline and glycinebetaine mitigate cadmium stress in two genetically different spring wheat (Triticum aestivum L.) cultivars. Braz. J. Bot. 2014, 37, 399–406. [Google Scholar] [CrossRef]
- Seifikalhor, M.; Aliniaeifard, S.; Bernard, F.; Seif, M.; Latifi, M.; Hassani, B.; Didaran, F.; Bosacchi, M.; Rezadoost, H.; Li, T. γ-Aminobutyric acid confers cadmium tolerance in maize plants by concerted regulation of polyamine metabolism and antioxidant defense systems. Sci. Rep. 2020, 10, 1–18. [Google Scholar] [CrossRef]
- Yang, L.; Yao, J.; Sun, J.; Shi, L.; Chen, Y.; Sun, J. The Ca2+ signaling, Glu, and GABA responds to Cd stress in duckweed. Aquat. Toxicol. 2020, 218, 105352. [Google Scholar] [CrossRef]
- Benavides, M.P.; Gallego, S.M.; Tomaro, M.L. Cadmium toxicity in plants. Braz. J. Plant Physiol. 2005, 17, 21–34. [Google Scholar] [CrossRef]
- Bali, A.S.; Sidhu, G.P.S.; Kumar, V. Root exudates ameliorate cadmium tolerance in plants: A review. Environ. Chem. Lett. 2020, 18, 1243–1275. [Google Scholar] [CrossRef]
- Salt, D.E.; Prince, R.C.; Pickering, I.J.; Raskin, I. Mechanisms of cadmium mobility and accumulation in Indian mustard. Plant Physiol. 1995, 109, 1427–1433. [Google Scholar] [CrossRef]
- Liu, P.; Yan, X.; Yang, X.; Yang, Y.; Zhang, H.; Cui, H.; Wang, Z. Different roles of tobacco glandular and non-glandular trichomes in response to cadmium stress. J. Agric. Sci. Technol. 2019, 21, 55–60. [Google Scholar]
- Thomine, S.; Wang, R.; Ward, J.M.; Crawford, N.M.; Schroeder, J.I. Cadmium and iron transport by members of a plant metal transporter family in Arabidopsis with homology to Nramp genes. Proc. Natl. Acad. Sci. USA 2000, 97, 4991–4996. [Google Scholar] [CrossRef]
- Luo, J.S.; Huang, J.; Zeng, D.L.; Peng, J.S.; Zhang, G.B.; Ma, H.L.; Guan, Y.; Yi, H.Y.; Fu, Y.L.; Han, B.; et al. A defensin-like protein drives cadmium efflux and allocation in rice. Nat. Commun. 2018, 9, 1–9. [Google Scholar] [CrossRef] [PubMed]
- Clemens, S. Toxic metal accumulation, responses to exposure and mechanisms of tolerance in plants. Biochimie 2006, 88, 1707–1719. [Google Scholar] [CrossRef]
- Ahmad, J.; Ali, A.A.; Baig, M.A.; Iqbal, M.; Haq, I.; Qureshi, M.I. Role of phytochelatins in cadmium stress tolerance in plants. In Cadmium Toxicity and Tolerance in Plants; Academic Press: Cambridge, MA, USA, 2019; pp. 185–212. [Google Scholar] [CrossRef]
- Bano, C.; Amist, N.; Singh, N.B. Role of polyamines in plants abiotic stress tolerance: Advances and future prospects. In Plant Life Under Changing Environment; Academic Press: Cambridge, MA, USA, 2020; pp. 481–496. [Google Scholar] [CrossRef]
- Ma, Q.; Cao, X.; Tan, X.; Si, L.; Wu, L. Effects of cadmium stress on pakchoi (Brassica chinensis L.) growth and uptake of inorganic and organic nitrogenous compounds. Environ. Exp. Bot. 2017, 137, 49–57. [Google Scholar] [CrossRef]
- Ma, H.; Li, X.; Wei, M.; Zeng, G.; Hou, S.; Li, D.; Xu, H. Elucidation of the mechanisms into effects of organic acids on soil fertility, cadmium speciation and ecotoxicity in contaminated soil. Chemosphere 2020, 239, 124706. [Google Scholar] [CrossRef] [PubMed]
- Sidhu, G.P.S.; Bali, A.S.; Bhardwaj, R. Role of organic acids in mitigating cadmium toxicity in plants. In Cadmium Tolerance in Plants; Academic Press: Cambridge, MA, USA, 2019; pp. 255–279. [Google Scholar] [CrossRef]
- Li, C.; Liu, Y.; Tian, J.; Zhu, Y.; Fan, J. Changes in sucrose metabolism in maize varieties with different cadmium sensitivities under cadmium stress. PLoS ONE 2020, 15, e0243835. [Google Scholar] [CrossRef]
- Shanying, H.E.; Xiaoe, Y.A.; Zhenli, H.E.; Baligar, V.C. Morphological and physiological responses of plants to cadmium toxicity: A review. Pedosphere 2017, 27, 421–438. [Google Scholar] [CrossRef]
- Hageman, R.H.; Hucklesby, D.P. [45] Nitrate reductase from higher plants. Methods Enzymol. 1971, 23, 491–503. [Google Scholar] [CrossRef]
- Kempers, A.J. Determination of sub-microquantities of ammonium and nitrates in soils with phenol, sodiumnitroprusside and hypochlorite. Geoderma 1974, 12, 201–206. [Google Scholar] [CrossRef]
- Groat, R.G.; Vance, C.P. Root nodule enzymes of ammonia assimilation in alfalfa (Medicago sativa L.): Developmental patterns and response to applied nitrogen. Plant Physiol. 1981, 67, 1198–1203. [Google Scholar] [CrossRef] [PubMed]
- Lillo, C. Diurnal variations of nitrite reductase, glutamine synthetase, glutamate synthase, alanine aminotransferase and aspartate aminotransferase in barley leaves. Physiol. Plant. 1984, 61, 214–218. [Google Scholar] [CrossRef]
- Singh, R.D.; Srivastava, H.S. Increase in glutamate synthase (NADH) activity in maize seedlings in response to nitrate and ammonium nitrogen. Physiol. Plant. 1986, 66, 413–416. [Google Scholar] [CrossRef]
- Kanamori, T.; Konishi, S.; Takahashi, E. Inducible formation of glutamate dehydrogenase in rice plant roots by the addition of ammonia to the media. Physiol. Plant. 1972, 26, 1–6. [Google Scholar] [CrossRef]
- Alfosea-Simón, M.; Zavala-Gonzalez, E.A.; Camara-Zapata, J.M.; Martínez-Nicolás, J.J.; Simón, I.; Simón-Grao, S.; García-Sánchez, F. Effect of foliar application of amino acids on the salinity tolerance of tomato plants cultivated under hydroponic system. Sci. Hortic. 2020, 272, 10950. [Google Scholar] [CrossRef]
- Flores, H.E.; Galston, A.W. Analysis of polyamines in higher plants by high performance liquid chromatography. Plant Physiol. 1982, 69, 701–706. [Google Scholar] [CrossRef] [PubMed]
- Cohen, S.S. Guide to the Polyamines; Oxford University Press: Oxford, UK, 1998. [Google Scholar]
- Tiburcio, A.F.; Kaur-Sawhney, R.; Galston, A.W. Polyamine metabolism. Biochem. Plants 1990, 16, 283–325. [Google Scholar]
- Liu, J.H.; Kitashiba, H.; Wang, J.; Ban, Y.; Moriguchi, T. Polyamines and their ability to provide environmental stress tolerance to plants. Plant Biotechnol. 2007, 24, 117–126. [Google Scholar] [CrossRef]
- Groppa, M.D.; Benavides, M.P. Polyamines and abiotic stress: Recent advances. Amino Acids 2008, 34, 35. [Google Scholar] [CrossRef] [PubMed]
- Kuznetsov, V.V.; Shevyakova, N.I. Polyamines and plant adaptation to saline environments. In Desert Plants; Springer: Berlin/Heidelberg, Germany, 2010; pp. 261–298. [Google Scholar] [CrossRef]
- Rady, M.M.; Hemida, K.A. Modulation of cadmium toxicity and enhancing cadmium-tolerance in wheat seedlings by exogenous application of polyamines. Ecotoxicol. Environ. Saf. 2015, 119, 178–185. [Google Scholar] [CrossRef]
- Rady, M.M.; El-Yazal, M.A.S.; Taie, H.A.; Ahmed, S.M. Response of wheat growth and productivity to exogenous polyamines under lead stress. J. Crop. Sci. Biotechnol. 2016, 19, 363–371. [Google Scholar] [CrossRef]
- Rady, M.M.; El-Yazal, M.A.S.; Taie, H.A.A.; Ahmed, S.M. Response of Triticum aestivum (L.) plants grown under cadmium stress to polyamines pretreatments. Plant 2016, 4, 29–36. [Google Scholar] [CrossRef][Green Version]
- Lovaas, E. Antioxidative and metal-chelating effects of polyamines. Adv. Pharmacol. 1996, 38, 119–149. [Google Scholar] [CrossRef]
- Bouchereau, A.; Aziz, A.; Larher, F.; Martin-Tanguy, J. Polyamines and environmental challenges: Recent development. Plant Sci. 1999, 140, 103–125. [Google Scholar] [CrossRef]
- Walters, D.R. Polyamines and plant disease. Phytochemistry 2003, 64, 97–107. [Google Scholar] [CrossRef]
- Paul, S.; Banerjee, A.; Roychoudhury, A. Role of polyamines in mediating antioxidant defense and epigenetic regulation in plants exposed to heavy metal toxicity. In Plants under Metal and Metalloid Stress; Springer: Singapore, 2018; pp. 229–247. [Google Scholar] [CrossRef]
- Yang, H.Y.; Shi, G.X.; Li, W.L.; Wu, W.L. Exogenous spermidine enhances Hydrocharis dubia cadmium tolerance. Russ. J. Plant Physiol. 2013, 60, 770–775. [Google Scholar] [CrossRef]
- Taie, H.A.; El-Yazal, M.A.S.; Ahmed, S.M.; Rady, M.M. Polyamines modulate growth, antioxidant activity, and genomic DNA in heavy metal–stressed wheat plant. Environ. Sci. Pollut. Res. 2019, 26, 22338–22350. [Google Scholar] [CrossRef] [PubMed]
- Sánchez-Rodríguez, E.; Romero, L.; Ruiz, J.M. Accumulation of free polyamines enhances the antioxidant response in fruits of grafted tomato plants under water stress. J. Plant Physiol. 2016, 190, 72–78. [Google Scholar] [CrossRef] [PubMed]
- Wang, Y.; Ye, X.; Yang, K.; Shi, Z.; Wang, N.; Yang, L.; Chen, J. Characterization, expression, and functional analysis of polyamine oxidases and their role in selenium-induced hydrogen peroxide production in Brassica rapa. J. Sci. Food Agric. 2019, 99, 4082–4093. [Google Scholar] [CrossRef]
- Spormann, S.; Soares, C.; Teixeira, J.; Fidalgo, F. Polyamines as key regulatory players in plants under metal stress—A way for an enhanced tolerance. Ann. Appl. Biol. 2021, 178, 209–226. [Google Scholar] [CrossRef]
- Romero, F.M.; Maiale, S.J.; Rossi, F.R.; Marina, M.; Ruíz, O.A.; Garriz, A. Polyamine metabolism responses to biotic and abiotic stress. Polyamines 2018, 1694, 37–49. [Google Scholar] [CrossRef]
- Wuddineh, W.; Minocha, R.; Minocha, S.C. Polyamines in the context of metabolic networks. Polyamines 2018, 1694, 1–23. [Google Scholar] [CrossRef]
- Feng, J.; Shi, Q.; Wang, X.; Wei, M.; Yang, F.; Xu, H. Silicon supplementation ameliorated the inhibition of photosynthesis and nitrate metabolism by cadmium (Cd) toxicity in Cucumis sativus L. Sci. Hortic. 2010, 123, 521–530. [Google Scholar] [CrossRef]
- Shahid, M.A.; Balal, R.M.; Khan, N.; Zotarelli, L.; Liu, G.D.; Sarkhosh, A.; Fernandez-Zapata, J.C.; Nicolas, J.J.M.; Garcia-Sanchez, F. Selenium impedes cadmium and arsenic toxicity in potato by modulating carbohydrate and nitrogen metabolism. Ecotoxicol. Environ. Saf. 2019, 180, 588–599. [Google Scholar] [CrossRef] [PubMed]
- Hussain, S.; Khaliq, A.; Noor, M.A.; Tanveer, M.; Hussain, H.A.; Hussain, S.; Shah, T.; Mehmood, T. Metal toxicity and nitrogen metabolism in plants: An overview. In Carbon and Nitrogen Cycling in Soil; Springer: Singapore, 2020; pp. 221–248. [Google Scholar] [CrossRef]
- Guo, H.; Hong, C.; Chen, X.; Xu, Y.; Liu, Y.; Jiang, D.; Zheng, B. Different growth and physiological responses to cadmium of the three Miscanthus species. PLoS ONE 2016, 11, e0153475. [Google Scholar] [CrossRef]
- Sanayama, Y.; Nagasaka, H.; Takayanagi, M.; Ohura, T.; Sakamoto, O.; Ito, T.; Ishige-Wada, M.; Usui, H.; Yoshino, M.; Ohtake, A.; et al. Experimental evidence that phenylalanine is strongly associated to oxidative stress in adolescents and adults with phenylketonuria. Mol. Genet. Metab. 2011, 103, 220–225. [Google Scholar] [CrossRef]
- Zemanová, V.; Pavlík, M.; Pavlíková, D. Cadmium toxicity induced contrasting patterns of concentrations of free sarcosine, specific amino acids and selected microelements in two Noccaea species. PLoS ONE 2017, 12, e0177963. [Google Scholar] [CrossRef]
- Qiu, X.M.; Sun, Y.Y.; Ye, X.Y.; Li, Z.G. Signaling Role of Glutamate in Plants. Front. Plant Sci. 2020, 10, 1743. [Google Scholar] [CrossRef]
- Sharma, A.; Shahzad, B.; Rehman, A.; Bhardwaj, R.; Landi, M.; Zheng, B. Response of Phenylpropanoid Pathway and the Role of Polyphenols in Plants under Abiotic Stress. Molecules 2019, 24, 2452. [Google Scholar] [CrossRef]
- Neysanian, M.; Iranbakhsh, A.; Ahmadvand, R.; Oraghi Ardebili, Z.; Ebadi, M. Comparative efficacy of selenate and selenium nanoparticles for improving growth, productivity, fruit quality, and postharvest longevity through modifying nutrition, metabolism, and gene expression in tomato; potential benefits and risk assessment. PLoS ONE 2020, 15, e0244207. [Google Scholar] [CrossRef]
- Abedi, S.; Iranbakhsh, A.; Oraghi Ardebili, Z.; Ebadi, M. Nitric oxide and selenium nanoparticles confer changes in growth, metabolism, antioxidant machinery, gene expression, and flowering in chicory (Cichorium intybus L.): Potential benefits and risk assessment. Environ. Sci. Pollut. Res. 2021, 28, 3136–3148. [Google Scholar] [CrossRef] [PubMed]






| Polyamines | Form (µmol g−1 DW) | Treatments | ANOVA | |||
| −Cd/−Se | +Cd/−Se | +Cd/+SeF | +Cd/+SeR | |||
| Spermine | Free | 0.324 c | 0.508 c | 1.438 a | 1.098 b | *** |
| Soluble-conjugated | 0.096 c | 0.152 c | 0.349 a | 0.226 b | *** | |
| Insoluble-bound | 0.033 c | 0.048 c | 0.072 a | 0.055 bc | *** | |
| Spermidine | Free | 1.272 c | 1.408 c | 2.768 a | 2.000 b | *** |
| Soluble-conjugated | 1.376 d | 1.610 c | 3.010 b | 4.210 a | *** | |
| Insoluble-bound | 0.190 c | 0.338 bc | 0.640 a | 0.480 ab | *** | |
| Putrescine | Free | 1.958 c | 2.370 c | 3.746 a | 3.124 b | *** |
| Soluble-conjugated | 0.154 c | 0.274 c | 1.218 a | 0.844 b | *** | |
| Insoluble-bound | 0.378 c | 0.496 bc | 0.784 a | 0.632 ab | *** | |
| Cadaverine | Free | 0.360 c | 0.562 b | 0.732 a | 0.584 ab | *** |
| Soluble-conjugated | 0.178 b | 0.184 b | 0.356 a | 0.234 b | *** | |
| Insoluble-bound | 0.025 c | 0.036 c | 0.081 a | 0.064 b | *** | |
| Polyamines | Polyamines (% total polyamines) | |||||
| Form | −Cd/−Se | +Cd/−Se | +Cd/+SeF | +Cd/+SeR | ANOVA | |
| Spermine | Free | 71.3 b | 71.2 b | 77.4 ab | 79.7 a | * |
| Soluble-conjugated | 21.4 | 22.0 | 18.7 | 16.4 | Ns | |
| Insoluble-bound | 7.4 a | 6.8 a | 3.9 b | 4.0 b | *** | |
| Spermidine | Free | 44.8 a | 41.9 a | 43.1 a | 29.8 b | *** |
| Soluble-conjugated | 48.6 b | 48.0 b | 46.9 b | 63.0 a | *** | |
| Insoluble-bound | 6.6 b | 10.1 a | 10.0 ab | 7.2 ab | * | |
| Putrescine | Free | 78.6 a | 75.6 a | 65.1 b | 68.0 b | *** |
| Soluble-conjugated | 6.2 b | 8.6 b | 21.3 a | 18.3 a | *** | |
| Insoluble-bound | 15.2 | 15.8 | 13.6 | 13.7 | Ns | |
| Cadaverine | Free | 63.9 | 71.6 | 62.6 | 66.2 | Ns |
| Soluble-conjugated | 31.6 | 23.7 | 30.4 | 26.5 | Ns | |
| Insoluble-bound | 4.5 c | 4.7 bc | 7.0 ab | 7.3 a | ** | |
| −Cd/−Se | +Cd/−Se | +Cd/+SeF | +Cd/+SeR | ANOVA | |
|---|---|---|---|---|---|
| (Spm+Spd)/Put | 1.33 b | 1.30 b | 1.45 b | 1.77 a | *** |
| Put/(Spm+Spmd) | 0.76 a | 0.77 a | 0.70 a | 0.57 b | *** |
| Amino Acids Detected in Leaves by RMN (µmol g−1 DW) | |||||||||
| Treatment | Asp | Tyr | Ala | Iso | Val | Phe | Pro | Glu | Gln |
| −Cd/−Se | 7.06 b | 3.31 | 3.70 | 0.82 | 0.90 | nd | nd | 54.78 | 13.55 b |
| +Cd/−Se | 13.37 ab | 3.38 | 4.41 | 1.16 | 1.25 | nd | nd | 61.37 | 16.56 ab |
| +Cd/+SeF | 9.92 ab | 3.45 | 3.96 | 1.11 | 1.03 | nd | nd | 56.82 | 19.16 a |
| +Cd/+SeR | 13.52 a | 3.27 | 5.43 | 1.08 | 1.25 | nd | nd | 57.50 | 18.41 a |
| ANOVA | * | ns | ns | ns | ns | - | - | ns | ** |
| Amino Acids Detected in Root by RMN (µmol g−1 DW) | |||||||||
| Treatment | Asp | Tyr | Ala | Iso | Val | Phe | Pro | Glu | Gln |
| −Cd/−Se | nd | 4.17 ab | 45.80 a | 2.64 a | 2.02 a | 1.92 b | 118.13 b | 50.30 a | 16.97 b |
| +Cd/−Se | nd | 4.08 ab | 21.89 bc | 1.12 b | 1.20 b | 1.91 b | 55.68 b | 37.79 a | 6.36 c |
| +Cd/+SeF | nd | 3.80 b | 38.95 ab | 2.21 a | 1.89 a | 2.50 a | 241.81 a | 46.35 a | 27.44 a |
| +Cd/+SeR | nd | 5.00 a | 14.93 c | 1.09 b | 1.25 b | 1.43 c | 56.20 b | 21.21 b | 4.17 c |
| ANOVA | - | * | ** | ** | *** | *** | *** | *** | *** |
| Organic Acid Salts Detected by RMN (µmol g−1 DW) | ||||||||||
|---|---|---|---|---|---|---|---|---|---|---|
| Leaves | Root | |||||||||
| Treatment | Cit | Mal | For | Fum | CGA | Cit | Mal | For | Fum | CGA |
| −Cd/−Se | 8.28 ab | 36.39 a | 0.67 | 0.84 | 1.13 bc | 29.56 b | 26.18 b | 0.63 ab | 0.44 b | nd |
| +Cd/−Se | 12.75 a | 39.45 a | 1.00 | 3.17 | 2.08 ab | 32.74 ab | 20.06 b | 0.46 b | 0.61 ab | nd |
| +Cd/+SeF | 6.40 b | 29.91 ab | 0.8 | 0.78 | 0.86 c | 53.77 a | 43.48 a | 0.72 a | 1.06 a | nd |
| +Cd/+SeR | 11.50 ab | 21.25 b | 0.83 | 1.25 | 2.37 a | 41.90 b | 31.62 ab | 0.56 ab | 0.41 b | nd |
| ANOVA | * | ** | ns | ns | ns | *** | ** | * | ** | - |
Publisher’s Note: MDPI stays neutral with regard to jurisdictional claims in published maps and institutional affiliations. |
© 2021 by the authors. Licensee MDPI, Basel, Switzerland. This article is an open access article distributed under the terms and conditions of the Creative Commons Attribution (CC BY) license (https://creativecommons.org/licenses/by/4.0/).
Share and Cite
Pérez-Millán, R.; Alfosea-Simón, M.; Simón-Grao, S.; Cámara-Zapata, J.M.; Zavala-González, E.A.; Aranda-Martinez, A.; Shahid, M.A.; García-Sánchez, F. Effects of Se Application on Polyamines and Carbon–Nitrogen Metabolism of Pepper Plants Suffering from Cd Toxicity. Agronomy 2021, 11, 2535. https://doi.org/10.3390/agronomy11122535
Pérez-Millán R, Alfosea-Simón M, Simón-Grao S, Cámara-Zapata JM, Zavala-González EA, Aranda-Martinez A, Shahid MA, García-Sánchez F. Effects of Se Application on Polyamines and Carbon–Nitrogen Metabolism of Pepper Plants Suffering from Cd Toxicity. Agronomy. 2021; 11(12):2535. https://doi.org/10.3390/agronomy11122535
Chicago/Turabian StylePérez-Millán, Rafael, Marina Alfosea-Simón, Silvia Simón-Grao, José María Cámara-Zapata, Ernesto Alejandro Zavala-González, Almudena Aranda-Martinez, Muhammad Adnan Shahid, and Francisco García-Sánchez. 2021. "Effects of Se Application on Polyamines and Carbon–Nitrogen Metabolism of Pepper Plants Suffering from Cd Toxicity" Agronomy 11, no. 12: 2535. https://doi.org/10.3390/agronomy11122535
APA StylePérez-Millán, R., Alfosea-Simón, M., Simón-Grao, S., Cámara-Zapata, J. M., Zavala-González, E. A., Aranda-Martinez, A., Shahid, M. A., & García-Sánchez, F. (2021). Effects of Se Application on Polyamines and Carbon–Nitrogen Metabolism of Pepper Plants Suffering from Cd Toxicity. Agronomy, 11(12), 2535. https://doi.org/10.3390/agronomy11122535

